Charateristics of Precipitable Water Vapor in Arid Areas of the Hexi Corridor based on GPS Measurements

  • Peng CHENG ,
  • Yanfeng WANG ,
  • Han LUO ,
  • Baozi LI ,
  • Zewen GAN ,
  • Qi CHEN ,
  • Ming BAI
Expand
  • 1. Gansu Weather Modification Office,Lanzhou 7 30020,Gansu,China
    2. Lanzhou Meterological Bureau of Gansu Province,Lanzhou 730000,Gansu,China
    3. Zhangye Meterological Bureau of Gansu Province,Zhangye 734000,Gansu,China

Received date: 2021-03-01

  Revised date: 2021-06-07

  Online published: 2022-11-03

Cite this article

Peng CHENG , Yanfeng WANG , Han LUO , Baozi LI , Zewen GAN , Qi CHEN , Ming BAI . Charateristics of Precipitable Water Vapor in Arid Areas of the Hexi Corridor based on GPS Measurements[J]. Plateau Meteorology, 2022 , 41(5) : 1281 -1290 . DOI: 10.7522/j.issn.1000-0534.2021.00053

1 引言

水汽是大气中重要组成成分, 水汽的凝结潜热加热可以明显改变天气系统的结构和演变, 在各种天气变化中起主导作用(盛裴轩等, 2003)。大气中的水汽主要集中于低层, 深入了解低层水汽的时空变化特征对于提高降水预报的精度和科学开展人工影响天气具有重要意义。大气可降水量(precipitable water vapor, PWV)是指单位截面大气柱中从地面到大气顶所含的水汽总量全部凝结降至地面产生的降水量(刘健文等, 2005于晓晶等, 2019), 它是表征大气中水汽含量的重要指标, 对于研究降水形成及开展人工增雨作业非常重要。
目前常用于大气水汽探测或遥感的方式有常规探空、 地基GPS(Global Positioning System)遥感、 地基微波辐射计、 卫星红外遥感等(刘红燕, 2011杨大生等, 2012赫小红等, 2020)。相比较其他探测方式, 地基GPS遥感技术在经历了多次发展之后, 具有全天候、 高精度等优点, 利用地基GPS反演的高时空分辨率大气可降水量序列被广泛应用于气象、 水文领域中(Baelen et al, 2005李光伟等, 2018段晓梅和曹云昌, 2018)。围绕地基GPS探测原理、 反演算法和大气可降水量时空变化特征, 国内外学者开展了诸多研究(赵伯林等, 1981何平等, 2002)。中国从20世纪90年代开始了GPS的气象应用研究(毛节泰, 1993), 利用武汉地基GPS监测网进行水汽反演研究试验, 发现大气中水汽含量时间序列与降水变化存在较强的定量关系(万蓉和郑国光, 2008), 大气可降水量的时间变化趋势对强降水的发生、 发展和预报有一定的指示意义(曹云昌等, 2005石小龙等, 2014马学谦等, 2019), 主要表现在大气可降水量极大值出现时间与降水强度吻合(楚艳丽等, 2007李国翠等, 2007王娜等, 2021); 大多降水发生前大气可降水量维持在较高的量值, 当其有明显跃变时预示着强降水将发生, 而大气可降水量的下降则预示着降水的结束(杨露华等, 2006吴建军等, 2007陈小雷等, 2007); 降水多发生在PWV高于基准值的时段, 能为降水的短期预报提供明确的参考指标(杨莲梅等, 2012马思琪等, 2016)。受地形和天气气候背景等因素影响, 不同地区、 不同天气背景下水汽变化特征及其与降水的关系差异明显(蔡英等, 2004王宇虹等, 2015杨霞等, 2020)。因此, 通过多种手段深入分析、 认识不同区域大气水汽变化特征是大气可降水量研究的关键和热点问题。
河西走廊位于我国西北干旱区, 南枕祁连山靠近青藏高原, 北邻巴丹吉林沙漠, 自然地理环境独特, 生态环境脆弱(王春林等, 2019)。受气候、 自然地理条件和人类活动等多因素影响, 干旱频发(王劲松等, 2009; 任余龙等, 2013)。祁连山对气流的抬升作用为该区域带来了丰富的云水资源, 有利于利用人工影响天气技术开展抗旱增雨, 而大气水汽含量是开展人工增雨作业的重要指标(曾光平等, 1993)。研究表明, 该区域夏季PWV日变化特征与气温和比湿等要素的日变化以及山谷风演变有关(梁宏等, 2010); 降水发生的前提是大气水汽含量达到一定阈值, 且雨强与大气水汽含量在时间上呈同步分布特征(陈添宇等, 2007)。以往的研究对该区域的大气可降水量精细变化特征及与降水、 水汽压的关系认识有限。因此, 本文利用张掖国家气候观象台的地基GPS的反演数据, 研究了该区域大气可降水量的时间变化特征及其与降水、 水汽压的关系, 以期为干旱区人工增雨作业、 增雨潜力评估和降水预报提供一定参考。

