The Characteristics of Water Vapor Transport and Potential Sources of the Abnormal Summer Rainfall in Sanjiangyuan Region

  • Xianyu YANG ,
  • Yaqiong LU ,
  • Jun WEN ,
  • Xianhong MENG ,
  • Xinbing REN
Expand
  • 1. College of Atmospheric Sciences/ Plateau Atmosphere and Environment Key Laboratory of Sichuan Province,Chengdu University of Information Technology,Chengdu 610225,Sichuan,China
    2. Northwest Institute of Eco-Environment andResources Chinese Academy of Sciences,Lanzhou 730000,Gansu,China
    3. Institute of Mountain Hazards and Environment,Chinese Academy of Sciences,Chengdu 610041,Sichuan,China
    4. University of Chinese Academy of Sciences,Beijing 100049,China

Received date: 2021-10-13

  Revised date: 2022-03-01

  Online published: 2022-04-20

Cite this article

Xianyu YANG , Yaqiong LU , Jun WEN , Xianhong MENG , Xinbing REN . The Characteristics of Water Vapor Transport and Potential Sources of the Abnormal Summer Rainfall in Sanjiangyuan Region[J]. Plateau Meteorology, 2022 , 41(2) : 465 -476 . DOI: 10.7522/j.issn.1000-0534.2022.00015

1 引言

大气中的水汽所占比例仅0.1%~3%, 却是地球大气中最为活跃的成分, 一方面通过影响云的形成, 改变地气系统的反照率, 造成地球辐射平衡发生变化; 另一方面, 水汽的三相变化可直接或间接影响天气气候系统(Schneider et al, 1999) 。更为重要的是, 水汽是产生降水必不可少的条件, 大气中水汽的含量在很大程度上决定了整个降水过程, 并对区域气候产生决定性的影响(周顺武等, 2011)。一般而言, 水汽输送在区域性降水中扮演着重要角色, 大部分地表降水所需的水汽往往是来自于水汽的长距离输送(Trenberth, 1998), 因此, 研究大气中水汽的传输路径及收支平衡特征对于地表降水的分析、 预测和揭示水循环过程机理具有极其重要的意义, 也有助于更好地认识地表降水的水汽源与汇, 是大气水分循环的一个重要课题(Christensen and Christensen, 2003Schaer et al, 2004Ralph et al, 2012)。近年来在全球和大尺度的水循环研究中已经取得了一些进展, 对区域地表降水存在明显的局部水分循环有了清晰的认识, 但对于区域性地表降水的水汽传输路径及传输过程中水汽收支的定量分析还需要进一步的研究(陈斌等, 2011)。目前, 国内外针对区域降水事件的水汽传输过程及源区的研究已经有了一些较为准确的方法, 例如有传统的同位素分析法, 但该方法因其巨大的成本消耗而在实际应用中受到限制, 且在样本采集过程中的不确定性较大(Werner et al, 2001Longinelli and Selmo, 2003Moody and Galloway, 2010Gimeno et al, 2010)。基于欧拉方法的大气数值模拟通过再分析数据集和敏感性实验, 计算水汽通量和散度, 得出区域水汽蒸发, 也可以实现水汽源汇的判断, 从而判定降水源地(Koster et al, 1986Bosilovich and Schubert, 2002Bosilovich et al, 2003Gimeno et al, 2010许建玉等, 2014)。但目前大气数值模式对各气压层的风场、 湿度场等的模拟能力还存在较大的误差, 因此对大气的水循环过程中的水汽含量等变量的定量模拟还有很大的不确定性, 甚至可能得出有悖于常理的错误结果(Stohl and James, 2004)。
相对于基于欧拉方法的数值模式, 以拉格朗日方法为框架的轨迹模式为研究水汽的传输路径和水汽源汇提供了另一个准确可行的方法, 其优点在于它可以追溯每一个气团的运动轨迹并记录运动过程中的物理量变化。Wernli and Da Vies(1997)首先提出可通过气块在大气中的传输轨迹过程中水汽的蒸发和降水用气块的比湿变化近似, 进而得出区域性地表降水的水汽源汇。Stohl and James(2004)发展的基于拉格朗日方法的轨迹模型FLEXPART克服了早期拉格朗日方法只能定性追踪气团轨迹和无法动态跟踪气块轨迹等问题, 且可借助于再分析资料定性和定量模拟气块后向轨迹及相关物理量变化, 同时FLEXPART可考虑对流层中的中小尺度对流过程和湍流过程, 提高了模式的模拟精度。Gimeno et al(2012)在全球尺度上研究了陆地降水的海洋源地和大陆源地。董李丽(2019)通过FLEXPART发现长江中下游地区的旱、 涝年, 高原和东亚季风区水汽输送在我国东部地区分布特征出现显著差异。赵阳(2019)结合WRF和FLEXPART得出了华北夏季暴雨发生期间的西风带水汽沿着青藏高原主体北侧边缘东向输送和热带洋面的暖湿水汽沿着青藏高原东侧边缘北向两支通道。陈斌(2009)同样结合中尺度气象模式(WRF)和FLEXPART分析了一次青藏高原水汽进入平流层的天气尺度输送过程和机理。Sun and Wang (2014a2014b)识别和比较了华南、 长江中下游地区和华北地区的水汽源地, 且定量估算了陆地、 西太平洋、 印度洋的水汽输送对研究区域降水量的贡献。
青藏高原被称为世界屋脊, 平均海拔在4000 m, 其具有高大的地形特征和复杂的地形结构, 同时作为南北热量和水汽交换的巨大屏障, 以及作为“世界水塔”, 对东亚天气和气候乃至全球天气和气候产生了重要影响(鲁春霞等, 2004马耀明等, 2021黄建平等, 2021赖欣等, 2021)。三江源地区位于中国青海省南部, 地处青藏高原的腹地, 平均海拔超过4000 m, 是长江、 黄河、 澜沧江三条大河的发源地, 同时三江源被誉为“中华水塔”, 提供了长江总水量的25%, 黄河总水量的49%和澜沧江总水量的15%(杨建平等, 2003)。曾小凡等(2013)用1971 -2010年的再分析资料的逐日风场和比湿数据发现, 1971 -2010年经向流入三江源地区的水汽显著减少, 但对于水汽传输路径缺乏进一步的探讨。李生辰等(2009)利用40年NCEP/NCAR再分析资料和青藏高原三江源地区的降水资料, 分析了三江源地区的水汽输送特征, 得出东亚和印度季风驱动下的西南暖湿气流和来自西边界中东高压中的偏西气流和西风带中的偏北气流是三江源的水汽来源, 但同样缺乏水汽传输过程的机理分析。强安丰等(2020)基于云水资源积分推导公式和50年的气象站资料研究三江源地区云量和水量的高低值区。因此, 基于FLEXPART能够后向追踪空气块轨迹和水汽源地的能力, 本研究对三江源降水异常状态期间的水汽输送进行了模拟, 重点分析了该区域内异常降水状态下不同类型降水中的水汽输送特征, 并计算了不同水汽源区对三江源异常降水的贡献率, 有助于更好地认识三江源异常降水下的水汽输送特征, 弥补现有研究的缺陷。

