Spatial and Temporal Distribution Characteristics, Numerical Simulation and Weather Science Causes of a Large Scale Icing Process on UHV Transmission Lines in Yunnan-Guizhou Plateau

  • Hao CHAI ,
  • Hourong ZHANG ,
  • Qi WANG ,
  • Haohui SU ,
  • Yuanjian YANG ,
  • Zhiqiu GAO
Expand
  • 1. School of Atmospheric Physics,Nanjing University of Information Science and Technology,Nanjing 210044,Jiangsu,China
    2. Maintenance & Test Center of CSG EHV Power Transmission Company,Guangzhou 510663,Guangdong,China

Received date: 2021-04-25

  Revised date: 2021-11-29

  Online published: 2023-04-03

Cite this article

Hao CHAI , Hourong ZHANG , Qi WANG , Haohui SU , Yuanjian YANG , Zhiqiu GAO . Spatial and Temporal Distribution Characteristics, Numerical Simulation and Weather Science Causes of a Large Scale Icing Process on UHV Transmission Lines in Yunnan-Guizhou Plateau[J]. Plateau Meteorology, 2023 , 42(2) : 359 -373 . DOI: 10.7522/j.issn.1000-0534.2021.00107

1 引言

近年来, 中国南方输电线路覆冰事件频发, 严重威胁着电力系统的正常运行和人民生命财产的安全。 2008年1月初发生的历史罕见的大范围冰冻雨雪灾害天气导致了4126条输电线路严重损毁, 220 kV及以上输电线路倒塌1500多基, 直接经济损失超1100亿元(李庆峰等, 2008刘春城和刘佼, 2011)。因此, 研究覆冰分布特征和天气学成因, 准确地模拟和再现覆冰过程, 对电力部门准确地掌握覆冰的时空分布及强度, 并进行除冰作业等防冰减灾工作具有重要意义。
目前, 学者们主要从大尺度环流特征、 覆冰发生的气象条件方面研究我国南方覆冰的天气成因及分布特征。研究表明, 异常稳定的大气环流形势是导致我国南方区域持续性冰冻雨雪灾的重要原因, 主要表现为500 hPa距平场中“北高南低”的大气形势、 南支槽的异常活跃和西太副高的异常(许丹和罗喜平, 2003周长艳等, 2008宋春远等, 2009晏红明等, 2009曹爽等, 2020刘明歆等, 2021)。此外, 等熵面位涡守恒、 高空急流次级环流上升和寒潮冷堆移动所导致的绝对涡度的增加, 都会导致寒潮冷堆的增强(张弛等, 2021)。Walker环流的异常下沉、 西太副高的偏强偏西、 西风带水汽输送的增强以及Hadley环流异常上升, 均会导致云贵地区冬季降水的偏强(万云霞等, 2020周建琴和晏红明, 2021)。彭京备和孙淑清(2019)对2018年1月全国的天气形势及气象条件进行了分析, 认为南方南风偏强和北方寒潮偏强是造成我国中东部出现持续性冰冻雨雪灾害的主要成因。
与此同时, 很多学者从覆冰发生的微地形特征和微气象条件视角开展研究。已有研究表明, 输电线路在海拔高、 风速大的区域覆冰最为严重, 对应地形多为高山分水岭型(山顶以及迎风坡山腰)和峡谷风道型(狭管效应)(王守礼和张弦, 2005朱辉青, 2006张弦, 2007蒋兴良等, 2011钟水新, 2020)。严小冬等(2009)基于1961 -2007年期间贵州地区冻雨监测数据, 分析了该区域冻雨分布特征, 提出贵州中东部微地形(突兀山地)会导致局地覆冰严重。段旭等(2018)以昆明静止锋为研究对象, 结果表明云贵高原阻碍冷空气移动且促使其抬升形成逆温层。为了研究微气象(环境风速和风向、 相对湿度以及气温)对输电线路覆冰增长的影响, 许多学者通过灰关联的方法判断气温、 湿度和风对不同输电线路覆冰的影响(阳林等, 2010黄新波等, 2011欧阳丽莎和黄新波, 2011)。例如, 陈百炼等(2018)通过物理参数化以及数值模拟的方式分析输电线路覆冰过程的机理, 验证了完整覆冰过程包括: 开始、 增长、 维持、 减弱、 消融5个阶段, 特别是覆冰开始和增长阶段必须有降雨或雾出现(维持阶段无要求)。黄新波等(2011)通过贵州电网220 kV铜黎线监测数据, 分析微气象因子对于输电线路覆冰的影响, 研究表明风速对于贵州电网220 kV铜黎线的覆冰影响最大, 影响权重依次为环境风速>环境气温>导线温度>相对湿度。总的来看, 我国南方输电线线路范围广, 途经地形多样, 相对于南方其他地区, 输电线路途经的云贵高原地区微地形、 微气象等特征显著, 造成输电线路覆冰增长过程机理复杂。因此, 迫切需要系统地研究覆冰发生前后大尺度环流下不同区域的气象要素分布特征, 并分析复杂微地形对于输电线路覆冰的影响。
南方电网的统计资料显示, 2018年1月下旬, 贵州、 广西和云南的输电线路普遍出现覆冰事件, 近10万用户用电受到影响。此次覆冰事件持续时间较长、 覆盖范围较大且多分布于复杂地形, 具有一定的独特性。鉴于此, 本文以2018年1月24 -28日的覆冰事件为研究对象, 利用南方电网覆冰监测系统获取的覆冰厚度、 气温、 相对湿度等数据, 结合欧洲气象中心ERA5再分析资料以及国际通用覆冰模型, 对南方电网贵州中东部的输电线路的覆冰厚度进行数值模拟研究, 并根据监测结果对模拟结果进行评估; 同时对微地形(海拔、 垭口朝向以及坡度坡向)进行数字化, 并结合微气象(气温、 相对湿度以及风速)数据, 探索微地形和微气象对覆冰分布的影响; 最后通过天气学原理分析此次覆冰过程中大气环流的演变特征。

2 资料来源和方法介绍

2.1 资料来源

所用资料包括:
(1) 2018年1月23 -30日的ECMWF发布的ERA5逐小时再分析资料(分辨率0.25°×0.25°), 包括: 500 hPa和850 hPa位势高度和850 hPa气温。
(2) ECMWF提供的2018年1月24 -28日ERA5逐小时再分析资料(分辨率0.25°×0.25°), 包括: 700 hPa和10 m风速风向、 700 hPa比湿、 2 m气温和2 m露点温度。
(3) 覆冰监测系统提供的2018年1月24 -28日的数据, 包括: 输电线路覆冰厚度、 气温和相对湿度(监测间隔10, 20或30 min每次)。
(4) 地理信息数据云(http: //www.gscloud.cn/sources)提供的数字高程地形数据(分辨率30 m), 选取范围为20°N -30°N, 95°E -115°E。
自2014年11月覆冰监测系统运行至今, 累计监测到中重型覆冰事件16次, 其中: 中型覆冰事件9次; 重型覆冰事件7次。表1汇总了云贵地区输电线路中型和重型覆冰的时间和范围, 其中2018年1月下旬至2月初的覆冰过程影响持续时间长、 覆盖范围大且覆冰厚度均值最大, 覆冰杆塔208基(覆冰率达到71%), 最大覆冰厚度均值达12.91 mm, 具有独特性, 是最近几年来最为严重的一次大范围覆冰事件。由图2表2可知, 2018年1月24 -28日位于贵州中部和中东部、 广西东北部以及云南东北部的输电线路大范围出现覆冰事件, 主要分布在高海拔的复杂地形区域(图1), 最大覆冰厚度可达50.74 mm, 出现在贵州东南部。如无特殊说明, 观测区域为20°N -30°N, 95°E -115°E。文中涉及的地图是基于国家测绘地理信息局标准地图服务网站下载的审图号为GS(2020)4619的中国地图制作, 底图无修改。
表1 2014 -2020年期间主要覆冰过程的平均最大厚度、 持续时间与影响范围