2 资料来源和方法介绍

2.1 资料来源

张掖国家气候观象台(100°17′E、 39°05′N, 海拔1456 m)位于甘肃河西走廊中部地区, 四周地形平坦开阔, 地表为戈壁荒漠, 属于温带大陆性干旱气候区。气温变差大, 年平均气温7.8 ℃, 极端最高气温39.8 ℃, 极端最低气温-28.7 ℃; 年平均降水量132.6 mm, 年均蒸发量1986.5 mm; 无霜期146 d, 最大冻土深度118 cm; 年日照时数3077 h, 光照充足。张掖国家气候观象台建有地基GPS站、 L波段探空站和地面气象观测站, 具备地面和高空多要素的垂直探测功能。由于其特殊地理区位, 在戈壁荒漠气候变化及其响应方面极具代表性, 研究该地区大气可降水量可为干旱区的云水资源开发与利用提供科学依据。
GPS原始资料通过美国麻省理工学院(MIT)开发的GAMIT软件解算处理, 反演得到逐时GPS大气可降水量数据(下称GPS/PWV)。本文选用的资料时段为2016年10月至2019年5月, 并对GPS/PWV资料进行了质量控制。为进一步验证该资料的可靠性, 利用同期张掖国家气候观象台探空站每日2次00:00(世界时, 下同)和12:00以及加密观测时次(06:00和18:00)的探空资料计算PWV(下称RS/PWV), 并与对应时次的GPS/PWV资料进行比较, 其中加密探空的观测时段为2017年5月15日至6月30日, 2017年9月1 -15日, 2018年5月、 6月和9月, 共计150 d。探空站和地基GPS站均在张掖国家气候观象台站内, 满足对比条件(Wang and Zhang, 2008), 两者可进行比较。

2.2 方法介绍

利用探空资料计算大气可降水量的计算公式为(刘健文等, 2005):
e = 6.11 × 10 7.45 T d ( 235 + T d )
q = 0.622 e p
W = 1 g p l p s q d p
式中: W为单位气柱中的水汽含量(单位: mm); g为重力加速度(单位: m·s-2); p sp l分别为地面气压和大气上界气压(单位: hPa); q为比湿(单位: g·g-1); T d为露点温度(单位: ℃); e为水汽压(单位: hPa)。

3 结果与分析

3.1  GPS/PWVRS/PWV的对比检验

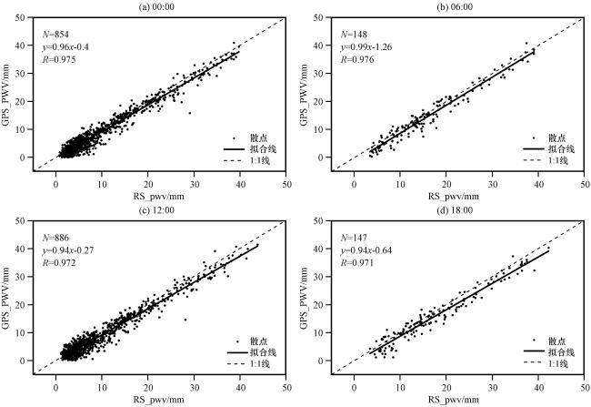
表1是研究时段内00:00, 06:00, 12:00和18:00四个时次GPS/PWV和RS/PWV的检验统计值。去除掉GPS/PWV异常值和缺测值, 共得到常规观测时次00:00和12:00的样本数()分别为854和886个, 加密观测时次06:00和18:00时的样本数()分别为148个和147个。从表1可以看出, 以RS/PWV为基准值, 四个观测时次均方根误差(RMSE)在1.848~2.233 mm, 离散度较小, 其中00:00的RMSE最小, 18:00的最大, 06:00和12:00的RMSE接近, 四个时次平均RMSE为2.01 mm; 不同时次GPS/PWV值与RS/PWV的偏差均为正, 平均偏差(BIAS)在0.815~1.665 mm, 常规观测时次的BIAS小于加密观测时次, 偏差平均值为1.16 mm, GPS/PWV资料对张掖地区大气中水汽含量存在高估现象; 两种资料的相关性极高, 相关系数R在0.97以上。不同时次的相对误差值在16.6%~27.0%, 相对误差较大, 其原因是因为张掖地处干旱区其PWV均值较小, 造成相对误差值略大; 四个时次中加密观测时次的相对误差明显低于常规观测时次, 主要是加密观测时次的样本相对较少。
表1 张掖国家气候观象台地基GPS和探空不同时次大气可降水量对比检验

Table 1 Comparison and test of retrieved PWV by ground-based GPS and radiosonde at different times at Zhangye National Climate Observatory

