The Circulation Anomalies of the Winter Persistent Regional Haze Events in Shaanxi Province and Their Precursor Signal

  • Xin HUANG , 1, 2 ,
  • Yin HE 1, 2 ,
  • Liujie PAN 2, 3 ,
  • Zipeng DONG 2, 4 ,
  • Hui LIU 2, 3 ,
  • Huibo HE 1, 2 ,
  • DANGRui 1, 2 ,
  • Qi REN 2, 5
Expand
  • 1. Shaanxi Meteorological Information Center,Xi’an 710014,Shaanxi,China
  • 2. Key Laboratory of Eco-Environmental and Meteorology for the Qinling Mountains and Loess Plateau,Xi’an 710014,Shaanxi,China
  • 3. Meteorological Observatory of Shaanxi Province,Xi’an 710014,Shaanxi,China
  • 4. Meteorological Institute of Shaanxi,Xi’an 710014,Shaanxi,China
  • 5. Meteorological Observatory of Yulin,Yulin 790000,Shaanxi,China

Received date: 2024-02-01

  Revised date: 2024-08-09

  Online published: 2024-09-19

Copyright

© Editorial Department of Plateau Meteorology (CC BY-NC-ND)

Abstract

Based on daily observations from ground-level stations and daily NCEP/NCAR reanalysis dataset, the circulation anomalies of the winter persistent regional haze events for the years 1980 -2021 in Guanzhong region of Shaanxi and their precursor signal are analyzed.The winter persistent regional haze events in Guanzhong region is found to be closely connected with a pronounced atmospheric teleconnection pattern from the North Atlantic to Euraisa.A positive North Atlantic Osciilation (NAO+) phase and a positive East Atlantic/West Russia(EA/WR+) phase are observed as important part of this teleconnection pattern, the NAO+ pattern act as the origin of the atmospheric transmission.Approximately 75% of the NAO positive phase days from 15 to 5 days before the occurrence of persistent regional haze events are greater than 5 days, with a daily NAO index greater than or close to 0 and an average intensity greater than 0.There is a clear EATL/WRUS+ pattern in the Eurasian continent at 500 hPa three days prior to and after the occurrence day of persistent regional haze events in Guanzhong during winter.On the 1ST to 6th day, a clear positive geopotential height anomaly extends from Northeast China to the Sea of Japan at 850 hPa, which reflects the positive anomaly pressure gradient from the Korean Peninsula to central China accompanied with stronger southeast wind in Guanzhong.The stronger southeast wind anomaly intensifies the convergence in Guanzhong region and Southern Shaanxi, and transport the aerosol from central and eastern China to Shaanxi Province.

Cite this article

Xin HUANG , Yin HE , Liujie PAN , Zipeng DONG , Hui LIU , Huibo HE , DANGRui , Qi REN . The Circulation Anomalies of the Winter Persistent Regional Haze Events in Shaanxi Province and Their Precursor Signal[J]. Plateau Meteorology, 2025 , 44(5) : 1223 -1233 . DOI: 10.7522/j.issn.1000-0534.2024.00087

