Characteristics of Spatial and Temporal Variations of Global Terrestrial Droughts and Analysis of their Future Trends

  • Xinyao XU , 1, 2 ,
  • Xufeng WANG , 2 ,
  • Songlin ZHANG 1 ,
  • Yanpeng YANG 2 ,
  • Zongxing LI 2
Expand
  • 1. College of Geography and Environmental Science,Northwest Normal University,Lanzhou 730070,Gansu,China
  • 2. Northwest Institute of Eco-Environment and Resources,Chinese Academy of Sciences,Lanzhou 730000,Gansu,China

Received date: 2024-09-06

  Revised date: 2024-12-17

  Online published: 2025-08-04

Copyright

© Editorial Department of Plateau Meteorology (CC BY-NC-ND)

Abstract

Drought represents a significant contributing factor to global climate-related disasters.It not only endangers the stability of global ecosystems and biodiversity but also has far-reaching implications for socio-economic development.As global climate change intensifies, so too does the frequency and intensity of droughts.Drought events in ecologically fragile regions not only threaten the availability of water resources but also increase the risk of food insecurity, ecological degradation and social conflict.Nevertheless, despite the growing body of research in this area, there remain significant gaps in our understanding of the spatial and temporal characteristics of drought occurrences over the past four decades, as well as its evolutionary trends under different climate scenarios in the future.This study employs the Standardized Precipitation Evapotranspiration Index (SPEI) and CMIP6 climate change scenarios to analyze the spatial and temporal characteristics of global droughts over the past four decades and to predict the evolution of global droughts under different climate scenarios (SSP1-2.6、 SSP2-4.5、 SSP5-8.5) over the next 80 years.The findings of the study indicate that: (1) During the period between 1980 and 2022, there were notable variations in the spatial and temporal characteristics of global drought across different regions.Globally, approximately 57% of the land area does not exhibit a significant drought trend.However, about 33% of the land shows a persistent aridification trend, particularly in some already arid regions, where the intensity of drought has increased.Conversely, only 10% of the area is becoming wetter, indicating that the regions of the globe that are becoming drier are significantly larger than those that are becoming wetter.This suggests that the aridification process is spreading globally; (2) Over the past four decades, the globe has experienced an arid trend with no significant seasonal differences.However, the arid regions in winter are expanding, accounting for 33.2% of the global land area; (3) Different vegetation cover types exhibit varying responses to drought.Sparsely vegetated areas are more susceptible to drought, while densely vegetated areas tend to be wetter.Furthermore, arid climate zones situated within diverse climatic contexts are confronted with more pronounced drought-related challenges.The largest proportion of severe drought is observed in extreme arid zones, which account for up to 67% of the global land area, this indicates a higher frequency of drought events in drylands; (4) The probability of drought events is predicted to increase significantly in Africa, South America, southeastern Asia, and southern North America, particularly in tropical or warm climatic zones, extreme arid zones, and evergreen broadleaf climate zones.Furthermore, droughts are expected to become more frequent and severe, especially in tropical or very warm climate zones, arid zones, and broadleaf evergreen forest regions.The SSP5-8.5 scenario is projected to have the highest probability and intensity of drought events over the next 80 years, and will be challenged by more frequent and severe droughts.The findings of this study underscore the pervasive and severe nature of the global aridification trend, particularly in the context of climate change, where the frequency and intensity of droughts are projected to increase significantly.This trend not only enhances our comprehension of the risk of drought, but also furnishes an essential point of reference for policymakers, water managers, and the general public.In order to mitigate the potential intensification of droughts in the future, it is imperative that all sectors of society implement more proactive and efficacious measures to promote adaptation and mitigate the challenges posed by droughts.The rational management of water resources, improvements in agricultural irrigation techniques, enhanced ecosystem resilience and the strengthening of monitoring and early warning systems for climate change and droughts will ensure global ecological security and facilitate sustainable socio-economic development.

Cite this article

Xinyao XU , Xufeng WANG , Songlin ZHANG , Yanpeng YANG , Zongxing LI . Characteristics of Spatial and Temporal Variations of Global Terrestrial Droughts and Analysis of their Future Trends[J]. Plateau Meteorology, 2025 , 44(4) : 923 -942 . DOI: 10.7522/j.issn.1000-0534.2024.00109

1 引言

近年来, 全球气候变化的加剧导致极端天气事件频发, 给生态系统带来了日益严峻的风险与挑战(朴世龙等, 2019)。联合国政府间气候变化专门委员会(IPCC)第六次工作报告指出, 未来持续增温会引发更频繁和强烈的极端温度、 降水和干旱事件(刘海等, 2023)。此外, 全球气温上升导致的水循环变化加剧了一些地区极端干旱的风险(Li et al, 2023)。过去几十年, 全球极端干旱事件频发, 全球74%的区域在过去64年间的骤旱比例及干旱暴发速度均呈上升趋势, 对人类社会和生态系统造成了严重的影响(Anderegg et al, 2012; Yuan et al, 2023於琍等, 2005)。因此, 研究干旱事件的空间变化特征对理解和监测干旱过程有重要意义(王晓丹等, 2022Stocker et al, 2019)。
迄今为止, 已有多种干旱指数被开发出来(Banimahd and Khalili, 2013), 例如帕默尔干旱指数(Palmer drought severity index, PDSI)(Palmer, 2006)、 标准降水指数(Standardized precipitation index, SPI)(Mckee et al, 1993)、 干旱识别指数(Drought reconnaissance index, DRI)(Tsakiris and Vangelis, 2005)以及标准化降水蒸散指数(Standardized precipitation evapotranspiration index, SPEI)(Begueria-Portugues et al, 2010)等。而在气候变暖背景下, 选择合适的干旱指数显得尤为重要, 因为它必须能够准确且敏感地反映气候变化所带来的干旱波动(林睿, 2023贾何佳等, 2022)。标准化降水蒸散指数(SPEI)是在标准化降水指数(SPI)的基础上引入Penman-Monteith方程计算潜在蒸散发量(PET)构建的(周星宇等, 2023)。SPEI指数不仅考虑降水对干旱的影响, 还考虑了蒸发对干旱的影响。在计算过程中使用的降水序列越长, 包含的历史干旱样本越多, 计算的干旱指数越反映实际情况。另外, SPEI通过标准化处理过程使得不同地区、 不同时间段的干旱状况可以进行直接比较, 这一特性在区域间的干旱评估和全球干旱监测中都具有重要意义(Hou, 2017)。Wang et al(2021a)分析了SPEI指数在中国黄淮海平原对干旱的敏感性, Bae et al(2018)基于SPEI指数分析了韩国1981 -2010年的干旱强度和变化趋势, Xu et al(2013)基于SPEI指数分析了云南省夏玉米生长季干旱风险的时空变化特征。综上可知, SPEI指数能综合地反映区域的干旱情况, 且在气候变化背景下对干旱变化的研究具有显著的适用性(Heim and Richard, 2002Zhuang et al, 2013宋艳玲, 2022), 因此本研究计划应用SPEI指数分析全球干旱的时空变化特征。
基于CMIP6多模式预估21世纪全球陆地干旱的变化情况, 能够为全球水资源管理与保护奠定基础, 对全球变暖下的区域生态环境安全和水灾害管理具有重要意义(Ullah and Akbar, 2020Wang et al, 2021b)。Wang et al(2021b)Zhao and Dai(2022)的研究表明, 未来几十年内可能发生更频繁和更严重的干旱事件。Marengo and Espinoza(2016)学者发现在中等排放情景(SSP2-4.5)下, 2016 -2100年全球骤发干旱区域的比率和亚季节性干旱发生速度都有显著增加趋势。特别在高排放情景(SSP5-8.5)下, 全球大多数区域的增加趋势变得更强。
尽管已有研究在理解和量化干旱影响方面取得进展, 但地区、 季节性、 气候变化等因素的交织作用使干旱响应和适应机制复杂化, 使得局部区域的研究结果存在差异且未形成统一的认知。鉴于此, 本研究旨在基于SPEI指数分析1980 -2022年全球气候干湿的演变特征, 利用CMIP6模式数据预估2016 -2100年3种不同排放情景下气候干湿的变化趋势, 并对干旱易发地区面积、 范围的变化进行预测。此外, 本研究还讨论了全球干旱在不同季节、 地区和气候条件下的变化。

