Numerical Analysis of Thundercloud Charge Structures Difference of Two Thunderstorms in Qinghai and the Beijing Area

  • Jianglin LI ,
  • Ye YU ,
  • Tong ZHANG ,
  • Beilei ZAN ,
  • Yajun LI ,
  • Wanli LI
Expand
  • 1. Key Laboratory of Land Surface Process and Climate Change in Cold and Arid Regions,Northwest Institute of Eco-Environmental Resources,Chinese Academy of Science,Lanzhou 730000,Gansu,China
    2. Pingliang Land Surface Process &Severe Weather Research Station,Chinese Academy of Sciences,Pingliang 744015,Gansu,China
    3. Gansu Land Surface Process &SevereWeather Observation and Research Station,Pingliang 744015,Gansu,China
    4. University of Chinese Academy of Science,Beijing 100049,China
    5. Meteorological Administration Training Center,Beijing 100081,China

Received date: 2020-07-14

  Revised date: 2021-03-05

  Online published: 2022-06-20

Cite this article

Jianglin LI , Ye YU , Tong ZHANG , Beilei ZAN , Yajun LI , Wanli LI . Numerical Analysis of Thundercloud Charge Structures Difference of Two Thunderstorms in Qinghai and the Beijing Area[J]. Plateau Meteorology, 2022 , 41(3) : 814 -828 . DOI: 10.7522/j.issn.1000-0534.2021.00018

1 引言

从20世纪初, 人们就开始关注雷暴云的电荷结构, 经过100多年的观测研究, 发现雷暴云中的电荷结构不尽相同。Wilsion(1920, 1929)最早研究认为雷暴云电荷结构为正偶极性。Simpson(1927)通过对雷暴云下方降水电荷的测量, 研究认为雷暴云电荷为反偶极性结构。为了进一步研究雷暴云电荷结构, Simpson and Scrase(1937), Simpson and Robinson(1941)后来利用穿云电场探空的探测方法, 研究发现雷暴云的三极性的电荷结构。近年来, 随着探测设备的发展和探测技术的进步, 以及对雷暴云电场探空个例的不断积累, 人们发现雷暴云中的电荷结构是复杂多样的, 不同的雷暴云系统, 不同的雷暴发展阶段, 甚至在一个雷暴系统内的不同区域雷暴云电荷结构也是有所差别的(Kitagawa and Michimoto, 1994Stolzenburg et al, 1998a, 1998c; Li et al, 2020)。Marshalland(1991)和Stolzenburg et al(1998a)通过对单体雷暴研究发现, 上升气流区电荷结构自下而上依次为“+ - + -”的四层结构, 而在上升气流区外围则有五、 六层电荷堆。Stolzenburg et al (1998b)对49次雷暴云电场探空结果进行总结后发现, 雷暴云上升气流区和外围区电荷结构存在一定的差异, 上升气流区有四个电荷区, 而外围区至少有6个电荷区, 从而提出了多极性电荷结构。Bruning et al(2010)综合利用闪电定位、 电场、 雷达数据对美国Oklahoma一次超级单体雷暴电荷结构进行研究, 结果表明在降水出现的弱回波区上部是一个三极性电荷结构区, 在这个三极性电荷区的左侧有6个电荷区, 最底层为正电荷区, 并提出可以利用雷达回波来推测不同雷暴过程不同区域的电荷结构。
有学者对我国不同地区的雷暴云电荷结构进行了研究。20世纪80年代邵选民和刘欣生(1987)以及刘欣生等(1987)研究发现, 我国甘肃地区雷暴云下部时常存在一个范围较大的正电荷区。并通过地面多站电场变化反演出雷暴云的三极性电荷结构。张义军等(1997)观测发现, 我国南方大部分地区雷暴云呈现典型的偶极性结构。2002 -2006年, 中国科学院寒区旱区环境与工程研究所的科学家们分别在甘肃的平凉和中川、 青海的大通以及西藏的那曲等四个地方进行了野外雷电观测实验, 对这几个地区的雷暴云电荷结构进行了分析, 并根据地面电场极性的变化把雷暴分为特殊型和正常型。观测结果表明上述四个地区雷暴云电荷结构均呈三极性, 正常型雷暴的雷暴云下部正电荷区较小, 而特殊型雷暴云下部的正电荷区的尺度较大(Qie et al, 20022005张廷龙等, 2008)。张廷龙等(2019)利用雷暴云内电场探空资料、 结合雷达、 地闪资料对2016年青海大通地区的一次雷暴过程研究表明雷暴云内电荷结构呈四极性。郑栋等(2010)利用三维闪电定位和雷达相结合的方法对北京一次雷暴过程的电荷结构演变特征进行分析指出, 在降雹阶段, 雷暴云电荷结构表现为反极性结构, 降雹结束后的闪电的二次活跃期, 雷暴云则为正常的三极性结构。李亚珺等(2012)Li et al (20132017)对我国山东沿海和青海高原地区雷暴云电荷结构的研究指出, 雷暴发展的不同阶段雷暴云电荷结构是不同的。
目前对于不同地区雷暴云电荷结构的差异研究比较多, 但是对于产生这种差异的原因目前仍缺少深入的认识。青海大通地区位于我国青海省东北部, 处青藏高原和黄土高原过渡地带, 地形复杂, 夏季强对流天气较多, 易形成冰雹灾害。2009 -2011年, 中国科学院寒区旱区环境与工程研究所李亚珺、 张广庶等在该地区进行了雷电综合观测。Li et al (2013)利用甚高频辐射源定位的方法对该地区2009年8月6日的一次雷暴云发展不同阶段的电荷结构进行了研究。李江林等(2019)选取不同的非感应起电参数化方案, 将模拟的雷暴云电荷结构与甚高频辐射源定位的方法得到的雷暴云电荷结构进行了对比并确定出了模拟效果较好的非感应起电机制。因此, 我们选取这个例子作为高海拔地区个例进行模拟。与而华北地区海拔较低, 地势自西北向东南倾斜, 西部和北部山区往往是对流频发地(苏永玲等, 2011)。本研究分别选取发生在青藏高原东北部的青海大通地区和我国华北地区两次雷暴个例进行数值模拟, 分析其不同发展阶段雷暴云的电荷结构, 揭示造成两地不同雷暴个例雷暴云电荷结构差异的原因。