2 研究区域及研究模型

2.1 研究区域概况

三江源地区地处青藏高原中部, 位于31°39′N -36°16′N, 89°24′E -102°23′E, 境内包含巴颜喀拉山、 可可西里山和唐古拉山等众多山脉, 流域总面积为3.63×106 km2, 水资源储量为161.82万千瓦时, 全区包含湖泊16337个, 全区冰川总面积为124.75 km2, 是世界上海拔最高、 面积最大、 湿地类型最丰富的地区和冰川汇聚地, 同时三江源地区是世界上高海拔生物多样性最集中的地区之一(权晨, 2014)。三江源气候属典型高原大陆性气候, 冷热季和干湿季交替, 年温差大, 日温差小。

2.2 降水观测数据

本研究收集了1994 -2019年的降水数据, 降水数据源于中国气象数据网的中国地面气候资料日值数据集(http://data.cma.cn/), 包含了三江源区域内的19个气象观测站点, 其中青海省内17个站点(贵德、 五道梁、 兴海、 贵南、 同仁、 沱沱河、 杂多、 曲麻莱、 玉树、 玛多、 清水河、 玛沁、 达日、 河南、 久治、 囊谦、 班玛), 甘肃省内1个站点(玛曲), 四川省内2个站点(石渠、 色达), 详细位置和经纬度如图1所示。本文所涉及地图制作的来源为中华人民共和国自然资源部地图技术审查中心标准地图服务系统的中国地图[审图号: GS(2016)1585号]和世界地图[审图号: GS(2016)2950号], 底图无修改。
图1 三江源区域地理位置和站点分布

Fig.1 Geographical location and meteorological station distribution in the Sanjiangyuan region

2.3 研究模型和参数设置

20世纪90年代中期的拉格朗日粒子分散模型FLEXPART( Flexible Particle Dispersion Model)原始版本用于计算来自点源(例如核电站事故后释放的点源)中的有害物质的长期和中尺度分散, 在过去的几十年中, 该模型已经发展成为用于多尺度大气传输建模和分析的综合工具, 在给定合适的气象输入数据, 可以用于数十米到全球范围的尺度, 应用领域已扩展到大范围的大气气体和气溶胶, 例如温室气体, 短寿命气候推动因子(如黑碳和火山灰等), 并且还被用于研究水循环的大气分支, 特别是基于FLEXPART的源-受体关系的逆建模已被广泛使用(Stohl et al, 19982005a2005b20062008)。在本研究中, FLEXPART版本为10.4(https://www.flexpart.eu/), 模拟时间为2012年7月和2015年7月, 模式积分时间为2012年7月1日12:00(世界时, 下同)至31日12:00和2015年7月1日12:00至31日12:00, 时间积分步长为6 h, 模拟区域为10°S -70°N, 10°E-140°E, 采用区域填塞技术(朱丽等, 2019陈斌等, 2011), 将模拟研究区域的三维大气的模拟粒子数初始化为100万个且被均匀填塞, 粒子释放高度为0~3000 m。FLEXPART的驱动资料为NCEP再分析资料(FNL, https://rda.ucar.edu/datasets/ds083.2/index.html#!access), NCEP再分析资料空间分辨率为1.0°×1.0°, 时间分辨率为6 h, 垂直方向为26层。模式中设置每个气块的三维位置(经纬度和位势高度)和物理量(气温、 比湿、 空气密度、 大气边界层高度)信息每3 h输出一次。

3 研究方法

3.1 降水异常的分析方法

本研究首先计算了1994 -2019年三江源区域内的多年月降水均值并找出出现最大降水量值的月份, 以此月为研究时段, 计算该月降水量的多年距平序列。依据月降水量的多年距平序列找到异常正负信号降水年份, 并以此年份的该月时段进行FLEXPART模拟。

3.2 水汽蒸发源地的计算方法

在拉格朗日轨迹模型中, 气块的水汽变化主要考虑为地表蒸发(Eva)和降水(Pre)过程, 地表蒸发使得气块比湿(水汽含量)增加, 降水过程使得气块比湿(水汽含量)减少, 对于气块的水汽变化可由以下方程表示:
E v a - P r e = M a s s Δ q Δ t
式中: Eva为Δt时间内的进入气块的蒸发量; Pre为Δt时间内离开气块的降水量; ΔqΔt时间内的比湿变化; Mass为气块的质量。假定面积为Area的整个三维空间区域大气由N个质量相对均匀的气块组成, 每个气块的质量为Mass, 则根据(1)式可以得出区域平均的水汽平衡方程:
E - P = i = 1 N M a s s Δ q Δ t A r e a
式中: E为面积平均的地表蒸发; P为面积平均的降水量。根据地表蒸发和降水量之差(Eva-Pre)判断水汽的源汇区, E - P>0为水汽源区, E - P<0为水汽汇区。此外, 本研究中只考虑大气边界层以下的水汽变化以判断水汽的源地和汇地。由于水汽在大气中的平均驻留时间为10天, 因此本研究中只追踪了从某时刻起处在三江源区域的粒子过去10天的运动轨迹和物理量变化。