2 数据来源与方法介绍

2.1 干旱指数

SPEI指数是由Begueria-Portugues et al(2010)研究的一种用于评估干旱条件的指数。本文使用的SPEIbase v2.9数据集是由全球SPEI数据库基于英吉利大学气候研究部门从1901年1月开始的月降水数据和潜在蒸散数据, 空间分辨率为0.5°, 具有多尺度特征, 提供1~48个月的SPEI指数尺度信息。较长时间尺度的SPEI可以更全面地反映长期的水文气候变化趋势和积累效应, 从而提供更可靠的干旱评估, 所以本研究运用12个月时间尺度的SPEI用来进行年际分析。根据SPEI12指数值将干湿程度划分为八种类型: 极端干旱(SPEI12<-2)、 严重干旱(-2≤SPEI12<-1)、 中等干旱(-1≤SPEI12<-0.5)、 轻微干旱(-0.5≤SPEI12<0)、 轻微湿润(0≤SPEI12<0.5)、 中等湿润(0.5≤SPEI12<1)、 严重湿润(1≤SPEI12<2)与极端湿润(SPEI12>2)。数据来源于: https: //spei.csic.es/database.html

2.2  CMIP6数据

世界气候研究计划(World Climate Research Pro-gramme, WCRP)于1979年启动, 并于1995年开始主持耦合模型比较项目(Coupled Model Intercomparison Project, CMIP)(Zhao and Dai, 2022)。本研究使用10个CMIP6全球气候模式输出的气温(tas)与降水(pr)数据, 通过Thornth-waite方程计算2016 -2100年每月的全球潜在蒸散发(PET)数据, 并计算低排放强迫(SSP1-2.6)、 中等排放强迫(SSP2-4.5)与高排放强迫(SSP5-8.5)三种情景下的SPEI干旱指数。分析10个模型的集合平均值, 并将SPEI空间分辨率统一为0.5°。所采用的模式信息如表1所示。CMIP6数据下载自网站https: //esgf-node.llnl.gov/search/cmip6/
表1 本研究使用的CMIP6气候模式

Table 1 The CMIP6 climate models used in this study

气候模式名称

Climate Model Name

国家

Country

网格分辨率

Grid

ACCESS-CM2 澳大利亚 192×145
ACCESS-ESM1-5 澳大利亚 192×145
BCC-CSM2-MR 中国 320×160
CanESM5 加拿大 128×64
CMCC-CM2-SR5 意大利 288×192
CMCC-ESM2 意大利 288×192
FGOALS-f3-L 中国 288×180
IPSL-CM6A-LR 法国 144×143
MIROC6 日本 256×128
MRI-ESM2-0 日本 320×160

2.3 植被类型数据

全球土地覆盖类型数据由MCD12Q1数据集提供(https: //lpdaac.usgs.gov/products/mcd12q1v061//)(Friedl et al, 2022), 通过对MODIS的Terra和Aqua卫星反射率数据监督分类得到, 并通过后处理和辅助信息进一步优化了特定的类别(罗雨梅等, 2024)。该数据的土地覆盖分类体系包括常绿针叶林、 常绿阔叶林、 落叶针叶林、 落叶阔叶林、 混交林、 稠密灌丛、 稀疏灌丛、 木本热带稀疏草原、 热带稀疏草原、 草地、 永久湿地、 农用地、 城市和建筑区、 农用地自然植被、 雪和冰以及稀疏植被, 空间分辨率为500 m。本研究将SPEI数据与MCD12Q1数据匹配, 以统一分辨率为0.5°。

2.4 干旱区数据

干旱指数(Aridity Index, AI)由Zomer et al(2022)提出, 用于评估干旱状况, 为降水与潜在蒸散的比值。全球干旱指数(Global-AI)数据集提供了1970 - 2000年期间的高分辨率(30弧秒)全球栅格数据, 基于FAO-56 Penman-Monteith方程的蒸散发(ET0)得出(Zomer et al, 2022)。在本研究中, 将AI空间分辨率统一为0.5°, 基于此将全球陆地分为五个区域: 极端干旱区(AI<0.03)、 干旱区(0.03≤AI<0.2)、 半干旱区(0.2≤AI<0.5)、 半湿润区(0.5≤AI<0.65)和湿润区(AI>0.65)。该数据集可通过访问https: //cgiarcsi.community/2019/01/24/global-aridity-index-and-potential-evapotranspiration-climate-database-v3/获取。

2.5 气候区数据

柯本气候分类法(Koppen Climate Clasification)是一种广泛使用的气候分类方法(Peel et al, 2007), 主要基于气温和降水进行分类。本研究使用的全球柯本气候类型空间分布数据集由中国国家地球科学数据中心提供(http: //www.geodata.cn)(Kalvová et al, 2003), 空间分辨率统一为0.5°。基于该数据集, 全球陆地表面可划分为热带或常暖型气候区、 干旱气候区、 温带气候区、 大陆气候区以及极地和高山气候区等五类气候区。

2.6  Mann-Kendall趋势检验

为了检测全球过去和未来SPEI时间序列的显著趋势, 本研究应用了非参数Mann-Kendall检验(Kendall, 1938Mann, 1945)。该方法是用于检测时间序列中是否存在显著的单调趋势。该检验的零假设(H0)是假设时间序列中不存在单调趋势, 而备择假设(H1)是假设存在单调趋势。
统计量S的计算是对于给定的时间序列(x 1, …, xn ), 计算所有可能的差值(x j-x i)的符号之和:
S = i = 1 n - 1   j = k - 1 n s i g n ( x j - x i )
S>0, 则时间序列中后面的观察值倾向于比之前的观察值大; 若S<0, 则情况相反。S的方差表示为:
V a r ( s ) = 1 18 n ( n - 1 ) ( 2 n + 5 ) - p t p ( t p - 1 ) ( 2 t p + 5 )
式中: tp 是秩t出现的次数; p表示在相同排列组合中不同组之间的概率差异。
Mann-Kendall趋势分析计算测试统计量ZMK 如下:
Z M K S - 1 V a r ( S ) S > 0 0 S = 0 S + 1 V a r ( S ) S < 0
ZMK 的正负值显示了时间序列随时间的正负趋势。ZMK 的绝对值在大于等于1.645、 1.960与2.576时表示分别通过了置信度90%、 95%和99%的显著性检验。

2.7  SPEI指数计算

在本研究中, SPEI是计算降水量与潜在蒸散量的差值, 引入概率模型得到的指数。使用Thornthwaite方法(Thornthwaite, 1948)计算得到潜在蒸散量(PET):
P E T = 0 T < 0 16 N 12 N D M 30 10 T I m 0 T < 26.5 - 415.85 + 32.24 T - 0.43 T 2 T > 26.6
式中: T为逐月平均温度; N为最大日照时数; NDM为逐月的日数; I为年热量指数, 是用每年12个月的月热量指数求和得到。
年热量指数的计算公式如下:
I = i = 1 12 T 5 1.514     T > 0
m是与I有关的系数, 利用式(5)可得到:
m = 6.75 × 10 - 7 I 3 - 7.71 × 10 - 5 I 2 + 1.79 × 10 - 2 I + 0.492
使其服从Log-logistic概率分布, 同时对其进行正态标准化处理得到累计概率:
S P E I = W - C 0 + C 1 W + C 2 W 2 1 + d 1 W + d 2 W 2 + d 3 W 3
式中: W = - 2 l n ( P ) P是超过确定水分盈亏的概率 P = 1 - f ( x )。当P>0.5时, P = 1 - P, SPEI的符号被逆转, 式中其他常数项系数为: C 0=2.515517, C 1=0.802853, C 2=0.010328, d 1=1.432788, d 2=0.189269, d 3=0.001308。