1 引言

霾天气经常表现为区域性和持续性, 长时间的区域性霾天气危害更大, 不利于民生和环境生态保护。根据中国气象局2021年和2022年大气环境气象公报, 气象条件会对大气污染扩散造成明显的影响, 陕西关中地区为全国霾污染严重区域, 并且会出现持续性区域性霾天气过程。不仅关中地区, 陕北和陕南也会有持续性霾天气过程出现。
对于中国区域性以及持续性霾天气的研究, 得出了一些有意义的结论(Chen and Wang, 2015Bei et al, 2016Wu et al, 2017Ding et al, 2017石春娥等, 2018Wei et al, 2020刘慧等, 2022任鑫冰等, 2024)。华北区域性霾日出现时, 东亚地区为明显的位势高度正异常区域, 低层南风异常减弱了近地面风速, 不利于大气污染物的扩散(Chen and Wang, 2015)。1980 -2013年京津冀持续性区域性霾事件的大尺度环流特征为纬向西风气流型和高压脊型, 中层大气的下沉作用有利于京津冀持续性区域性霾事件的产生(Wu et al, 2017Ding et al, 2017)。1981 -2015年华北地区出现持续性区域性霾事件时, 低层925 hPa华北地区东南侧为高压控制, 高压西部的西南气流会对华北的持续性区域性霾事件造成明显影响(孟亚楠等, 2019)。蔡雯悦(2021)得出欧亚大陆大气环流会对京津冀持续性区域性重污染天气过程造成明显的影响, 62.5%持续性重污染天气会出现欧亚大陆大气环流阻塞高压系统, 东北亚地区存在阻塞高压。上述研究得出霾天气出现与大气环流形势密切相关, 东亚地区阻塞高压会对华北区域霾天气的出现造成明显影响。2013-2015 年冬季影响关中区域霾天气出现与否的中国区域的大气环流形势主要为六类, 天气形势为影响关中地区大气污染的主要因素之一, 冬季有利天气形势的天数变化趋势可以基本解释同期PM2.5浓度的演变趋势(Bei et al, 2016李晓配等, 2017)。Wei et al (2020)选取了关中部分持续性区域性霾事件进行了关中局地大气环流的分析, 得出关中局地盛行东风和南风时有利于关中持续性区域性霾的出现。上述对陕西关中持续性区域性霾事件研究局限于几次个例分析, 或者主要针对区域性霾日, 然而持续性区域性霾事件的危害更大, 欧亚大陆大气环流演变的逐日分析对于天气系统以及持续性区域性霾事件的预报有重要意义(黄鑫等, 2016马双梅等, 2021Li et al, 2021徐彬羽等, 2023), 因此对陕西关中持续性区域性霾天气出现时的逐日大气环流异常进行分析, 以及探索前期(延伸期之内10~30天)的欧亚大陆大气环流型及前兆信号, 有重要价值和意义。
北大西洋涛动, 西太平洋遥相关型, 欧亚遥相关型以及东大西洋/西俄罗斯遥相关型, 均能够直接或者间接影响华北地区的反气旋异常进而导致华北平原冬季霾天气的出现(Yin and Wang, 2017Yin et al, 2017Chen et al, 2019 Wang et al, 2020Li et al, 2021)。冬季北大西洋地区大气环流的主导模态是北大西洋涛动(NAO), 主要体现为亚述尔群岛和冰岛之间大气气压变化的大尺度跷跷板结构(Wallace and Gutzler, 1981)。东大西洋/西俄罗斯遥相关型(East Atlantic/West Russia, EATL/WRUS)主要表现为欧洲地区和华北的正位势高度异常, 北大西洋中部和里海北部的负位势高度异常(Barnston and Livezey, 1987)。EATL/WRUS遥相关会通过调控欧亚大陆位势高度纬向波列进而对中国天气气候造成明显的影响(索朗塔杰等, 2020Chen et al, 2020李忠贤等, 2023)。Chen et al (2019)得出冬季EATL/WRUS遥相关型会造成东北亚地区位势高度正异常, 导致冬季华北低层出现明显南风异常, 地面风速降低, 为华北冬季霾天气的出现提供了有利的气象条件。Li et al (2021)得出北京冬季持续性区域性霾事件出现前10天欧洲大陆会出现 WNAO(西部型-北大西洋涛动)正位相遥相关型, 伴随波作用通量向下游辐散, 霾事件出现前6天在俄罗斯西部出现气旋性异常, 随着时间推移向乌拉尔山东侧发展, 并且在前3天欧亚大陆体现为EATL/WRUS遥相关型, 持续性霾事件出现前3天至第3天中国东北存在反气旋异常, WNAO正位相遥相关可以增加北京持续性区域性霾事件的出现频次。冬季NAO与陕西省冬季霾日数存在正相关关系, 以斯堪的纳维亚半岛正异常中心, 乌拉尔山东部位势高度负异常和东亚地区正异常所组成的正位相斯堪的纳维亚型是关中区域性霾日对应的主要大气背景环流模态(黄鑫等, 20212023)。那么关中及陕西冬季持续性区域性事件出现前欧亚大陆会不会存在NAO和EATL/WRUS遥相关型等前兆信号?这个问题值得关注。
延伸期(11~30天)预报是气象预报的难点, 预测延伸期时段内的过程以及事件, 更贴近预报服务需求(陈伯民等, 2023), 基于此, 本文将重点分析陕西省冬季1980 -2021年以来历次持续性区域性霾事件出现前15天至出现时对应的逐日大尺度大气环流演变, 分析NAO及EATL/WRUS遥相关型与陕西省持续性区域性霾事件的联系, 探寻7~15天时间尺度范围内易导致陕西省持续性区域性霾事件出现的大气环流前兆信号, 为提升陕西省及汾渭平原未来14天污染天气过程预报准确率提供一定科学依据。

2 资料来源与方法介绍

2.1 资料来源

(1)陕西省地面100个气象观测站的逐日地面观测资料(地面水平能见度、 相对湿度、 天气现象等记录); (2)NCEP/NCAR全球再分析逐日高度场、 风场等资料, 水平分辨率2.5°×2.5°; (3)美国国家海洋和大气管理局(NOAA)气候预报中心的逐日北大西洋涛动(NAO)指数。上述资料时间跨度均为1980年12月至2022年2月。
文中使用的地图是基于中华人民共和国自然资源部地图技术审查中心标准地图服务下载系统的审图号为GS(2019)1822号的中国地图制作, 底图无修改。

2.2 方法介绍

基于能见度、 相对湿度和天气现象记录等重建陕西省霾日, 对于霾日、 区域性霾日和持续性区域性霾事件的定义以及陕西省各子区划分(图1)可以参考黄鑫等(2023)的文献。
图1 陕西省地形图和气象站点分布

蓝色点代表气象站点

Fig.1 Topographic map and distribution of meteorological stations in Shaanxi Province.Blue dots represent meteorological stations