世界时 样本数 /个 RMSE/mm BIAS/mm 相对误差 % R
00:00 854 1.848 0.815 26.276 0.975
06:00 148 1.978 1.263 16.615 0.976
12:00 886 1.999 0.883 27.006 0.972
18:00 147 2.233 1.665 17.213 0.971
图1为不同时次GPS/PWV和RS/PWV的散点分布图。可以看出, 两种探测方式得到的PWV值绝大多数分布在拟合直线附近, 四个时次的拟合直线斜率在1.0附近, 且06:00的最为接近。从相关系数来看, 四个时次GPS/PWV和RS/PWV的相关系数非常接近, 在0.971~0.976, 通过了显著性水平为0.01的检验, 表明GPS反演结果与探空计算结果具有较好的相关性。
图1 张掖国家气候观象台地基GPS和探空不同时次大气可降水量散点分布及拟合关系

Fig.1 Scatter plots and fitting relationship of retrieved PWV by ground-based GPS and radiosonde at different times at Zhangye National Climate Observatory

与西北地区其他区域相比, 张掖国家气候观象台的GPS/PWV和RS/PWV相关系数高, 均方根误差、 平均偏差和相对误差小(于晓晶等, 2019马学谦等, 2019韩辉邦等, 2020), GPS反演大气水汽含量的精度更好, 本文所用的GPS/PWV资料具有较高的可信度。

3.2 河西走廊干旱区大气可降水量时间变化特征

3.2.1 日变化

大气温度、 降水、 湍流等对大气可降水量日变化影响明显。从张掖国家气候观象台气温和GPS/PWV的日变化(图2)发现大气可降水量具有明显的日变化, 分别在01:00和08:00出现峰值和谷值, 09:00以后PWV迅速上升, 在15:00达到高值后波动变化; PWV日变化幅度较小, 最大值和最小值仅相差0.59 mm。PWV和气温呈现明显的反相关, 日最高气温对应为PWV谷值, 气温的下降区对应为PWV的上升区, PWV的峰值出现在气温最低的时刻。这种峰谷型出现的原因可能为夜间地表长波辐射较大, 容易形成逆温层, 近地层的水汽不易向上输送, 致使PWV维持在高值; 早晨随着气温上升, 土壤中水汽蒸发进入大气, 加之湍流较弱, 在01:00 PWV出现峰值; 午后随着太阳辐射加强, 局地热力环流加强, 更多近地层的水汽输送到高层, 同时低层大气水汽辐合加强。
图2 河西走廊干旱地区大气可降水量和气温日变化

Fig.2 Diurnal changes of PWV and temperature in arid areas of the Hexi Corridor

另外, 探讨了河西走廊干旱区四季GPS/PWV的日变化(图3)。从图3可以看出, 河西走廊干旱区大气可降水量有显著的季节性差异, 且各季节的日变化特征不尽相同。夏季大气可降水量最大, 平均20.3 mm, 春季和秋季次之, 分别为6.1和8.0 mm, 冬季最小为3.0 mm; 整体来看, 各季节PWV的日变化均呈“S”型分布, 除春季外(PWV日峰值出现在02:00), 其他季节PWV日峰值出现在12:00 -15:00, 而谷值均出现在05:00 -08:00; 相对其他季节, 夏季PWV日变幅较其他季节大, PWV日标准差自夏季、 秋季、 冬季和春季依次减小, 这可能是夏季PWV远高于其他季节, 且太阳辐射强所致。
图3 河西走廊干旱区四季大气可降水量日变化

Fig.3 Diurnal changes of PWV in each season in arid area of ​​the Hexi Corridor

3.2.2 月变化

从河西走廊干旱地区大气可降水量及降水量月变化(图4)可以看出, 河西走廊干旱区PWV和降水量均呈“单峰型”分布特征。其中, 大气可降水量峰值出现在8月, 平均为23.2 mm, 7月次之(21.6 mm), 而最大降水量出现在7月, 8月次之; PWV夏季高、 冬季低, 大气可降水量自4月开始逐渐增加, 5 -7月增幅较大, 至8月到达峰值后持续减小, 8 -9月下降幅度最明显, 主要是由东亚大气环流的状况和当地的特殊地形条件决定的, 夏季, 河西走廊在大陆热低压和太平洋副热带高压的控制范围之内, 有利于夏季风向北推进。
图4 河西走廊干旱地区大气可降水量及降水量月变化

Fig.4 Monthly changes of PWV and precipitation in the arid area of ​​the Hexi Corridor

大气可降水量峰值较降水量峰值略有滞后, 其原因主要与降水转化率有关。降水转化率不仅与能产生降水的云系有关, 还须具备激发冷暖雨过程的雨胚、 供雨胚增长成降水粒子的云环境和降水粒子不蒸发消失的云下大气环境。河西走廊位于祁连山北侧, 受祁连山地形抬升影响, 7 -8月, 河西走廊干旱区降水云系多为深厚的层积混合云, 成雨环境和过程较适宜, 有利于雨胚形成并增长成降水粒子, 且夏季水汽密度大(程鹏等, 2021), 降水转化率高。7月和8月降水转化率分别为4.5%和3.9%, 7月略高于8月, 是因为干旱区8月气温从地面至高空更高, 云下蒸发造成云滴减少, 转化率降低。