3 结果与讨论

3.1 全球陆地不同时间尺度的干旱变化特征

为分析1980 -2022年全球干旱的时空变化特征, 本研究基于SPEI指数, 深入讨论了其在不同时间尺度(1个月、 3个月、 6个月与12个月)上的逐年均值变化, 分析结果如图1所示。全球不同时间尺度的SPEI指数变化曲线基本吻合且整体呈现下降趋势, 较短的时间尺度(SPEI1、 SPEI3)具有更明显的波动, 其中SPEI1的月均值峰值为0.29, 谷值为-0.42, SPEI3的月均值峰值为0.35, 谷值为-0.51; 相比之下, 较长的时间尺度(SPEI6、 SPEI12)平滑了这些波动, 并突出了更显著的干旱趋势, 其中SPEI6的月均值峰值为0.27, 谷值为-0.50, SPEI12的月均值峰值为0.24, 谷值为-0.42。SPEI12月均值呈现较为明显的下降趋势, 并且从2001年1月(SPEI12=-0.012)至今, SPEI 12月均值始终保持在零以下, 表明了迄今为止全球持续的干旱时期已有23年。
图1 不同尺度干旱指数(SPEI)(a~d)变化趋势

(a) SPEI1, (b) SPEI3, (c) SPEI6, (d) SPEI12

Fig.1 Trends of SPEI at different scales (a~d).(a) SPEI1, (b) SPEI3, (c) SPEI6, (d) SPEI12

基于SPEI 12计算的近40年的干湿变化趋势显示, 无明显变化的陆地面积占全球陆地表面的57%, 显著变干的陆地面积约占33%, 显著变湿的陆地面积仅占10%(图2)。然而, 不同区域的变化趋势有着明显的差异。具体来讲, 非洲北部、 欧洲南部、 亚洲中部与西部、 澳大利亚西南部、 格陵兰岛和南美洲中南部等地区的SPEI12反映出显著变干旱的趋势(SPEI12<0, P<0.05)。相反地, 非洲中部、 亚洲北部、 亚洲南部、 欧洲北部以及北美洲部分地区呈现出显著的湿润趋势(SPEI12>0, P<0.05)。六大洲的SPEI 12年均值在1980 -2022年间呈现下降趋势, 其中亚洲和南美洲的SPEI 12年均值下降趋势较为明显, R 2分别为0.72和0.54。
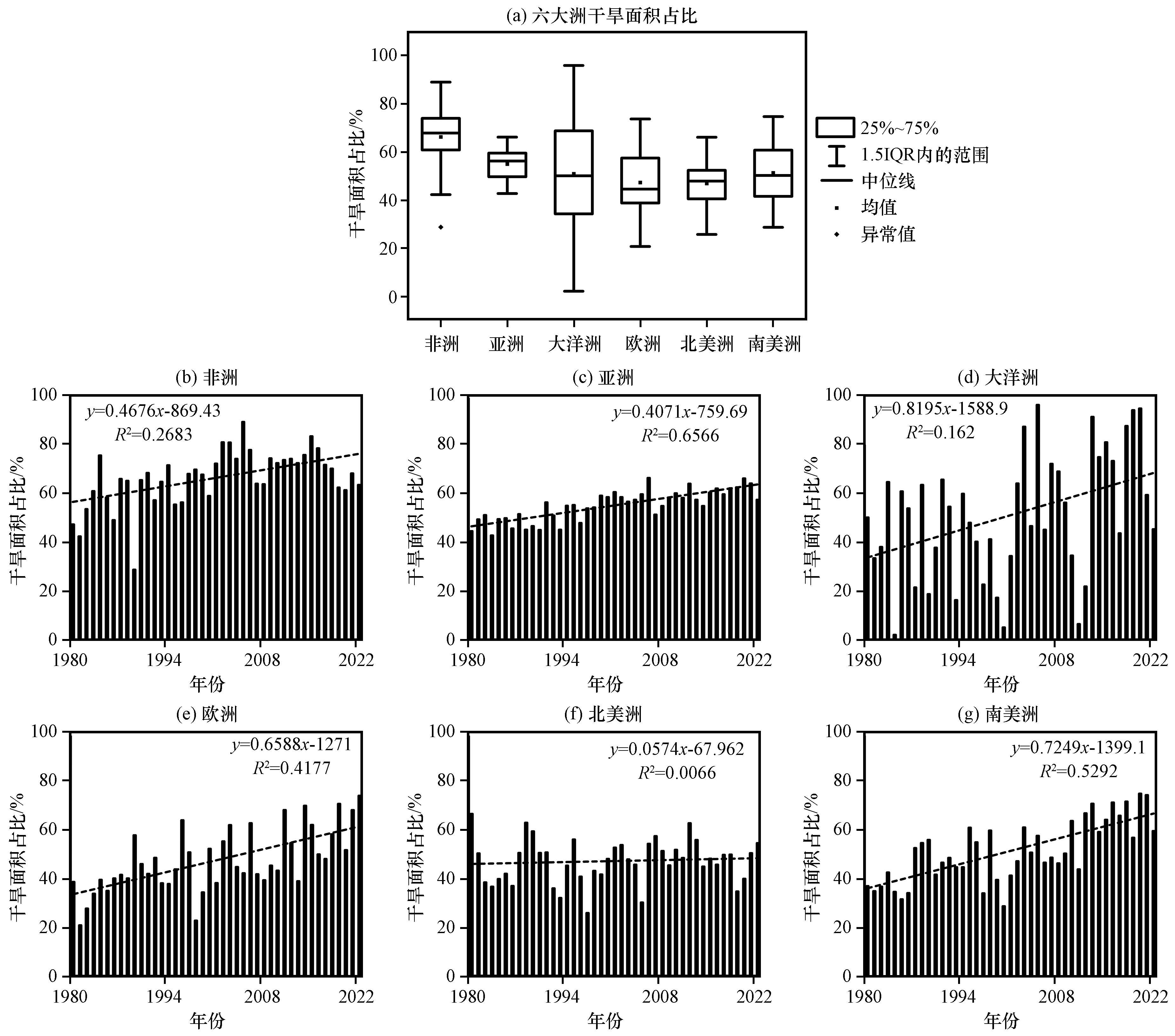
图2 1980 -2022年全球SPEI 12年均值的时空变化特征(a)及六大洲干旱度变化趋势(b~g)

(b)北美洲, (c)欧洲, (d)亚洲, (e)南美洲, (f)非洲, (g)大洋洲; 黑色斜线区域表示相关系数通过了0.05显著性水平的检验

Fig.2 Characteristics of spatial and temporal variations of the global SPEI 12 year average from 1980 to 2022 (a) and trends of aridity in six continents (b~g).(b) North America, (c) Europe, (d) Asia, (e) South America, (f) Africa, (g) Oceania, The black diagonal area indicates that the correlation coefficient passed the test at the 0.05 significance level