Table 1 The average thicknessduration and impact areas of icing processes during 2014-2020

日期(年-月-日) 影响范围 覆冰杆塔数量(基) 总杆塔数量(基) 最大厚度均值/mm
2014年12月10 -29日 贵州东南部, 广西东北部, 云南东北部 30 121 6.75
2015年1月6 -22日 贵州东南部, 广西东北部, 云南东北部 27 121 5.68
2015年1月27日至2月11日 贵州中部、 东南部和西北部, 广西东北部, 云南东北部 64 121 9.97
2016年1月19日至2月6日 贵州中部、 东南部和西北部, 广西东北部, 云南东北部 78 191 6.19
2017年1月31日至2月3日 贵州东南部 20 238 5.72
2017年2月22 -28日 贵州中部以及东南部, 云南东北部, 广西东北部 56 238 3.92
2017年11月18 -28日 贵州中部, 云南东部及东北部 73 294 4.64
2017年12月29日至2018年1月16日 贵州中部、 东南部和西北部, 云南东部及东南部, 广西西北部 177 294 7.28
2018年1月24日至2月13日 贵州中部、 东南部和西北部, 云南东部及东南部, 广西西北部 208 294 12.91
2018年12月4 -16日 贵州中部、 东南部和西北部, 广西东北部, 云南东北部 63 294 11.73
2018年12月27日至2019年1月5日 贵州中部、 东南部和西北部, 云南东部以及东北部, 广西东北部, 广州西北部 108 294 6.67
2019年1月8 -11日 贵州东南部 17 294 6.04
2019年2月8 -24日 贵州中部和东南部, 广西西北部 45 294 9.18
2020年12月13 -19日 云南东北部, 贵州中部、 东南部和西北部, 广西东北部 191 406 9.17
2020年12月28日至2021年1月4日 云南东北部, 贵州中部、 东南部和西北部, 广西东北部 78 406 8.86
2021年1月4 -12日 云南东北部, 贵州中部、 东南部和西北部, 广西东北部 194 406 9.71
图1 观测区域地形图(a)与2018年1月24 -28日覆冰最大厚度空间分布(b)

Fig.1 Topographic map (a) of maximum of the observing area and the distribution ice thickness during January 24 -28, 2018 (b)

图2 2018年1月24 -28日覆冰最大厚度的分布状况

Fig.2 Maximum thickness distribution status during January 24 -28, 2018

表2 2018124 -28日覆冰杆塔数目

Table 2 Overview of the icing of the tower during January 24 -282018

日期(月-日) 覆冰杆塔数目(基)
甲局 乙局 丙局 丁局 其他局
1月24日 28 0 5 3 5
1月25日 77 28 11 10 5
1月26日 81 34 13 15 9
1月27日 85 41 14 17 8
1月28日 83 48 26 18 15

2.2 方法介绍

2.2.1 冻雨及雾凇的判定方法

本文通过ERA 5逐小时数据判断观测区域自高空至地面是否具有“冷-暖-冷”的逆温层, 即700 hPa 气温<0 ℃, 850 hPa 气温>0 ℃。通常情况下, 从高空到地面如有逆温层会使降水形态以冻雨为主, 如无逆温层则以降雪为主(赵思雄和孙建华, 2008曲巧娜等, 2011王传辉等, 2019昌立伟等, 2020)。由于云贵高原海拔在2000~4000 m间, 850 hPa层结存在缺失的现象。故本文在高海拔地区是用Ramer方案进行冻雨的诊断分析, 该方案可以同时诊断过冷暖雨机制和融化机制的冻雨, 已被较多学者使用(Ramer, 1993徐婉笛等, 2019) 。在云贵地区, 冻雨发生的有利条件为: (1) 降水量<1 mm·(6h)-1; (2) 气温-6~0 ℃; (3) 相对湿度>85%; (4) 风速0~6 m·s-1。雾凇发生的有利条件为: (1) 降水量为0 mm; (2) 气温-13~-3 ℃; (3) 相对湿度>85%; (4) 风速0~6 m·s-1; (5) 液态含水量>0.007 g·m-3(或能见度低于1 km)。在24 -28日观测区域输电线路气温主要位于-5~0 ℃, 这与雾凇形成时气温通常<-5 ℃的条件不符(庄文兵等, 2017)。结合贵州地区输电线路覆冰的历史资料(严小冬等, 2009李勇等, 2019孔锋等, 2019), 南方电网输电线路维护人员的实况记录(特别是甲局、 乙局和丙局覆冰类型的记录), 可综合判断出本次贵州地区的输电线路覆冰为雨凇+雾凇型。

2.2.2 覆冰模型介绍

Makkonen模型是ISO 12494 -2017 Atmospheric icing of structures推荐的覆冰模型, 在模拟雾凇覆冰方面表现良好; Jones简单模型在冻雨天气下模拟效果较好, 且需要的气象要素(降水量和风速)较易获取(Jones, 1998Makkonen, 2000)。由于本次覆冰过程中覆冰核心区位于贵州地区(雨凇+雾凇型), 故使用Makkonen覆冰模型和Jones简单模型共同模拟输电线路覆冰(Jones, 1998Makkonen, 2000)。
本文使用Makkonen模型模拟雾凇型结冰增长:
d M d t = α 1 α 2 α 3 W ν A
式中: d M d t表示单位时间覆冰增长质量; A是物体有效横截面积; ν表示入射粒子方向的速度(用风速来代替); W表示液态水含量; α 1表示碰撞率; α 2表示捕获率; α 3表示冻结系数。为方便计算, 默认模拟捕获率α 2=1。Makkonen(2000)对输电线路在不同覆冰增长(雾凇、 雨凇以及混合凇)情况下α 1α 3的计算进行了详细的描述。
本文使用Jones简单模型模拟由冻雨引起的雨凇结冰增长, 用Best经验公式近似地将降水量转换为液态水含量(Best, 1949Jones, 1998):
R e q = 1 ρ i π j = 1 N [ ( P j ρ 0 ) 2 + ( 3.6 V j W j ) 2 ] 1 / 2
W j = 0.067 P j 0.846
式中: j表示第j小时; N表示持续的第N小时; Req 表示水平圆柱体上的均匀覆冰厚度; Pj 表示小时降水量; Wj 表示液态水含量; Vj 表示对应小时风速; ρ0 表示水的密度; ρi 表示冰的密度。
由于覆冰系统中监测间隔10 min、 20 min或30 min不等, 且存在数值异常或缺测的情况, 故需要对原始数据进行质量控制, 具体步骤为: (1) 对缺测大于50%、 覆冰数值为负值和温湿维持为零的监测进行标记。(2)采用的三次样条插值方法使得标记后的数据维度相一致。