采用波作用通量(T-N通量)来描述准定常Rossby波的能量频散特征(Takaya and Nakamura, 1997, 2001)。该通量(W)在WKB假设下与波的位相无关, 对数压力坐标系下表示为:
W = p 2000 | U | { [ u ( v ' 2 - ψ ' v ' x ) + v ( - u ' v ' + ψ ' u ' x ) ] i + [ u ( - u ' v ' + ψ ' u ' x ) + v ( u ' 2 + ψ ' u ' y ) ] j + f 0 R a N 2 H 0 [ u ( v ' T ' - ψ ' T ' x ) + v ( - u ' T ' - ψ ' T ' y ) ] k }
式中: p为气压(单位: hPa); U=(uv)为基本流场; ψ表示准地转扰动流函数; Ra为干气体常数; N 2为Brunt-Väisälä频率; H 0 为标高; T为温度; i j k 分别为纬向、 经向、 垂直地表方向的单位矢量。计算中, 以1980 -2021年42年冬季气候平均场作为基本流场。以每一次持续性区域性霾事件的逐日气象场减去其逐日气候平均值, 得到式(1)中的准地转扰动。
本文主要方法还包括合成分析及t检验。冬季为12月至次年2月。

3 区域性霾日年际变化

陕西省平均每年冬季出现区域性霾日约为22天(图2)。2019 -2021年冬季, 关中出现区域性霾日28天、 15天、 28天, 陕南出现区域性霾日10天、 4天、 3天, 陕北出现区域性霾日为10天、 3天、 10天。2019 -2021年冬季关中出现持续性区域性霾事件分别为5次、 2次、 3次。陕南在2019年出现1次持续性区域性霾事件。陕北在2021年冬季出现2次持续性区域性霾事件。2019年冬季之后的具体持续性区域性霾事件出现时期见表1, 陕北2次持续性区域性霾事件出现时, 关中也会出现持续性区域性霾事件, 陕南持续性区域性霾事件出现2天后关中也出现了持续性区域性霾事件。1980 -2018年陕西省冬季持续性区域性霾事件个例参考文献(黄鑫等, 2023), 关中、 陕南、 陕北分别出现持续性霾事件116次、 29次、 1次, 其中陕南出现的23次持续性区域性霾事件日期与关中持续性区域性霾事件日期相重合, 陕北出现持续性区域性霾事件时, 关中也出现了持续性区域性霾事件。
图2 1980 -2021年冬季陕西省各子区区域性霾的年际变化

Fig.2 Variations of annual regional haze day in winter over different sub-region in Shaanxi Province from 1980 to 2021

表1 2019 -2021年冬季陕西省各子区持续性区域性霾事件列表

Table 1 A list of winter persistent regional haze events in each sub-region during 2019 -2021

子区域 序号 开始与结束日期 持续天数/d
关中 1 2019-12-20至2019-12-25 6
2 2020-01-02至 2020-01-04 3
3 2020-01-16至 2020-01-18 3
4 2020-01-22至 2020-01-26 5
5 2020-02-05至 2020-02-07 3
6 2020-12-06至 2020-12-09 4
7 2021-02-10至 2021-02-12 3
8 2022-01-03至 2022-01-09 7
9 2022-01-19至 2022-01-25 7
10 2022-02-10至 2022-02-16 7
陕南 1 2019-12-31至2020-01-04 5
陕北 1 2022-01-05至2022-01-09 5
2 2022-01-20至2022-01-24 5

4 关中冬季持续性区域性霾事件对应的大气背景环流

陕西省霾天气多发区域主要为关中, 以及对陕西省冬季1980 -2018年冬季历次持续性区域性霾事件的确定, 持续性区域性霾事件也主要出现在关中, 并且关中持续性区域性霾事件出现日期与陕北和陕南的持续性区域性霾事件出现日期有重合(黄鑫等, 2023)。为了探讨冬季关中持续性区域性霾事件对应的大气环流前兆信号及持续性区域性霾事件出现时的环流演变, 本文对1980 -2021年冬季126次关中持续性区域性霾事件出现时前15天至出现第6天的逐日位势高度异常和波作用通量进行了合成分析, 将出现前15天记为-15, -1天为持续性区域性霾事件出现前1天, 持续性区域性霾事件出现当天为+1天(图3), 以此类推。可以看出在-15天至-7天北大西洋地区存在明显的NAO正位相遥相关型。-7天至-5天波作用通量由北大西洋涛动异常区域传输至欧洲地区, 欧洲地区也存在波作用通量向下游辐散, -3天至+3天欧亚大陆存在明显的EATL/WRUS遥相关型, +4天至+6天贝加尔湖西北侧的负异常中心逐渐消失, 中心位于朝鲜半岛的正异常中心不断东移。持续性霾事件出现+1至+6天陕西均位于我国东北至日本海地区位势高度场正异常中心西侧, +1天至+4天在贝加尔湖西北侧存在明显的位势高度负异常中心, 反映了西伯利亚至东亚地区主要为纬向环流。从大气环流逐日演变来看, NAO、 EATL/WRUS遥相关型会对关中地区持续性区域性霾事件出现造成明显的影响。在整个过程中NAO正位相似乎是环流演变的起源, EATL/WRUS正位相则类似于从北大西洋涛动地区传输波作用通量至下游中国东北地区反气旋异常的附属模态。这种次序与纬向风异常变化基本一致, 因为纬向风异常变化可以起到波列传播的波导作用(布和朝鲁等, 2008施宁和布和朝鲁, 2015Luo et al, 2018Rudeva and Simmonds, 2021杜一博, 2021)。
图3 冬季关中126次持续性区域性霾事件出现前15天至第6天500 hPa逐日位势高度异常合成场(等值线, 单位: gpm)和波作用通量(矢量, 单位: m2·s-2