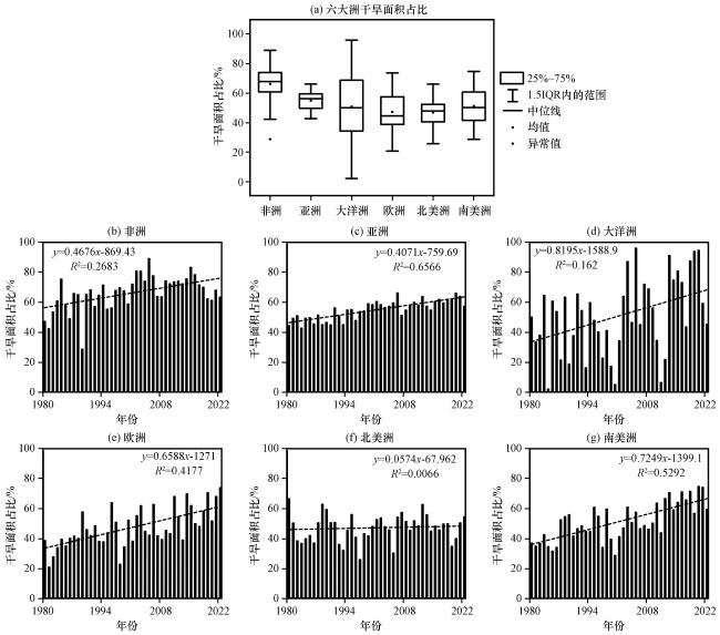
近40年来非洲和亚洲有至少超过40%的区域处于干旱状态, 其中非洲的干旱面积常年处于60%以上(图3)。而大洋洲的干旱面积波动幅度最大, 其变化范围在2%~96%, 显示出较高的年际或区域性差异。南美洲虽然干旱面积超过了一半, 但是其变化幅度相对较小。欧洲、 北美洲和南美洲的干旱面积处于20%~80%。北美洲和南美洲的干旱面积占比中位数接近, 但北美洲的均值稍低, 表明其干旱面积整体上稍低于南美洲。六大洲的干旱面积呈现上升趋势, 其中亚洲和南美洲的干旱面积增加趋势尤为明显, 欧洲、 非洲、 大洋洲和北美洲的干旱面积变化趋势依次趋于平稳。
图3 基于SPEI12年均值的全球各大洲干旱区面积占比比较(a), 六大洲干旱区面积占比(b~g)

(b)非洲, (c)亚洲, (d)大洋洲, (e)欧洲, (f)北美洲, (g)南美洲

Fig.3 Comparison of the area share of arid zones in each continent globally based on SPEI 12 year averages (a), and the area share of arid zones in six continents (b~g).(b) Africa, (c) Asia, (d) Oceania, (e) Europe, (f) North America, (g) South America

3.2 全球陆地不同季节的干旱变化特征

为了解1980 -2022年间全球季节性干旱模式的变化特征, 本文计算了全球不同季节的SPEI12值, 并对其时间序列进行Mann-Kendall检验。结果表明, 近40年SPEI12在不同季节的全球空间分布模态相似(图4), 至少有27.8%的陆地在所有季节表现出明显的干旱趋势。赤道一带呈现出湿润的趋势, 而其南北方向呈现出干旱的趋势。研究表明, 四个季节的SPEI12在1980 -2022年共同呈现出显著下降趋势(Slope<0, p<0.01), 且变化趋势大体一致(图5)。
图4 1980 -2022年全球SPEI12年均值在不同季节的空间变化趋势

(a)春季, (b)夏季, (c)秋季, (d)冬季; 黑色斜线区域表示相关系数通过了0.05显著性水平的检验

Fig.4 Spatial trends of global SPEI12 annual mean values in different seasons from 1980 to 2022(a) spring, (b) summer, (c) autumn, (d) winter.The black slash area indicates that the correlation coefficients passed the test at the 0.05 significance level

图5 1980 -2022年全球SPEI12值的季节性变化趋势

(a)春季, (b)夏季, (c)秋季, (d)冬季

Fig.5 The seasonal trends of global SPEI12 from 1980 to 2022.(a) spring, (b) summer, (c) autumn, (d) winter

表2表明, 虽然全球不同季节的SPEI12在近40年无明显变化趋势面积的占比最大(约占2/3), 冬季略低, 但显著变干旱的面积占比(约占1/3, 冬季更高)明显大于显著变湿润的面积占比(6.7%~10.3%, 冬季更高), 一方面表明全球干旱化的趋势比较明显, 另一方面显示全球冬季干/湿化的趋势更显著。其中冬季变干可能与冬季降水变化相对不大, 而与增温所导致的蒸散发增加有关(张霞等, 2023)。
表2 1980 -2022年全球各季SPEI12趋势的面积百分比

Table 2 The percentage trend of global seasonal SPEI12 from 1980 to 2022

季节 显著变干旱/% 无明显趋势/% 显著变湿润/%
春季 27.8 65.3 6.9
夏季 29.7 63.0 7.3
秋季 28.5 64.8 6.7
冬季 33.2 56.5 10.3
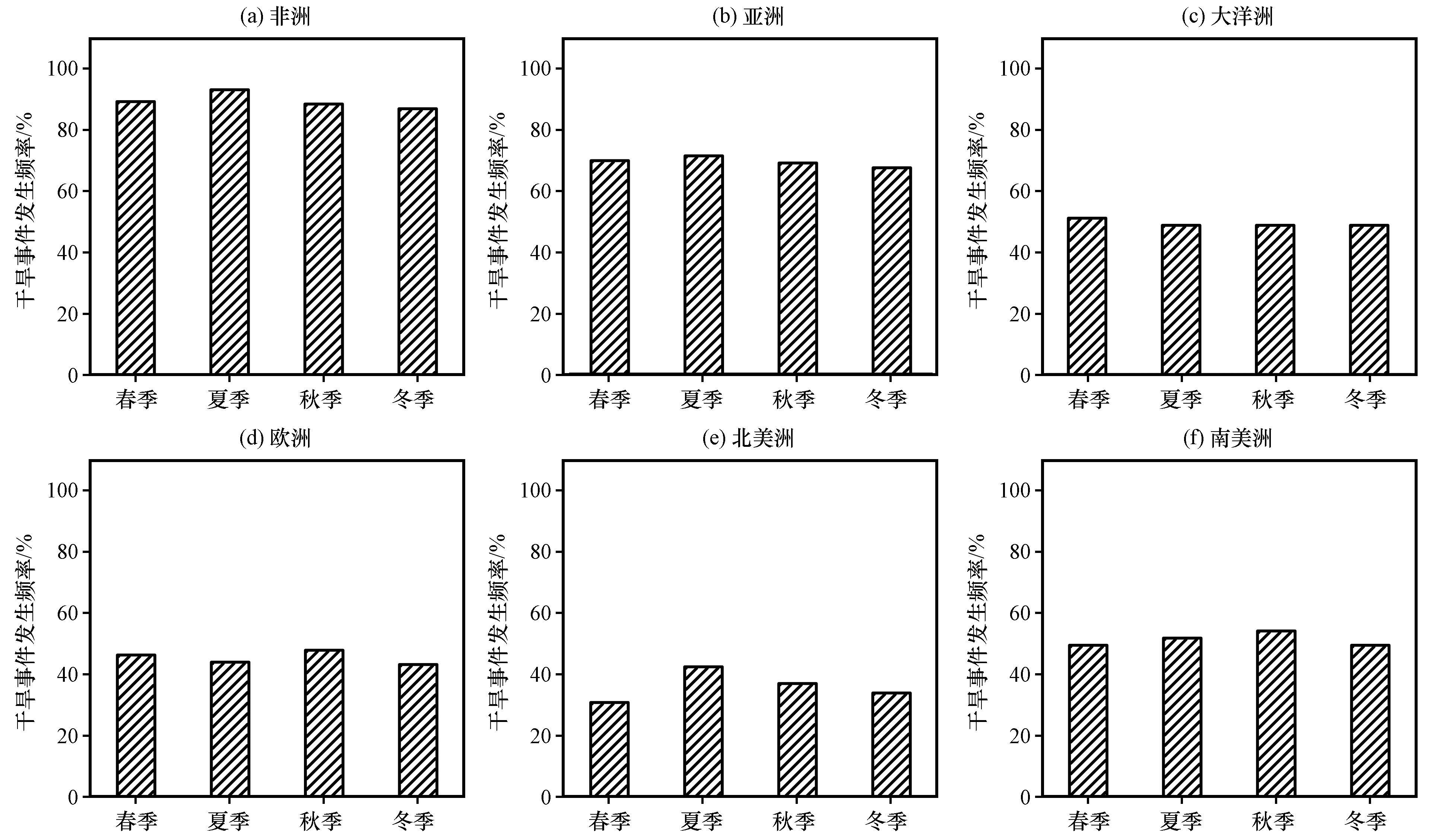
为了解干旱事件发生的频率, 统计了每个季节干旱事件发生的次数百分比。在本研究中, 我们将SPEI12小于0的值定义为干旱事件的发生。统计结果显示, 在不同季节中非洲的干旱发生频率最高(季均值89.34%), 夏季稍高, 其干旱频率超过90%(图6)。其次是亚洲(季均值69.38%), 干旱事件发生频率均在60%以上, 夏季略高。大洋洲的干旱发生频率更次之, 春季略高, 季节性差异不明显。欧洲和南美洲的干旱发生频率再次之, 秋季稍高。北美洲四季的干旱频率最低(季均值36.24%), 均在45%以下, 夏季略高, 与非洲和亚洲类似。
图6 全球各大洲四季的干旱发生频率特征