3 结果分析

3.1 覆冰过程的时间演变特征

从1月24-28日观测区域内输电线路覆冰最大厚度随时间演变特征(图2)可以看出, 观测区域覆冰增长分为三个阶段: 第一阶段为覆冰前期(24 -25日), 覆冰日均值<1 mm; 第二阶段为覆冰快速增长期(26 -27日), 覆冰日均值分别为4.52和7.46 mm; 第三阶段为覆冰维持期(28日), 覆冰日均值为8.35 mm。甲局覆冰过程包含覆冰前期(24日)、 覆冰快速增长期(25 -27日)和覆冰维持期(28日)三个阶段, 覆冰最大厚度均值分别为<1 mm; 3.62 mm、 8.18 mm和13.23 mm; 13.70 mm。乙局、 丙局和丁局均包含覆冰前期(24 -25日)和覆冰快速增长期(26 -28日)两个阶段, 覆冰最大厚度均值分别为<1 mm; 3.66 mm、 4.8 mm和6.07 mm(乙局); 2.2 mm、 5.4 mm和7.2 mm(丙局); 1.34 mm、 3.72 mm和4.76 mm(丁局)。分析表明: 本次覆冰过程中观测区域输电线路存在覆冰前期(24 -25日)、 覆冰快速增长期(26 -27日)和覆冰维持期(28日)三个阶段。
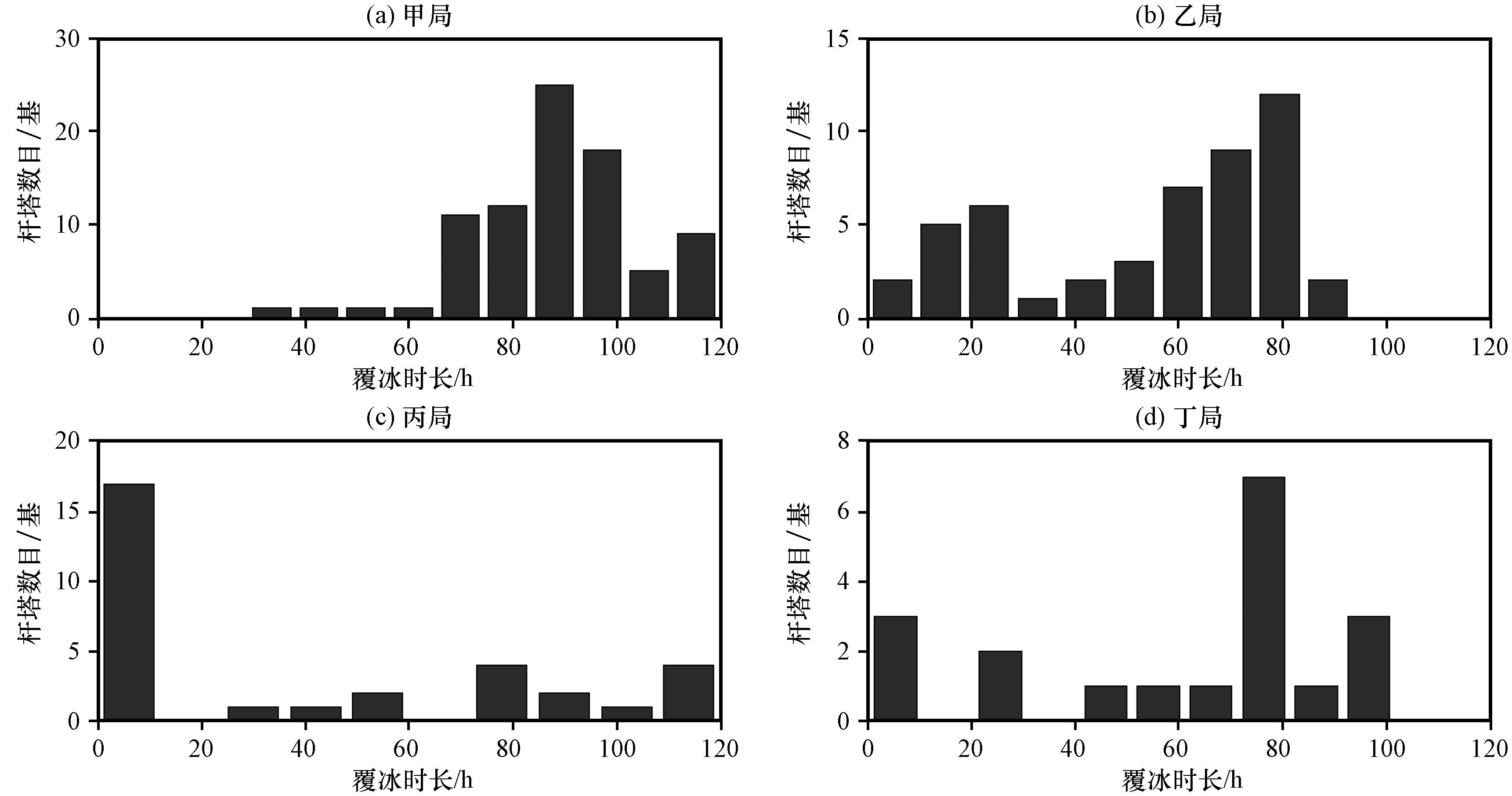
此外, 1月24 -28日观测区域内输电线路覆冰时长分布特征(图3): 甲局除3座杆塔覆冰时长<60 h, 其余杆塔覆冰时长均>60 h。乙局有28座杆塔(占比57.1%)覆冰时长为60~90 h。丁局覆冰时长为0~120 h, 且有7座杆塔(占比30.4%)覆冰时长为60~80 h。丙局覆冰时长中位数为8.33 h, 整体覆冰时长最短。分析表明: 甲局输电线路整体覆冰时间为60~120 h, 覆冰时长最长; 云南和广西东北部输电线路覆冰时间为0~10 h和40~80 h, 覆冰时长较短。
图3 2018年1月24 -28日覆冰时长的分布状况

Fig.3 Distribution of ice cover hours from January 24 -28, 2018

3.2 覆冰过程的空间分布特征

1月24-28日观测区域内输电线路覆冰最大厚度空间分布(图4): 贵州中部的输电线路最先出现覆冰(个别杆塔覆冰最大厚度达5.26 mm), 此时观测区域内其他输电线路覆冰最大厚度<1 mm。覆冰最大厚度>5 mm的区域自贵州中部向西北和东南两侧延伸, 且贵州中部输电线路覆冰持续加重(个别杆塔覆冰最大厚度>20 mm), 与图2(c)中乙局和丁局的输电线路出现覆冰相一致。贵州中部和广西东北部的输电线路覆冰增长迅速, 特别是贵州中部个别杆塔覆冰最大厚度达37.38 mm。输电线路覆冰最大厚度的空间分布维持稳定, 位于贵州中部、 云南和广西东北部的输电线路覆冰最大厚度>20 mm。
图4 2018年1月覆冰最大厚度空间分布 ▲表示缺测杆塔

Fig.4 Spatial distribution map of maximum ice thickness on January.The triangle indicates the tower data is missing