深浅阴影表示通过95%和90%的信度检验

Fig.3 Instantaneous fields of the composite daily Z500 anomalies (contours, interval=10; unit: gpm) and horizontal components of wave activity (arrows, units: m2·s-2) from Day -15 to Day 6 for the 126 winter persistent haze events in Guanzhong.The darker (lighter)shading regions indicate statistical significance exceeding the 95%(90%) confidence level

通过计算关中持续性区域性霾事件出现前15天至出现第6天300 hPa纬向风异常合成来解释大尺度环流的演变及查明霾事件出现前的前兆信号是否存在。与NAO和EATL/WRUS遥相关型的演变一致, 在北大西洋地区至东亚地区存在明显的加强或者减弱的纬向风异常(图4)。北大西洋地区负-正-负的纬向风三极子模态代表着NAO环流型, 从格陵兰岛至中国北方地区的纬向风异常表明了EATL/WRUS遥相关型的出现。为了分析纬向风异常的逐日演变, 本文把北大西洋中部纬向风异常, 斯堪的纳维亚半岛和地中海区域纬向风异常之差, 华北地区的纬向风异常作为三个主要预测因子[图4(a)], 将持续性区域性霾事件出现第1天在横坐标中表示为0, 第2天表示为1, 以此类推[图4(b)]。北大西洋中部地区的纬向风异常在-6天达到了最强, -5天之后逐渐出现了下降, 这反映了北大西洋涛动在-15天至-6天为明显的维持和增强期。同时伴随着北大西洋中部显著增强的纬向风, 斯堪的纳维亚半岛和地中海区域纬向风异常之差也明显出现了增强, 在-6天至+4天均明显偏高, 在持续性区域性霾事件出现的第1天达到了最强, 反映了EATL/WRUS遥相关型的出现(图3)。华北地区的纬向风异常从持续性区域性霾事件出现前-5天至+2天不断增强, 在持续性区域性霾事件出现的+2天达到最强, +3天至+5天强度减弱, 反映了华北地区位势高度正异常的增强与减弱。从以上分析可以看出, 3个纬向风异常预测因子很好地反映了持续性区域性霾事件出现的大气环流遥相关次序。
图4 冬季关中126次持续性区域性霾事件出现前15天至第6天300 hPa纬向风异常合成(a, 阴影, 单位: m·s-1)及300 hPa纬向风异常区域A(90°W -20°W, 40°N -60°N)和D(60°E -150°E, 40°N -60°N)平均以及B(20°W -30°E, 60°N -80°N)和C(10°W -40°E, 35°N -55°N)的平均差值时间序列(b)

深浅阴影表示通过95%和90%的信度检验

Fig.4 Composite 300 hPa zonal wind anomalies between Day-15 and Day 6 for the 126 winter persistent haze events in Guanzhong (a, the shaded, unit: m·s-1), and composite daily time series of region-averaged 300 hPa zonal wind anomalies in region A(90°W -20°W, 40°N -60°N) and in region D (60°E -150°E, 40°N -60°N) and the difference in region-averaged zonal wind anomalies between region B (20°W -30°E, 60°N -80°N) and regions C (10°W -40°E, 35°N -55°N) (b).The darker (lighter) shading regions indicate statistical significance exceeding the 95% (90%) confidence level