2 天气实况、 模式及数值模拟试验

2.1 天气实况介绍

本研究选取的青海大通地区雷暴个例发生于2009年8月6日15:30(北京时, 下同) -18:30。西宁雷达站海拔为2445 m, 雷达观测仰角为2.4°。从西宁C波段全相干多普勒天气雷达不同时段的实际雷达回波(图1)可以看出, 雷暴云15:30开始生成, 逐渐发展加强并向东南移动, 移动过程中经历了“加强-减弱-再加强-再减弱”的过程, 持续了约3 h。选取的华北地区雷暴个例发生于2014年6月13日13:00 -20:00。北京S波段雷达站海拔为31.4 m, 雷达观测仰角为1.5°。从北京S波段雷达回波(图2)可以看出, 从13:00开始, 河北北部地区有比较分散且回波大于35 dBZ的对流云在逐渐生成, 并向南移动逐渐加强。到17:00, 发展到最旺盛, 之后逐渐减弱, 到20:00逐渐消亡。从该日14:00 -20:00的6 h累计降水量分布(图略)可以看出, 该时段由于强对流天气导致北京大部分地区出现了小到中雨, 个别站点还出现了49 mm的暴雨。这两次雷暴过程的区别在于青海大通地区的高原雷暴产生主要是由于高原的局地热力作用和动力作用所致, 本次雷暴过程持续时间较短, 强度相对较弱, 产生的降水小。而发生在华北地区的北京西北部山区雷暴过程产生于东北气旋后部, 中高层有很强的冷平流入侵, 低层有来自南部的暖湿气流配合, 从而诱发了本次雷暴过程, 本次雷暴与高原青海大通地区的雷暴过程相比持续时间相对较长, 范围相对较广, 产生的降水大。
图1 2009年8月6日15:30 -18:30雷暴移动过程各时段西宁C波段天气雷达基本反射率(单位: dBZ)

相邻两圈之间的距离为20 km, 黑线标记范围是研究的雷暴云

Fig.1 Radar base reflectivity at different time measured by CINRAD-CC Doppler weather radar at Xining from 15:30 to 18:30 on 6 August 2009.Unit: dBZ.Distance between the two adjacent circles is 20 km.Black circles represent storm clouds in the study area

图2 雷暴移动过程中不同时段北京S波段实测雷达基本反射率(单位: dBZ)

相邻两圈之间的距离为50 km

Fig.2 The radar base reflectivity measured by CINRAD-SA Doppler weather radar at different times at Beijing.Unit: dBZ.Distance between the two adjacent circles is 50 km

2.2 模式及数值模拟试验

本文所用模式WRF3.7.1_ELEC是美国强风暴实验室研发。李江林等(2019)对该模式发展历程、 框架和实际个例模拟应用等方面进行了详细介绍, 这里不再赘述。
模式采取三重嵌套网格[图3(a), (b)], 网格距分别为18 km, 6 km和 2 km, 初始场资料为NCEP提供的fnl 1°×1°再分析资料。对于青海大通地区的雷暴个例, 模拟时段、 积分时间步长与李江林等(2019)试验设计一致。对于北京地区的雷暴个例, 第一、 二重网格模拟时间段为2014月6月12日20:00至13日20:00, 第三重网格模拟时段为2014年6月13日02:00 -20:00, 积分19 h, 积分时间步长为15 s。两个雷暴个例数值模拟参数化方案如表1所示。
图3 模式三重嵌套网格设计

Fig.3 The triple nested grid

表1 数值试验物理过程参数化方案

Table 1 The physical parameterization schemes

物理参数化方案 三重嵌套网格
第一重 第二重 第三重
感应/非感应起电机制 - - 感应机制+非感应BSP机制
微物理方案 NSSL 2 NSSL 2 NSSL 2
陆面方案 Unified Noah Unified Noah Unified Noah
边界层方案 YSU YSU YSU
对流参数化方案 Kain-Fritsch scheme - -
长/短波辐射方案 Goddard scheme Goddard scheme Goddard scheme

-表示不开启该参数化方案

3 结果分析

3.1 模拟雷达回波与观测雷达回波

从西宁雷达观测的雷达回波(图1)可以看出, 15:30 -18:30, 雷暴云自西北向东南方向移动, 并且经历了“加强-减弱-再加强-再减弱”的过程。其中, 15:30 -16:10为雷暴云发展加强阶段, 16:08发展旺盛后逐渐减弱, 到17:20减到最弱后又开始加强, 17:55发展到第二次加强阶段的峰值, 17:55之后又逐渐减弱, 最终消散。模拟的雷达回波(图4)与实际雷达回波相比, 15:30左右模拟的雷暴云中心雷达回波强度最大值为45 dBZ左右, 自西北向东南方向逐渐移动加强, 17:20左右雷达回波分裂为南北两个中心, 南部的对流云发展到最强, 最大雷达回波中心强度约为55 dBZ。之后南部的对流云开始减弱, 到18:00左右强雷达回波区域面积减小, 雷达回波中心强度减小到50 dBZ左右。但是到18:30该雷暴云左右又有一个二次加强的过程, 强回波面积增大, 雷达回波中心强度又加强到55 dBZ以上, 之后再减弱(18:30之后的图略)。与实际雷达回波相比, 模式能够模拟出雷达回波的二次加强的变化过程, 但是时间上滞后约40 min, 模拟的雷达回波中心强度也与实际较为一致。本文基于数值模拟结果开展研究, 因此根据模拟的雷达回波来看, 发生在青海大通的这次雷暴过程的初始阶段为15:00 -16:00, 16:10 -17:20为本次雷暴过程的发展旺盛阶段, 19:10以后为本次过程的总体减弱消散阶段。后文中选取这三个阶段的代表时刻(15:30, 17:20和19:30)来研究不同水成物粒子荷电情况以及不同水成物粒子混合比在不同高度的分布情况。
图4 2009年8月6日模拟的青海大通地区不同时段雷达回波(单位: dBZ)

