青藏高原雪灾频数对海温异常强迫的响应研究 |
| 刘彩红,余锦华,杨延华 |
|
A Study of the Response of Snow Disaster Frequency to Sea Surface Temperature Forcing Anomaly Forcing over the Qinghai-Xizang Plateau |
| Caihong LIU,Jinhua YU,Yanhua YANG |
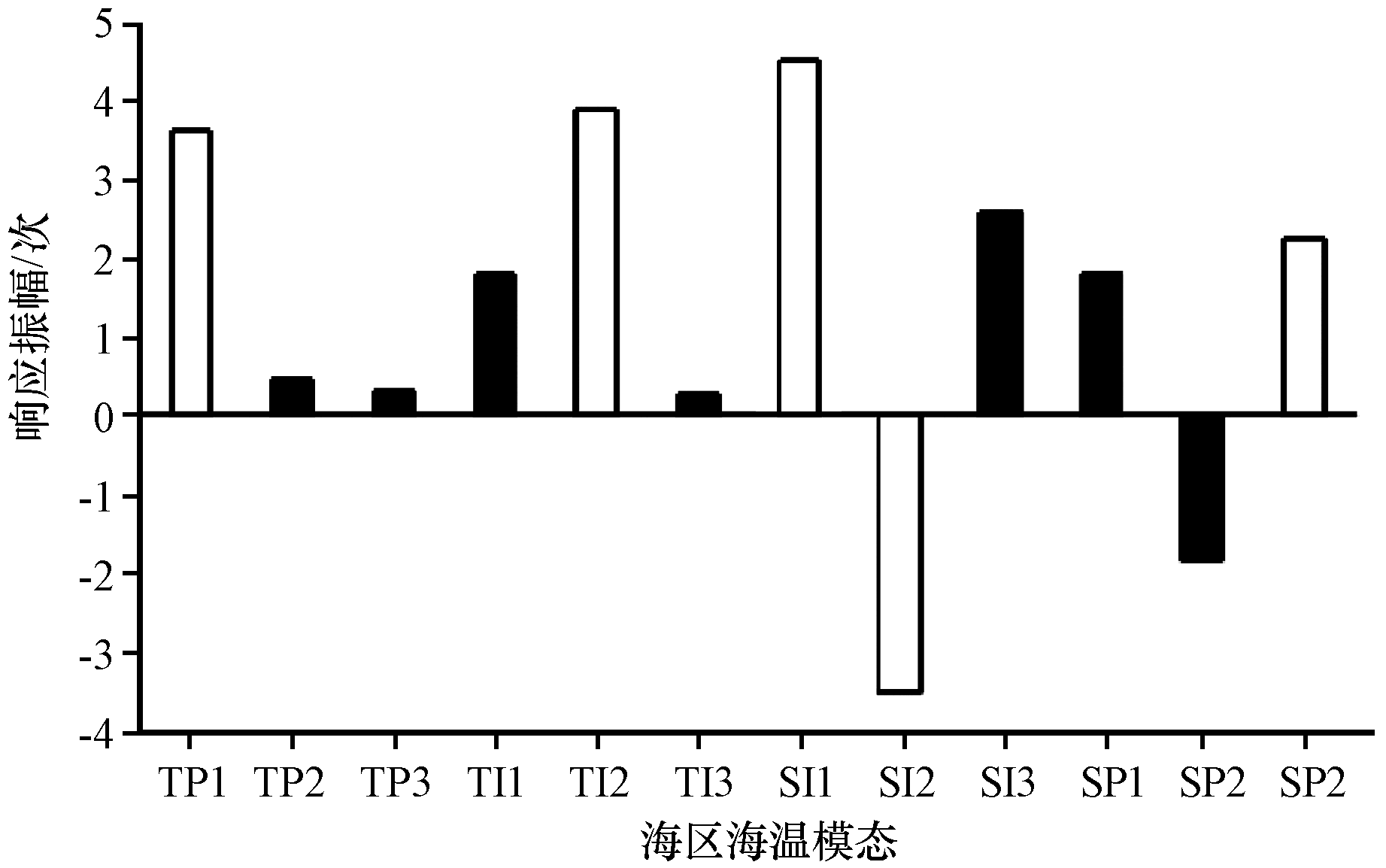
| 图4 热带太平洋(TP1, TP2, TP3)、 热带印度洋(TI1, TI2, TI3)、 南印度洋(SI1, SI2, SI3)、 南太平洋(SP1, SP2, SP3)4个海区海温前三个模态的高原雪灾频数GEFA响应振幅 空心柱代表模态响应振幅通过90%蒙特卡洛显著性检验 |
| Fig.4 GEFA response amplitude of Plateau snow disaster frequency for the first three modalities of SST in tropical Pacific (TP1, TP2, TP3), tropical Indian Ocean (TI1, TI2, TI3), South Indian Ocean (SI1, SI2, SI3) and South Pacific (SP1, SP2, SP3).The hollow column represents the amplitude of modal response that have passed the 90% Monte Carlo significance test |
|