3.3 大气可降水量与降水的关系

3.3.1 大气可降水量与降水的逐日变化

PWV为降水提供水汽来源, 对降水有重要影响。李延兴等(2001)把非降水时段PWV平均值设定为降水基准值(简称基值), 作为判断降水是否出现的指标, 其指示性较好, 可供预报参考。按此方法统计得到河西走廊干旱区非降水时段PWV降水基准值为8.4 mm。从河西走廊干旱区PWV和降水的逐日变化(图5)看出, PWV变化周期和降水量的变化周期基本一致, 夏季7 -8月PWV处于高值, 降水大多发生在PWV高于基值(8.4 mm)的时段; 在无降水时段, PWV变化较为平稳, 而当强降水发生时, PWV持续显著增加至峰值, 之后迅速下降, 且降水峰值出现时间普遍晚于PWV峰值, 说明降水发生需要一段时间的水汽积累, 同时降水消耗了大气中的水汽使得PWV急剧下降。虽然PWV与降水关系密切, 但与降水量的关系不明确, 如2018年8月15日, PWV值为33.74 mm, 而降水量仅为1.6 mm, 但PWV值较低时降水量一定不会太大。可见, PWV可作为降水出现概率高低的判据, 但与降水量之间相关性不明显, 因为降水来自云中的液态水, 而GPS作为一种全天候观测仪器, 反演得到的是大气中总的水汽含量, 对云中液态水敏感性较弱, 此外, 水汽梯度值、 水汽辐合辐散及天气系统等对降水的大小和维持时间也有重要影响(Solheim, 1999)。
图5 河西走廊干旱区大气可降水量与降水量的逐日变化