3.3 潜在水汽源地对研究区域降水量贡献率的计算方法

气块在大气中运动到达目标区域时, 考虑目标区域内气块运动后向追踪轨迹中每一次蒸发和降水过程对目标区域降水的贡献, 在水汽源区第一次前向吸收的水汽含量为 Δ q ( q t 1 - q t 0 ), 此后根据气块所处的位置不断逐步迭代Δq, 最后统计在目标区域内所释放的水汽总量(R total)(Sodemann et al, 2008陈斌等, 2011Sun and Wang, 2014a朱丽等, 2019)。某水汽源区对研究目标区域某次降水Δpre的绝对贡献率为:
C o n = Δ q ( Δ p r e / q )
对研究目标区域总降水量Rtotal的贡献率为:
C o n P r e = C o n / R t o t a l

4 结果分析

4.1 月降水异常分析

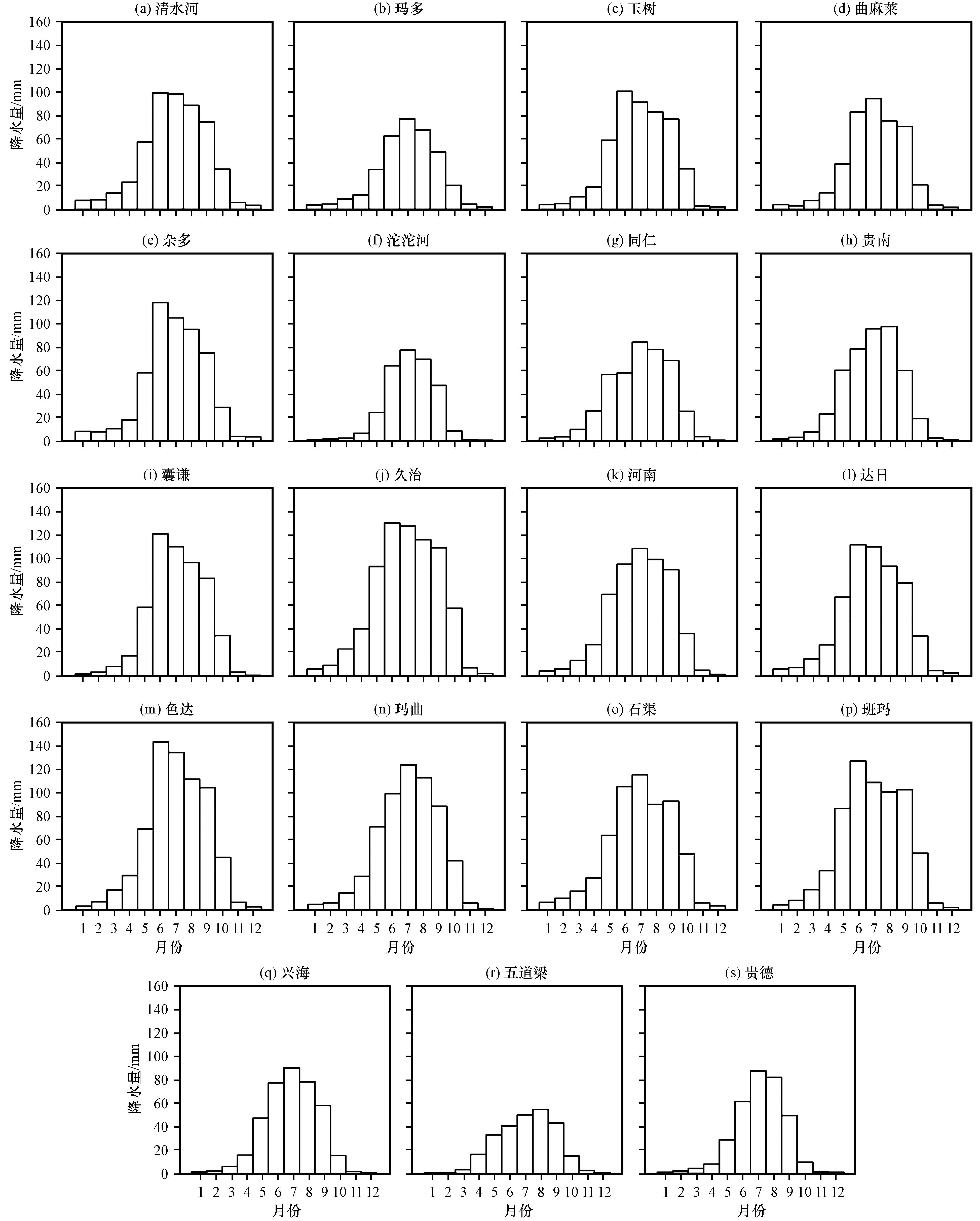
本研究统计了三江源区域内1994 -2019年的各站点的多年月降水平均值(图2), 在19个站点中, 全年降水都集中在夏季, 尤以7月最为显著, 有9个站点的月降水极大值出现在7月, 有5个站点的月降水极大值明显出现在6月, 有4个站点的7月降水均值与6月或8月的降水均值相当。在研究时段的所有站点中, 月降水量最大值出现在7月的共计180次, 出现在6月的共计130次, 出现在8月的共计106次, 之后是9月(共计61次)。由此可以表明, 三江源地区7月的降水情况可以作为代表以研究其水汽输送特征。根据研究时段内三江源区域各站点平均的7月降水量距平序列(图3)可知, 26年内三江源区域的7月降水量异常表现为多次的正负交换特征, 有4年为较强的正异常(超过400 mm), 有5年为较强的负异常(超过400 mm), 其中, 正异常最强的一年为2012年(+1290 mm), 负异常最强的一年为2015年(-802 mm)。因此, 本研究选出1994 -2019年的7月降水量最大正异常(2012年)和最大降水负异常(2015年)作为研究分析对象, 进行该时段的FLEXPART模拟, 找出三江源区域的水汽输送特征。此外, 本研究参考朱丽等(2019)的方法, 将2012年7月和2015年7月的日降水量观测值按照区域内所有站点出现降水的几率分为3个等级, 分别是大型降水(L), 中型降水(M)和小型降水(S), 并统计了各类型降水在该月出现的次数和降水量(表1), 由此在一定程度上区分三江源区域内的不同降水类型, 从而得到不同降水类型的模拟结果, 进一步找出不同降水类型下的水汽输送特征。由表1可知, 2012年和2015年7月降水的差别主要出现在小型降水(S)和大型降水(L)上, 与2012年7月相比, 2015年7月的大型降水(L)减少了55%, 小型降水(S)增加了300%, 但月降水总量依然是大型降水的贡献最大。
图2 1994 -2019年三江源区域各站点月平均降水量

