Study on the Characteristics of Atmospheric Turbulence Exchange in the Lower Reaches of the Lhasa River in the Eastern Qinghai-Xizang Plateau

  • Bin YANG ,
  • Qi YUAN ,
  • Changhai TAN ,
  • Gong ZHANG ,
  • Ning ZHENG ,
  • Lianglei GU
Expand
  • 1. Comprehensive Survey Command Center for Natural Resources,China Geological Survey,Beijing 100055,China
    2. Research Institute of Forestry,Chinese Academy of Forestry,Beijing 100091,China
    3. School of Atmospheric Sciences,SUN YAT-SEN University,Zhuhai 519082,Guangdong,China
    4. Key Laboratory of Land Surface Process and Climate Change in Cold and Arid Regions,Northwest Institute of Eco-Environment and Resources,Chinese Academy of Sciences,Lanzhou 730000,Gansu,China
    5. Nagqu Station of Plateau Climate and Environment,Northwest Institute of Eco-Environment and Resources,Chinese Academy of Sciences,Lanzhou 730000,Gansu,China

Received date: 2021-02-01

  Revised date: 2021-10-09

  Online published: 2022-03-17

Abstract

Matter and energy between the land and atmosphere are transported with turbulent movement.Eddy covariance technology is an important way to evaluate atmospheric resources.It plays an important role in turbulence characteristics and accurate flux observation research.In this study, we analyzed the characteristics and similarity of turbulence spectra under different atmosphere conditions in the growing and non-growing seasons using closed-path eddy covariance system of Caigongtang flux station for the underlying surface of the typical grassland in the lower reaches of the Lhasa River in the eastern Qinghai-Xizang Plateau from August to November, 2020.The results showed: (1) During the growing season from August to September, the average daily net ecosystem CO2 exchange (NEE) was -2.3 gC·m-2·d-1, and the average daily ET was 1.8 mm·day-1, During the non-growing season from October to November, the average daily NEE was 1.1 gC·m-2·d-1, and the average daily ET was 0.3 mm·day-1; (2) The normalized spectra of three-dimensional (uv and w) direction of turbulent wind speed and temperature had obvious sub-regions of inertia, the slope of the spectra density curve conformed to the -2/3 law, and the normalized co-spectra of the vertical direction (w) turbulent wind speed and temperature, CO2 and H2O gas concentrations is higher than -4/3 law; (3) The daily variation of atmosphere stability during the growing and non-growing seasons was similar, mainly decreasing with the increase of momentum flux, but the normalized standard deviation ( σ / u *) fitting results of wind speed in each direction were different.During the growing season, σ u / u * σ v / u *, and σ w / u *were 2.84, 2.73, and 1.07, respectively.During the non-growing season, the three increased to 3.23, 3.19, and 1.22, respectively.The increase in normalized standard deviation of horizontal wind speed was obvious during the non-growing season, so the parameterization scheme of the similarity law of turbulent wind speed during the growing and non-growing seasons should be considered separately.The closed-path eddy covariance system can better realize the flux observation in this study area, and this conclusion can provide the basis for the land surface parameterization scheme that considers the similarity of the turbulent wind speed during the growing and non-growing seasons, which helps to observe the atmospheric resources more accurately.

Cite this article

Bin YANG , Qi YUAN , Changhai TAN , Gong ZHANG , Ning ZHENG , Lianglei GU . Study on the Characteristics of Atmospheric Turbulence Exchange in the Lower Reaches of the Lhasa River in the Eastern Qinghai-Xizang Plateau[J]. Plateau Meteorology, 2022 , 41(1) : 204 -215 . DOI: 10.7522/j.issn.1000-0534.2021.00086