黑色横线分别对应图6中的剖面的位置

Fig.4 The simualted radar reflectivity at different time at Datong on 6 August 2009.Unit: dBZ.The black line is respectively corresponding the position of the section in Fig.6

对于发生在2014年6月13日北京地区这次雷暴过程, 13:00 -20:00实测雷达回波变化情况(图2), 13:00开始, 河北北部地区有比较分散且回波大于35 dBZ的对流云在逐渐生成。到了14:00, 分散的对流云逐渐合并加强, 向南移动, 之后, 对流云团继续向南移动并逐渐加强, 16:00, 该对流云团发展成为一条东西向的飑线, 向南移入北京市的偏北地区, 回波中心强度达到55 dBZ。17:00, 偏东部的飑线产生的强回波逐渐分裂, 分裂后偏东部地区的回波也减弱, 18:00, 飑线西部也开始分裂为两个中心, 强回波区域也减小。之后, 该对流云继续向南移动, 并且回波也迅速减弱, 20:00, 雷达回波强度减弱到30 dBZ左右。总体来说, 对流云产生的雷达回波在13:00 -20:00经历了逐渐加强向南移动, 合并为一条飑线, 回波强度达到最强, 之后该飑线逐渐分裂为两个中心, 继续向南偏东方向移动, 最后逐渐减弱消亡的过程。
图5给出了模拟的2014年6月13日13:00 -20:00雷达回波变化情况。从图5中可以看出, 13:00, 模拟结果与实际一致, 河北北部出现了大于30 dBZ的对流云回波, 且对流云团比较分散。之后, 分散的对流云团逐渐向南移动并且合并加强, 到16:00, 对流云团产生的强回波移动到北京的北部, 并且逐步发展成为东西向的带状回波, 带状回波西部的中心强度达到55 dBZ, 与实际观测的雷达回波分布、 强度以及移动方向较为一致。17:00, 雷暴云产生的带状回波更为明显, 但是西部的回波强度有所减弱。到18:00, 雷达回波继续减弱, 且带状回波东部区域逐渐分裂, 到19:00, 带状回波明显分裂为两个回波区域, 雷暴云的回波强度迅速减弱到40 dBZ左右, 最后继续减弱消亡。总体来说, 模式模拟的雷达回波移动方向, 回波强度以及形状的变化与实际观测较为一致, 说明模式能够较好地模拟此次雷暴过程。这里我们根据模拟雷达回波的变化情况来看, 本次过程的初始阶段为14:00 -15:00, 发展旺盛阶段为15:10 -17:00, 17:00以后为减弱消散阶段。分别选取14:20、 16:00和19:00为这三个阶段的代表时刻来研究北京个例雷暴的不同水成物粒子荷电情况以及不同水成物粒子混合比在不同高度的分布情况。
图5 模拟的2014年6月13日北京地区不同时段雷达回波变化情况(单位: dBZ)

黑色实线圈出区域为研究区域图

Fig.5 Simulated radar reflectivity at different times at Beijing on 12 June 2014.Unit: dBZ.Black circles represent storm clouds in the study area

3.2 两个雷暴个例不同阶段雷暴云总电荷结构特征对比

图6给出了青藏高原青海大通地区雷暴个例雷暴云的电荷结构变化。图6(a)是沿图4(a)中37.45°N画的电荷结构和雷达回波的经度-高度剖面图。从图6(a)中可以看出, 在雷暴云发展的初始阶段(15:30), 中心雷达回波不到40 dBZ, 雷暴云的最底层从地面到3 km的高度是正电荷区, 中心电荷密度值为6.5 nC·m-3, 3~6 km高度为负电荷区, 中心电荷密度值为-6.2 nC·m-3。初始阶段, 电荷结构从地面到高空依次为“+ -”分布的反偶极性电荷结构。之后, 雷暴云逐渐发展, 模拟雷达回波由40 dBZ逐渐增强。分别沿图4(b)、 (c)和(d)中的雷达回波最强处画出电荷结构和雷达回波的经度-高度剖面(图6中黑色实线为剖面所在的位置), 可以看出雷暴云在逐渐发展增强阶段(16:10 -17:20), 电荷结构从地面到高空为“+ - + -”四层电荷区分布, 电荷区的高度略有不同, 发展阶段电荷区[图6(b)]的高度分布从地面到8 km, 发展旺盛阶段电荷区的分布从地面到9 km, 比发展阶段电荷区高度略高1 km左右。底层的正电荷区都是-5 ℃以上, 其上的负电荷区对应的温度范围介于-20~ -5 ℃, 中上层的正电荷区介于-35~-20 ℃, 最上层为感应的负电荷区。之后, 从雷达回波分析可知, 该雷暴云又经历了减弱、 二次加强、 再减弱这么一个过程, 在这个过程中, 雷暴云的电荷结构从地面到高空始终保持“+ - + -”四层电荷区分布。但是在最后的减弱阶段(19:30)[图6(f)]明显可以看到, 最底层的正电荷和负电荷区的范围都很小, 高度较低, 中心电荷密度值也比之前的略小。
图6 模拟的高原雷暴个例不同时段雷暴云电荷结构