Fig.2 Monthly average precipitation of each station in the Sanjiangyuan region from 1994 to 2019

图3 1994 -2019年三江源区域平均7月降水量的距平序列

Fig.3 Anomaly sequence of the average July precipitation in Sanjiangyuan region from 1994 to 2019

表1 20127月和20157月三江源区域降水分类

Table 1 Classification of precipitation in Sanjiangyaun region in July 2012 and July 2015

日期 降水类型 时长 /月 降水量 /mm 降水 占比/%
2012年7月 小型降水(S) 4 5.75 5.0
中型降水(M) 7 38.65 34.1
大型降水(L) 20 68.92 61.9
2015年7月 小型降水(S) 16 6.17 10.0
中型降水(M) 7 11.69 19.0
大型降水(L) 9 43.59 71.0

4.2 降水异常对应的水汽传输路径

图4是2012年和2015年7月三类降水类型(L、 M和S)期间到达三江源区域的空气块的10天后向追踪轨迹, 由于气块的数目较多, 为了使气块的运动轨迹在图上清晰可见, 同时不丢失气块运动轨迹信息, 已将所有降水类型期间到达三江源区域的空气块的后向运动轨迹采用k均值聚类算法(Hartigan and Wong, 1979)聚类为200条。在2012年7月的三类降水中, 三江源地区的水汽输送主要分为两支: 南支输送和北支输送, 南支输送主要分为两支, 第一支是印度洋与非洲东部沿岸处向东北沿印度半岛和孟加拉湾从青藏高原南侧到达三江源地区; 第二支是从孟加拉湾出发向西沿印度半岛经阿拉伯海、 阿拉伯半岛、 埃及、 地中海、 小亚细亚半岛向东从青藏高原东侧进入三江源区域, 或者从孟加拉湾出发后经阿拉伯半岛直接向北转变后向东输送从青藏高原东侧进入三江源区域。北支输送也主要有两个源地及路径, 一条是从东欧平原向东至俄罗斯与哈萨克斯坦相交处南下向东南运动到达青藏高原三江源处; 另外一条是从西西伯利亚平原和中西伯利亚高原出发南下沿天山山脉进入青藏高原三江源区域。其次, 还有部分源地和路径是从西太平洋向西运动到达三江源区域。可以初步发现, 在以上输送中, 南支输送为主要的水汽输送, 北支输送对于三江源区域的水汽输送贡献较小。且在2012年7月三类降水类型中, 越是小型的降水, 北支输送减少得越多, 另外, 来自西太平洋的水汽输送也在逐渐增多。
图4 2012年7月和2015年7月三类降水类型(L, M和S)期间到达三江源地区的气块的后向运动轨迹

Fig.4 The backward trajectories of the air parcels arrived at the Sanjiangyuan region during the three types of precipitation (large precipitation L, medium precipitation M, and small precipitation S) in July 2012 and July 2015

在2015年7月的三类降水中, 三江源地区的水汽输送同样分为南北两支, 但与2012年7月有所不同。南支输送中, 主要是从西太平洋、 孟加拉湾和阿拉伯海出发, 向西运动至阿拉伯半岛和埃及等地北上, 经黑海、 里海和哈萨克斯坦等地南下, 从青藏高原北部进入三江源区域。北支输送的源地和路径与2012年7月相差不大, 从东欧平原或西西伯利亚平原或中西伯利亚高原出发, 经哈萨克斯坦后南下, 同样从青藏高原北部进入三江源区域。其次, 存在部分气块直接从阿拉伯海出发向东北运动, 从青藏高原南侧进入三江源区域。不难发现, 2012年7月南支输送中的第一支已经几乎消失, 而对比于2012年7月南支输送中的第二支, 2015年7月的南支输送在进入三江源区域前能够到达更北的位置, 但强度较2012年7月有所减弱, 然而2015年7月的北支输送却比2012年7月大大增强。此外, 大部分的气块皆是通过青藏高原北侧进入三江源区域, 而在2012年7月中, 通过青藏高原南侧进入三江源区域的气块仍占很大一部分比例, 且从西太平洋出发向西运动进入三江源区域的气块轨迹已经消失。与2012年7月相同的是, 在2015年7月的三类降水中, 越是小的降水类型, 南支输送越弱, 北支输送越强, 但在2015年7月的小型降水中, 北支输送不但有从哈萨克斯坦南下的, 还有很大部分气块是从蒙古国南下的。