Fig.5 Daily changes of PWV and precipitation in arid area of ​​the Hexi Corridor

3.3.2 降水过程PWV演变特征

无降水发生时, 大气可降水量较稳定, 日变化幅度小。为进一步认识降水过程期间大气可降水量的变化特征, 挑选了2017 -2019年春季、 夏季和秋季6次降水过程进行分析。
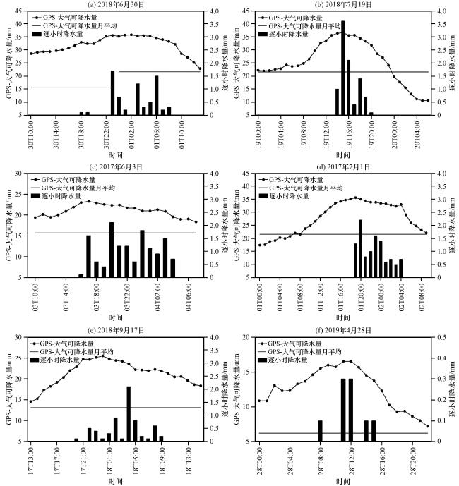
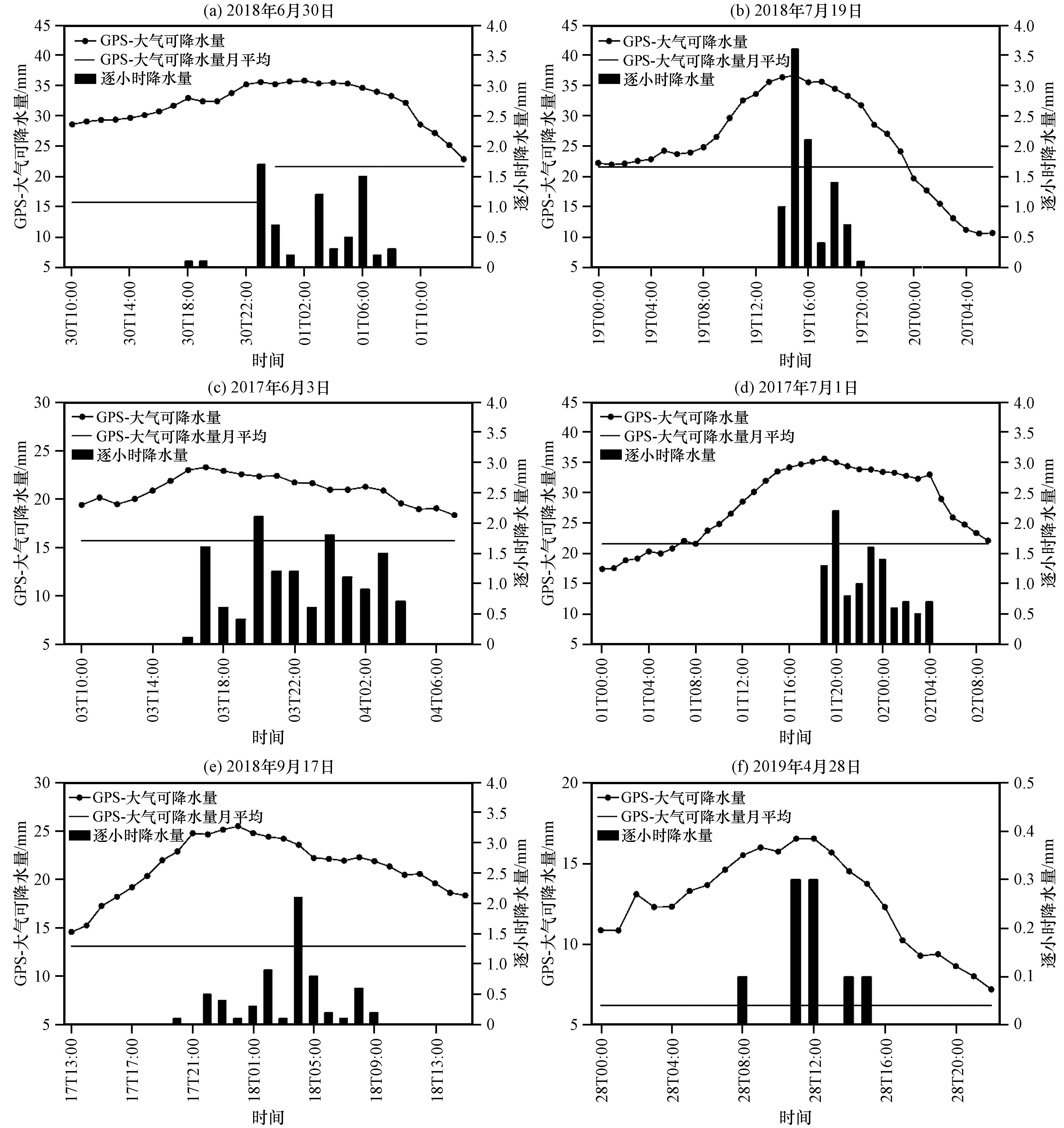
图6(a)是2018年6月30日至7月1日的一次降水过程, 过程雨量6.8 mm。在降水发生前8 h, PWV逐渐增大, 表明此阶段存在水汽的积累过程, 干旱区产生降水需要一定时间的水汽汇聚; 在PWV增大至第一峰值时(32.93 mm), 出现了0.1 mm的弱降水, 之后PWV先减小后再次增大, 出现第二次跃增, 跃增至第二峰值(35.57 mm)时开始出现稳定降水, 并产生最大小时雨量(1.7 mm); 此后, PWV维持在34.0 mm附近, 降水持续近10 h后, PWV迅速下降。图6(b)是2018年7月19日的一次降水过程, 过程雨量9.3 mm。降水发生前8 h, PWV逐渐增大, 并出现跃增(跃增了13 mm), 在达到峰值前1 h开始产生降水, 随后在峰值时出现最大小时雨量(3.6 mm); 之后, PWV维持在31~35 mm, 降水持续近7 h, 在PWV迅速下降阶段结束。
图6 河西走廊干旱区6次降水过程大气可降水量和降水量逐时变化

Fig.6 Hourly changes of PWV and precipitation during six rainfall processes in arid area of the Hexi Corridor

图6(c)是2017年6月3日的一次降水过程, 过程雨量13.8 mm。降水发生前7 h, PWV逐渐增大, 并出现跃增(跃增了3.83 mm), 在达到峰值前1 h开始产生弱降水(0.1 mm), 随后在峰值(23.3 mm)时产生了1.6 mm的降水; 降水持续近13 h, 最大小时雨量为2.1 mm, 但与PWV峰值并不对应。图6(d)是2017年7月1日的一次降水过程, 过程雨量10.8 mm。降水发生前11 h, PWV逐渐增大, 并出现14 mm的跃增, 在达到峰值时开始产生降水, 并在峰值后的1 h出现最大小时雨量(2.2 mm); 之后, PWV维持在33.0 mm附近, 降水持续近10 h后在PWV迅速下降阶段结束。
图6(e)是2018年9月17日的一次秋季降水过程, 过程雨量6.4 mm, PWV峰值为25.5 mm(出现在00:00)。降水发生前7 h, PWV逐渐增大并出现跃增(跃增了7.61 mm), 在接近峰值开始产生弱降水(0.1 mm), 此时PWV达到了22.88 mm; 降水持续近12 h, 最大小时雨量为2.1 mm, 处于PWV高值维持阶段, 随后PWV开始下降, 降水在PWV下降阶段结束。图6(f)是2019年4月28日的一次春季降水过程, 过程雨量0.9 mm。降水发生前7 h, PWV逐渐增大, 并出现4.64 mm的跃增, 在达到峰值前3 h时开始产生降水, 并在峰值时出现最大小时雨量(0.3 mm), 降水持续近8 h后在PWV下降阶段结束。可以看出, 秋季和春季降水虽然PWV值较小, 但PWV演变特征和夏季降水具有相似的特征。
用6次降水过程的PWV和降水资料, 分析了降水过程PWV演变特征, 认为干旱区降水一般持续10 h左右, 降水的产生需要存在水汽积累的过程, 并在降水发生前7~11 h发生PWV的跃增, 跃增值均在3.0 mm以上; 降水多发生在PWV最大值前后, 并在PWV达到最大值或之后1 h出现最大小时雨强。随着降水的持续, PWV维持在高值附近, 最大值约是气候平均值的1.5倍, 且PWV的迅速下降导致降水结束。