黑色等值线为电荷密度分布(单位: nC·m-3), 红色虚线自下而上依次为0 ℃、 -10 ℃、 -20 ℃, -30 ℃和-40 ℃等温线, 彩色区为雷达回波(单位: dBZ)

Fig.6 Simulated charge density distribution in different stages of thunderstorm occurred at Qinghai.The black contour indicates charge density (unit: nC·m-3), red contour indicates 0 ℃, -10 ℃, -20 ℃, -30 ℃ and -40 ℃ emperatures from low to high levels, color area indicates radar reflectivity (unit: dBZ)

图7给出图5中黑色实线圈中北京地区雷暴个例雷暴云的电荷结构变化。从图7(a)和(b)可以看出, 在雷暴发展初始阶段(14:00 -15:00), 雷暴云中电荷分布自下而上从地面到11 km呈“- + -”的反三极性电荷结构, 从地面到6 km高度, 为负电荷区, 电荷区中心在2.5~4.5 km, 中心电荷密度值为 -2.7 nC·m-3, 该高度对应的雷达回波大于30 dBZ, 最强雷达回波超过了35 dBZ; 6~8.5 km高度为正电荷区, 中心电荷密度值为2.5 nC·m-3; 8.5~11 km为负电荷区, 中心电荷密度值为-2.4 nC·m-3。到16:00[图7(c)], 该雷暴个例的雷达回波发展到最强(大于55 dBZ), 此时雷暴云的电荷分布从地面到13 km高度依次为“+ - + -”的四层电荷结构。从地面到4 km高度(大于-5 ℃区域)为底层正电荷区, 中心电荷密度值大于6 nC·m-3; 4~7 km高度为中下层负电荷区, 中心电荷密度值小于 -6 nC·m-3; 7~10 km高度为中上层正电荷区, 中心电荷密度值大于2 nC·m-3; 10~13 km高度(小于-40 ℃区域)为上层负电荷区, 中心电荷密度值小于-1 nC·m-3。17:00 -18:00[图7(d), (e)], 雷达回波逐渐减弱, 但是雷暴云的四层电荷结构维持不变。直到19:00[图7(f)], 雷达回波中心值迅速减小到40 dBZ, 雷暴云的电荷分布自地面到9 km高度为“- +”的正偶极性电荷结构, 从地面到5 km为负电荷区, 5~9 km为正电荷区。
图7 模拟的北京个例不同时刻沿不同纬度作的强回波区雷暴云总电荷密度的经度—高度剖面

图中黑色等值线为电荷密度分布(单位: nC·m-3), 红色虚线自下而上依次为0 ℃、 -10 ℃、 -20 ℃, -30 ℃和-40 ℃等温线, 彩色区为雷达回波(单位: dBZ)

Fig.7 Longitude and height profile of the simulated charge density in different stages of thunderstorm occurred at Beijing.The black contour indicates charge density (unit: nC·m-3), red contour indicates 0 ℃, -10 ℃, -20 ℃, -30 ℃ and -40 ℃ temperatures from low to high levels, color area indicates radar reflectivity (unit: dBZ)

总体来说, 发生在北京地区的这次雷暴过程, 雷暴云在发展初始阶段, 其电荷分布自下而上呈“- + -”的反三极性电荷结构, 与发生在青藏高原大通地区的雷暴云电荷结构相比, 高原雷暴云发展的初始阶段, 电荷区分布为上负下正的反偶极性电荷结构; 在发展加强阶段, 两个地区雷暴个例的雷暴云电荷结构基本一致, 自下而上呈“+ - + -”分布的四层电荷结构, 不同的是北京地区雷暴云发展的高度较高, 可以达到13 km, 而高原地区的雷暴云发展的高度约为9 km, 因此相应极性电荷区所在的高度比高原地区高, 但是两个地区四层电荷区所对应的温度的范围基本一致; 最后到消亡阶段, 北京地区雷暴个例的雷暴云电荷分布为上正下负的正偶极性电荷结构, 而在消亡阶段高原雷暴云仍然是“+ - + -”分布的四层电荷结构电荷结构。另外, 从雷暴云电荷密度值来看, 在雷暴云发展旺盛阶段, 两个雷暴个例的电荷密度值基本相当, 其他阶段, 高原地区的雷暴云中心电荷密度值均强于北京地区的雷暴云中心电荷密度值。