综上所述, 本次覆冰过程中观测区域输电线路存在覆冰前期(24 -25日)、 覆冰快速增长期(26 -27日)和覆冰维持期(28日)三个阶段。24日起贵州中部的输电线路出现覆冰, 且超90%的覆冰最大厚度>15 mm; 26日起云南和广西东北部输电线路出现覆冰, 且覆冰最大厚度>20 mm; 贵州中部的输电线路整体覆冰时长为60~120 h; 云南和广西东北部输电线路覆冰时长分别为0~10 h和40~80 h。

3.3 微地形对覆冰影响的模拟试验

前面结果显示大尺度的天气形势对于区域性大面积覆冰具有较好的指导性意义, 但对于局地的输电线路覆冰预测效果不佳。微地形是指范围狭小, 且气候参数与周边存在明显差异的地形。如何挖掘微地形对输电线路覆冰的影响是本节研究的重点。鉴于24 -28日的输电线路覆冰过程中, 位于云贵高原东侧的甲局的输电线路覆冰严重, 超90%的杆塔覆冰最大厚度>15 mm。贵州山区复杂的地形适宜进行微地形(海拔、 垭口朝向以及坡度坡向)对于微气象(气温、 相对湿度以及风速)影响的研究。因此本文利用Makkonen及Jones模型对贵州东南部某一复杂地形区域(因安全涉密, 不再给出具经纬度范围)的覆冰进行模拟。
由于模拟区域内实际覆冰存在显著的局地性差异, 为方便研究, 将观测区域内的23座杆塔分为Ⅰ(覆冰厚度< 10 mm)、 Ⅱ(10 mm<覆冰厚度<25 mm)、 Ⅲ型(覆冰厚度>25 mm)三种类型(图5)。其中Ⅰ型包含8根杆塔(杆塔1、 2、 7、 9、 11、 15、 17和23), Ⅱ型包含9根杆塔(杆塔3、 4、 6、 8、 10、 16、 19、 20、 22), Ⅲ型包含6根杆塔(杆塔5、 12、 13、 14、 18和21)。
图5 模拟区域地形鸟瞰图

Fig.5 Aerial view of the terrain of the simulated area

通过监测数据、 气象再分析资料和地形高程数据, Ⅰ型、 Ⅱ型和Ⅲ 型杆塔的微地形微气象差异可概括为以下7个方面(如表3):
表3 地形属性统计表

Table 3 Statistics of terrain attributes

杆塔编号 海拔/m 坡向 坡度/(°)

1∶50000

垭口朝向

1∶250000

垭口朝向

1 813 46.47 19.42 西北 东北
2 910 6.93 23.1 / /
3 912 144.04 14 / /
4 1028 253.01 16.59 西南 西南
5 971 221.37 19.46 西南 西南
6 923 209.29 10.54 / 西南
7 743 347.83 11.67 东北 西北
8 914 5.91 13 西北 东北
9 899 317.39 24.97 西北 东北
10 928 240.46 30.23 / /
11 1003 332.53 29.07 / 西北
12 1072 347.37 24.24 / 西北
13 1052 323.13 30.02 东北 东北
14 1194 10.44 17.01 东北 东北
15 956 24.44 29.91 东南 东南
16 901 313.7 20.3 西北 东北
17 860 351.53 20.61 东北 东北
18 1061 11.31 8.54 东北 西北
19 993 217.61 16.95 东北 /
19 993 217.61 16.95 东北 /
20 912 17.49 7.78 西北 东北
21 962 303.11 20.46 西北 /
22 1060 25.35 9.45 西北 /
23 917 143.13 13.82 东南 /

杆塔19有两种型号的输电线路, “/”表示无垭口

(1) 海拔方面: Ⅰ型、 Ⅱ型和Ⅲ 型杆塔的海拔主要分布状况分别为低于920 m、 介于920~1060 m和高于1060 m。
(2) 监测气温与模拟区域内输电线路平均气温方面: Ⅰ型、 Ⅱ型和Ⅲ 型杆塔分别为偏高0.5 ℃、 相近和低0.4 ℃。
(3) 监测相对湿度与模拟区域内输电线路平均相对湿度方面: Ⅰ型、 Ⅱ型和Ⅲ 型杆塔分别为偏低5%、 相近和高4%。
(4) 坡度方面: Ⅰ型、 Ⅱ型和Ⅲ 型杆塔坡度分别为11.67°~29.91°、 7.78°~20.3°和8.54°~30.02°。
(5) 垭口方面: Ⅰ型、 Ⅱ型和Ⅲ型的杆塔在1∶50000比例尺下, 无垭口、 北向垭口和南向垭口数量分别为: 2、 3、 1座; 2、 5、 2座; 4、 2、 3座。Ⅰ型、 Ⅱ型和Ⅲ型的杆塔在1∶250000比例尺下, 无垭口、 北向垭口和南向垭口数量分别为: 2、 5、 1座; 2、 2、 3座; 4、 3、 2座。
(6) 风速方面: 在风速小于10 m·s-1的条件下, 风速越大输电线路覆冰越严重。如杆塔5更接近垭口内侧故实际风速大于杆塔3和4。
(7) 人工融冰影响方面: 对于Ⅰ、 Ⅱ、 Ⅲ型类型的杆塔的覆冰均有重要影响(如Ⅰ型中的杆塔11、 15等)。
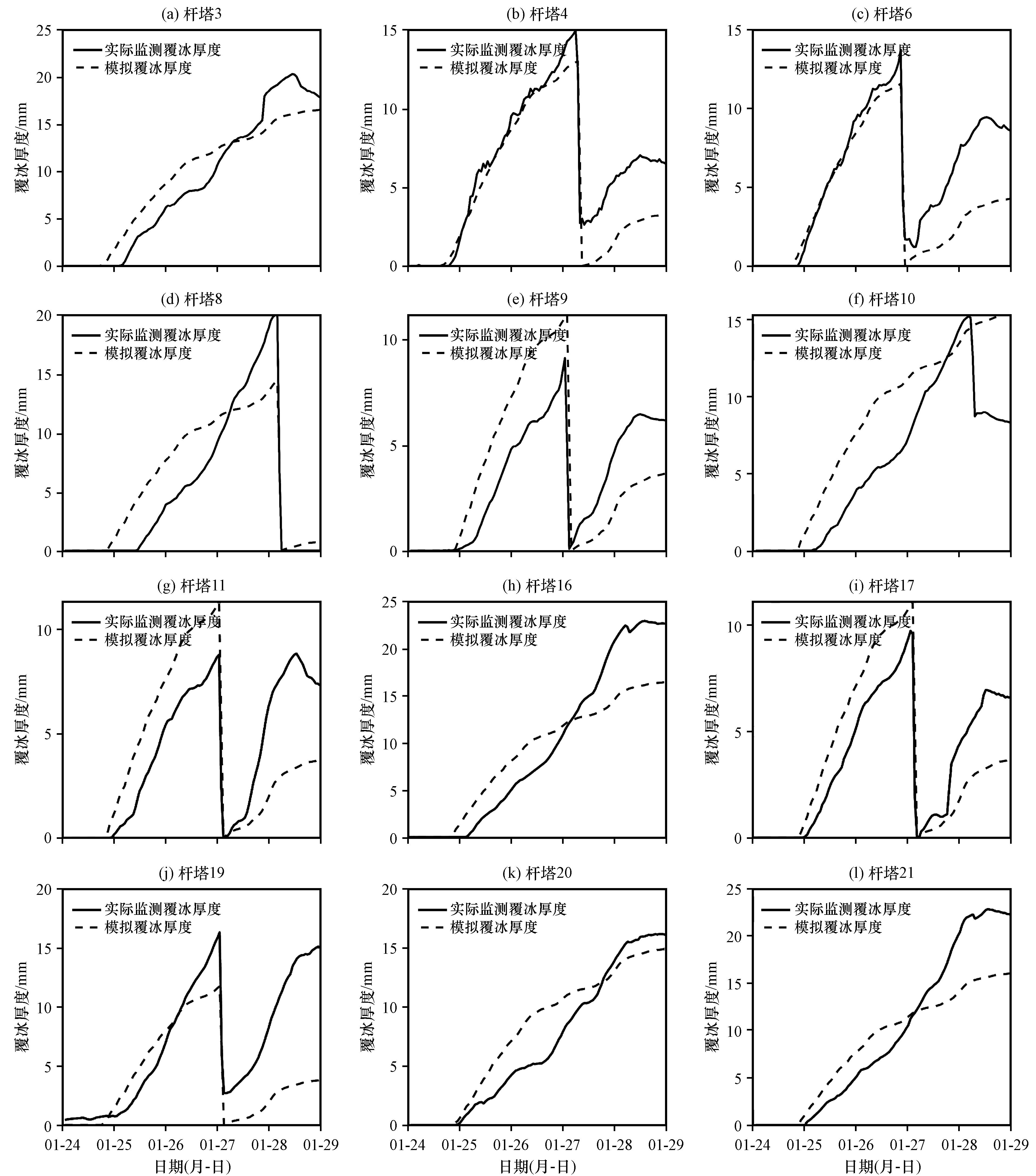
通过Makkonen及Jones模型对模拟区域内的输电线路进行覆冰模拟, 效果从优到差依次为Ⅱ型、 Ⅰ型和Ⅲ型杆塔, 相关系数分别为0.79~0.99, 0.87~0.99和0.92~0.97; 均方根误差分别为: 0.69~4.57 mm, 0.56~6.35 mm和5.12~11.67 mm(图6表4)。
图6 2018年1月24 -28日模拟覆冰和监测覆冰厚度对比