4.3 潜在水汽源地的蒸发特征

气块轨迹只能判断目标区域内气块的来源情况, 由于气块在途中会经历多次吸收和失去水汽, 为了进一步定量描述气块运动过程中水汽含量的变化并判断途经区域的蒸发和降水情况以初步确定三江源区域的潜在水汽源地, 本研究对2012年7月和2015年7月各自三类降水期间所有到达三江源区域的气块进行后向追踪并计算气块所经过区域的E-P值, 结果如图5所示。综合2012年7月和2015年7月的E-P情况来看, 因受南亚季风影响, 在青藏高原上、 青藏高原南侧和中国西南等地有较大的正的E-P值, 其次在青藏高原北部, 印度半岛西侧, 孟加拉湾和阿拉伯海也存在正的E-P值, 即在这些地方的蒸发大于降水, 气块的水汽含量增加, 是三江源地区潜在的水汽源地。对比三类降水类型, 在大型降水L中, 2015年7月相比于2012年7月的E-P正值强度有所减弱, 除2012年7月在青藏高原上有较强的水汽蒸发之外, 两者的潜在水汽源地几乎相同, 但2012年7月中三江源区域本地的蒸发也占据了重要贡献; 在中型降水M中, 与大型降水L类似, 2015年7月的E-P正值强度减弱, 水汽源地类似, 但2015年7月气块在进入三江源区域前在青藏高原上有一定程度的降水, 而2012年7月气块在高原上几乎没有产生降水; 在小型降水中S, E-P正值强度与大型降水L和中型降水M相反, 2015年7月的E-P正值强度远大于2012年7月, 且在高原上产生了降水, 但水汽源地同样类似。除此之外, 三类降水类型中, 2012年7月在高原南侧和孟加拉湾北部间有着较强的E-P负值区(即气块失去水汽, 产生降水的区域), 而在2015年7月间, 该地区几乎不存在E-P负值区, 原因是在三江源区域的降水负异常期间, 季风从阿拉伯海和孟加拉湾上携带的水汽含量远小于降水正异常期间, 因此不足以在这些地方形成降水, 到达三江源区域的水汽含量也相应减少。
图5 2012年7月和2015年7月三江源区域内三类降水类型(L, M和S)对应的面积平均的蒸发和降水的差值(E-P)(单位: mm·d-1

矩形为三江源区域

Fig.5 The difference in area average evaporation and precipitation (E-P) corresponding to the three types of precipitation (large precipitation L, medium precipitation M, and small precipitation S) in Sanjiangyuan region in July 2012 and July 2015.Unit: mm·d-1.The rectangle is the Sanjiangyuan area

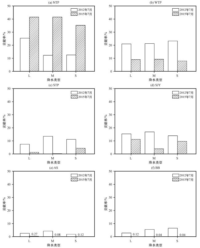
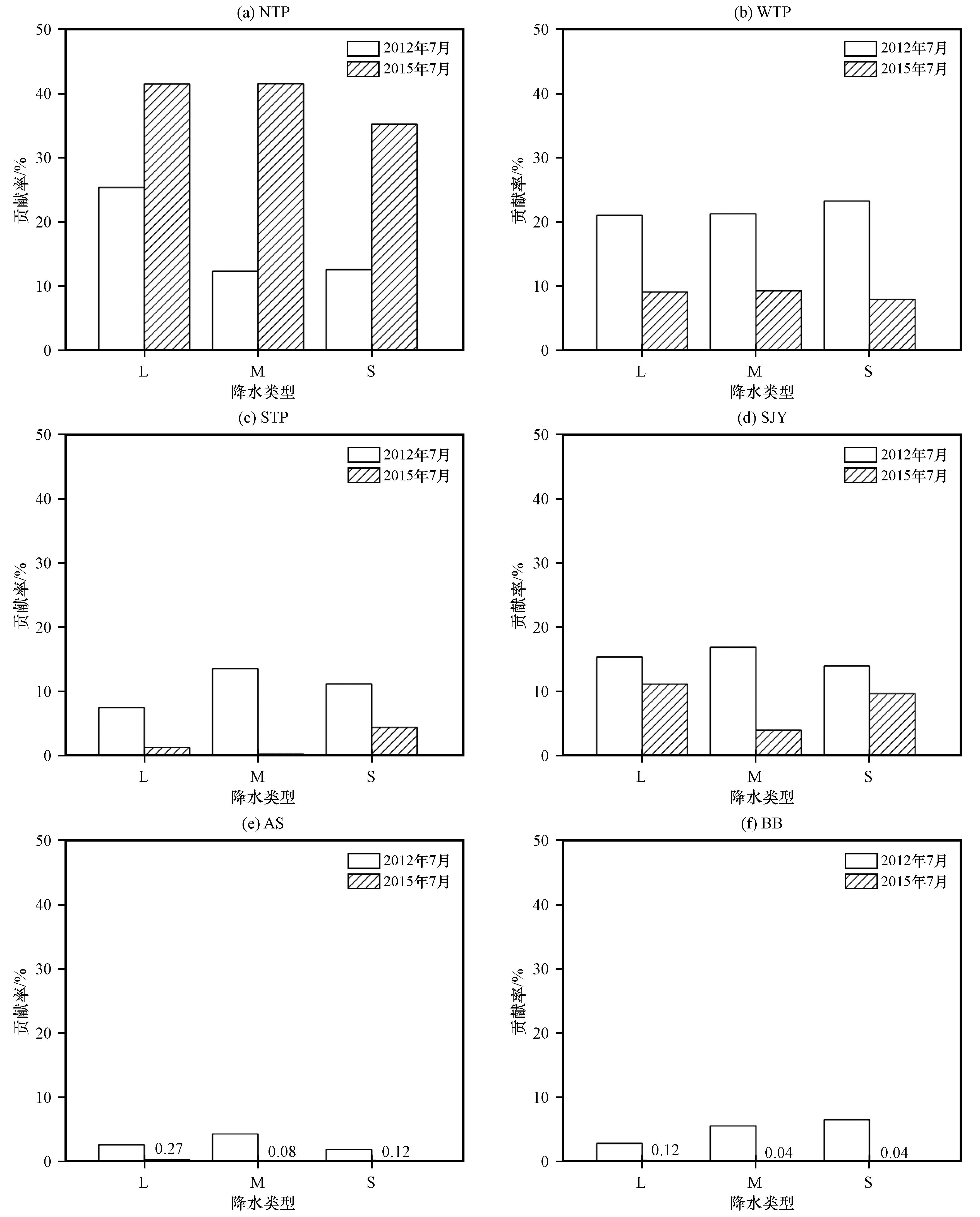
4.4 不同水汽潜在源地对三江源区域降水的贡献