3.3 两个雷暴个例不同阶段不同水成物粒子所带电荷情况对比

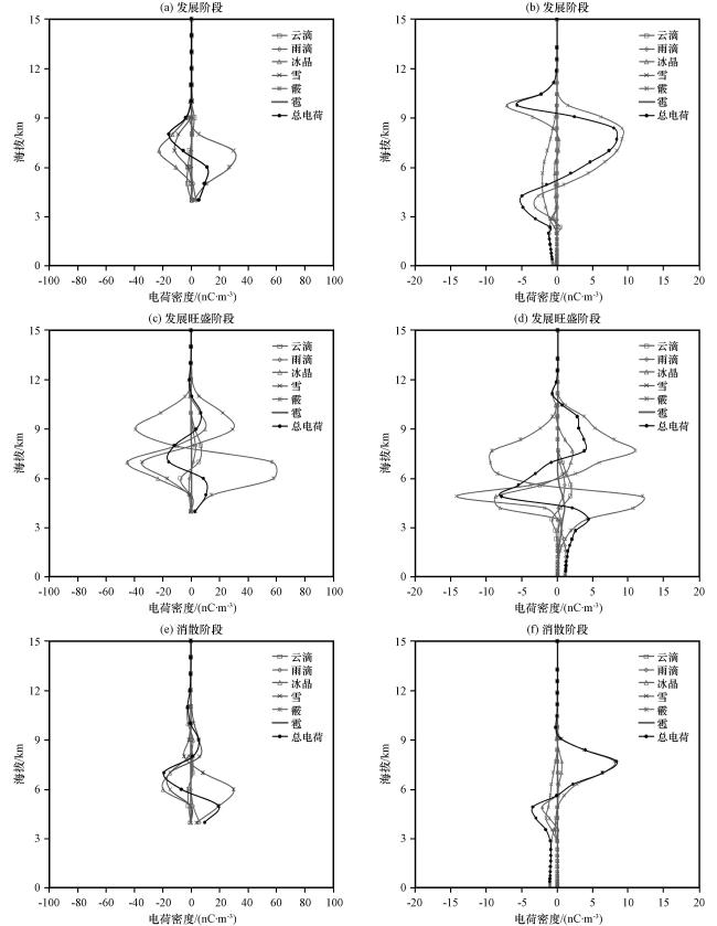
为了分析两个个例雷暴云电荷结构差异的原因, 图8给出了两个雷暴个例雷暴云不同发展阶段最强回波处各水成物粒子所带电荷密度的垂直变化曲线。从图8可以看出, 在雷暴云发展初始阶段和消散阶段, 两个雷暴个例雷暴云中水成物粒子所带电荷的极性有着明显的不同。发展初始阶段, 青海大通地区雷暴云中各水成物粒子所带电荷如图8(a)所示, 该时段荷电粒子主要是冰、 雪和霰粒子, 霰粒子在距地面0~4 km带正电荷, 而冰、 雪粒子在0~4 km的高度带负电荷, 这三种粒子所带电荷合成后出现了下正上负的反偶极性电荷结构。而对于北京地区雷暴个例中雷暴云中霰粒子在3~9 km整层都带负电荷; 雪粒子在3~4.5 km带负电荷, 在3.5~10.5 km带正电荷; 冰粒子在3.5~5.5 km高度带负电荷, 在6~8.5 km高度带正电荷; 低层从地面到4 km高度的雨滴粒子也带负电荷。因此, 造成雷暴云初始阶段从低到高“- + -”分布的反三极性电荷结构的主要原因是, 低层雪粒子、 冰粒子和雨滴共同作用形成了低层近地面到6 km的负电荷区; 6~9 km的正电荷区主要是由雪粒子产生的; 另外, 9~11 km的负电荷区主要是由于冰粒子在这一层带负电荷所致[图8(b)]。可见造成这两个地区初始阶段雷暴云低层电荷结构差异的主要原因是霰粒子所带电荷极性不同所致。
图8 模拟的雷暴云发展不同阶段青海大通个例(左)与北京地区个例(右)各水成物粒子所带电荷密度垂直变化

Fig.8 Simulated charge density of different hydrometeor particles at different stages of the two thunderstorm cases which occurred at Datong of Qinghai (left) and Beijing (right)

在雷暴云发展旺盛阶段, 两个雷暴个例的雷暴云电荷结构基本一致, 从低到高层为“+ - + -”四层电荷结构[图8(c), (d)]。两个个例的最底层正电荷是由霰粒子荷电所致, 中下层的负电荷是由冰粒子和雪粒子荷电所致, 中上层的正电荷也是由冰粒子和雪粒子荷电所致, 最上层的负电荷是由冰粒子荷电所致。不同的是青海大通地区雷暴云中的正、 负电荷密度大于北京地区雷暴云中的电荷密度。
在雷暴云减弱消散阶段, 青海大通地区雷暴云中各水成物粒子所带电荷如图8(e)所示, 霰粒子在3~7.5 km高度荷正电荷, 冰、 雪粒子在5~7.5 km高度荷负电荷, 几种粒子所带电荷合成后, 使得低层3~5 km高度雷暴云带正电荷, 5~7.5 km高度雷暴云带负电荷。而北京地区雷暴云中各水成物粒子所带电荷如图8(f)所示, 低层的负电荷是由霰粒子、 冰粒子和雨滴共同影响所致, 而高层的正电荷则主要是由雪粒子所带的正电荷所致。可见青海大通地区雷暴云在减弱消散阶段低层霰粒子仍然带正电荷, 而北京地区雷暴云在减弱消散阶段低层霰粒子带负电荷是造成两个地区雷暴云减弱阶段低层电荷结构差异的原因。