1 引言

地表与大气(地-气)之间能量传输(动量和热量)和物质交换(水汽、 二氧化碳和甲烷等)对调节植被微气象特征有重要的影响。其中湍流运动是地-气相互作用的主要驱动因素, 其特征具有较大的空间异质性, 它对环境可持续发展、 天气预报、 气候变化预测以及全球尺度上的生物地球化学循环研究都具有指导作用。涡度相关技术是观测地-气之间能量传输和物质交换的主要手段(Baldocchi, 2020Elie et al, 2020), 它对不同下垫面的湍流特征及精确的通量观测研究具有重要的作用(Finnigan et al, 2020Wang et al, 2019)。
大气湍流能谱和局地相似性特征是湍流运动的主要研究内容。近地表边界层的湍流运动是由许多不同空间尺度且不断变化的湍涡相互叠加而成, 可以通过频谱来表征不同尺度的湍涡变化强度。地-气之间能量和物质交换主要通过小湍流进行流动, 同时湍流经过下垫面植被或其他障碍物, 其速度和方向都会发生变化, 进而造成了能量和物质流动的不确定性(Yue et al, 2015)。Taylor(1938)首次利用气球和风杯观测湍流运动, 量化了湍流中的动量通量; Kaimal et al(1972)在Kannas草原均一平坦下垫面上利用三维超声风速仪首次得出了湍流的归一化谱, 得出湍流动量各向同性的性质(侧向风速谱和垂向风速谱是纵向风速谱的4/3倍)。Kolmogorov(1991)研究其能谱并提出了惯性副区, 该区域的能谱与频率之间的斜率满足-5/3关系(归一化谱为-2/3关系), 其结果与Kaimal et al(1972)的结果一致; Monin and Obukhov(1954)提出了湍流的相似理论。Raupach et al(1996)研究得出湍流速度的标准差与大气稳定度的之间的关系满足1/3的规律。当前可通过判断不同变量的归一化谱的惯性副区斜率、 谱峰值及其对应频率, 以及湍流的相似性特征, 可有效评价涡度相关系统仪器观测质量(倪攀等, 2009)。
青藏高原(下称高原)具有特殊的热力学和动力学的特征, 其环境效应在气候变化中占据了非常重要的地位(李家伦和洪钟祥, 2000)。祁永强和王介民(1996)初步分析了青藏高原五道梁近地层湍流强度和湍流谱特征。苗曼倩等(1998)研究了拉萨和林芝两地的总体输送情况, 得出青藏高原的总体输送系数(Bulk transfer coefficient, CD)较平原具有更显著的日变化特征。王寅钧等(2015)研究了青藏高原东南缘湍流特征, 揭示了湍能强弱依赖于下垫面植被的变化状况以及局地稳定度特征。段丽君等(2017)研究了青藏高原西南部狮泉河站、 东南部林芝站的湍流通量具有明显的日变化特征, 两站湍流平均动能与平均风速呈正相关关系, 垂直动量表现为向下传输, 热量和水汽表现为向上传输。马耀明等(2002)对青藏高原湍流强度研究指出地表与大气之间热量交换驱动了青藏高原热力和动力效应。这些研究揭示了青藏高原不同下垫面的湍流特征及其空间异质性, 但对同一区域不同植被生长时期环境下的湍流特征的观测研究较少, 并且缺乏流域尺度中自然资源要素的系统观测, 这关系到青藏高原典型流域中碳水通量的精确观测。
综上, 为了揭示青藏高原典型流域尺度下的地-气相互作用特征, 并在该尺度下更全面的监测自然资源要素, 以及不同生长时期下的湍流谱特征, 本研究在蔡公堂地区建立闭路涡度相关系统, 作为青藏高原东部拉萨河流域自然资源要素观测网络的一部分, 初步分析该区域湍流微气象变化特征。旨在为今后建立青藏高原典型流域自然资源要素的全面监测网络, 评估涡度相关技术对青藏高原区域通量观测的适用性, 最后为建立青藏高原陆-气相互作用系统研究方法提供技术支持, 并为陆面模式参数化方案提供依据, 促进青藏高原区域地面通量观测空间代表性和时空分辨率的提高。

2 研究区概况与研究方法

2.1 研究区概况

研究区地处青藏高原东部拉萨河下游地区的高山河谷区, 位于拉萨市蔡公堂一带, 海拔为3600~3700 m。气候类型为青藏高原温带半干旱气候, 夏季温暖, 降水较多, 冬季寒冷干燥。太阳辐射强, 日照时间长, 气温日变化的温差较大, 全年平均气温为8 ℃, 最高气温28 ℃, 最低气温-14 ℃。拉萨地区降水少, 年平均降水量320~520 mm, 多集中在6 -9月, 占全年降水量的85%以上, 空间分布东多西少。年蒸发量达1369.2 mm, 平均相对湿度45%。平均气压650 hPa, 平均最大风速为16.3 m·s-1。因海拔高且日晴夜雨型特点突出, 有"日光城"之美誉(李春花等, 2014)。下垫面类型主要为高寒草甸。

2.2 研究资料

本研究使用蔡公堂通量站的闭路涡度相关系统架设于2020年8月, 测量2.5 m高度处的H2O、 CO2、 潜热和感热通量。其中使用三维超声风速仪(CSAT3A, Campbell Scientific, USA)测定三维风速(uvw方向, 单位: m·s-1)和超声虚温(单位: ℃), 使用近红外气体分析仪(EC155, Campbell Scientific, USA)测量空气H2O和CO2的浓度(单位分别为μmolCO2·mol-1和mmolH2O·mol-1), 仪器测量频率为10 Hz, 最后使用数据采集器(CR6, Campbell Scientific, USA)进行数据存储和在线订正, 订正方法主要有峰值剔除, 延时校正, 坐标旋转, 超声温度校正和WPL密度校正(徐自为等, 2008)。最后输出高频原始数据和30 min间隔的通量数据。

2.3 湍流谱计算

涡度相关系统测得的湍流是具有不同时空尺度的湍涡叠加后的结果, 通过傅里叶变换可以得出不同频率下的湍流谱密度分布。谱密度反映了不同尺度的湍涡对湍流总动能的贡献。根据Kolmogorov(1991)提出的湍流谱惯性副区中的谱密度与频率关系, 各方向(uvw)风速和温度的湍流谱为:
S u , v , w = α u , v , w ε 2 / 3 k - 5 / 3
S T = α T ε - 1 / 3 N T k - 5 / 3
式中: ε为湍流的动能耗散率; N T为温度脉动耗散率; k为波数; α u , v , w为Kolmogorov常数, 分别表示uvw方向风速的谱常数, 取 α u=0.5, α v = α w=4/3 α u α T=0.8, 表示温度的谱常数。将频率和动能耗散率换算为无因次结果, 可以得到湍流各变量的归一化能谱:
f S u , v , w ( f ) u * 2 = α u , v , w ( 2 π κ ) 2 / 3 ϕ ε 2 / 3 n - 2 / 3
f S T ( f ) T * 2 = α T ( 2 π κ ) 2 / 3 ϕ ε - 1 / 3 ϕ N n - 2 / 3
u * = u ' w ' ¯ 2 + v ' w ' ¯ 2 1 / 2
式中: f为频率, 与波数 k关系为 k = 2 π f / U ¯ U ¯平均风速; n为无因次频率, 与 f关系为 n = f ( z - d ) / U ¯, 其中z为仪器架设高度, d为零平面位移, 取d=0.65hh为下垫面的植被高度; u *为摩擦风速(单位: m·s-1); T *为特征温度, 通过 T * = W ' T ' ̿ / u *得出, W ' T ' ¯为垂直风速与温度的协方差; κ=0.41为卡曼常数; ϕ ε ϕ N分别为动能和温度的无因次耗散率, 分别通过式(6)式(7)得出。归一化谱中惯性副区的谱密度曲线斜率遵循-2/3规律。
ϕ ε = ε κ z u * 3
ϕ N = N T κ z u * T * 3
以上是湍流的一维时间序列的谱分析, 对于两个不同变量的时间序列, 可以通过协方差函数进行傅里叶变换, 进而得到垂直方向(w)风速与温度、 CO2或H2O气体浓度的归一化协谱(WT、 WCO2和WH2O), 协谱表征了不同尺度的湍涡对能量和物质传输的贡献。同理, 归一化协谱在惯性副区的关系满足:
f C o w x ( f ) w ' x ' ¯ = α w x ( 2 π κ ) 4 / 3 ϕ m ( ξ ) n - 4 / 3
式中: x为变量, 即温度、 CO2或H2O的浓度; C o w x ( f )为协谱的谱密度, 同理协谱惯性副区的谱密度曲线斜率遵循-4/3规律。