(a)非洲, (b)亚洲, (c)大洋洲, (d)欧洲, (e)北美洲, (f)南美洲

Fig.6 The occurrence frequency of droughts in different seasons across various continents(a) Africa, (b) Asia, (c) Oceania, (d) Europe, (e) North America, (f) South America

3.3  SPEI在不同土地覆盖类型的变化特征

对不同覆盖类型土地的干旱影响进行评估对农业和环境来说至关重要(Baniya et al, 2019Vicente-Serrano, 2007)。在全球范围内, 干旱在不同覆盖类型土地区域的变化各不相同。如图7所示, 大多数土地覆盖类型的干旱面积百分比普遍增加, 在近十年达到了60%~90%, 尤其是在常绿阔叶林、 稠密灌丛、 稀疏灌丛、 热带稀疏草原、 草地、 农田、 城市和建筑区以及稀疏植被地区。值得注意的是, 在2010 -2020年间, 稀疏灌丛、 农用地自然植被、 雪和冰的区域极端干旱面积占比10%~20%; 常绿阔叶林、 落叶针叶林、 稠密灌丛、 雪和冰的区域严重干旱面积达到40%及以上, 表明严重和极端干旱影响的区域增加最为显著, 稀疏植被覆盖区域更容易受到干旱的影响。
图7 1980 -2022年不同植被覆盖类型区干旱面积占比的变化特征

(a)常绿针叶林, (b)常绿阔叶林, (c)落叶针叶林, (d)落叶阔叶林, (e)混交林, (f)稠密灌丛, (g)稀疏灌丛, (h)木本热带稀疏草原, (i)热带稀疏草原, (j)草地, (k)永久湿地, (l)农用地, (m)城市和建筑区, (n)农用地自然植被, (o)雪和冰, (p)稀疏植被

Fig.7 Variation characteristics of the proportion of drought-prone areas for different vegetation cover types from 1980 to 2022(a) Evergreen Needleleaf Forest, (b) Evergreen Broadleaf Forest, (c) Deciduous Needleleaf Forest, (d) Deciduous Broadleaf Forest, (e) Mixed Forest, (f) Closed Shrubland, (g) Open Shrubland, (h) Woody Savannas, (i) Savannas, (j) Grassland, (k) Permanent Wetland, (l) Cropland, (m) Urban and Built-Up, (n) Cropland/Natural Vegetation Mosaic, (o) Snow and Ice, (p) Barren or Sparsely Vegetated

图8为1980 -2022年不同土地覆盖类型区SPEI12年均值的年际变化趋势, 在稠密灌丛、 稀疏灌丛、 草地、 农用地、 城市和建筑区以及稀疏植被等覆盖的土地上, SPEI12年均值呈现显著下降的趋势(Slope<0, p<0.01), 表明这些区域的干旱正在加剧, 其原因通常与降水减少和蒸散增强相关, 灌丛和草地因其水分敏感性, 受气候变化的影响尤为明显(Vicente-Serrano et al, 2020)。相反地, 落叶阔叶林、 落叶针叶林、 永久湿地和木本热带稀疏草原覆盖区域的SPEI12年均值呈现不显著上升的趋势(Slope>0, p>0.05)。综上所述, 1980 -2022年, 全球不同土地覆盖类型区均呈现明显的波动变化特征, 多数土地覆盖区经历了不同程度的干旱, 少数覆盖区存在一定程度的湿润化趋势。
图8 1980 -2022年不同土地覆盖类型区SPEI指数年均值的年际变化趋势

(a)常绿针叶林, (b)常绿阔叶林, (c)落叶针叶林, (d)落叶阔叶林, (e)混交林, (f)稠密灌丛, (g)稀疏灌丛, (h)木本热带稀疏草原, (i)热带稀疏草原, (j)草地, (k)永久湿地, (l)农用地, (m)城市和建筑区, (n)农用地自然植被, (o)雪和冰, (p)稀疏植被

Fig.8 The SPEI trend across different land cover types from 1980 to 2022.(a) Evergreen Needleleaf Forest, (b) Evergreen Broadleaf Forest, (c) Deciduous Needleleaf Forest, (d) Deciduous Broadleaf Forest, (e) Mixed Forest, (f) Closed Shrubland, (g) Open Shrubland, (h) Woody Savannas, (i) Savannas, (j) Grassland, (k) Permanent Wetland, (l) Cropland, (m) Urban and Built-Up, (n) Cropland/Natural Vegetation Mosaic, (o) Snow and Ice, (p) Barren or Sparsely Vegetated

3.4  SPEI在不同气候类型的变化特征

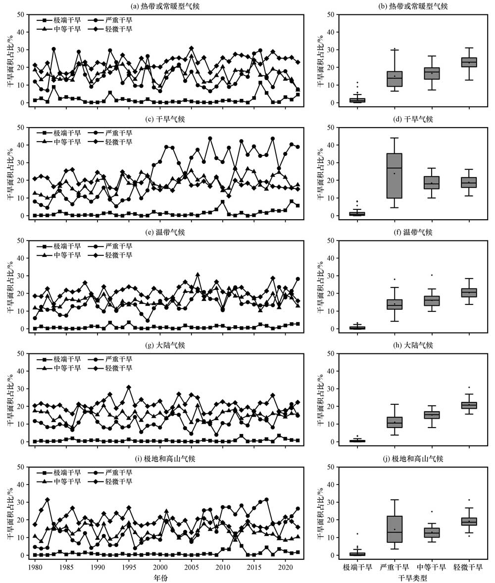
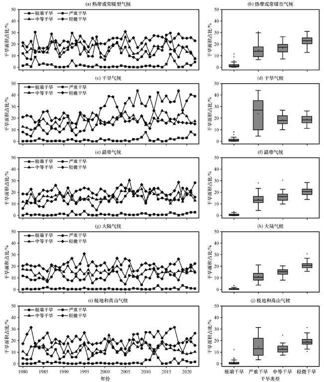
干旱和气候变化的关系较为复杂, 气候变化会导致降水时空分布不均, 出现“旱的更旱、 涝的更涝”的极端现象, 需要进一步地研究来理解其机制和影响(Masson-Delmotte et al, 2021Hamal et al, 2020)。全球极端干旱区面积在各种气候区中的占比均最少, 但是在2016年热带或常暖型气候区、 2010年干旱气候区和2012年极地和高山气候区都出现了极端干旱面积占10%~15%的大幅升高的情况(图9)。不同气候区的严重干旱面积都呈上升趋势, 尤其是干旱气候与极地和高山气候区严重干旱面积分别在1998年和2009年后大幅增加, 达到30%以上; 干旱气候区2018年的严重干旱面积最高, 占比达到45%。中等干旱区的面积占比仅次于严重干旱区, 占比15%~35%, 波动较大, 年际变化趋势不明显。而轻微干旱区面积占比较小, 为5%~30%, 变化趋势类似于中等干旱区。不同气候区的不同干旱度面积占比存在较大的差异性, 显示了气候类型对干旱程度的明显影响。总体而言, 在全球气候变化的背景下, 干旱气候区的干旱面积占比最高, 为33%~86%, 大于其他四个气候类型。温带气候、 大陆气候和极地高山气候区域的干旱面积占比在2010 -2022年间也在不断增加。这不仅证实了全球气候变化对干旱气候区的持续影响, 强调了干旱气候区是全球气候变化下最脆弱和最受影响的区域之一, 也揭示了干旱在不同气候背景下的复杂性和多样性。
图9 全球陆地不同气候区的不同干旱程度面积占比年际变化趋势(a, c, e, g, i)及比较(b, d, f, h, j)

