山西不同历时强降水的统计特征及趋势变化 |
| 苗爱梅,王洪霞,武捷 |
|
Statistical Characteristics and Trend Change of Different Duration Short-Duration Heavy Rainfall in Shanxi Province |
| Aimei MIAO,Hongxia WANG,Jie WU |
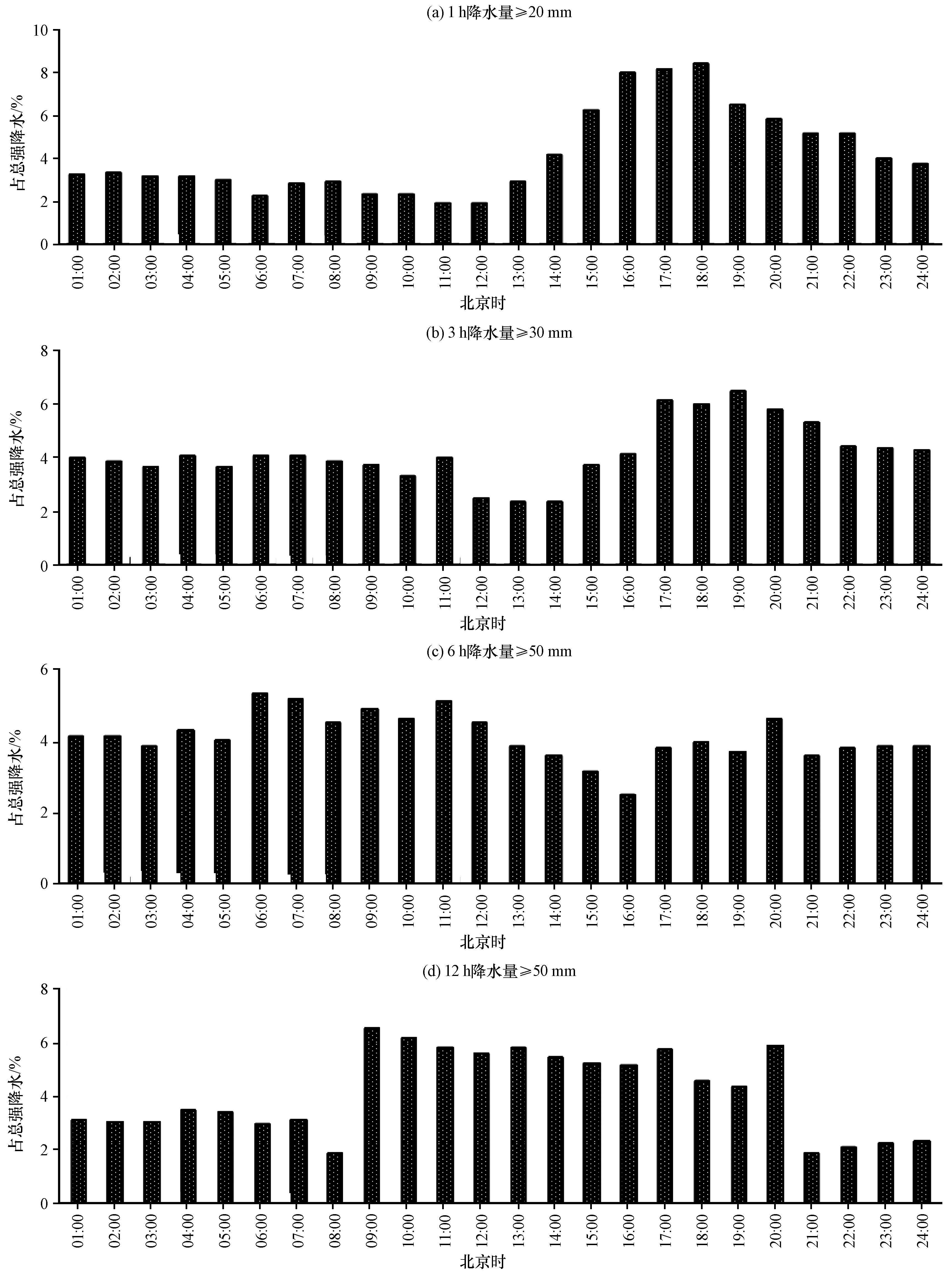
| 图4 山西省不同的短历时强降水频次日变化 |
| Fig.4 Daily variation of different short-duration heavy rainfall frequencies in Shanxi Province |
|