Fig.6 Comparison of simulated and monitored icing thickness from 24 to 28 January 2018

表4 人工融冰前覆冰监测值和模拟值的统计分析

Table 4 Statistical analysis of icing monitoring and simulation values before artificial ice melting

杆塔编号 模拟最大值/mm 实际最大值/mm 模拟均方差/mm 实际均方差/mm 均方根误差/mm 相关系数
1 14.05 4.48 4.94 1.42 6.35 0.87
2 11.77 6.52 4.43 2.40 2.98 0.99
3 16.53 20.36 5.80 7.20 2.43 0.91
4 13.08 15.09 4.82 5.18 0.69 0.99
5 13.88 26.35 5.09 8.55 5.89 0.97
6 11.58 13.75 4.37 4.77 0.56 0.99
7 9.87 4.20 3.77 1.66 3.10 0.99
8 14.34 19.96 4.97 6.39 3.18 0.79
9 11.09 9.05 4.13 2.89 2.36 0.96
10 15.30 15.20 5.41 4.75 3.57 0.81
11 11.26 8.78 4.19 3.18 2.06 0.97
12 16.85 29.01 5.56 9.43 5.12 0.93
13 17.70 29.91 5.97 10.13 5.47 0.92
14 11.99 37.28 4.44 13.47 11.67 0.93
15 10.29 5.38 3.82 1.77 2.91 0.98
16 16.46 22.97 5.78 8.56 3.72 0.89
17 11.07 9.74 4.12 3.37 1.58 0.98
18 12.32 26.28 4.52 8.98 5.74 0.94
19 11.73 16.33 4.35 5.22 1.70 0.91
19 14.92 16.18 5.31 5.83 2.15 0.90
20 16.05 22.85 5.67 8.42 3.70 0.89
21 17.23 32.04 6.03 11.70 7.72 0.92
22 12.49 23.70 4.56 8.07 4.57 0.94
23 11.57 6.30 4.31 1.79 4.02 0.90

杆塔19有两种型号的输电线路

模拟覆冰和实际覆冰的误差主要表现为降水量和风速的不一致性以及垭口朝向的影响, 具体呈现为: (1)本文通过ERA 5的降水量反演输电线路周边的液态水含量(式1式3)。在模拟输电线路覆冰时, 海拔<920 m和海拔>920 m的输电线路周边的液水含量分别为0~0.0014 g·m-3和4.6274×10-6~0.0015 g·m-3, 二者相差±1.7615×10-4 g·m-3。在实际覆冰过程中, 海拔<920 m的输电线路的液水含量<模拟值, 覆冰厚度<模拟值(如杆塔1、 2、 7、 9、 17和23)。(2)在模拟覆冰时, 杆塔周边风速介于0.7~5.04 m·s-1。对于坡度7.78°~20.3°的杆塔, 风受地形阻挡的影响较小, 模拟风速与实际风速接近。对于坡度>20.3°的杆塔, 风受地形阻挡的影响较大, 实际风速小于模拟风速, 实际覆冰厚度低于模拟值(如杆塔2、 9、 10、 11、 15、 17和21)。(3)在模拟覆冰时, 垭口为西北和东北向的杆塔, 在东北-西南向槽后引导气流和狭管效应的共同影响下, 近地表(10 m)与输电线路高度(约35 m)的风速较为一致。而垭口为西南和东南向的杆塔, 在大的地形阻挡作用下, 模拟风速>实际风速。
在对模拟和监测覆冰的覆冰最大厚度进行单因素方差分析(ANOVA)时, F=4.09, P=0.0489, 由于0.01<P=0.0489<0.05, 故认为模拟结果对监测结果有较显著影响, 具有统计学意义。当置信度为α=0.05时, 95%的置信区间为1.96~12.71 mm, 且通过显著性检验(表5)。
表5 ANOVA 对模拟结果和监测数据间的覆冰最大厚度显著性检测

Table 5 ANOVA detects the significance of the maximum ice thickness between the simulation results and the monitoring data

差异来源 SS df NS F P>F
合计 2464.39 47
201.27 1 201.27 4.09 0.0489
误差 2263.12 46 49.12
综上所述, Ⅰ型杆塔低海拔所引起的气温偏高, 相对湿度偏小是杆塔覆冰厚度<10 mm的主要因素, 而人工融冰是导致个别杆塔覆冰数值小的主要因素(如杆塔11和15); Ⅱ型杆塔输电线路覆冰模拟效果最好; Ⅲ型杆塔海拔高、 风速大导致覆冰厚度>25 mm的主要原因。由于气温和海拔负相关, 海拔<920 m的输电线路的液水含量被高估; 由于局地风速受地形阻挡和狭管效应的影响, 坡度大于20.3°的输电线路风速被高估, 西南和东南向垭口的输电线路风速被低估。本模型对于海拔920~1060 m、 坡度7.78°~20.3°、 西北向垭口的输电线路覆冰模拟效果最好。

3.4 天气学成因分析

2018年1月下旬的覆冰过程具有持续时间较长、 覆盖范围较大且覆冰区域地形复杂的特征, 具有一定代表性。因此有必要研究其背后的天气学成因, 具体将从: 大尺度环流形势、 中低层水汽通道和近地表气象条件三个方面分析此次覆冰过程的天气学成因。