通过各地区蒸发降水情况初步确定三江源的潜在水汽源地后, 为了进一步定量分析各水汽源地对三江源区域降水的贡献, 将具有E-P较大正值的区域大致分为6个区域(图6), 分别是青藏高原北侧(NTP, 36.16°N -45°N, 89.24°E -105°E), 青藏高原西侧(WTP, 30°N -40°N, 60°E -89.24°E), 青藏高原南侧(STP, 20°N -30°N, 75°E -115°E), 三江源区域(SJY, 31.39°N -36.16°N, 89.24°E -102.23°E), 阿拉伯海(AS, 0° -25°N, 50°E -70°E), 孟加拉湾(BB, 0° -20°N, 80°E -100°E)和三江源本地(SJY, 31.39°N -6.16°N, 89.24°E -102.23°E)。
图6 2012年7月和2015年7月三江源区域主要潜在水汽源地分布

Fig.6 Distribution of main potential water vapor sources in Sanjiangyuan region in July 2012 and July 2015

图7显示了在降水正异常极大值期间(2012年7月)和降水负异常极大值期间(2015年7月)各潜在水汽源地对三江源区域内降水的贡献。从图7中可以发现, 除NTP外, 2015年7月各水汽源地的贡献率均大幅下降, NTP的贡献率从2012年7月的20.51%增长至38.18%, 这与前文提到的2015年7月气块主要从青藏高原北侧进入三江源区域有关, 从青藏高原西侧和南侧进入三江源区域的气块轨迹减少, 因此WTP, STP, AS和BB的贡献率减小, 除此之外, 上文在STP和BB区域的负E-P区域表明气块携带的水汽在未进入三江源区域前提前释放, 在目标区域外产生降水, 这也会造成水汽源地对目标区域降水的贡献率下降, 尤其是离三江源区域较远的AS和BB区域。受西风急流和青藏高原的地形特点影响, 同时气块轨迹线表明从高原西侧和北侧进入的气块更多, 因此在降水正异常时段内(2012年7月), WTP和NTP对三江源区域内降水的贡献相当, 分别为20.51%和21.37%, 但结合气块轨迹和E-P的净值分析可以发现降水负异常时段内(2015年7月)从高原西侧进入的气块在还未进入三江源区域内的路途中产生了不同程度的降水, 气块水汽被提前释放, 而2012年7月从高原西侧进入的气块在到达目标区域前几乎未产生降水, 因此2015年7月WTP的贡献率有所下降(8.54%)。SJY
图7 各水汽潜在源地分别对三江源区域2012年7月和2015年7月降水的贡献率

Fig.7 The contribution rate of each potential source of water vapor to the precipitation in July 2012 and July 2015 in Sanjiangyuan region

本地在2012年7月中对占据降水量主导的L表现出强蒸发, 而在2015年7月中蒸发较弱, 因此SJY对本地降水的贡献减小。
在降水正异常极大值时段(2012年7月)和降水负异常极大值时段(2015年7月)的三类降水类型(L, M和S)中各水汽源地所占贡献如图8所示, 各水汽源地分别对2012年7月和2015年7月的L、 M和S中的贡献与分别对总体月降水的贡献变化保持一致。可以发现, 在所有降水类型中NTP的所占贡献最为显著, 在2012年7月中对L型降水的贡献(25.41%)大于M(12.32%)和S(12.59%), 这意味着降水正异常年份, 三江源区域降水量越大, 受到来自NTP的贡献就越大; 在2015年7月中, 对L(41.55%), M(41.58%)和S(35.24%)降水的贡献相当。WTP, AS和BB这一类水汽源地对降水正异常极大值时段和降水负异常极大值时段的三类降水类型的贡献差异皆不大, 表明WTP, AS和BB对三江源区域降水的贡献与三江源区域内的降水量的大小无关。STP对于三江源区域内三类降水的贡献具有一定的差异, 在2012年7月, 相比于降水量更大的L(STP贡献: 7.48%), STP对M(13.55%)和S(11.18%)的贡献稍大, 这主要是因为L期间气块在STP区域的降水更强, 造成对三江源区域降水的贡献减小; 在降水负异常时段的2015年7月, 期间三类降水类型经过STP的轨迹数相差不大, 由于在S中STP表现出了更强的蒸发, 因此STP对降水量最小的S的贡献大于L和M。对于三江源区域本地SJY, 在降水极大正异常时段的2012年7月内, 对L, M和S的贡献相差不大, 分别是15.39%, 16.90%和14.00%; 在降水极大负异常时段的2015年7月期间表现出差异, SJY对L, M和S的贡献减小, 分别为11.17%, 3.97%和9.65%。
图8 各水汽潜在源地分别对三江源区域2012年7月和2015年7月三类降水类型(大型降水L, 中型降水M, 小型降水S)的贡献率

Fig.8 The contribution rate of each potential source of water vapor to the three types of precipitation (large precipitation L, medium precipitation M, and small precipitation S) in Sanjiangyuan region in July 2012 and July 2015, respectively