2.4 湍流方差相似性规律

根据Monin and Obukhov(1954)相似理论, uvw归一化标准差可以通过大气稳定度的普适函数表示, 并在大气稳定度为中性条件下, 湍流风速标准差为一常数, 此时与仪器观测高度和地面粗糙度无关。uvw的普适函数关系式为:
σ u , v , w = 1 N * i = 1 N x i 2 1 / 2
σ u , v , w u * = A 1 - B z - d L 1 / 3
式中:   u ' v ' w '分别为uvw方向风速的脉动值(单位: m·s-1); N为30 min平均间隔内的10 Hz高频观测样本, 取N=18000; x为观测值; 为关系式的拟合系数; (z-d)/L表示大气稳定度( ξ); 为莫宁奥布-霍夫长度, 计算公式为:
L = u * 3 T k g W ' T ' ¯
式中: T为超声温度(单位: K); g=9.8 m·s-2,为重力加速度。uvw符合1/3次幂规律。本文取 -0.04≤ ξ≤0.04为近中性条件(Mahrt, 1998)。

2.5 数据处理

根据大气稳定度日变化特征, 分别选择不同大气稳定条件的30 min观测的10 Hz数据(Hicks and Baldocchi, 2020), 且30 min内观测样本(N=18000个样本)中没有缺失值, 再利用R计算高频(10 Hz)数据的湍流谱并进行绘图, 计算方法参照刘树华等(2005)提出的能谱计算方法, 根据数采器输出的30 min数据, 分析相关变量的时间变化或变量随大气稳定度的变化特征, 并利用R拟合得出非线性关系曲线, 并利用决定系数(Cleveland and Devlin, 1988)量化曲线拟合的效果。

3 结果与分析

3.1 通量变化特征

8 -9月的生长季时期, 净生态系统CO2交换(NEE)和蒸散(ET)波动较大, 并有明显的降低趋势(图1), 该植被CO2变化表现为生态系统净吸收, NEE日均值为-2.3 gC·m-2·d-1, 此时ET较高, 日均值为1.8 mm·d-1。10 -11月进入非生长季时期, 植被CO2变化由净吸收逐渐转变为向生态系统净排放, NEE日均值为1.1 gC·m-2·d-1, 同时ET明显降低, 日均值仅为0.3 mm·d-1, 该时期NEE和ET变化趋势较为缓慢。可以看出生长季和非生长季时期植被生长变化, CO2的日变化与生态系统水分交换之间具有较明显的耦合关系, 即NEE随着ET的降低而升高, 并从碳汇向碳源的方向转变。
图1 净生态系统CO2交换(NEE)和蒸散(ET)日变化特征

垂直和水平的黑色虚线分别表示生长季/非生长季分界和NEE的零值线, 红色实线表示NEE的变化趋势, 红色虚线表示ET的变化趋势

Fig.1 Daily variation of net ecosystem CO2 exchange (NEE) and evapotranspiration (ET).The vertical black dotted line indicate the boundary between the growing and non-growing seasons, the horizontal black dotted lines indicate the zero-value line for NEE, respectively, the red solid line indic-ates the changing trend of NEE, and the red dotted line indicates the changing trend of ET

3.2 大气湍流条件日变化和频谱特征

生长季和非生长季大气稳定度( ξ)在-0.3~0.3的区间范围内频率较大(图2)。频率峰值出现在近中性条件下, 其中生长季大气稳定条件多为不稳定和近中性条件, 而非生长季的大气稳定条件的频率有所增加。
图2 生长季和非生长季大气稳定度的频率分布

N表示样本量

Fig.2 Frequency distribution of atmosphere stability in growing season and non-growing season. N represents the sample size

生长季和非生长季时期摩擦风速( u *)和动量通量的日变化均呈单峰型变化特征(图3), 从09:00(北京时, 下同)开始增加, 15:00到达峰值后逐渐降低, 19:00后又趋于稳定。 ξ随着 u *和动量通量的增加而降低, 在09:00迅速降低, 变为不稳定状态, 之后大气稳定度逐渐上升, 并在19:00后恢复到大气稳定状态, 生长季的白天时段大气稳定度波动较大。
图3 生长季(a)和非生长季(b)大气稳定度、 摩擦风速和动量通量的日变化特征