(a, b)热带或常暖型气候, (c, d)干旱气候, (e, f)温带气候, (g, h)大陆气候, (i, j)极地和高山气候

Fig.9 Interannual trends in the area share of different degrees of aridity in different climatic zones of the global land mass (a, c, e, g, i) and comparisons (b, d, f, h, j).(a, b) Tropical or often warm climates, (c, d) Arid climates, (e, f) Temperate climates, (g, h) Continental climates, (i, j) Polar and alpine climates

3.5  SPEI在不同干湿区类型的变化特征

旱地作为全球生态系统的主要组成部分, 全年或部分时间缺乏水分(Behnke and Mortimore, 2016)。随着全球变暖, 许多干旱易发地区的干旱风险可能会增加(Dai, 2013Liu et al, 2018)。基于气候干燥度指数(AI)划分的区域, 干湿变化趋势在1980 -2022年存在明显的差异性(图10)。极端干旱区的严重干旱面积占比波动范围最大(3%~67%), 干旱区次之(7%~50%), 半干旱区、 半湿润区及湿润区波动范围相对较小(7%~28%)。其中, 除2010年的干旱面积占比异常高(30%)之外, 极端干旱的面积占比一般最少。严重干旱的面积占比于1998年之后在极端干旱区和干旱区均最高且呈现增加趋势, 而在半干旱区、 半湿润区和湿润区占比(5%~30%)较少, 表明20年来全球明显干旱主要发生在旱地, 这与前人的研究结果一致(Dai, 2013)。旱地生态系统脆弱, 对气候变化敏感(Mahlstein et al, 2013Reed et al, 2012Reynolds et al, 2007)。观测和模式模拟都表明, 持续的全球变暖将导致全球旱地变得更加干燥(Held and Soden, 2006Mahlstein et al, 2013Overpeck and Udall, 2010Seager et al, 2007)。
图10 全球陆地不同干旱区的不同干旱程度面积占比年际变化趋势(a, c, e, g, i)及比较(b, d, f, h, j)

(a, b)极端干旱区, (c, d)干旱区, (e, f)半干旱区, (g, h)半湿润区, (i, j)湿润区

Fig.10 Interannual trends in the area share of different aridity levels in different arid zones of the global landmass (a, c, e, g, i) and comparisons (b, d, f, h, j).(a, b) extreme arid zone, (c, d) arid zone, (e, f) semi-arid zone, (g, h) semi-humid zone, (i, j) humid zone

湿润区、 半湿润区和半干旱区的干旱面积占比在近40年来变化不大, 而极端干旱区与干旱区的干旱程度年际变化趋势较明显, 更容易受到气候变化的影响, 显示了这些地区对气候严重干旱化的高敏感性。其原因可能为湿润区和半湿润区的气候条件相对稳定, 降水充足且蒸发较低, 因此SPEI在长期变化中波动较小, 干旱面积变化不明显。半干旱区、 干旱区和极端干旱区降水较少且年际变化显著, 加上高温导致蒸散发增加, 气候波动更易引发干旱程度的变化(Huang et al, 2016)。

3.6 全球陆地未来干旱变化趋势

2016-2100年三种气候变化情景下的SPEI12年均值在21世纪60年代初期出现交叉, 随后出现反转(图11)。在SSP1-2.6情景下, 全球陆地的SPEI12年均值先快速下降, 后于2060年后趋于平缓; 而在SSP5-8.5和SSP2-4.5情景下, 全球陆地的SPEI12年均值持续减小, 但前者的减小速度高于后者。特别是在21世纪60年代后期, SSP5-8.5情景在未来变干的趋势尤为明显。
图11 2016 -2100年三种SSP情景下SPEI 12年均值的变化趋势

Fig.11 Change trends of annual mean values of SPEI12 with regard to three SSP scenarios from 2016 to 2100

在SSP1-2.6情景下, 除非洲东部和南美洲南部外, 两大洲都呈现出显著变干的趋势(Slope<0, p<0.05), 其变干面积达90%以上; 在SSP2-4.5情景下, 非洲、 南美洲、 大洋洲和亚洲南部的变干趋势最明显, 欧洲次之, 其占比也达到了90%(图12)。而在SSP5-8.5情景下, 全球变干的面积更广, 强度也更高, 非洲、 大洋洲和南美洲变干的面积接近100%。格陵兰岛以及亚洲北部出现“湿更湿”的现象, 尤其是在SSP1-2.6情景下中国西北地区有显著变湿润的趋势, 在SSP2-4.5和SSP5-8.5情景下也呈现出不显著的变湿润趋势。但总体而言, 不同情景下的预测结果均表明未来80年全球的干旱趋势都非常显著。
图12 2016 -2100年三种SSP情景下SPEI 12年均值的空间变化趋势(a, c, e)及各大洲干旱面积占比(b, d, f)

(a、 b) SSP1-2.6, (c、 d) SSP2-4.5, (e、 f) SSP5-8.5; 黑色斜线区域表示相关系数通过了0.05显著性水平的检验

Fig.12 Spatial trends of SPEI12 annual mean values under three SSP scenarios from 2016 to 2100(a, c, e) and the percentage of drought area in each continent (b, d, f).(a, b) SSP1-2.6, (c, d) SSP2-4.5, (e, f) SSP5-8.5.The black diagonal area indicates that the correlation coefficients passed the test at the 0.05 significance level

尽管全球7%~25%的陆地干旱趋势在10种模式下的变化都不显著, 但高达64%~83%的陆地呈现出日益加剧的干旱趋势。相比之下, 仅有10%~12%的区域呈湿润趋势(表3)。与过去(1980 -2022年)相比, 未来变干区域将大幅增加, 尤其在高排放情景下增加的幅度约60%。总的来看, 未来全球陆地将呈现出更加干旱的趋势。
表3 2016 -2100年全球陆地SPEI12年均值的趋势百分比

Table 3 Percentage trends of global seasonal SPEI12 from 2016 to 2100

排放情景 显著变干旱/% 无明显趋势/% 显著变湿润/%
SSP1-2.6 63.7 24.7 11.6
SSP2-4.5 77.9 10.8 11.3
SSP5-8.5 82.8 6.9 10.3
在未来三种情景下, 除极地和高山气候外, 其他气候类型(包括热带或常暖型气候、 温带气候、 干旱气候和大陆性气候)的SPEI指数均呈现下降趋势。其中, 热带或常暖型气候的SPEI指数下降最为显著, 变化斜率负值最大(分别为-0.010、 -0.021、 -0.031); 其次是温带气候和干旱气候, 而大陆性气候的下降趋势相对较小[图13(a)]。与此同时, 极地和高山气候的干旱面积占比呈现减少趋势, 而其他四种气候类型的干旱面积占比则均显著增加[图13(d)]。从干湿区的角度来看, 极端干旱区的SPEI指数变化斜率负值最大(分别为-0.008、 -0.018、 -0.030), 表明干旱加剧最显著; 其次是干旱区、 半干旱区和湿润区, 变化幅度最小的为半湿润区[图13(b)]。在干旱面积占比的变化中, SSP1-2.6和SSP2-4.5情景下极端干旱区的干旱面积增加趋势最为显著, 而在SSP5-8.5情景下, 干旱面积增加趋势最大的则是干旱区[图13(e)]。从不同植被覆盖类型来看, 除雪和冰外, 其他植被类型的SPEI指数均呈下降趋势。其中, 常绿阔叶林的SPEI指数下降趋势最为显著, 变化斜率负值最大(分别为-0.006、 -0.013、 -0.019), 干旱程度最为严重; 稀疏植被、 农用地自然植被、 落叶阔叶林、 草地、 混交林、 城市和建筑区以及木本热带稀疏草原的SPEI指数下降趋势也较为显著[图13(c)]。相应地, 雪和冰的干旱面积占比呈现减少趋势, 而其他植被类型的干旱面积占比均呈现增加趋势, 其中常绿阔叶林的干旱面积增加趋势最为显著[图13(f)]。总体而言, 在SSP5-8.5情景下, SPEI指数在不同地理条件下的变化趋势最为明显, 同时干旱面积占比的变化幅度也最大, 这表明该情景下的干旱问题可能更为严峻。
图13 2016 -2100年三种SSP情景下SPEI指数(a, b, c)与干旱面积占比(d, e, f)在不同地理条件下随时间变化的斜率统计