5 结论

(1) 综合三江源区域内1994 -2019年的19个站点的多年月降水平均值, 全年降水都集中在夏季, 尤以7月最为显著, 在26年内三江源区域的7月降水量异常表现为多次的正负交换特征, 其中, 正异常最强的一年为2012年(+1290 mm), 负异常最强的一年为2015年(-802 mm)。
(2) 对1994 -2019年的7月降水量最大正异常(2012年)和最大降水负异常(2015年)进行FLEXPART模拟, 并将降水情况分为大型降水(L), 中型降水(M)和小型降水(S), 根据气块运动轨迹发现三江源地区的水汽输送轨迹主要分为两支, 分别是南支输送和北支输送, 南支输送主要是从印度洋、 非洲东部沿岸、 阿拉伯海、 孟加拉湾和西太平洋等地出发, 从高原北侧、 西侧和南侧进入三江源区域; 北支输送主要是从东欧平原、 西西伯利亚平原、 中西伯利亚高原出发, 从高原北侧进入三江源区域。在2012年7月的三类降水中, 南支输送为主要的水汽输送; 在2015年7月的三类降水中, 北支输送为主要的水汽输送, 两者均表现出越是小的降水类型, 南支输送越弱, 北支输送越强。
(3) 通过对所有到达三江源区域的气块进行后向追踪并计算气块所经过区域的蒸发和降水情况, 结果表明在青藏高原上、 青藏高原南侧和中国西南等地有较大的蒸发, 其次在青藏高原北部, 印度半岛西侧, 孟加拉湾和阿拉伯海也存在一定程度的蒸发。水汽潜在源地主要是青藏高原北侧(NTP), 青藏高原西侧(WTP), 青藏高原南侧(STP), 三江源本地(SJY), 阿拉伯海(AS)和孟加拉湾(BB)。各水汽源地对三江源区域内降水贡献最大是NTP, 其次是WTP, 接着是STP和SJY, AS和BB的贡献相对较小。降水负异常极大值期间(2015年7月)相比于降水正异常极大值期间(2012年7月), NTP对三江源区域内降水的贡献率增加, 而WTP, STP, AS和BB的贡献率减小。WTP, AS和BB对三江源区域降水的贡献与三江源区域内的降水量的大小无关, STP和SJY对三江源区域内降水的贡献由于受到气块轨迹数和区域蒸发和降水的综合影响而在三类降水类型中表现出一定差异。