Fig.3 Diurnal variations of atmosphere stability, friction speed, and momentum flux in the growing (a) and non-growing seasons (b)

生长季和非生长季下垫面植被变化对 ξ影响较小, 两时期 ξ的日变化特征没有发生明显的差异(图4)。大气不稳定条件多发生在白天时段(09:00 -18:00), 中性条件在全天各时间段均发生, 其中早晨(08:00 -09:00)和傍晚(18:00 -19:00)出现频率较高, 大气稳定条件主要发生于夜间(20:00至次日07:00)。
图4 生长季和非生长季各时间不同大气稳定条件的出现概率

实线表示生长季, 虚线表示非生长季

Fig.4 Probability of different atmosphere stability in the growing and non-growing seasons.The solid line indicates the growing season, the dashed line indicates the non-growing season

选择了8月20 -25日所有30 min内样本完整无缺失的高频数据, 总样本量为284个, 并根据研究区 ξ频率分布(图2), 选择大气不稳定条件(-0.3< ξ≤-0.04, N=58), 中性条件(-0.04< ξ≤0.04, N=67)和大气稳定条件(0.04< ξ≤0.3, N=86)的样本, 图5为这些不同大气稳定条件的平均归一化谱。根据Kolmogorov的谱理论, 可以看出本试验区uvw方向的风速和温度归一化谱的谱型较完整, 在惯性副区谱密度曲线的斜率满足-2/3规律。惯性副区内不同大气稳定度下三维风速的谱密度曲线较为接近, 而在低频区谱密度随大气稳定度的增加逐渐降低, 其中w方向风速的谱密度曲线在低频区0.01 Hz处具有明显的“上翘”现象, 谱峰值对应频率随着大气稳定度的增加逐渐向高频区移动, 表示湍流能量和湍流尺度随大气稳定度的增加逐渐降低, 大气稳定条件下的谱峰值向高频区移动最明显, 峰值频率为0.08 Hz。uv方向风速的归一化谱在低频区谱密度较高, 峰值不明显, 且不同稳定度条件下的谱密度曲线较为接近, 说明uv方向的湍流能量强于w方向的湍流能量。温度的归一化谱在低频区0.01 Hz处也存在“上翘”现象, 不同稳定度下的谱峰值较接近, 则w方向的湍流与温度变化较为密切。
图5 不同大气稳定度下三维风速和温度的归一化谱

Fig.5 Normalized spectra of velocity components in three dimensions and temperature with different atmosphere stability

根据Kolmogorov的谱相似理论, 在惯性副区内, 湍涡符合各向同性的假设条件, wv方向风速与u方向风速的谱密度比值满足: S wf)/S uf)=S vf)/S uf)=4/3, 据此可以判断惯性副区所在频率范围。图6给出了S wf)/ S uf)和S vf)/S uf)随频率的变化。从图6中可以看出, 不同大气稳定度条件下S wf)/S uf)在低频处(<0.2 Hz)离4/3理论线较远, 随着频率增加逐渐向理论线靠近。因此在高频区不同稳定度条件下湍涡在wu方向满足各向同性条件, 符合惯性副区的相似理论, 而低频段S wf)/S uf)表现出较大的离散性, 存在湍流各向同性的低频限制。S vf)/S uf)低频限制对应的频率较低, 大致位于0.03 Hz, 说明湍涡在vu方向的各向同性条件受低频限制的影响较小。因此水平方向较大的湍涡仍满足各向同性, 而垂直方向只有高频的小涡符合各向同性条件。
图6 不同大气稳定度下风速谱的湍流各向同性特征

虚线为4/3比值线

Fig.6 Normalized spectra of velocity components in three dimensions and temperature with different atmosphere stability.The dotted line is the 4/3 ratio line

垂直方向(w)风速与温度、 CO2和H2O气体浓度的归一化协谱(WT、 WCO2和WH2O)的惯性副区的曲线斜率大于-4/3, 具有明显的湍流能量耗散趋势。WT谱在低频区没有明显峰值。大气不稳定条件下WCO2的谱密度的峰值频率出现在0.1 Hz位置, 大气稳定条件下峰值频率向高频区移动较明显(0.5 Hz), 不同大气稳定条件下惯性副区的谱密度曲线较为离散, 其中大气稳定条件下的谱密度与大气不稳定条件和中性条件下的相差最大, 故NEE的可能会受大气稳定条件的影响, 由于大气稳定条件常发生夜间, 可以考虑通过摩擦风速阈值来滤除湍流运动强度较低时的NEE观测值, 以避免NEE被低估。WH2O的协谱密度在低频区没有明显峰值, 并在中性条件下谱密度较高, 惯性副区的谱密度曲线变化较相近, 受大气稳定条件的影响较低。