(a, d)不同气候类型, (b, e)不同干湿区, (c, f)不同植被覆盖类型

Fig.13 Slope statistics of SPEI index (a, b, c) versus percentage of dry area (d, e, f) over time under different geographical conditions for three SSP scenarios, 2016 -2100.(a, d)different climate types, (b, e) different dry and wet areas, (c, f) different vegetation cover types

4 结论

本研究基于干旱指数SPEI和CMIP6等数据, 运用Mann-Kendall趋势检验等方法分季节、 土地覆盖类型、 气候和干湿区4个维度分析了1980 -2022年的全球干旱的时空变化特征, 并且预测了2016 - 2100年三个不同气候变化情景下的未来全球干旱变化趋势。本研究主要结论如下:
(1) 全球陆地干旱趋势日渐严峻。1980 -2022年, 全球陆地变干旱的区域(面积占比33%)远大于变湿润的区域(10%), 且大洋洲、 非洲和欧洲地区的干旱有较高的年际和区域性差异。
(2) 全球正经历全年无季节性差别的变干旱趋势, 且冬季的气候变化使干旱的区域变得更广阔, 占全球的33.2%。
(3) 全球不同区域的干湿变化差异较大, 其中稀疏植被覆盖的区域更易受干旱的影响, 而植被茂密覆盖的区域有变湿润的趋势; 不同气候区中干旱气候区将面临更加干旱的挑战; 不同干湿区中干旱事件在旱地的发生频率更高(最高67%), 并且原先湿润的区域也在逐渐变得干旱。
(4) 不同气候变化情景下, 未来全球陆地的干旱化趋势一致, 但是干旱化的程度与范围不一样。在SSP1-2.6情景下, 亚洲西北部的植被覆盖区在未来可能出现暖湿化的趋势。21世纪后期, 在SSP5-8.5情景下全球的干旱范围最大(最高83%), 北美洲南部、 南美洲、 亚洲南部、 欧洲南部地中海地区、 非洲和大洋洲是未来极易发生干旱的区域, 特别是在热带或常暖型气候区、 极端干旱区以及常绿阔叶林区域, 干旱将变得更加频繁和严峻。
综上所述, 本研究基于多源遥感数据分析和预测了气候变化情景下全球干旱的时空变化特征, 但不同区域的干旱变化原因并未深入探讨。事实上, 导致干旱的要素复杂多样, 既包括自然因素, 也涉及人为因素。因此, 未来的分析需综合考虑多因素的影响, 结合不同区域的干旱监测与预警系统、 卫星遥感、 气象观测和地面监测等手段, 实时监测不同区域的干旱状况, 并深入研究干旱化趋势的驱动因素, 以便能够更好地应对干旱带来的挑战, 加深对气候变化、 水资源和生态系统的理解。
Anderegg W R L Kane J M Anderegg L D L2013.Consequences of widespread tree mortality triggered by drought and temperature stress[J].Nature Climate Change3(1): 30-36.DOI: 10.1038/nclimate1635 .

Bae S Lee S H Yoo S H, et al, 2018.Analysis of drought intensity and trends using the modified SPEI in South Korea from 1981 to 2010[J].Water, 10: 327.DOI: 10.3390/w10030327 .

Banimahd S A Khalili D2013.Factors influencing markov chains predictability characteristics, utilizing SPI, RDI, EDI and SPEI drought indices in different climatic zones[J].Water Resources Management, 27: 3911-3928.DOI: 10.1007/s11269-013-0387-z .

Baniya B Tang Q H Xu X M, et al, 2019.Spatial and temporal variation of drought based on satellite derived vegetation condition index in Nepal from 1982-2015[J].Sensors19(2).DOI: 10.3390/s19020430 .

Begueria-Portugues S Vicente-Serrano S M, Angulo-Martínez, et al, 2010.The Standardized Precipitation-Evapotranspiration Index(SPEI): a multiscalar drought index[J].International Journal of Climatology30(13), 2125-2147.DOI: 10.1002/joc.2254 .

Behnke R Mortimore M2016.Changing paradigms for people-centered development in the Sahel[M].Springer Berlin Heidelberg, (Chapter 3): 65-98.DOI: 10.1007/978-3-642-16014-1_3 .

Dai A2013.Erratum: Increasing drought under global warming in observations and models [J].Nature Climate Change, 3, 1041.DOI: 10.1038/nclimate2085 .

Friedl M Gray J Sulla-Menashe D2022.MODIS/Terra+Aqua land cover dynamics yearly L3 global 500 m SIN Grid V061[R].NASA EOSDIS Land Processes DAAC: Missoula, MT, USA.

Hamal K Sharma S Khadka N, et al, 2020.Assessment of drought impacts on crop yields across Nepal during 1987-2017[J].Meteorological Applications27(5), e1950.DOI: 10.1002/met.1950 .

Heim J Richard R2002.A review of twentieth-century drought indices used in the United States[J].Bulletin of the American Meteorological Society, 83, 1149-1165.DOI: 10.1175/BAMS-83-8-1149 .

Huang J P Yu H P Guan X D, et al, 2016.Accelerated dryland expansion under climate change[J].Nature Climate Change6(2): 166-171.DOI: 10.1038/NCLIMATE2837 .

Held I M Soden B J2006.Robust responses of the hydrological cycle to global warming[J].Journal of Climate, 19: 5686-5699.DOI: 10.1175/JCLI3990.1 .

Hou Y2017.Application of global SPEI database and its multi-scale correlation with circulation factors[J].Journal of Water Resources Research6(1): 9-17.DOI: 10.12677/jwrr.2017.61002 .

Kalvová, J, Halenka, T, Bezpalcová K, et al, 2003.Koppen climate types in observed and simulated climates[J].Studia Geophysica et Geodaetica47(4): 185-202.DOI: 10.1023/a: 1022263908716 .

Kendall M G1938.A new measure of rank correlation[J].Biometrika30(1/2): 81-93.DOI: 10.1093/biomet/30.1-2.81 .

Li W Pacheco-Labrador J Migliavacca M, et al, 2023.Widespread and complex drought effects on vegetation physiology inferred from space[J].Nature Communications, 14: 4640.DOI: 10.1038/s41467-023-40226-9 .

Liu W B Sun F B Lim W H, et al, 2018.Global drought and severe drought-affected populations in 1.5 and 2 ℃ warmer worlds[J].Earth System Dynamics9(1): 267-283.DOI: 10.5194/esd-9-267-2018 .

Mahlstein I Daniel J S Solomon S2013.Pace of shifts in climate regions increases with global temperature[J].Nature Climate Change3(8): 739-743.DOI: 10.1038/nclimate1876 .

Mann H B1945.Nonparametric tests against trend[J].Econometrica13(3): 245-259.DOI: 10.2307/1907187 .

Marengo J A Espinoza J C2016.Extreme seasonal droughts and floods in Amazonia: causes, trends and impacts[J].International Journal Of Climatology36(3): 1033-1050.DOI: 10.1002/joc.4420 .

Masson-Delmotte V Zhai P Pörtner H O, et al, 2021.IPCC, 2021: Climate change 2021: the physical science basis.contribution of Working Group I to the sixth assessment report of the intergovernmental panel on climate change[R].Cambridge University Press, 2391.DOI: 10.1017/9781009157896 .

McKee T B Doesken N J Kleist J1993.January.The relationship of drought frequency and duration to time scales[R].Proceedings of the 8th Conference on Applied Climatology, 17(22): 179-183.

Overpeck J Udall B2010.Dry times ahead[J].Science328(5986): 1642-1643.DOI: 10.1126/science.1186591 .

Palmer W C2006.Meteorological drought[M].US Department of Commerce, Weather Bureau.