3.3.3 雨日和无雨日PWV变化特征

为进一步了解大气可降水量与降水量之间的关系, 对比分析雨日和无雨日大气可降水量日变化特征的差异(图7), 发现雨日和无雨日大气可降水量的日变化不明显, 雨日大气可降水量在19.0 mm附近波动, 无雨日在8.0 mm附近波动, 雨日大气可降水量远高于无雨日。
图7 河西走廊干旱区年、 季节雨日和无雨日大气可降水量日变化

Fig.7 Daily variations of PWV on rainy and non-rainy days in annual and each season in arid area of the Hexi Corridor

从各季节雨日和无雨日PWV的日变化曲线(图7)还可以看出, 各季PWV的日变化不明显, 夏季和秋季PWV的日变化波动较其他季节大, 且春、 夏、 秋季雨日PWV值明显高于无雨日, 雨日与无雨日PWV平均相差9.0, 10.0和7.0 mm, 而冬季雨日和无雨日PWV值差异(0.6 mm)不明显, PWV变化微弱, 对干旱区冬季降雪天气指示意义弱。如2018年12月3 -5日的降水过程, PWV约4.4 mm, 但降雪量为2.4 mm, PWV不高却有降水发生; 2017年3月29日, PWV为10.3 mm, 但未发生降水, PWV值很高却未发生降水。进一步分析发现, 夏季各月雨日PWV值明显高于无雨日, 6、 7、 8月雨日与无雨日PWV平均值依次相差7, 11和8 mm, 且8月PWV的日变化波动较6、 7月大。秋季无雨日和全年无雨日PWV分布一致, 夏季雨日和全年雨日的PWV分布一致。

3.4 大气可降水量与地面水汽压的关系

研究表明, 大气可降水量与地面水汽压(e)存在良好的线性关系, 但不同地区、 不同气候背景下这种关系有所不同(黄小燕等, 2018)。从河西走廊干旱区日大气可降水量与地面水汽压的拟合关系(图8)可以看出, 河西走廊干旱区大气可降水量与地面水汽压的线性、 二次多项式、 倍数和对数拟合的相关系数(R2 )分别为0.783, 0.786, 0.783和0.689, 都通过了95%的信度检验, 且均方根误差(RMSE)分别为3.923, 3.896, 3.924和3.961 mm。可见, 二次多项式拟合的相关系数最高, RMSE最小。以上讨论说明, 河西走廊干旱地区大气可降水量与地面水汽压之间存在二次多项式关系, 其拟合方程为:
PWV=0.026e2 +1.24e+0.662
图8 河西走廊干旱区日大气可降水量与地面水汽压的拟合关系

Fig.8 The fitting relationships between daily atmospheric precipitable water vapor and surface water vapor pressure in arid areas of the Hexi Corridor

在没有地基GPS或探空站资料的情况下, 该式可用于西北干旱区的大气可降水量计算。

4 结论

利用张掖国家气候观象台2016年10月至2019年5月近30个月的地基GPS反演的大气可降水量数据, 对河西走廊干旱地区大气可降水量的时间变化特征及其与降水、 地面水汽压之间的关系进行分析和探讨, 得到如下结论:
(1) GPS/PWV与探空站计算的PWV对比发现, 两者的均方根误差和偏差平均值分别为2.01、 1.16 mm, 相关系数达到0.97以上, 表明GPS反演的PWV具有较高的精度和可用性, 可用于河西走廊干旱区大气可降水量的特征分析。
(2) 河西走廊干旱区大气可降水量具有明显的日变化和月变化特征, 均呈“单峰型”分布, 8月PWV最大(23.24 mm), 7月次之, 2月最小(2.55 mm); 月降水量峰值出现在7月, 8月次之, 月降水量峰值较PWV峰值滞后, 是因为降水转化率7月(4.5%)高于8月(3.9%)。PWV日变化幅度较小, 且与气温呈现明显的反相关, PWV的峰值出现在平均气温的低值区, 谷值出现在平均气温的高值区, PWV的日峰值一般出现在01:00, 谷值出现在08:00。各季节PWV日分布均呈“S”型分布特征。
(3) 降水与大气可降水量变化关系紧密。河西走廊干旱区PWV的基准值为8.4 mm, 降水大多发生在PWV高于基准值的时段; 通过个例分析, 认为降水发生前7~11 h PWV出现跃增, 跃增量在3.0 mm以上。降水发生前水汽聚集特征明显, 降水多开始于PWV最大值前后, 并在PWV最大值或之后1 h出现最大小时雨强。相比无雨日, 雨日PWV显著增加。PWV对干旱区的降雪天气指示意义较弱。
(4) 河西走廊干旱区大气可降水量与地面水汽压之间存在二次多项式关系, 其拟合方程为 PWV=0.026e 2+1.24e+0.662。
通过地基GPS反演得到的高精度的大气可降水量数据, 对分析、 判断降水出现和持续时间有很好的指示性, 对开展云水资源评估、 人影作业有重要作用。然而, 河西走廊干旱区降水少且量级不大, PWV可以作为降水出现概率较高的判据, 但与降水量之间的相关性并不明显, 如要应用于降水量的业务预报, 还应综合考虑层结不稳定、 大气垂直上升运动、 水汽辐合量等。