3.3 大气湍流相似性规律

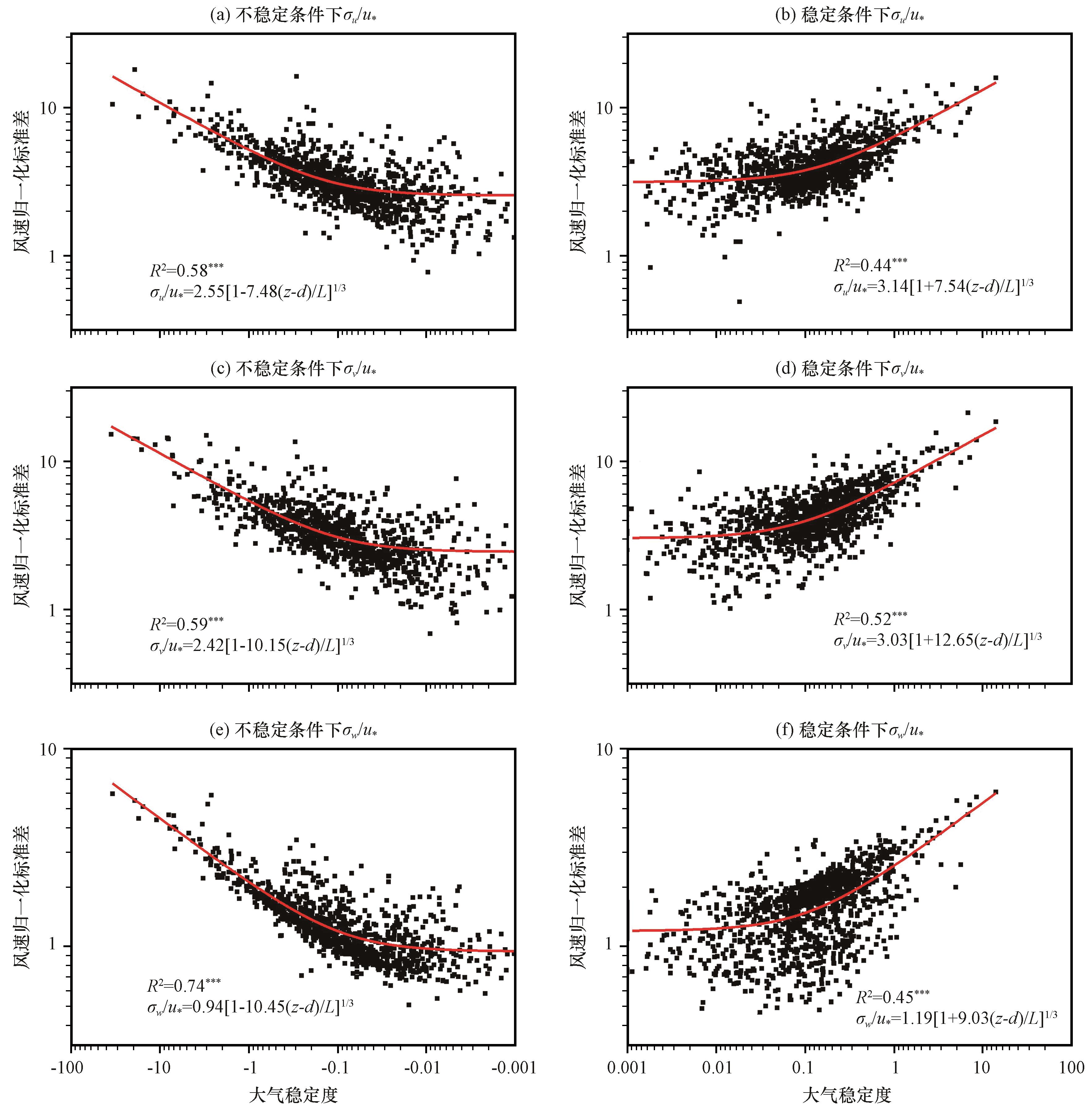
生长季和非生长季湍流各方向风速归一化标准差( σ u / u * σ v / u * σ w / u *)与大气稳定度之间的关系都满足1/3次幂规律(图8图9)。其中生长季大气不稳定条件下的 σ u / u * σ v / u * σ w / u *样本点的拟合效果最好, 决定系数(R2)分别为0.58、 0.59和0.74, 而大气稳定条件下, 在大气稳定度为0.01~0.1的区间内 σ u / u * σ v / u * σ w / u *样本点较为离散。中性的条件下, σ w / u *低于 σ u / u * σ v / u *, 主要由于uv方向的湍流强度大于w方向的湍流强度。非生长季 σ u / u * σ v / u * σ w / u *拟合曲线的R2均低于生长季时期的R2, 其中大气稳定条件下的R2最低, 此时各方向湍流风速的普适性规律较弱。
图7 不同大气稳定度下垂直方向(w)风速分别与温度(a)、 CO2(b)和H2O(c)的归一化协谱

Fig.7 Normalized cross-spectra of temperature (a), CO2 (b) and H2O (c) and wind speed at vertical direction (w) with different atmospheric stability

图8 生长季u(a, b)、 v(c, d)和w(e, f)风速归一化标准差与大气稳定度的关系

红色直线为拟合曲线, ***表示极显著, **表示较显著, *表示显著

Fig.8 The relationship between the normalized standard deviation of wind speed of u (a, b)、 v (c, d) and w (e, f) and atmosphere stability during the growing season.The red solid line indicates the fitting curve.*** means extremely significant, ** means more significant, * means significan

图9 非生长季u(a, b)、 v(c, d)和w(e, f)风速归一化标准差与大气稳定度的关系

红色直线为拟合曲线, ***表示极显著, **表示较显著, *表示显著

Fig.9 The relationship between the normalized standard deviation of wind speed of u (a, b)、 v (c, d) and w (e, f) and atmosphere stability during the non-growing season.The red solid line indicates the fitting curve.*** means extremely significant, ** means more significant, * means significant