Peel M C Finlayson B L McMahon T A2007.Updated world map of the Köppen-Geiger climate classification[J].Hydrology and Earth System Sciences11(5): 1633-1644.DOI: 10.5194/hess-11-1633-2007 .

Reed S C Coe K K Sparks J P, et al, 2012.Changes to dryland rainfall result in rapid moss mortality and altered soil fertility[J].Nature Climate Change2(10): 752-755.DOI: 10.1038/nclimate1596 .

Reynolds J F Stafford S D M Lambin E F, et al, 2007.Global desertification: building a science for dryland development[J].Science316(5826): 847-851.DOI: 10.1126/science.1131634 .

Seager R Ting M F Held I, et al, 2007.Model projections of an imminent transition to a more arid climate in southwestern North America[J].Science316(5828): 1181-1184.DOI: 10.1126/science.1139601 .

Stocker B D Zscheischler J Keenan T F, et al, 2019.Drought impacts on terrestrial primary production underestimated by satellite monitoring[J].Nature Geoscience12(4): 264-270.DOI: 10. 1038/s41561-019-0318-6 .

Thornthwaite C W1948.An approach toward a rational classification of climate[J].Geographical review38(1): 55-94.

Tsakiris G Vangelis H2005.Establishing a drought index incorporating evapotranspiration[J].European Water9(10): 3-11.

Ullah H Akbar M2020.Drought risk analysis for water assessment at gauged and ungauged sites in the low rainfall regions of Pakistan[J].Environmental Processes-an International Journal, 8: 139-162.DOI: 10.1007/s40710-020-00478-9 .

Vicente-Serrano S M2007.Evaluating the impact of drought using remote sensing in a Mediterranean, semi-arid region[J].Natural Hazards40(1): 173-208.DOI: 10.1007/s11069-006-0009-7 .

Vicente-Serrano S M Quiring S M Peña-Gallardo M A, et al, 2020.Review of environmental droughts: increased risk under global warming[J].Earth-Science Reviews, 201: 102953.DOI: 10. 1016/j.earscirev.2019.102953 .

Wang W Guo B Zhang Y, et al, 2021a.The sensitivity of the SPEI to potential evapotranspiration and precipitation at multiple timescales on the Huang-Huai-Hai Plain, China[J].Theoretical and Applied Climatology143(1): 87-99.DOI: 10.1007/s00704-020-03394-y .

Wang T Tu X Singh V P, et al, 2021b.Global data assessment and analysis of drought characteristics based on CMIP6[J].Journal of Hydrology, 596: 126091.DOI: 10.1016/j.jhydrol.2021.126091 .

Xu L Y Wang H M Duan Q C, et al, 2013.The Temporal and spatial distribution of droughts during summer corn growth in Yunnan Province based on SPEI[J].Resources Science35(5): 1024-1034.

Yuan X Wang Y M Ji P, et al, 2023.A global transition to flash droughts under climate change[J].Science380(6641): 187-191.DOI: 10.1126/science.abn6301 .

Zhao T B Dai A G2022.CMIP6 model-projected hydroclimatic and drought changes and their causes in the twenty-first century[J].Journal of Climate35(3): 897-921.DOI: 10.1175/JCLI-D-21-0442.1 .

Zhuang S W Zuo H C, Z, Ren P, et al, 2013.Application of Standardized Precipitation Evapotranspiration Index in China[J].Climatic and Environmental Research (in Chinese)18(5): 617-625.DOI: 10.1016/j.matlet.2013.08.029 .

Zomer R J Xu J C Trabucco A2022.Version 3 of the global aridity index and potential evapotranspiration database[J].Scientific Data9(1): 409.DOI: 10.1038/s41597-022-014931-1 .

林睿, 2023.基于SWAT模型的沁河流域综合干旱指数构建及时空演变分析[D].郑州: 华北水利水电大学.Lin R, 2023.Construction and Spatiotemporal Evolution Analysis of Integrated Drought Index in the Qinhe River Basin Based on the SWAT Model [D].Zhengzhou: North China University of Water Resources and Electric Power.

贾何佳, 李谢辉, 王磊, 等, 2022.基于机器学习的西南地区遥感干旱监测与评估[J].高原气象41(6): 1572-1582.DOI: 10.7522/j.issn.1000-0534.2022.00006.Jia H J

Li X H Wang L, et al, 2022.Remote Sensing Drought Monitoring and Assessment in Southwestern China based on Machine Learning[J].Plateau Meteorology41(6): 1572-1582.DOI: 10.7522/j.issn.1000-0534.2022.00006 .

刘海, 姜亮亮, 刘冰, 等, 2023.近40 年中国干旱特征及其对植被变化的影响[J].生态学报43(19): 7936-7949.DOI: 10.20103/j.stxb.202206061601.Liu H

Jiang L L Liu B, et al, 2023.Characterstics of drought in China and its efect on vegetation change in recent 40 years[J].Acta Ecologica Sinica43(19): 7936-7949.DOI: 10.20103/j.stxb.202206061601 .

罗雨梅, 祝善友, 李悦丽, 等, 2024.缺失时段对黑河流域夏季FY-4AAGRI地表温度时间维重建的影响分析[J].地球信息科学学报26(3): 709-724.DOI: 10.12082/dqxxkx.2024.230339.Lou Y M

Zhou S Y Li Y L, et al, 2024.Analyzing the influence of missing periods on the time dimensional reconstruction of summer land surface temperature in the Heihe River Basin using FY--4A AGRI data[J].Journal of Geo-information Science26(3): 709-724.DOI: 10.12082/dqxxkx.2024.230339 .

朴世龙, 张新平, 陈安平, 等, 2019.极端气候事件对陆地生态系统碳循环的影响[J].中国科学: 地球科学49(9): 1321-1334.DOI: 10.1007/s11430-018-9363-5.Piao S L

Zhang X P Chen A P, et al, 2019.The impacts of climate extremes on the terrestrial carbon cycle[J].Science China Earth Sciences49(9): 1321-1334.DOI: 10.1007/s11430-018-9363-5 .

宋艳玲, 2022.全球干旱指数研究进展[J].应用气象学报33(5): 513-526.DOI: 10.11898/1001-7313.20220501.Song Y L , 2022.Advancements in global drought indices research[J].The Journal of Applied Meteorology, 33(5): 513-526.DOI: 10.11898/1001-7313.20220501 .

王晓丹, 张勃, 马彬, 等, 2022.基于日值 SPEI 东北地区近58a干旱时空演变特征[J].高原气象41(3): 721-732.DOI: 10.7522/j.issn.1000-0534.2021.00015.Wang X D

Zhang B Ma B, et al, 2022.Spatial and temporal evolution of drought in northeast China in recent 58 years based on daily SPEI[J].Plateau Meteorology41(3): 721-732.DOI: 10.7522/j.issn.1000-0534.2021.00015 .

於琍, 曹明奎, 李克让, 2005.全球气候变化背景下生态系统的脆弱性评价[J].地理科学进展24(1): 61-69.

Yu L Cao M K Li K R2005.An overview of assessment of ecosystem vulnerability to climate change[J].Progress in Geography24(1): 61-69.

张霞, 段建平, 马柱国, 2023.基于日干旱指数的青藏高原1979-2020年干湿变化特征分析[J].高原气象42(4): 870-886.DOI: 10.7522/j.issn.1000-0534.2022.00093.Zhang X

Duan J P Ma Z G2023.A Daily drought index-based dry and wet variation analyses over the Qinghai-Xizang Plateau from 1979 to 2020[J].Plateau Meteorology42(4): 870-886.DOI: 10.7522/j.issn.1000-0534.2022.00093 .

周星宇, 姜海玲, 赵艺源, 等, 2023.遥感干旱指数在金沙江流域干旱监测中的适用性研究[J].测绘与空间地理信息46(1): 21-24.

Zhou X Y Jiang H L Zhao Y Y, et al, 2023.Applicability of remote sensing drought index in drought monitoring of Jinsha River Basin[J].Geomatics & Spatial Information Technology46(1): 21-24.

Outlines

/