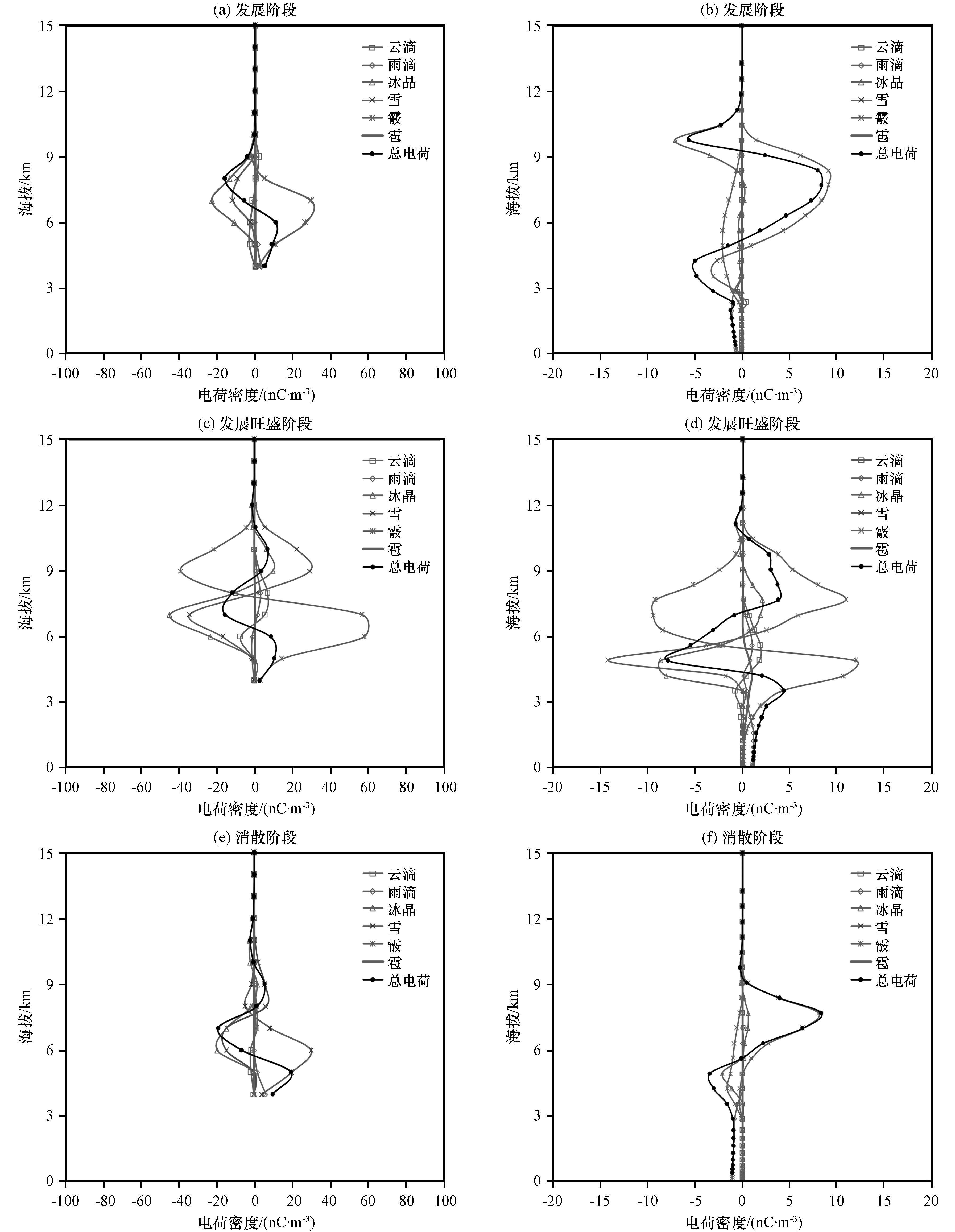
3.4 两个雷暴个例不同阶段不同水成物粒子混合比对比

雷暴云中各水成物粒子是电荷的载体, 水成物粒子的差异必然会引起电荷密度的差异。图9是两个例不同阶段最强回波处各水成物粒子混合比的垂直分布。在发展阶段[图9(a), (b)], 两个个例的各水成物粒子混合比很小, 青海大通个例的雷暴云中霰粒子混合比最大值为1.2 g·kg-1。而北京个例的雷暴云中混合比最大值为0.4 g·kg-1, 雪粒子混合比最大值为0.98 g·kg-1。显然, 青海大通雷暴个例的雷暴云中霰粒子浓度远大于北京个例的霰粒子浓度。在雷暴云发展旺盛阶段[图9(c), (d)], 两个个例的雷暴云中各水成物粒子混合比基本相当, 青海大通个例雷暴云中的霰粒子混合比最大值为3.7 g·kg-1, 雪粒子混合比最大值为1.3 g·kg-1, 冰粒子混合比的最大值为 0.3 g·kg-1。而北京个例雷暴云中霰粒子混合比的最大值为3.1 g·kg-1, 雪粒子混合比的最大值为1.2 g·kg-1, 冰粒子混合比的最大值为 0.35 g·kg-1, 且这三种水成物粒子最大值所处的高度也基本相当。在雷暴云减弱消亡阶段[图9(e), (f)], 两种水成物粒子混合比也有着明显的差异, 尤其是霰粒子混合比的值差异较大。青海大通个例的霰粒子混合比最大值为1.6 g·kg-1, 而北京个例的水成物粒子混合比值明显减小, 霰粒子混合比的最大值减小到0.8 g·kg-1。可见, 两个个例的雷暴云电荷结构有着明显差异的初始和减弱阶段, 雷暴云中各水成物粒子混合比的最大值也有着明显的差异。在雷暴云发展旺盛阶段, 两个个例的雷暴云中电荷结构一致, 云中水成物粒子混合比的最大值也基本相当。
图9 模拟的雷暴云发展不同阶段青海大通个例(左)与北京地区个例(右)各水成物粒子混合比垂直变化

Fig.9 Simulated mixing ratio of different hydrometeor particles at different stages of the two thunderstorm cases which occurred at Datong of Qinghai (left) and Beijing (right)