大气不稳定条件下[图10(a), (c)], 垂直风速与温度协方差( W ' T ' ¯)随 ξ增加呈先升高后下降的单峰变化特征, W ' T ' ¯>0, 即热量随垂直方向的风速从地表向大气传递, 并在大气稳定度为-0.1~-0.01的范围内, W ' T ' ¯较高, 说明此时地表与大气之间热量交换强度较大, 当大气向中性或稳定状态转换时( ξ>-0.01), W ' T ' ¯趋于0并开始向负值方向转变, 此时地表与大气之间热量交换强度最低。当大气为稳定度条件时[图10(b), (d)], 即热量从大气向地表传递, 但强度较弱。可以得出当大气稳定度发展为一定条件时, 有利于地表与大气中湍流的热量交换, 而湍流热量交换又会对大气稳定度发展产生反馈作用, 进而又减小了湍流中的热量交换, 即在大气极不稳定或及稳定的条件下, W ' T ' ¯又逐渐趋于0。
图10 生长季(a, b)和非生长季(c, d)湍流热量参数( W ' T ' ¯)与大气稳定度的关系

Fig.10 The relationship between turbulent heat parameter ( W ' T ' ¯) and atmosphere stability in growing (a, b) and non-growing seasons (c, d)

4 讨论

本研究利用闭路涡度相关系统, 观测了青藏高原东部拉萨河下游地区典型高寒草甸下垫面的NEE和ET, 生长季时期观测的NEE日均值与海北灌丛草甸NEE日均值(-5~-4 gC·m-2·d-1)和当雄高寒草甸的NEE日均值(-7.17 gC·m-2·d-1)相近(Zhao et al, 2006徐玲玲等, 2005), 非生长季时期观测的NEE日均值与珠穆朗玛峰北坡高寒草甸的NEE(1.67 gC·m-2·d-1)相近(朱志鹍等, 2007)。另外本研究区生长季ET日均值与Ma et al(2015)研究结果一致。本研究观测结果可以有效地表征青藏高原地区高寒草甸的通量观测结果。由于涡度相关系统的准确度直接取决于近地表边界层湍流发展状况(Rannik et al, 2016), 故需要针对本研究湍流微气象特征做进一步评估。
本研究发现不同大气稳定条件对各方向风速的归一化谱影响较小。uv方向风速归一化谱的峰值频率不明显, 且低频区的谱密度较高[图5(a), (b)], 与Kaimal et al(1972)在Kansas草原观测得出的风速归一化谱变化略有差异, 主要是因为本站点周边环境比较复杂, 建筑和山体等因素影响气流运动, 加之中尺度局地环流的存在, 使得uv方向的湍流发展比较旺盛, 但在惯性副区谱密度曲线的斜率严格遵守-2/3规律, 则该区域平流或泄流导致闭路涡度相关系统的通量被低估现象出现可能性较低(倪攀等, 2009)。本研究观测得到w方向风速归一化谱的峰值频率在大气不稳定条件和中性条件下与Kaimal et al(1972)研究结果(0.1 Hz)一致, 而大气稳定条件下该峰值频率结果偏低, 主要是因为本研究区下垫面粗糙度较低, 对湍流破碎作用较小, 使得低频区域较大尺度的湍流对湍流能量贡献较高。大气不稳定条件下温度谱密度较高, 且峰值频率不明显, 主要由于本站点所处青藏高原地区, 辐射量较强, 使得湍流的热量交换较剧烈[图5(d), 图7(a)], 故本研究区在不同大气稳定条件下, 温度的谱密度较相似, 受大气稳定条件的影响较小, 有利于地表与大气之间的热量交换促进大气热力环流发展。本研究发现垂直方向风速(w)与CO2浓度协谱(WCO2)的惯性副区向高频区间移动[图7(b)], 这主要与闭路涡度相关系统的三维超声风速仪和气体分析仪之间路径分离构造以及研究区的较大尺度的低频湍流有关。Polonik et al(2019)对比开路和闭路涡度相关系统的归一化谱得出闭路设备由于较大的路径分离, 导致结果会出现高频损失的现象。WCO2的惯性副区斜率大于 -4/3, 可能由于闭路设备中风速仪和气体分析仪之间路径分离造成部分湍流未能被捕获, 但高频区域未出现明显损失, 则闭路涡度相关系统可以较理想地满足本研究区NEE观测, 仪器自身构造和区域中尺度环流对通量观测的影响较小, 垂直方向风速(w)与H2O浓度协谱(WH2O)峰值频率并不明显, 惯性副区频率范围较大, 主要与该区域生长季较为充分的水汽交换有关。
本研究发现生长季和非生长季, 下垫面植被变化对湍流条件日变化特征的影响较小(图2~4), 这与仲雷等(2006)在青藏高原河谷草甸对近地层大气湍流变化的研究结果一致。本研究区的各方向风速归一化标准差与大气稳定度关系符合1/3幂次律, 与表1所总结的在青藏高原不同区域观测的结论基本一致。近中性状态下, 各风速分量的归一化标准差与刘辉志等(2007)杨丽薇等(2017)的观测结果相近。另外与w方向的风速归一化标准差相比, uv方向的风速归一化标准差在生长季和非生长季相差较大, 非生长季时期风速标准差增加, 主要原因一方面是前文所论述的研究区水平方向湍流强度较大, 另一方面在非生长季时期, 下垫面地表粗糙度降低, 减小了地表对湍流的粘滞力, 水平方向风速增加。因此在相似性规律研究中, 应考虑生长季和非生长季植被变化对风速归一化标准差与大气稳定度关系拟合的影响, 特别是对于地表植被覆盖度较大且湍流条件时间变化差异较大的区域。
表1 青藏高原地区大气近中性条件下风速归一化标准差

Table 1 Normalized standard deviation of wind speed under atmosphere stable conditions in the Qinghai-Tibet Plateau