同时上述分析证明了关中地区持续性区域性霾事件与NAO以及EATL/WRUS遥相关型存在明显的联系, 虽然上述遥相关型都会对持续性区域性霾事件的出现造成明显的影响, 然而NAO为持续性区域性霾事件大气环流演变过程中的起始环流模态, 并且其向下游频散的波作用通量对持续性区域性霾事件的出现造成了明显的影响。因此本文将分析关中持续性区域性霾事件出现前15天至出现前5天NAO的活动情况, 进而分析持续性区域性霾事件与前期NAO的联系。
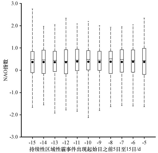
Li et al (2021)得出WNAO正位相遥相关型可以增加北京持续性区域性霾事件出现的频次。研究指出NAO与EATL/WRUS存在明显的联系, 会对欧亚大陆冬季的大气环流造成明显的影响(Lim, 2015Luo et al, 2016)。为了分析关中持续性区域性霾事件出现前NAO的异常分布, 本文分析了关中冬季126次持续性区域性霾事件出现前15天至前5天的NAO指数分布(图5), 前15天至前5天NAO指数每天平均值均在0.36~0.39之间, 中位数均在0.4~0.51之间, 下四分位数在-0.19~0.01之间, 上四分位数在0.8~0.94之间, 最小值在-2.13至-1.56之间, 最大值在1.95~2.75之间。关中冬季126次持续性区域性霾事件出现前15天至前5天, 每天约为75%的概率NAO指数大于或者接近0(大于-0.19)。持续性区域性霾事件前15至前5天共11天的平均NAO强度为0.37, 最小值为-1.11, 下四分位数为0.03, 中位数为0.44, 上四分位数为0.84, 最大值为1.37(图略), 31次平均NAO指数小于0。126次持续性区域性霾事件出现前15天至前5天共11天的NAO指数正位相的天数上四分位数为11天, 中位数为9天, 下四分位数为6天, 最小值为0天, 有31次持续性区域性霾事件对应的前期NAO正位相天数小于6天(图略)。综上, 持续性区域性霾事件在正负位相NAO事件之后均可以出现, 相比于负位相NAO事件, 关中持续性区域性霾事件出现前15天至前5天正位相NAO事件更多。持续性区域性霾事件前15天至前5天, 从NAO平均强度来看, 31次平均NAO指数小于0, 近75%持续性区域性霾事件前15天至前5天NAO平均强度大于0。从NAO位相分布天数来看, 将近75%持续性区域性霾事件前15天至前5天NAO正位相天数大于5天。从每天的NAO指数分布情况来看, 约为75%的概率NAO指数大于或者接近0(大于-0.19)。
图5 关中冬季126次持续性区域性霾事件前15天至前5天的NAO指数分布

矩形内圆点是均值, 横线是中位值, 上下线端是最大值和最小值, 上下边分别是第(75%)和第(25%)四分位置

Fig.5 Statistics of daily NAO index from day -15 to day -5 for the 126 winter persistent haze events in Guanzhong.Within the rectangle, the dots represent the mean, the horizontal line represent the median, the upper and lower lines represent the maximum and minimum values, and the upper and lower edges represent the (75%) and (25%) quartile positions, respectively

相较于NAO, 正位相EATL/WRUS会对持续性区域性霾事件的出现造成直接影响。从关中持续性区域性霾事件出现第1~6天的大气欧亚大陆大气环流逐日演变来看(图6), 持续性区域性霾事件出现的第1~3天欧亚大陆存在明显的正位相EATL/WRUS遥相关型。第1~3天500 hPa乌拉尔山东侧为明显的低压槽区, 中国东北至日本海地区为明显的高压脊区, 同时低层850 hPa在上述地区存在明显的负异常中心, 第1天乌拉尔山850 hPa位势高度负异常中心低于-60 gpm, 中国东北至日本海地区位势高度正异常大于40 gpm, 存在日本海至中国中部地区的气压梯度力正异常, 反映了西伯利亚冷空气活动的减弱。在上述大气环流异常分布的情况下, 持续性区域性霾事件出现第1~3天低层925 hPa存在以朝鲜半岛至日本海为中心的反气旋环流异常(图7), 中国中部处于反气旋环流的西南侧, 在关中区域体现为东南风异常, 风速几乎均小于3 m·s-1, 在整个关中和陕南区域存在小于-0.2×10-5 s-1甚至小于-0.3×10-5 s-1的辐合区域, 有利于大气污染物在关中的积累(黄鑫等, 201920212023)。平均风场显示关中地区为明显的偏东风区域(图略), 关中区域平均散度几乎均小于-0.4×10-5 s-1。持续性区域性霾事件出现第4天至第6天, 乌拉尔山以东槽区减弱, 中国大部分地区受弱脊影响, 日本海850 hPa依然存在明显的位势高度正异常中心, 存在朝鲜半岛至我国中部地区的气压梯度力正异常, 低层925 hPa关中区域为明显的偏东风异常, 关中地区存在明显小于-0.2×10-5 s-1的辐合区域, 925 hPa平均风场关中和陕南区域基本为东风, 风速小于4 m·s-1, 有利于大气污染物在关中的积累。
图6 关中冬季126次持续性区域性霾事件第1~6天500 hPa位势高度(等值线, 单位: gpm)及850 hPa距平(彩色区, 单位: gpm)合成

打点区域表示通过90%的信度检验

Fig.6 Instantaneous fields of the composite daily Z500 (contour, interval=10; unit: gpm) and the anomalies (color area, unit: gpm) at 850 hPa from day 1 to day 6 for the 126 winter persistent haze events in Guanzhong.The dots regions indicate statistical significance exceeding the 90% confidence level

图7 关中冬季126次持续性区域性霾事件第1~6天925 hPa风场异常合成(矢量, 单位: m·s-1

打点区域表示通过了95%的信度检验; 灰色区域表示海拔大于850 m

Fig.7 Instantaneous fields of the composite horizontal 925 hPa wind anomaly from day 1 to day 6 for the 126 winter persistent haze events in Guanzhong (vector, unit: m·s-1).The dots regions indicate statistical significance exceeding the 95% confidence level.The grey area covers the region with altitude greater than 850 m

