干旱区荒漠-绿洲过渡带3种典型灌木气孔导度对环境变化的响应及其对蒸腾的调控
郭飞,吉喜斌,金博文,赵丽雯,赵文玥,焦丹丹

The Response of Stomatal Conductance of Three Typical Shrubs to Environmental Change and Stomatal Regulation of Transpiration in an Arid Desert-oasis Ecotone
Fei GUO,Xibin JI,Bowen JIN,Liwen ZHAO,Wenyue ZHAO,Dandan JIAO
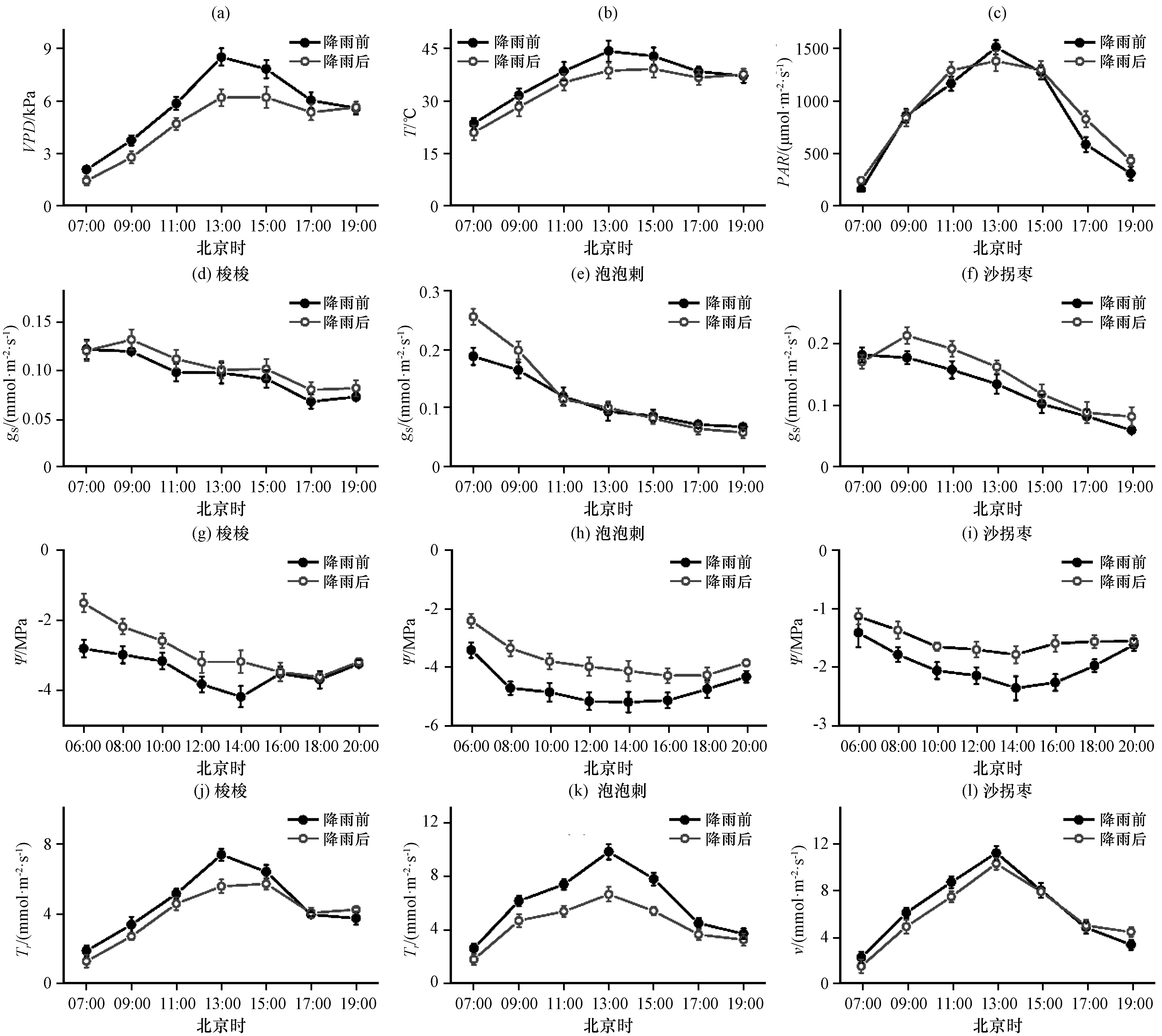
图1 降雨前后饱和水汽压差VPD (a)、 气温T (b)、 光合有效辐射PAR (c)和3种灌木气孔导度gs (d~f)、 叶水势Ψ (g~i)及蒸腾速率Tr (j~l)的平均日变化
Fig.1 Mean diurnal variations of Vapor Pressure Deficit (VPD) (a)、 air temperature (T) (b) and Photosynthetically Active Radiation (PAR) (c) and stomatal conductance (gs) (d~f)、 leaf water potential (Ψ)(g~i)、 transpiration rate (Tr)(j~l) of the three shrubs prior to and following rainfall