3.4.1 大尺度环流形势方面

1月23 -24日、 25 -26日、 27 -28日和29 -30日500 hPa位势高度场及其距平场(图7)显示, 乌拉尔山脉附近的阻塞高压受强正距平(中心>300 gpm)控制; 我国东北地区、 华北北部、 内蒙古中西部受强负距平(中心<-200 gpm)控制, 这与850 hPa气温场中(中心<-20 ℃)相对应[图8(a)]。同时850 hPa位势高度场中欧亚大陆呈现“北高南低”的特征: 乌拉尔山脉附近的高压位势高度为1650 gpm, 而120°E -160°E, 38°N -62°N区域低压位势高度为1300 gpm[图8(a)]。由于欧亚大陆北高南低的气压场配置以及中纬度环流整体平直的特征, 阻塞高压有向西南移动的趋势。此时东西伯利亚至我国东海上空东北-西南向槽线开始出现但不明显。图7(b)显示乌拉尔山脉附近阻塞高压向西移动10°~15°, 贝加尔湖至东西伯利亚高压脊加强, 其东西两侧均有低压区(东侧位于我国东北一带, 西侧位于我国新疆北部), Ω型的位势高度场配置有利于冷空气向南输送。同时850 hPa位势高度场中: 东亚地区的低压加强至976 gpm并东移。虽然影响我国的东北-西南向槽线受到阻塞高压西移的影响, 但由于槽线附近有负距平中心(中心<-200 gpm)控制, 槽线东移缓慢并维持加强[图8(b)]。受青藏高原大地形的阻挡作用和南支槽的共同影响, 这有利于槽后引导气流将聚集在东西伯利亚地区的冷空气持续稳定输送至我国南方。由于气温场落后于位势高度场明显, 槽前暖平流槽后冷平流进一步加强。贵州中部的输电线路受槽后引导气流的影响, 监测的平均气温降至零下, 最先响应覆冰现象。
图7 2018年1月的500 hPa位势高度场(等值线, 单位: gpm)和距平场(阴影, 单位: gpm)

Fig.7 The 500 hPa geopotential height field (contour, unit: gpm) and anomaly field (shadow, unit: gpm) during January 2018

图8 2018年1月的850 hPa温度场(阴影, 单位: ℃)和位势高度场(等值线, 单位: gpm)变化 黑色阴影为青藏高原

Fig.8 Changes in the 850 hPa temperature field (shadow, unit: °C) and geopotential height field (contour, unit: gpm) during January 2018.Black shadow is the Qinghai-Xizang Plateau

图7(c)显示乌拉尔山脉附近的阻塞高压随着时间推移向南移动10°~15°[与图7(b)对比可见]。850 hPa位势高度场和气温场中: 欧亚大陆北高南低的气压场配置稳定维持[图8(c)]。因此积压在东西伯利亚地区的冷空气顺着槽后引导气流迅速向南爆发, 影响我国中东大部并造成大范围的冰冻雨雪灾害。这与输电线路覆冰最大厚度极值中心自贵州中部向贵州中东部和贵州西北部延伸的时间相一致[见图4(b)和图4(d)]。图7(d)进一步显示东西伯利亚至我国东海上空有东北-西南向槽线再次出现, 观测区域位于槽后脊前, 存在第二次的冷空气爆发的可能。850 hPa位势高度场和温度场中: 由于乌拉尔山区域附近的阻塞高压的彻底崩溃和位于鄂霍次克海东南的低压减弱(中心<1200 gpm), 故位于我国上空东北-西南走向的槽明显减弱。此时温度场中我国北方<-20 ℃的低温区范围明显减小[图8(d)]。低槽的东移, 破坏了槽后的逆温层结构, 不利于冻雨的形成(高洋, 2014)。同时, 冬季青藏高原高海拔的地形构造的动力作用对东亚大槽的形成具有十分关键的影响, 具体体现为: 青藏高原作为热汇, 促进海上热源西边的东亚大槽的加深和大陆冷源上空脊的减弱, 对天气形势有直接的影响(赵平和陈隆勋, 2001)。欧亚大陆异常稳定环流形势基本消失, 本次寒潮过程结束。
以上分析说明, 欧洲东部东北-西南大槽、 印度洋-乌拉尔山脉的东北-西南走向的脊和我国中东部-鄂霍次克海东北-西南走向的槽, 使欧亚大陆呈现出“两槽一脊”的稳定环流形势, 配合欧亚大陆北高南低的气压场配置以及中纬度环流整体平直的特征, 共同构成稳定的异常大气环流形势, 最终导致极地的冷空气以寒潮的形势爆发影响我国中东大部(Bueh et al, 2011), 造成24 -28日我国南方电网出现持续时间较长、 覆盖范围较大的输电线路覆冰事件。

3.4.2 中低层水汽通道方面

2018年1月24 -28日700 hPa风矢量场(图9)所示, 24 -28日间我国贵州中东部和湖南上空存在风速>20 m·s-1西南急流区, 这与图2图4中实际监测覆冰严重区域高度吻合。受青藏高原地形阻挡作用, 东路的冷空气移动受阻, 冷空气绕流沿着青藏高原南侧继续移动, 故四川区域雨凇发生次数较少(王安宇和王谦谦, 1985)。冷空气自东路从底层侵入云贵地区形成冷空气垫。暖空气从西部上空移来, “冷-暖-冷”的逆温层结构有利于雨凇事件的发生(严小冬等, 2009)。在图7中, 里海咸海附近维持切断低压、 青藏高原至孟加拉湾的高压脊和东南沿海的槽, 有利于南支槽的活跃, 进而造成强而稳定的西南急流的存在, 使得南海和孟加拉湾充裕的水汽持续不断输送至我国中东部地区, 特别是贵州中东部和湖南区域。在输送水汽的同时保证融化层的热源供应。24 -28日贵州、 湖南、 广西北部、 江西、 福建和浙江一带比湿为4~6 g·kg-1图9(b)], 与图9(a)一致。
图9 2018年1月24 -28日700 hPa风场(等值线, 单位: m·s-1)和比湿场(阴影, 单位: g·kg-1)阴影为青藏高原

Fig.9 The 700 hPa wind speed field (contour, unit: m·s-1) and specific humidity (shadow, unit: g·kg-1) during January 24 -28, 2018.Black shadow is the Qinghai-Xizang Plateau

总结而言, 24 -28日700 hPa风矢量场和比湿场中, 贵州中部以及湖南一带维持风速大于20 m·s-1西南急流, 为该区域带来充裕的水汽(比湿>4 g·kg-1)。在冰冻雨雪灾害天气中, 携带干冷空气的西北风和携带水汽的西南急流的交绥是决定雨雪灾害强度和范围的主要指标之一(周长艳等, 2008宋春远等, 2009晏红明等, 2009曹爽等, 2020)。