References

null
Baelen J V Aubagnac J P Dabas A2005.Comparison of near-real time estimates of integrated water vapor derived with GPS, radiosondes, and microwave radiometer[J].Journal of Atmospheric & Oceanic Technology22(2): 201-210.DOI: 10.1175/JTECH-1697.1 .
null
Wang J H Zhang L Y2008.Systematic errors in global radiosonde perceptible water data from comparisons with ground-Based GPS measurements[J].Journal of Climate21(10): 2218-2238.DOI: 10.1175/2007JCLI1944.1 .
null
Solheim F S1999.Propagation delays induced in GPS signals by dry air, water vapor, hydrometeors and other atmospheric particu-lates [J].Journal of Geophysical Research, 104: 9663-9670.DOI: 10.1029/1999JD900095 .
null
陈添宇, 陈乾, 丁瑞津, 2007.地基微波辐射仪监测的张掖大气水汽含量与雨强的关系[J].干旱区地理30(4): 501-506.DOI: 10.13826/j.cnki.cn65-1103/x.2007.04.006 .
null
陈小雷, 景华, 仝美然, 等, 2007.地基GPS遥测大气可降水量在天气分析诊断中的应用[J].气象33(6): 19-24.DOI: 10.3969/j.issn.1000-0526.2007.06.003 .
null
蔡英, 钱正安, 吴统文, 等, 2004.青藏高原及周围地区大气可降水量的分布变化与各地多变的降水气候[J].高原气象23(1): 1-10.
null
楚艳丽, 郭英华, 张朝林, 等, 2007.地基GPS水汽资料在北京“7·10”暴雨过程研究中的应用[J].气象33(12): 16-22.DOI: 10.3969/j.issn.1000-0526.2007.12.003 .
null
曹云昌, 方宗义, 夏青, 2005.GPS遥感的大气可降水量与局地降水关系的初步分析[J].应用气象学报16(1): 54-59.DOI: 10.11898/1001-7313.20050106 .
null
程鹏, 樊旭, 胡晓辉, 等, 2021.基于微波辐射计的张掖地区水汽、 液态水变化特征分析[J].成都信息工程大学学报36(2): 230-237.
null
段晓梅, 曹云昌, 2018.北斗和GPS反演大气可降水量的对比分析[J].气象44(12): 1575-1582.DOI: 10.7519/j.issn.1000 0526.2018.12.007 .
null
何平, 徐宝祥, 周秀骥, 等, 2002.地基GPS反演大气水汽总量的初步试验[J].应用气象学报13(2): 179-183.DOI: 10.3969/j.issn.1001-7313.2002.02.006 .
null
韩辉邦, 张小军, 张博越, 等, 2020.柴达木盆地GPS大气可降水量精度检验及其变化特征[J].干旱气象38(1): 50-57.DOI: 10.11755/j.issn.1006-7639(2020)-01-0050 .
null
黄小燕, 王圣杰, 王小平, 2018.1960-2015年中国西北地区大气可降水量变化特征[J].气象44(9): 1191-1199.DOI: 10.7519/j.issn.1000-0526.2018.09.007 .
null
赫小红, 宋敏红, 周梓萱, 2020.夏季青藏高原空中云水资源的时空特征分析[J].高原气象39(6): 1339-1347.DOI: 10.7522/j.issn.1000-0534.2019.00135 .
null
刘健文, 郭虎, 李耀东, 等, 2005.天气分析预报物理量计算基础[M].气象出版社, 27-28.
null
刘红燕, 2011.三年地基微波辐射计观测温度廓线的精度分析[J].气象学报69(4): 719-728.DOI: 10.11676/qxxb2011.063 .
null
李光伟, 黄彦彬, 敖杰, 等, 2018.GPS探测与FY-2反演大气可降水量对比分析[J].气象44(8): 1082-1093.DOI: 10.7519/j.issn.1000-0526.2018.08.010 .
null
李国翠, 李国平, 连志鸾, 等, 2007.地基GPS水汽资料在石家庄一次暴雨过程中的应用[J].气象与环境科学30(3): 50-53.DOI: 10.3969/j.issn.1673-7148.2007.03.011 .