观测位置 下垫面类型 时间 风速归一化标准差 参考文献
σ u / u * σ v / u * σ w / u *
蔡公堂(本文) 高寒草甸 8 -9月 2.84 2.73 1.07 本研究
10 -11月 3.23 3.19 1.22 本研究
疏勒河上游 高寒草甸 5 -9月 3.40 3.08 0.96 吴灏等(2013)
玛曲观测场 高寒草甸 1 -7月 3.11 2.74 0.96 陈云刚等(2014)
理塘观测站 高山草甸 2 -4月 4.30 4.10 1.00 李英等(2008)
安多(那曲地区) 高寒草甸 5 -9月 4.01 3.85 1.43 马耀明等(2002)
聂荣观测站 高寒草甸 7 -8月 3.93 3.88 1.06 杨丽薇等(2017)
昌都观测站 高山峡谷草地 5 -6月 3.45 3.15 1.30 卞林根等(2001)
珠峰北坡 高原河谷草甸 4 -12月 3.36 3.20 1.08 仲雷等(2006)
当雄河谷区 河谷草甸 - 3.40 2.45 1.15 周明煜等(2000)
羊卓雍错流域 湖面 4 -10月 3.54 3.88 0.77 沈鹏珂和张雪芹(2019)
改则地区 干旱草地 6 -7月 3.21 2.69 1.46 刘辉志和洪钟祥(2000)
绒布寺河谷区 稀疏植被 6 -12月 3.10 2.93 1.05 刘辉志等(2007)

5 结论

利用蔡公堂地区的闭路涡度相关通量观测系统, 对青藏高原东部拉萨河下游地区的高寒草甸下垫面进行通量观测, 通过研究区湍流微气象特征, 分析了该区域生长季和非生长季不同大气稳定条件下湍流谱特征和相似性规律, 主要结论如下:
(1) 净生态系统CO2交换(NEE)和蒸散(ET)之间具有明显的耦合关系, 该区域在生长季表现为碳汇, NEE日均值为-2.3 gC·m-2·d-1, 非生长季表现为碳源, NEE日均值为1.1 gC·m-2·d-1
(2) 大气稳定度的日变化受生长季和非生长季下垫面植被变化的影响较小, 主要随动量通量的增加而降低。因此本研究区大气中的湍流动能是该区域通量研究的一个重要自然影响因素。
(3) 本研究区不同大气稳定度观测所得出的湍流谱较完整, 各方向风速谱以及温度谱的惯性副区斜率遵循-2/3规律, 水平方向的湍流运动较为剧烈, 满足各向同性条件, 而垂直方向湍流的各向同性条件受低频限制。垂直方向风速分别和温度及气体协谱的惯性副区斜率高于-4/3, 但高频区未出现, 利用涡度相关技术在本研究可以较好地观测地气交换为代表的大气资源。
(4) 各方向风速归一化标准差与大气稳定度关系符合1/3幂次律, 满足相似性普适规律, 其中生长季近中性条件下, σ u / u * σ v / u * σ w / u *分别为2.84, 2.73和1.07, 非生长季时期三者增加, 分别为3.23, 3.19和1.22。
(5)经过对比研究, 本研究区风速归一化标准差的1/3幂次律系数与其它青藏高原草甸植被的风速归一化标准差1/3幂次律系数基本一致。但生长季或大气不稳定条件下的相似性规律更明显, 有利于利用普适函数对大气湍流活动等大气资源进行模拟预测。
本研究分析了生长季和非生长季时期闭路涡度相关系统在本研究区观测的湍流谱特征, 验证了闭路设备在该区域精确观测的适用性, 有利于仪器的长期定位观测研究, 今后将根据本研究结果, 加强本研究区陆-气相互作用的模型模拟研究, 并进一步验证本研究区碳的源汇属性。