3.4.3 近地表气象条件方面

2018年1月24 -28日监测系统中输电线路温湿变化(图10)所示, 南网不同区域输电线路平均气温的变化特征: (1)只有丙局输电线路的监测气温具有昼夜特征, 即白天比夜晚高2~4 ℃。(2)受冷气团加强和暖气团减弱的共同影响, 丙局的输电线路气温具有波动下降的特征, 而甲、 乙和丁局受槽后引导气流的影响, 输电线路的监测气温在25 -26日分别迎来了8 ℃、 12 ℃和9 ℃的明显降温, 其余时段气温维持稳定[图7(b), 图8(b)]。观测区域内输电线路平均气温转为零下的时刻具有明显的地域性特征: 25日18:00(甲局); 26日00:00(乙局); 26日03:00(丁局); 28日18:00(丙局), 这与覆冰的时空分布特征一致(见图4)。图10(b)反映了不同区域输电线路平均湿度的变化特征: 24 -28日12:00丙局输电线路的相对湿度<85%, 而甲、 乙和丁局输电线路相对湿度平均值均>90%。总结而言, 本次覆冰过程中丙局的输电线路覆冰增长条件最差(输电线路覆冰增长有利条件: 气温<0 ℃, 相对湿度>85%)。
图10 监测系统中输电线路气温和相对湿度时序图

Fig.10 Temperature and relative humidity timing chart of transmission line in monitoring system

2018年1月23 -28日观测区域内10 m风和露点温度差的变化(图11)所示: 除广西南部和广东外, 其余区域均为西南风或者东南风。特别是云南东部、 贵州中部和广西西部风速>4 m·s-1且露点温度差<2 ℃, 有利于冻雨型雨凇的形成; 贵州中部东南(风速>4 m·s-1)转为东北风(风速1.5~2 m·s-1), 与东北-西南向的槽东移时间吻合, 积压在东西伯利亚地区的冷空气顺着槽后引导气流迅速向南爆发, 致使贵州中部区域急剧降温形成覆冰[图8(a)~图8(c)]。此时, 广西中部及其中北部虽维持>4 m·s-1的正北风, 但由于海拔普遍<1000 m的原因, 输电线路没有>5 mm的覆冰; 云南东部及其东北部维持>4 m·s-1的南风。虽然南风可为该区域提供充足的水汽条件, 但由于气温长期时间>0 ℃, 故输电线路并未发生覆冰现象[图10(a)]。此时, 露点温度差<2 ℃的区域减弱并南移至云贵广交界一带; 图11(c)中广西西部出现风速>4 m·s-1的西北风, 贵州大部维持>2 m·s-1的东北风, 云南东部的南风减弱至2 m·s-1。云南东部的输电线路由于南风的减弱以及小槽东移槽后气流的共同影响出现覆冰现象[图8(e)]。
图11 2018年1月10 m风场(阴影, 单位: m·s-1)和露点温度差场(等值线, 单位: ℃)

Fig.11 Variations of 10 m wind field(shadow, unit: m·s-1) and dew point temperature difference field (contour, unit: ℃) during January 2018

综上可见, 覆冰未发生时, 近地面持续的南风可以将南方水汽持续地输送至观测区域, 为输电线路覆冰的发生提供水汽条件; 近地面北风受850 hPa高度场小槽东移和槽后引导气流的影响, 可将北方的冷空气持续输送至观测区域, 为输电线路覆冰的发生提供气温条件; 露点温度差可在一定程度上反映冻雨型雨凇影响的范围。

4 结论

本文利用输电线覆冰监测系统获取的覆冰厚度数据、 气温及湿度数据、 气象再分析资料和地形高程数据, 结合Makkonen和Jones覆冰模型, 研究2018年1月24 -28日期间南方输电线路覆冰的监测、 模拟和天气学成因, 结果显示:
(1) 24 -28日覆冰存在极值区从贵州中部向西北和东南两侧延伸的特征, 具体表现为观测区域输电线路存在覆冰前期(24 -25日)、 覆冰快速增长期(26 -27日)和覆冰维持期(28日)三个阶段。24日起贵州中部的输电线路出现覆冰, 累计覆冰时长60~120 h, 且最终超90%的覆冰最大厚度>15 mm; 26日起云南和广西东北部输电线路出现覆冰, 累计覆冰时长分别为0~10 h和40~80 h, 且覆冰最大厚度>20 mm。
(2) Ⅰ型(监测厚度< 10 mm)、 Ⅱ型(10 mm<监测厚度<25 mm)和Ⅲ型(监测厚度>25 mm)杆塔的模拟和实际覆冰的相关系数均在0.9以上, 均方根误差分别为: 3.17 mm、 2.63 mm和6.94 mm, 且覆冰最大厚度通过了置信度95%的F型显著性检验(P=0.0489)。由于海拔低于920 m或坡度>20.3°的输电线路的液水含量被高估, 西南和东南向垭口的输电线路风速被低估, 故本文对于海拔920~1060 m、 坡度7.78°~20.3°、 西北和东北向垭口的输电线路覆冰模拟效果最好。
(3) 500 hPa欧亚大陆中“两槽一脊”的环流形势和“北高南低”的气压场, 配合850 hPa高低压中心和槽线的移动与变化, 共同构成稳定的异常大气环流形势。里海咸海附近维持的切断低压有利于南支槽的活跃, 使700 hPa中贵州中部以及湖南一带有>20 m·s-1的西南急流区, 为该区域带来充裕的水汽(比湿>4 g·kg-1)。冷空气和水汽在南方区域的交绥, 造成贵州大部、 云南和广西东北部的严重覆冰。
(4) 25 -26日贵州中部和广西东北部的输电线路经历10 ℃的剧烈降温, 而云南东北部的输电线路的气温在覆冰期间呈波动下降(-2 ℃·d-1); 24 -28日12:00, 除丙局输电线路的相对湿度<85%外, 其余区域输电线路的相对湿度均>90%; 近地面南风可将水汽持续输送至观测区域, 近地表北风可将低温输送至观测区域。露点温度差可在一定程度上反映冻雨型雨凇影响的范围。
由于云贵高原地区地形复杂、 局地气象条件差异大, 因此下一步需要扩大研究时间段和范围。只有通过高分辨率的数值模拟结果, 才能获取局地准确的气象预报数据。特别地, 本文模拟结果显示由于国际通用的覆冰模型中未定量化考虑海拔、 垭口朝向以及坡度坡向等地形属性对液态水含量以及风速等覆冰关键指标的影响, 如何将地形指标带入输电线路覆冰预报模型中是下一步的研究方向和研究重点难点(邓芳萍等, 2017)。这就要求在输电线路覆冰易发高发区间周围架设气象仪器弥补目前由于探测精度所带来的误差, 为后续覆冰预测的准确度的提升提供技术保障(Zhang et al, 2014)。