null
李延兴, 徐宝祥, 胡新康, 等, 2001.应用地基GPS技术遥感大气柱水汽量的试验研究[J].应用气象学报12(1): 61-69.DOI: 10.3969/j.issn.1001-7313.2001.01.007 .
null
梁宏, 刘晶淼, 陈跃, 2010.地基GPS遥感的祁连山区夏季可降水量日变化特征及成因分析[J].高原气象29(3): 726-736.
null
毛节泰, 1993.GPS的气象应用[J].气象科技21(4): 45-49.
null
马学谦, 张小军, 马玉岩, 等, 2019.三江源及其周边地区多源水汽资料对比检验[J].高原气象38(1): 78-87.DOI: 10.7522/j.issn.1000-0534.2018.00073 .
null
马思琪, 周顺武, 王烁, 等, 2016.基于GPS资料分析西藏中东部夏季可降水量日变化特征[J].高原气象35(2): 318-328.DOI: 10.7522/j.issn.1000-0534.2015.00007 .
null
任余龙, 石彦军, 王劲松, 等, 2013.1961-2009年西北地区基于SPI指数的干旱时空变化特征[J].冰川冻土35(4): 938-948.DOI: 10.7522/j.issn.1000-0240.2013.0106 .
null
盛裴轩, 毛节泰, 李建国, 等, 2013.大气物理学[M].北京: 北京大学出版社, 18-19.
null
石小龙, 尚伦宇, 尹远渊, 等, 2014.大连地区GPS反演大气可降水量的变化特征[J].高原气象33(6): 1648-1653.DOI: 10.7522/j.issn.1000-0534.2014.00080 .
null
万蓉, 郑国光, 2008.地基GPS在暴雨预报中的应用进展[J].气象科学28(6): 697-702.DOI: 10.3969/j.issn.1009-0827.2008. 06.019 .
null
吴建军, 王鑫, 吕达仁, 等, 2007.北京可降水量变化特征的地基GPS观测与分析[J].南京气象学院学报30(3): 377-382.DOI: 10.3969/j.issn.1674-7097.2007.03.013 .
null
王娜, 顾伟宗, 邱粲, 等, 2021.山东夏季空中水汽分布和水汽输送特征[J].高原气象40(1): 159-168.DOI: 10.7522/j.issn. 1000-0534.2019.00119 .
null
王宇虹, 徐国强, 贾丽红, 等, 2015.太行山对北京“7·21”特大暴雨的影响及水汽敏感性分析的数值研究[J].气象41(4): 389-400.DOI: 10.7519/j.issn.1000-0526.2015.04.001 .
null
王春林, 司建华, 赵春彦, 等, 2019.河西走廊近57年来干旱灾害特征时空演化分析[J].高原气象38(1): 196-205.DOI: 10. 7522/j.issn.1000-0534.2018.00081 .
null
王劲松, 黄玉霞, 冯建英, 等, 2012.径流量Z指数与Palmer指数对河西干旱的监测[J].应用气象学报20(4): 471-477.DOI: 10.11898/1001-7313.20090412 .
null
于晓晶, 唐永兰, 于志翔, 等, 2019.基于地基GPS资料的天山山区夏季大气可降水量特征[J].气象45(12): 1691-1699.DOI: 10.7519/j.issn.1000-0526.2019.12.006 .
null
杨大生, 王普才, 2012.中国地区夏季6~8月云水含量的垂直分布特征[J].大气科学36(1): 89-101.DOI: 10.3878/j.issn. 1006-9895.2012.01.08 .
null
杨露华, 叶其欣, 邬锐, 等, 2006.基于GPS/Pwv资料的上海地区2004年一次夏末暴雨的水汽输送分析[J].气象科学26(5): 502-508.DOI: 10.3969/j.issn.1009-0827.2006.05.005 .
null
杨莲梅, 王世杰, 史玉光, 等, 2012.乌鲁木齐夏季强降水过程GPS-PWV的演变特征[J].高原气象31(5): 1348-1355.
null
杨霞, 周鸿奎, 赵克明, 等, 2020.1991-2018年新疆夏季小时极端强降水特征[J].高原气象39(4): 762-773.DOI: 10.7522/j.issn.1000-0534.2019.00114 .
null
赵伯林, 尹宏, 李慧心, 等, 1981.微波遥感大气层结的原理和实验[J].中国科学(地球科学)39(2): 217-225.
null
曾光平, 方世珍, 林芬, 1993.福建省夏旱期间空中水资源及人工降雨条件[J].气象19(11): 25-30.DOI: 10.7519/j.issn. 1000-0526.1993.11.006 .
Outlines

/