干旱区荒漠-绿洲过渡带3种典型灌木气孔导度对环境变化的响应及其对蒸腾的调控 |
郭飞,吉喜斌,金博文,赵丽雯,赵文玥,焦丹丹 |
The Response of Stomatal Conductance of Three Typical Shrubs to Environmental Change and Stomatal Regulation of Transpiration in an Arid Desert-oasis Ecotone |
Fei GUO,Xibin JI,Bowen JIN,Liwen ZHAO,Wenyue ZHAO,Dandan JIAO |
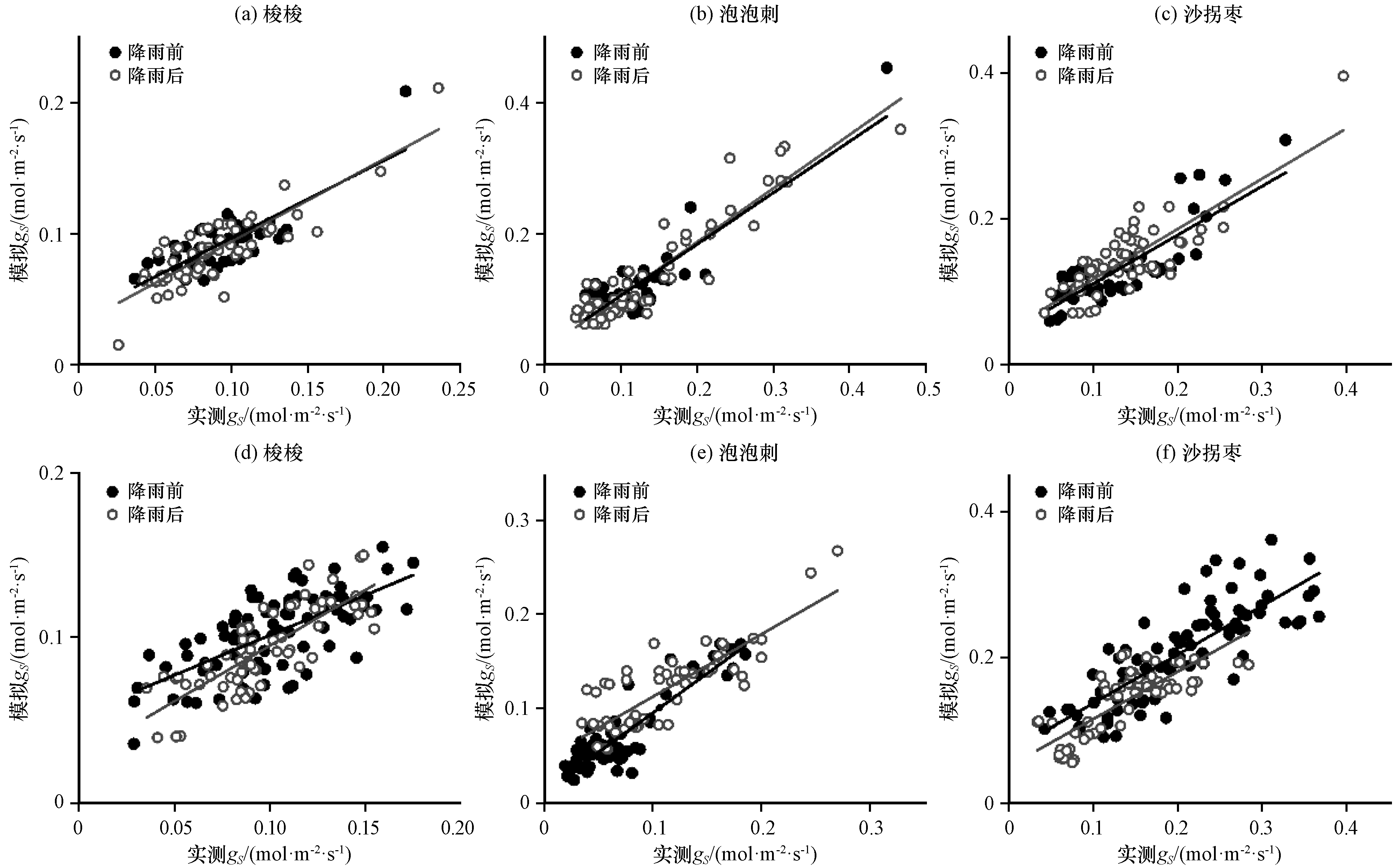
图4 2020年(a~c)和2019年(d~f)3种灌木气孔导度模拟值与实测值比较 |
Fig.4 Comparison between simulated and measured stomatal conductance values of the three shrubs in 2020 (a~c) and 2019 (d~f) |
![]() |