References

null
Best A C1949.The size distribution of raindrops[J].Quarterly Journal of the Royal Meteorological Society, 75: 16-36.
null
Bueh C Fu X Y Xie Z W2011.Large-scale circulation features typical of wintertime extensive and persistent low temperature events in China[J].Atmospheric and Oceanic Science Letters4 (4): 235-241.DOI: 10.1080/1 6742834.2011.11446935 .
null
Jones K F1998.A simple model for freezing rain ice loads[J].Atmospheric Research46(1): 87-97.
null
Makkonen L2000.Models for the growth of rime, glaze, icicles and wet snow on structures[J].Philosophical Transactions of the Royal Society of London A: Mathematical, Physical and Engineering Sciences358(1776): 2913-2939.
null
Ramer J1993.An empirical technique for diagnosing precipitation type from model output[C].5th International Conference on Aviation Weather Systems, 227-230.
null
Zhang M Xing Y M Zhang Z G, et al, 2014.Design and experiment of FBG-Based icing monitoring on overhead transmission lines with an improvement trial for windy weather[J].Sensors (Basel, Switzerland), 14: 23954-23969.
null
曹爽, 何立富, 沈晓琳, 等, 2020.2020年2月大气环流和天气分析[J].气象46(5): 725-732.
null
昌立伟, 黄海波, 李晶, 等, 2020.2018年1月湖南岳阳两次雨雪冰冻过程对比分析[J].中低纬山地气象44(3): 68-75.
null
陈百炼, 胡欣欣, 吴息, 等, 2018.基于过程判别的雨雾凇导线覆冰气象模式[J].应用气象学报29(3): 354-363.DOI: 10. 11898/1001-7313.20180309 .
null
邓芳萍, 康丽莉, 姜瑜君, 等, 2017.基于常规气象资料的小时标准冰厚模型及验证[J].应用气象学报28(2): 142-156.DOI: 10.11898/1001-7313.20170202 .
null
段旭, 段玮, 邢冬, 等, 2018.冬春季昆明准静止锋与云贵高原地形的关系[J].高原气象37(1): 137-147.DOI: 10.7522 /j.issn. 1000-0534.2017.00032 .
null
高洋, 2014.我国沿青藏高原同纬度带降水云系的垂直结构及其微物理特征的分析模拟研究[D].北京: 中国气象科学研究院.
null
黄新波, 欧阳丽莎, 王娅娜, 等, 2011.输电线路覆冰关键影响因素分析[J].高电压技术37(7): 1677-1682.DOI: 10.13336/j. 1003-6520.hve.2011.07.027 .
null
蒋兴良, 杜珍, 王浩宇, 等, 2011.重庆地区输电线路导线覆冰特性[J].高电压技术37(12): 3065-3069.DOI: 10.13336/j. 1003-6520.hve.2011.12.034 .
null
孔锋, 方建, 乔枫雪, 等, 2019.透视中国小时极端降水强度和频次的时空变化特征(1961~2013年)[J].长江流域资源与环境28(12): 3051-3067.DOI: 10.11870/cjlyzyyhj201912024 .
null
李庆峰, 范峥, 吴穹, 等, 2008.全国输电线路覆冰情况调研及事故分析[J].电网技术, (9): 33-36.DOI: 10.13335/j.1000-3673.pst.2008.09.013 .
null
李勇, 刘秀明, 王世杰, 等, 2019.1961-2017年贵州降水时空变化特征[J].水土保持研究26(6): 145-150.DOI: 10.13869/j.cnki.rswc.2019.06.022 .
null
刘春城, 刘佼, 2011.输电线路导线覆冰机理及雨凇覆冰模型[J].高电压技术37(1): 241-248.DOI: 10.13336/j.1003-6520.hve.2011.01.034 .
null
刘明歆, 李艳, 吕春艳, 2021.中国冬季两类极端低温事件特征及其大气环流成因分析[J].高原气象40(3): 603-620.DOI: 10.7522/j.issn.1000-0534.2020.00093 .
null
欧阳丽莎, 黄新波, 2011.基于灰关联分析微气象因素和导线温度对输电线路导线覆冰的影响[J].高压电器47(3): 31-36.DOI: 10.13296/j.1001-1609.hva.2011.03.006 .
null
彭京备, 孙淑清, 2019.2018年1月南方雨雪天气的形成及其与冬季风异常的关系[J].大气科学43(6): 1233-1244.DOI: 10. 3878/j.issn.1006-9895.1901.18188 .
null
曲巧娜, 李栋梁, 杨绚, 等, 2011.我国西南地区电线覆冰天气过程的大气环流异常分析[J].高原气象30(3): 641-650.
null
宋春远, 熊传辉, 罗剑琴, 等, 2009.2008年初宜昌市低温雨雪冰冻灾害成因分析[J].高原山地气象研究, (S1): 44-48.
null
万云霞, 晏红明, 金燕, 等, 2020.低纬高原水汽输送特征及其对云南气候的影响[J].高原气象39(5): 925-934.DOI: 10.7522/j.issn.1000-0534.2019.00082 .
null
王安宇, 王谦谦, 1985.青藏高原大地形对冬季东亚大气环流的影响[J].高原气象4(2): 109-120.
null
王传辉, 姚叶青, 夏令志, 等, 2019.2018年初安徽省沿江地区输电线路舞动天气成因分析[J].高原气象38(5): 1091-1098.DOI: 10.7522 /j.issn.1000-0534.2018.00141 .
null
王守礼, 张弦, 2005.微地形微气象对输电线路的影响及应对措施[J].云南电业, (6): 36-37.
null
徐婉笛, 周宁, 韩永翔, 等, 2019.中国冰冻天气中Ramer算法参数化方案的改进及模拟[J].气象科技47(4): 673-682.
null
许丹, 罗喜平, 2003.贵州凝冻的时空分布特征和环流成因分析[J].高原气象22(4): 401-404.
null
严小冬, 吴战平, 古书鸿, 2009.贵州冻雨时空分布变化特征及其影响因素浅析[J].高原气象28(3): 694-701.
null
晏红明, 王灵, 朱勇, 等, 2009.2008年初云南低温雨雪冰冻天气的气候成因分析[J].高原气象28(4): 870-879.
null
阳林, 郝艳捧, 黎卫国, 等, 2010.输电线路覆冰与导线温度和微气象参数关联分析[J].高电压技术36(3): 775-781.DOI: 10. 13336/j.1003-6520.hve.2010.03.033 .
null
张弛, 沈新勇, 张玲, 等, 2021.一次寒潮过程中冷堆增强的动力原因分析[J].高原气象40(2): 394-402.DOI: 10.7522/j.issn. 1000-0534.2020.00051 .
null
张弦, 2007.输电线路中微地形和微气象的覆冰机制及相应措施[J].电网技术, (S2): 87-89.DOI: 10.13335/j.1000-3673.pst.2007.s2.022 .
null
赵平, 陈隆勋, 2001.青藏高原大气热量源汇年际变化及其与大气环流的关系[J].大气科学进展, (1): 106-116.
null
赵思雄, 孙建华, 2008.2008年初南方雨雪冰冻天气的环流场与多尺度特征[J].气候与环境研究, (4): 351-367.
null
钟水新, 2020.地形对降水的影响机理及预报方法研究进展[J].高原气象39(5): 1122-1132.DOI: 10.7522/j.issn.1000-0534. 2019.00083 .
null
周建琴, 晏红明, 2021.东部和中部型El Ni?o事件对云南冬季降水影响的差异分析[J].高原气象40(1): 98-108.DOI: 10. 7522/j.issn.1000-0534.2019.00124 .
null
周长艳, 高文良, 李跃清, 2008.2008年1月我国低温雨雪冰冻气象灾害中的水汽输送特征[J].高原山地气象研究28(4): 25-30.
null
朱辉青, 2006.微气象、 地形区域输电线路覆冰厚度设计研究[J].湖北电力, (S2): 13-15.DOI: 10.19308/j.hep.2006.s2.006 .
null
庄文兵, 张海斌, 赵宏宇, 等, 2017.电线覆冰预报模型研究综述[J].气象科技进展7(2): 6-12+19.DOI: 10.3969/j.issn. 2095-1973.2017.02.001 .
Outlines

/