References

null
Baldocchi D D2020.How eddy covariance flux measurements have contributed to our understanding of global change biology[J].Global change biology26(1): 242-260.
null
Cleveland W S Devlin S J1988.Locally weighted regression: An approach to regression analysis by local fitting[J].Journal of the American Statistical Association83(403): 596-610.
null
Elie B Z William A Gabriel G K al et2020.The persistent challenge of surface heterogeneity in boundary-layer meteorology: A review[J].Boundary-Layer Meteorology177(1): 227-245.
null
Finnigan J Ayotte K Harman I al et2020.Boundary-layer flow over complex topography[J].Boundary-Layer Meteorology177(5): 247-313.
null
Hicks B B Baldocchi D D2020.Measurement of fluxes over land: Capabilities, origins, and remaining challenges[J].Boundary-Layer Meteorology177(1): 365-394.
null
Kaimal J C Wyngaard J C Izumi Y al et1972.Spectral characteristics of surface‐layer turbulence[J].Quarterly Journal of the Royal Meteorological Society98(417): 563-589.
null
Kolmogorov A N1991.The local structure of turbulence in incompressible viscous fluid for very large Reynolds numbers[J].Proceedings of the Royal Society of London Series A: Mathematical and Physical Sciences434(1890): 9-13.
null
Ma N Zhang Y S Guo Y H al et2015.Environmental and biophysical controls on the evapotranspiration over the highest alpine steppe[J].Journal of Hydrology529(1): 980-992.
null
Mahrt L1998.Nocturnal boundary-layer regimes[J].Boundary-Layer Meteorology88(2): 255-278.
null
Monin A S Obukhov A M1954.Basic laws of turbulent mixing in the surface layer of the atmosphere[J].Geophysical Institute of the Academy of Sciences of the USSR151(163): 187-195.
null
Polonik P Chan W S Billesbach D P al et2019.Comparison of gas analyzers for eddy covariance: Effects of analyzer type and spectral corrections on fluxes[J].Agricultural and Forest Meteorology272(1): 128-142.
null
Rannik ü Peltola O Mammarella I2016.Random uncertainties of flux measurements by the eddy covariance technique[J].Atmospheric Measurement Techniques9(10): 5163-5181.
null
Raupach M R Finnigan J J Brunet Y1996.Coherent eddies and turbulence in vegetation canopies: The mixing-layer analogy[J].Boundary-Layer Meteorology78(1): 351-382.
null
Taylor G I1938.The spectrum of turbulence[J].The Royal Society of London164(1): 476-490.
null
Wang T J Gao T C Zhang H S al et2019.Review of Chinese atmospheric science research over the past 70 years: Atmospheric physics and atmospheric environment[J].Science China (Earth Sciences)62(12): 1903-1945.
null
Yue P Zhang Q Wang R Y al et2015.Turbulence intensity and turbulent kinetic energy parameters over a heterogeneous terrain of Loess Plateau[J].Advances in Atmospheric Sciences32(9): 1291-1302.
null
Zhao L Li Y N Xu S X al et2006.Diurnal, seasonal and annual variation in net ecosystem CO2 exchange of an alpine shrubland on Qinghai‐Tibetan plateau[J].Global Change Biology12(10): 1940-1953.
null
卞林根, 陆龙骅, 程彦杰, 等, 2001.青藏高原东南部昌都地区近地层湍流输送的观测研究[J].应用气象学报12(1): 1-13.
null
陈云刚, 张宇, 王少影, 等, 2014.高寒草甸湍流特征量的季节变化特征[J].高原气象33(3): 585-595.DOI: 10.7522/j.issn. 1000-0534.2014.00044.
null
李春花, 刘峰贵, 陈蓉, 等, 2014.拉萨市旅游气候舒适度定量研究[J].干旱区资源与环境28(8): 203-208.
null
李家伦, 洪钟祥, 2000.青藏高原西部改则地区大气边界层特征[J].大气科学24(3): 301-312.
null
李英, 李跃清, 赵兴炳, 2008.青藏高原东部与成都平原大气边界层对比分析Ⅱ: 近地层湍流特征[J].高原山地气象研究28(3): 8-14.
null
刘辉志, 冯健武, 邹捍, 等, 2007.青藏高原珠峰绒布河谷地区近地层湍流输送特征[J].高原气象26(6): 1151-1161.
null
刘辉志, 洪钟祥, 2000.青藏高原改则地区近地层湍流特征[J].大气科学24(3): 289-300.
null
刘树华, 李洁, 刘和平, 等, 2005.在EBEX-2000 实验资料中湍流谱和局地各向同性特征[J].大气科学29(2): 213-224.
null
马耀明, 马伟强, 胡泽勇, 等, 2002.青藏高原草甸下垫面湍流强度相似性关系分析[J].高原气象21(5): 514-517.
null
倪攀, 金昌杰, 王安志, 等, 2009.科尔沁草地不同大气稳定度下湍流特征谱分析[J].生态学杂志28(12): 2495-2502.
null
祁永强, 王介民, 1996.青藏高原五道梁地区湍流输送特征的研究[J].高原气象15(2): 172-177.
null
沈鹏珂, 张雪芹, 2019.藏南羊卓雍错湖面大气湍流特征观测分析[J].湖泊科学31(1): 243-255.
null
苗曼倩, 曹鸿, 季劲钧, 1998.青藏高原大气边界层湍流特征量分析 [J].高原气象17(4): 356-363.
null
王寅钧, 徐祥德, 赵天良, 等, 2015.青藏高原东南缘边界层对流与湍能结构特征[J].中国科学(地球科学)45(6): 843-855.
null
段丽君, 段安民, 胡文婷, 等, 2017.2014年夏季青藏高原狮泉河与林芝降水低频振荡及陆—气过程日变化特征 [J].大气科学41 (4): 767-783.
null
吴灏, 叶柏生, 吴锦奎, 等, 2013.疏勒河上游高寒草甸下垫面湍流特征分析[J].高原气象32(2): 368-376.DOI: 10.7522/j.issn. 1000-0534.2013.00036.
null
徐玲玲, 张宪洲, 石培礼, 等, 2005.青藏高原高寒草甸生态系统净二氧化碳交换量特征[J].生态学报25(8): 1948-1952.
null
徐自为, 刘绍民, 宫丽娟, 等, 2008.涡动相关仪观测数据的处理与质量评价研究[J].地球科学进展23(4): 357-370.
null
杨丽薇, 高晓清, 惠小英, 等, 2017.青藏高原中部聂荣亚寒带半干旱草地近地层湍流特征研究[J].高原气象36(4): 875-885.DOI: 10.7522/j.issn.1000-0534.2016.00089.
null
仲雷, 马耀明, 苏中波, 等, 2006.珠峰北坡地区近地层大气湍流与地气能量交换特征[J].地球科学进展21(12): 1293-1303.
null
周明煜, 徐祥德, 卞林根, 2000.青藏高原大气边界层观测分析与动力学研究[M].北京: 气象出版社.
null
朱志鹍, 马耀明, 李茂善, 等, 2007.珠穆朗玛峰北坡高寒草甸生态系统CO2通量日变化与月变化特征[J].高原气象26(6): 1300-1304.
Outlines

/