3.5 两个雷暴个例不同阶段不同凇附增长率对比

本研究所用的非感应起电机制中霰粒子所带电荷的极性主要取决于温度和凇附增长率。在温度条件相同的时候, 霰粒子所带电荷的极性主要与凇附增长率有关, 凇附增长率主要由云水含量决定(Saunders et al, 1991Saunders and Peck, 1998)。北京地区这次雷暴个例在发展初始阶段和消散阶段云水含量都明显小于高原地区雷暴个例, 因此, 当云水含量极低的时候, 北京地区雷暴云在发展和消散阶段云中霰粒子均带负电荷。综合对比所选的青海大通高原地区雷暴个例和北京地区雷暴个例可以看出, 在非感应起电机制相同的情况下, 雷暴云发展旺盛阶段, 两个地区的雷暴云电荷结构是一致的。但是在雷暴发展的初始和消散阶段, 由于雷暴云中云水含量以及霰粒子混合比的差异, 使电荷结构出现差异。这也说明, 不同的雷暴发展过程中, 由于其自身条件的差异, 如云中水汽条件的差异、 温度条件不同等, 会使得雷暴云产生不同的电荷结构。
由以上分析可知, 造成青海大通和北京地区雷暴个例在起始和消散阶段雷暴云电荷结构差异的主要原因是低层霰粒子所带电荷的不同。数值模拟中所选取的非感应起电机制为BSP方案, 当气温大于-15 ℃时使用Brooks et al(1997)提出的方案, 也就是给定一个凇附增长率阈值, 当凇附增长率大于这个阈值时, 霰粒子所带电荷极性为正, 当凇附增长率小于这个阈值时, 霰粒子所带的电荷为负。而凇附增长率与有效液态水含量成正比。图10给出了青海大通雷暴个例和北京雷暴个例在不同阶段有效液态水含量及霰粒子电荷密度垂直分布示意图。雷暴发展起始阶段[图10(a), (b)], 在大于 -15 ℃的区域, 高原雷暴云中有效液态水含量较大, 介于0.9~1.5 g·m-3之间, 而北京地区雷暴云中有效液态水含量较低, 介于0.3~0.6 g·m-3之间。因此, 北京地区雷暴云中较低的有效液态水含量, 使凇附增长率低于阈值, 从而造成北京地区雷暴云在低层大于-15 ℃的区域霰粒子携带负电荷, 而高原地区雷暴云在低层凇附增长率大于阈值, 因此低层霰粒子带正电荷。在雷暴云发展旺盛阶段[图10(c), (d)], 两个个例的雷暴云低层霰粒子均带正电荷, 这是由于在这一阶段两个个例在大于 -15 ℃的区域有效液态水含量都比较大, 因此凇附增长率也大于其阈值, 从而使得霰粒子在低层带正电荷。雷暴云消亡阶段[图10(e), (f)], 高原地区雷暴个例中雷暴云低层的有效液态水含量减小得慢, 其最大值超过了0.9 g·m-3, 而北京地区雷暴个例中低层有效液态水含量小于0.3 g·m-3, 因此在雷暴消散阶段, 高原地区雷暴云中大于-15 ℃区域凇附增长率仍大于其阈值, 低层霰粒子仍带正电荷, 而北京地区雷暴个例中大于-15 ℃区域凇附增长率小于其阈值, 霰粒子带负电荷。可见, 造成高原和北京地区雷暴个例中起始和消亡阶段低层霰粒子所带电荷极性差异的主要原因是雷暴云中有效液态水含量的差异。
图10 模拟的青海大通(左)和北京(右)地区雷暴个例不同阶段有效液态水含量(黑色等值线, 单位: g·m-3)及霰粒子电荷密度(彩色区, 单位: nC·m-3)的垂直分布

红色等值线为等温线(单位: ℃), 矢量为纬向和垂直风速合成风(单位: m·s-1

Fig.10 The vertical distribution of the simulated effective liquid water content (black contour, unit: g·m-3) and charge density of graupel particles (color area, unit: nC·m-3)at different stages of the two thunderstorm cases which occurred at Datong of Qinghai (left) and Beijing (right).The red contour denotes temperatures (unit: ℃), and the vector arrow is the combined wind of zonal and vertical wind speeds (unit: m·s-1

4 结论

本研究分别对发生在青海大通和北京地区的两次夏季雷暴过程进行了模拟, 对比分析了两个例雷暴云发展不同阶段电荷结构的变化特征, 分析了两个雷暴个例不同发展阶段雷暴云电荷结构的异同及成因, 主要得出以下几点结论:
(1) 对于两个雷暴个例, 模式均能够较好地模拟出雷暴的移动方向、 回波强度以及形状的变化特征。对于青海大通地区的雷暴个例, 模式能够模拟出雷达回波的“加强-减弱-再加强-再减弱”的变化过程, 但是时间上滞后约40 min, 模拟的雷达回波中心强度也与实际较为一致。对于北京地区的雷暴个例, 模式模拟的雷达回波移动方向, 回波强度以及形状的变化与实际观测较为一致。
(2) 对比两个地区的雷暴个例不同发展阶段雷暴云电荷结构可以看出, 北京地区雷暴云在发展初始阶段, 电荷分布自下而上呈“- + -”的反三极性电荷结构; 在发展到旺盛阶段并开始逐渐减弱时, 电荷分布自下而上呈“+ - + -”的四层电荷结构; 到消亡阶段, 雷暴云电荷分布呈上正下负的正偶极性电荷结构。而高原雷暴在发展的初始阶段电荷结构为上负下正反偶极性结构, 在发展加强阶段其雷暴云电荷结构与北京个例一致, 自下而上呈“+ - + -”的四层电荷结构, 而在减弱消散阶段, 高原雷暴呈上负下正的反偶极性电荷结构。北京地区雷暴云发展的高度比高原地区的高, 电荷中心的高度也不同。
(3) 造成两个雷暴个例在雷暴云初始和消亡阶段电荷分布差异的主要原因是云中霰粒子混合比和有效液态水含量的差异。青海大通地区雷暴在初始和消亡阶段, 云中霰粒子混合比大于北京地区雷暴初始和消亡阶段云中霰粒子混合比, 且高原雷暴云中霰粒子在低层带正电荷, 而北京地区雷暴云中霰粒子在低层带负电荷。进一步分析发现, 造成两个地区雷暴初始和消亡阶段雷暴云中霰粒子所带电荷极性不同的主要原因是有效液态水含量的差异。北京地区雷暴在初始和消亡阶段有效液态水含量较低, 因此霰粒子带负电荷; 而青藏高原地区雷暴在初始和消亡阶段有效液态水含量较高, 因此霰粒子带正电荷。