5 结论

利用站点资料和再分析资料, 对2019 -2021年冬季陕西省(陕北, 关中, 陕南)的持续性区域性霾事件进行了确定, 分析了1980 -2021年关中冬季持续性区域性霾事件对应的大气环流前兆信号及逐日环流异常, 主要结论如下:
(1) 2019 -2021年冬季关中出现持续性区域性霾事件分别为5次、 2次、 3次。关中持续性区域性霾事件出现的环流异常演变对应为北大西洋地区向中国东北传输的大气环流波列, NAO正位相为环流演变的起始模态, 正位相的北大西洋涛动(NAO+)和正位相的东大西洋/西俄罗斯(EATL/WRUS+)是与持续性区域性霾事件联系的重要遥相关型的一部分。
(2) 从与大气环流以及与其相联系的逐日纬向风变化情况来看, 持续性区域性霾事件出现前15天至前6天为明显的正位相NAO维持和增强期。约为75%持续性区域性霾事件出现前15至前5天的NAO正位相天数大于5天, 每天NAO指数大于或者接近0, 平均强度大于0。
(3) 关中持续性区域性霾事件出现前3天至出现后第3天500 hPa欧亚大陆存在明显正位相EATL/WRUS遥相关型分布, 霾事件第1~6天850 hPa中国东北至日本海为明显的位势高度正异常, 反映了低层朝鲜半岛至中国中部地区气压梯度正异常, 关中地区近地面存在东南风异常, 增强了关中及其以南地区大气辐合, 并且有利于将我国中东部地区气溶胶输送到陕西。
本文得出NAO正位相为持续性区域性霾事件出现前期的环流异常型起始模态, 然而直接影响关中冬季持续性区域性霾事件出现与否的背景环流为EATL/WRUS正位相模态, 因此未来对于NAO与EATL/WRUS的联系值得未来进一步研究。持续时间大于7天的持续性区域性霾事件危害更大(穆泉和张世秋, 2013), 未来有必要对持续时间大于7天的持续性区域性霾事件进行分析研究, 探讨其前兆信号及环流演变, 并且分析持续性区域性霾事件与非持续性霾的环流差异。从气候变化的角度上来讲, 西北地区暖湿化也会通过影响冬季气溶胶吸湿性增长等对陕西霾污染的变化造成影响, 未来也值得进一步研究(张强等, 2023)。
Barnston A G Livezey R E1987.Classification, seasonality and persistence of low-frequency atmospheric circulation patterns[J].Monthly Weather Review, 115: 1083-1126.

Bei N F Li G H Huang R J, et al, 2016.Typical synoptic situations and their impacts on the wintertime air pollution in the Guanzhong basin, China[J].Atmospheric Chemistry and Physics16(11): 7373-7387.

Chen H P Wang H J2015.Haze days in north China and the associated atmospheric circulations based on daily visibility data from 1960 to 2012[J].Journal of Geophysical Research Atmospheres120(12): 5895-5909.

Chen S F Guo J P Song L Y, et al, 2019.Temporal disparity of the atmospheric systems contributing to interannual variation of wintertime haze pollution in the North China Plain[J].International Journal of Climatology40(1): 128-144.DOI: 10.1002/joc. 6198 .

Chen S F Guo J P Song L Y, et al, 2020.Intra-seasonal differences in the atmospheric systems contributing to interannual variations of autumn haze pollution in the North China Plain[J].Theoretical Applied Climatology, 141: 389-403.DOI: 10.1007/s00704-020-03221-4 .

Ding Y H Wu P Liu Y J, et al, 2017.Environmental and dynamic conditions for the occurrence of persistent haze events in North China[J].Engineering23(2): 266-271.

Li M Y Yao Y Simmonds I, et al, 2021.Linkages between the atmospheric transmission originating from the North Atlantic Oscillation and persistent winter haze over Beijing[J].Atmospheric Chemistry and Physics21(24): 18573-18588.

Lim Y K2015.The East Atlantic/West Russia(EA/WR)teleconnection in the North Atlantic: climate impact and relation to Rossby wave propagation[J].Climate Dynamics44(11/12): 3211-3222.

Luo D H Xiao Y Q Diao Y N, et al, 2016.Impact of Ural Blocking on winter warm Arctic-Cold Eurasian Anomalies.Part II: the link to the North Atlantic Oscillation[J].Journal of Climate29(11): 160314154953007.

Luo D H Chen X D Feldstein S B2018.Linear and nonlinear dynamics of North Atlantic Oscillations: a new thinking of symmetry breaking[J].Journal of the Atmospheric Sciences, 75: 1955-1977.

Rudeva I Simmonds I2021.Midlatitude winter extreme temperature events and connections with anomalies in the Arctic and tropics[J], Journal of Climate, 34: 3733-3749.