References

null
Bosilovich M G Sud Y C Schubert S D al et2003.Numerical simulation of the large‐scale North American monsoon water sources[J].Journal of Geophysical Research: Atmospheres, 108(D16).DOI: 10.1029/2002JD003095 .
null
Bosilovich M G Schubert S D2002.Water vapor tracers as diagnostics of the regional hydrologic cycle[J].Journal of Hydrometeorology3(2): 149-165.DOI: 10.1175/1525-7541(2002)003<0149: WVTADO>2.0.CO; 2 .
null
Christensen J H Christensen O B2003.Severe summertime flooding in Europe[J].Nature421(6925): 805-806.DOI: 10.1038/421805a .
null
Gimeno L Nieto R Trigo R M al et2010.Where does the Iberian Peninsula moisture come from?An answer based on a Lagrangian Approach[J].Journal of Hydrometeorology11(2): 421-436.DOI: 10.1175/2009JHM1182.1 .
null
Gimeno L Stohl A Trigo R M al et2012.Oceanic and terrestrial sources of continental precipitation[J].Reviews of Geophysics50(4): RG4003.DOI: 10.1029/2012RG000389 .
null
Hartigan A Wong J A1979.Algorithm AS 136: A K-Means Clustering Algorithm[J].Journal of the Royal Statistical Society28(1): 100-108.DOI: 10.2307/2346830 .
null
Koster R Jouzel J Suozzo R al et1986.Global sources of local precipitation as determined by the Nasa/Giss GCM[J].Geophysical Research Letters13(2).DOI: 10.1029/GL013i002p00121 .
null
Longinelli A Selmo E2003.Isotopic composition of precipitation in Italy: A first overall map[J].Journal of Hydrology270(1-2): 75-88.DOI: 10.1016/S0022-1694(02)00281-0 .
null
Moody J L Galloway J N2010.Quantifying the relationship between atmospheric transport and the chemical composition of precipitation on Bermuda[J].Tellus, 40B(5): 463-479.DOI: 10.3402/tellusb.v40i5.16014 .
null
Ralph F M Neiman P J Wick G A al et2012.Flooding on California's Russian River: Role of atmospheric rivers[J].Geophysical Research Letters33(13).DOI: 10.1029/2006GL026689 .
null
Schaer C Vidale P L Luethi D al et2004.The role of increasing temperature variability in European summer heatwaves[J].Nature427(6972): 332-336.DOI: 10.1038/nature02300 .
null
Schneider E K Kirtman B P Lindzen R S1999.Tropospheric water vapor and climate sensitivity[J].Journal of the Atmospheric Sciences56(11): 1649-1658.DOI: 10.1175/1520-0469(1999)056<1649: TWVACS>2.0.CO; 2 .
null
Sodemann H Masson-Delmotte V Schwierz C al et2008.Interannual variability of Greenland winter precipitation sources: 2.Effects of North Atlantic Oscillation variability on stable isotopes in precipitation[J].Journal of Geophysical Research, 113(D12).DOI: 10.1029/2007JD009416 .
null
Stohl A2006.Characteristics of atmospheric transport into the Arctic troposphere[J].Journal of Geophysical Research, 111(D11).DOI: 10.1029/2005jd006888 .
null
Stohl A Forster C Frank A al et2005a.Technical note: The Lagrangian particle dispersion model FLEXPART version 6.2[J].Atmospheric Chemistry and Physics5(9): 2461-2474.DOI: 10.5194/ACP-5-2461-2005 .
null
Stohl A Forster C Sodemann H2008.Remote sources of water vapor forming precipitation on the Norwegian west coast at 60N-a tale of hurricanes and an atmospheric river[J].Journal of Geophysical Research113(D5): 1-13.DOI: 10.1029/2007JD009006 .
null
Stohl A Hittenberger M Wotawa G1998.Validation of the Lagrangian particle dispersion model FLEXPART against largescale tracer experiment data[J].Atmospheric Environment, 32: 4245-4264.DOI: 10.1016/S1352-2310(98)00184-8 .
null
Stohl A James P2004.A Lagrangian Analysis of the atmospheric branch of the global water cycle.Part I: Method Description, Validation, and Demonstration for the August 2002 Flooding in Central Europe[J].Journal of Hydrometeorology5(4): 656-678.DOI: 10.1175/1525-7541(2004)005<0656: ALAOTA>2.0.CO; 2 .
null
Stohl A James P2005b.A Lagrangian Analysis of the atmospheric branch of the global water cycle.Part II: Moisture Transports between earth's ocean basins and river catchments[J].Journal of Hydrometeorology6(6): 961-984.DOI: https: //doi.org/10.1175/JHM470.1 .
null
Sun B Wang H J2014a.Moisture sources of semiarid grassland in China using the Lagrangian particle model FLEXPART[J].Journal of Climate27 (6): 2457-2474.DOI: 10.1175/JCLI-D-13-00517.1 .
null
Sun B Wang H J2014b.Analysis of the major atmospheric moisture sources affecting three sub-regions of East China[J].International Journal of Climatology35(9): 2243-2257.DOI: 10.1002/joc.4145 .
null
Trenberth K E1998.Atmospheric moisture residence times and cycling: Implications for rainfall rates and climate change[J].Climatic Change39(4): 667-694.DOI: 10.1023/A: 1005319109110 .
null
Werner M Heimann M Hoffman G2001.Isotopic composition and origin of polar precipitation in present and glacial climate simulations[J].Tellus B: Chemical and Physical Meteorology, 53: 53-71.DOI: 10.3402/tellusb.v53i1.16539 .
null
Wernli B H Da Vies H C1997.A lagrangian-based analysis of extratropical cyclones.I: The method and some applications[J].Quarterly Journal of the Royal Meteorological Society123(538): 467-489.DOI: 10.1002/qj.49712353811 .
null
曾小凡, 苏布达, 易善桢, 等, 2013.1971~2010年三江源地区水汽输送变化分析[J].气候变化研究进展9(3): 187-191.DOI: 10.3969/j.issn.1673-1719.2013.03.005 .
null
陈斌, 2009.青藏高原及其周边区域夏季上对流层水汽变化和输送特征研究[D].北京: 中国气象科学研究院.
null
陈斌, 徐祥德, 施晓晖, 2011.拉格朗日方法诊断2007年7月中国东部系列极端降水的水汽输送路径及其可能蒸发源区[J].气象学报69(5): 810-818.DOI: 10.11676/qxxb2011.071 .
null
董李丽, 2019.青藏高原"敏感区"地表通量, 水汽输送结构对长江中下游梅雨期异常降水的综合影响特征[D].北京: 中国气象科学研究院.
null
黄建平, 刘玉芝, 王天河, 等, 2021.青藏高原及周边地区气溶胶、 云和水汽收支研究进展[J].高原气象40(6): 1225-1240.DOI: 10.7522/j.issn.1000-0534.2021.zk012 .
null
赖欣, 范广洲, 华维, 等, 2021.青藏高原陆气相互作用对东亚区域气候影响的研究进展[J].高原气象40(6): 1263-1277.DOI: 10.7522/j.issn.1000-0534.2021.zk018 .
null
李生辰, 李栋梁, 赵平, 等, 2009.青藏高原“三江源地区”雨季水汽输送特征[J].气象学报67(4): 591-598.DOI: 10.11676/qxxb2009.059 .
null
鲁春霞, 谢高地, 成升魁, 等, 2004.青藏高原的水塔功能[J].山地学报22(4): 428-432.DOI: 10.3969/j.issn.1008-2786. 2004.04.008 .
null
马耀明, 胡泽勇, 王宾宾, 等, 2021.青藏高原多圈层地气相互作用过程研究进展和回顾[J].高原气象40(6): 1241-1262.DOI: 10.7522/j.issn.1000-0534.2021.zk006 .
null
强安丰, 汪妮, 魏加华, 等, 2020.近50年三江源地区云水资源分布及降水效率研究[J].应用基础与工程科学学报28(3): 85-104.DOI: 10.16058/j.issn.1005-0930.2020.03.007 .
null
权晨, 2014.三江源区地—气水汽交换及输送的气候效应研究[D].南京: 南京信息工程大学.
null
许建玉, 王慧娟, 李宏毅, 2014.夏季青藏高原地区水汽收支的初步模拟分析[J].高原气象33(5): 1173-1181.DOI: 10.7522/j.issn.1000-0534.2013.00117 .
null
杨建平, 丁永建, 刘时银, 等, 2003.长江黄河源区冰川变化及其对河川径流的影响[J].自然资源学报18(5): 595-602.DOI: 10.11849/zrzyxb.2003.05.012 .
null
赵阳, 2019.青藏高原大地形影响背景下对流结构及水汽输送特征对下游暴雨的影响机理[D].北京: 中国气象科学研究院.
null
周顺武, 吴萍, 王传辉, 2011.青藏高原夏季上空水汽含量演变特征及其与降水的关系[J].地理学报66(11): 1466-1478.DOI: 10.11821/xb201111003 .
null
朱丽, 刘蓉, 王欣, 等, 2019.基于FLEXPART模式对黄河源区盛夏降水异常的水汽源地及输送特征研究[J].高原气象38(3): 484-496.DOI: 10.7522/j.issn.1000-0534.2019.00015 .
Outlines

/