山西不同历时强降水的统计特征及趋势变化 |
| 苗爱梅,王洪霞,武捷 |
|
Statistical Characteristics and Trend Change of Different Duration Short-Duration Heavy Rainfall in Shanxi Province |
| Aimei MIAO,Hongxia WANG,Jie WU |
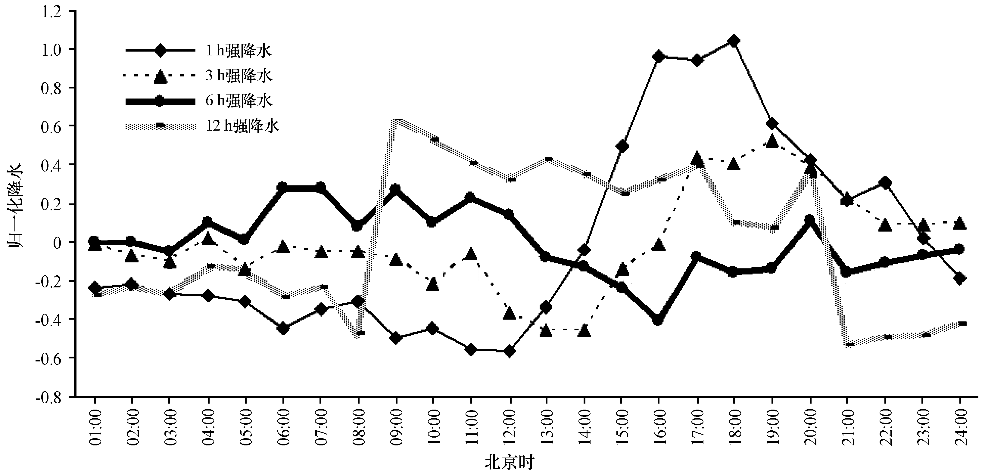
| 图3 1981 -2018年山西省归一化的不同历时强降水量日变化 |
| Fig.3 Daily variation of normalized heavy precipitation over different diachronic periods in Shanxi Province from 1981 to 2018 |
|