Takaya K Hisashi N1997.A formulation of a wave‐activity flux for stationary Rossby waves on a zonally varying basic flow[J].Geophysical Research Letters24 (23): 2985-2988.

Takaya K Nakamura H2001.A formulation of a phase-independent wave-activity flux for stationary and migratory quasigeostrophic eddies on a zonally varying basic flow[J].Journal of Atmospheric Sciences58 (6): 608-627.

Wallace J M Gutzler D S1981.Teleconnections in the Geopotential Height Field during the Northern Hemisphere Winter[J].Monthly Weather Review109(4): 784-812.

Wang J Liu Y J Ding Y H, et al, 2020.Impacts of climate anomalies on the interannual and interdecadal variability of autumn and winter haze in North China: A review[J].International Journal of Climatology40(10): 4309-4325.DOI: 10.1002/joc.6471 .

Wei N Wang N L Huang X, et al, 2020.The effects of terrain and atmospheric dynamics on cold season heavy haze in the Guanzhong Basin of China[J].Atmospheric Pollution Research11(10): 1805-1819.

Wu P Ding Y H Liu Y J2017.Atmospheric circulation and dynamic mechanism for persistent haze events in the Beijing-Tianjin-Hebei region[J].Advances in Atmospheric Sciences34(4): 429-440.

Yin Z C Wang H J Chen H P2017.Understanding severe winter haze events in the North China Plain in 2014: roles of climate anomalies[J].Atmospheric Chemistry and Physics, 17: 1641-1651.

Yin Z C Wang H J2017.Role of atmospheric circulations in haze pollution in December 2016[J].Atmospheric Chemistry and Physics, 17: 11673-11681.

布和朝鲁, 纪立人, 施宁, 2008.2008年初我国南方雨雪低温天气的中期过程分析Ⅰ: 亚非副热带急流低频波[J].气候与环境研究13(4): 419-433.

Bueh C Ji L R Shi N2008.On the medium-range process of the rainy snowy and cold weather of South China in early 2008 Part I: low-frequency waves embedded in the Asian-African Subtropical Jet[J].Climatic and Environmental Research13(4): 419-433.

蔡雯悦, 2021.对流层“阻塞”结构对京津冀冬季持续性重污染天气的影响[D].南京: 南京信息工程大学.Cai W Y, 2021.Impact of "blocking" structure in the troposphere on the wintertime persistent heavy air pollution in the Jing-Jin-Ji region [D].Nanjing: Nanjing University of Information and Technology.

陈伯民, 周坤, 信飞, 等, 2023.与数值模式预报结合的冬季延伸期强降温过程预测方法及业务化应用[J].高原气象42 (2): 495-505.

Chen B M Zhou K Xin F, et al, 2023.A predicting method of the strong cooling process during winter with numerical model prediction and its operational application[J].Plateau Meteorology42(2): 495-505.

杜一博, 2021.中国北方夏季干旱的变化对春季巴伦支海海冰消融的响应及机理[D].南京: 南京信息工程大学.Du Y B, 2021.Response and mechanism of summer droughts in northern China to Barents Sea ice melt in spring[D].Nanjing: Nanjing University of Information and Technology.

黄鑫, 董自鹏, 刘慧敏, 等, 2023.陕西省冬季区域性霾污染特征及其典型年环流差异[J].环境科学学报43(4): 79-92.

Huang X Dong Z P Liu H M, et al, 2023.The characteristics of winter regional haze in Shaanxi Province and typical years′ anomaly circulations[J].Acta Scientiae Circumstantiate43(4): 79-92.

黄鑫, 布和朝鲁, 谢作威, 等, 2016.春季影响中国北方地区的蒙古气旋及其背景环流[J].大气科学40(3): 489-503.

Huang X Bueh C Xie Z W, et al, 2016.Mongolian cyclones that influence the northern part of China in spring and their associated low-frequency background circulations[J].Chinese Journal of Atmospheric Sciences40(3): 489-503.DOI: 10.3878/j.issn.1006-9895.1505.14348 .

黄鑫, 巩远发, 张雅斌, 等, 2021.陕西省冬季霾天气的背景环流与欧亚大陆积雪深度的联系[J].高原气象40(4): 943-953.DOI: 10.7522/j.issn.1000-0534.2020.00081.Huang X

Gong Y F Zhang Y B, et al, 2021.Relationship between the associated background circulations of the winter haze days in Shaanxi Province and the snow depth in Eurasia[J].Plateau Meteorology40(4): 943-953.DOI: 10.7522/j.issn.1000-0534.2020.00081 .

黄鑫, 李亚丽, 王靖中, 等, 2019.1980~2016年陕西省冬季霾日数时空变化及增多成因初探[J].中国环境科学39(9): 3671-3681.

Huang X Li Y L Wang J Z, et al, 2019.The spatial-temporal variations of haze in Shaanxi Province from 1980 to 2016 and the initial exploration of the increase[J].China Environmental Science39(9): 3671-3681.

李晓配, 贝耐芳, 赵琳娜, 2017.气象条件对2013-2015年冬季关中地区空气质量的影响[J].地球环境学报8(6): 516-523.