References

null
Brooks I M Saunders C P R Mitzeva R P, et al, 1997.The effect on thunderstorm charging of the rate of rime accretion by graupel[J].Atmospheric Research, 43: 277-295.
null
BruningE C Rust W D MacGormanD R, et al, 2010.Formation of Charge Structures in a Supercell [J].Monthly Weather Review, 138: 3740-3761.DOI: 10.1175/2010MWR3160.1 .
null
Kitagawa N Michimoto K1994.Meteorological and electrical aspects of winter thunderclouds [J].Journal of Geophysical Research; Atmospheres, 99: 10713-10721.DOI: 10.1029/94JD00288 .
null
Li Y J Zhang G S Wen J, et al, 2013.Electrical structure of a Qinghai--Tibet Plateauthunderstorm based on three-dimensional lightning mapping [J].Atmospheric Research, 134: 137-149.DOI: 10.1016/j.atmosres.2013.07.020 .
null
Li Y J Zhang G S Wang Y H, et al, 2017.Observation and analysis of electrical structure change and diversity in thunderstorms on the Qinghai-Tibet Plateau [J].Atmospheric Research, 194: 130-141.DOI: 10.1016/j.atmosres.2017.04.031 .
null
Li Y J Zhang G S Zhang Y J2020.Evolution of the charge structure and lightning discharge characteristics of a Qinghai‐Tibet Plateau thunderstorm dominated by negative cloud‐to‐ground flashes [J].Journal of Geophysical Research: Atmospheres, 125: e2019JD031129.DOI: 10.1029/2019JD031129 .
null
Marshall T Rust W1991.Electric field soundings through thunderstorms [J].Journal of Geophysical Research-Atmospheres96(D12): 22297-22306.DOI: 10.1029/91JD02486 .
null
Qie X S Yu Y Wang D H, et al, 2002.Characteristics of cloud-toground lightning in Chinese inlandplateau [J].Journal of the Meteorological Society of Japan80 (4): 745-754.DOI: 10.2151/jmsj.80.745 .
null
Qie X S Zhang T L Chen C P, et al, 2005.The lower positive charge center and its effect on lightning discharges on the Tibetan Plateau [J].Geophysical Research Letters32(5): L05814.DOI: 10.1029/2004GL022162 .
null
Saunders C P R Keith W D MitzevaR P1991.The effect of liquid water on thunderstormcharging [J].Journal of Geophysical Research: Atmospheres, 96: 11007-11017.DOI: 10.1029/91JD00970 .
null
Saunders C P R Peck S L1998.Laboratory studies of the influence of the rime accretion rate oncharge transfer during crystal/graupel collisions[J].Journal of Geophysical Research: Atmospheres, 103 (d12): 13, 949-13, 956.DOI: 10.1029/97JD02644 .
null
Simpson G ScraseF J1937.The distribution of electricity in thunderclouds [J].Proceedings of the Royal Society of London Series A-Mathematical and Physical Sciences, A16: 309-52.DOI: 10. 1098/rspa.1937.0148 .
null
Simpson G Robinson G D1941.The distribution of electricity in thunderclouds [J].Proceedings of the Royal Society of London Series A-Mathematical and Physical Sciences, A177: 281-329.DOI: 10.1098/rspa.1941.0013
null
Stolzenburg M Rust W D Marshall T C1998a.Electrical structure in thunderstorm convective regions-2.Isolated storms [J].Journal of Geophysical Research: Atmospheres103 (D12): 14079-14096.DOI: 10.1029/97JD03547 .
null
Stolzenburg M Rust W D Marshall T C1998b.Electrical structure in thunderstorm convective regions-3.Synthesis [J].Journal of Geophysical Research: Atmospheres103 (D12): 14097-14108.DOI: 10.1029/97JD03545 .
null
Simpson G C1927.The mechanism of a thunderstorm [J].Proceedings of the Royal Society of London Series A-Mathematical and Physical Sciences, 114: 376-401.DOI: 10.1098/rspa.1927.0048 .
null
Wilson C T R1920.Investigations on lightning discharges and on the electric field of Thunderstorms [J].Philosophical Transactions of the Royal Society of London Series A-Containing Papers of A Mathematical or Physical Character, 221: 73-115.DOI: 10. 1098/rsta.1921.0003 .
null
Wilson C T R1929.Some thundercloud problems [J].Journal Franklin Institute, 208: 1-12.DOI: 10.1016/S0016-0032(29)90935-2 .
null
刘欣生, 郭昌明, 王才伟, 等, 1987.闪电引起的地面电场变化特征及雷暴云下部的正电荷层[J].气象学报45(3): 500-504.
null
李江林, 余晔, 李万莉, 等, 2019.不同非感应起电及感应起电参数化方案对青海东部一次雷暴云电荷结构影响的数值模拟研究[J].地球物理学报62(7): 2366-2381.Doi: 10.6038/cjg2019L0801 .
null
李亚珺, 张广庶, 文军, 等, 2012.沿海地区一次多单体雷暴电荷结构时空演变[J].地球物理学报55(10): 3203-3212.DOI: 10.6038/j.issn.0001-5733.2012.10.003 .
null
邵选明, 刘欣生, 1987.云中闪电及云下部正电荷的初步分析[J].高原气象6(4): 317-325.
null
苏永玲, 何立富, 巩远发, 等, 2011.京津冀地区强对流时空分布与天气学特征分析[J].气象37(2): 177-184.
null
张廷龙, 郄秀书, 袁铁, 等, 2008.中国内陆高原地区典型雷暴过程的地闪特征及电荷结构反演[J].大气科学32(5): 1221-1227.
null
张廷龙, 余海, 王军, 等, 2019.青海地区一次雷暴的地闪活动及云内的电场探空观测[J].地球物理学报62(5): 1591-1602.DOI: 10.6038/cjg2019M0083 .
null
张义军, 刘欣生, 肖庆复, 等, 1997.中国南北雷暴人工触发闪电特性对比分析[J], 高原气象16(2): 113-121.
null
郑栋, 张义军, 孟青, 等, 2010.一次雹暴的闪电特征和电荷结构演变研究[J].气象学报68(2): 248-263.
Outlines

/