Li X P, Bei N F, Zhao L N, 2017.Influence of meteorological conditions on the wintertime air quality in the Guanzhong basin during 2013 to 2015[J].Journal of Earth Environment8(6): 516-523.

李忠贤, 黄源源, 王健治, 2023.春季东大西洋/西俄罗斯遥相关型异常与我国气温异常的联系[J].大气科学学报46(6): 876-883.

Li Z X Huang Y Y Wang J Z2023.Variation characteristics of spring East Atlantic/West Russia teleconnection pattern and its relationship with temperature anomalies in China[J].Transactions of Atmospheric Science46(6): 876-883.

刘慧, 张煦庭, 黄鑫, 等, 2022.影响汾渭平原地区空气污染的地面环流形势及PM2.5浓度预报研究[J].高原气象41(6): 1583-1598.

Liu H Zhang X T Huang X, et al, 2022.The impact of surface synoptic circulation types on air quality and the PM2.5 concentration forecast in Fen-Wei Plains[J].Plateau Meteorology41(6): 1583-1598.

马双梅, 祝从文, 刘伯奇, 2021.2019年4~6 月云南持续性高温天气的大气环流异常成因[J].大气科学45(1): 165-180.DOI: 10.3878/j.issn.1006-9895.2004.19226.Ma S M

Zhu C W Liu B Q2021.Possible causes of persistently extreme-hot-days-related circulation anomalies in Yunnan from April to June 2019 [J].Chinese Journal of Atmospheric Sciences45(1): 165-180.DOI: 10.3878/j.issn.1006-9895.2004.19226 .

孟亚楠, 孙建华, 卫捷, 等, 2019.1981-2015年华北地区持续霾事件的特征及环流分类研究[J].气候与环境研究24(3): 341-358.

Meng Y N Sun J H Wei J, et al, 2019.Characteristics and circulation classification of persistent haze events in North China during 1981-2015[J].Climatic and Environmental Research24(3): 341-358.

穆泉, 张世秋, 2013.2013 年 1 月中国大面积雾霾事件直接社会经济损失评估[J].中国环境科学33(11): 2087-2094.

Mu Q Zhang S Q2013.An evaluation of the economic loss due to the heavy haze during January 2013 in China[J].China Environmental Science33(11): 2087-2094.

任鑫冰, 杨显玉, 文军, 等, 2024.2016年冬季四川盆地一次重度灰霾事件形成机制研究[J].高原气象43(3): 775-789.DOI: 10.7522/j.issn.1000-0534.2023.00082.Ren X B

Yang X Y Wen J, et al, 2024.Formation and evolution mechanisms of a severe haze event in the Sichuan Basin in winter 2016[J].Plateau Meteorology43(3): 775-789.DOI: 10.7522/j.issn.1000-0534.2023.00082 .

施宁, 布和朝鲁, 2015.中国大范围持续性极端低温事件的一类平流层前兆信号[J].大气科学39(1): 210-220.

Shi N Bueh C2015.A specific stratospheric precursory signal for the extensive and persistent extreme cold events in China[J].Chinese Journal of Atmospheric Sciences39(1): 210-220.

石春娥, 张 浩, 杨元建, 等, 2018.安徽省持续性区域霾污染的时空分布特征[J].中国环境科学38(4): 1231-1242.

Shi C E Zhang H Yang Y J, et al, 2018.The trend of persistent regional haze in Anhui Province and corresponding characteristics of aerosol pollution[J].China Environmental Science38(4): 1231-1242.

索朗塔杰, 施宁, 王艺橙, 等, 2020.我国冬季极端低温指数的年代际变化特征[J].大气科学44(5): 1125-1140.DOI: 10.3878/j.issn.1006-9895.2003.19242.Suolang T

Shi N Wang Y C, et al, 2020.Interdecadal variation characteristics of extreme low temperature index in Winter in China[J].Chinese Journal of Atmospheric Sciences44(5): 1125-1140.DOI: 10.3878/j.issn.1006-9895.2003.19242 .

徐彬羽, 姚素香, 孙庆飞, 2023.冬季乌拉尔山阻塞高压建立和维持与位势高度季节内振荡的联系[J].高原气象42(6): 1548-1561.DOI: 10.7522/j.issn.1000-0534.2023.00006.Xu B Y

Yao S X Sun Q F2023.The Connections between the establishment and maintenance of Ural Blockings in winter and intra-seasonal oscillation of geopotential height[J].Plateau Meteorology42(6): 1548-1561.DOI: 10.7522/j.issn.1000-0534.2023.00006 .

张强, 杨金虎, 王朋岭, 等, 2023.西北地区气候暖湿化的研究进展与展望[J].科学通报, 68: 1814-1828.DOI: 10.1360/TB-2022-0643.Zhang Q

Yang J H Wang P L, et al, 2023.Progress and prospect on climate warming and humidification in Northwest China[J].Chinese Science Bulletin, 68: 1814-1828, DOI: 10.1360/TB-2022-0643 .

Outlines

/