Assessing the Performance of Development of Scintillometers under Different Environmental Conditions

  • Mengyue OUYANG ,
  • Ziwei XU ,
  • Shaomin LIU
Expand
  • State Key Laboratory of Earth Surface Processes and Hozards Risk Governance,Faculty of Geographical Science,Beijing Normal University,Beijing 100875,China

Received date: 2024-08-27

  Revised date: 2025-01-23

  Online published: 2025-08-04

Copyright

© Editorial Department of Plateau Meteorology (CC BY-NC-ND)

Abstract

Based on field observation data from the A'rou and Daman stations in the Heihe River Basin between 2016 and 2022, this study analyzes the technical performance of domestically developed near-infrared scintillometers (LAS) and dual-band scintillometers (OMS) from three aspects: raw data quality, performance (including measurement accuracy, stability, and environmental adaptability), and the rationality of long-term observed changes in water and heat flux.The goal is to support the enhancement of the equipment's performance and facilitate the industrialization of domestically developed devices.The results show that: (1) In the inertial subrange, the slope of the power spectrum of raw high-frequency data from the developed LAS and microwave scintillometer (MWS) is consistent with the theoretical value, indicating good raw data quality; (2) Compared to similar foreign devices, the root mean square error (RMSE) of sensible heat flux observed by the developed LAS at the A'rou and Daman stations is 8.81 W·m-2 and 12.61 W·m-2, respectively, with average relative errors of 12.5% and 12.51%.Using the German OMS and the American EC systems as references, the RMSE of latent heat flux observed by the developed OMS is 16.24 W·m-2 and 24.82 W·m-2, with average relative errors of 13.21% and 12.07%, indicating good measurement accuracy of the developed scintillometers.Additionally, the analysis of multi-year observation results shows that the developed scintillometers exhibit good stability and can operate normally under extreme environmental conditions such as high altitude, high temperature, high humidity, low temperature, and low humidity, demonstrating excellent environmental adaptability; (3) Under relatively homogeneous surface conditions, the sensible and latent heat fluxes obtained by the developed scintillometers show good consistency with those measured by eddy covariance systems, and the seasonal variation patterns of the observed fluxes are generally consistent.These results indicate that the developed scintillometers have strong performance and are capable of conducting long-term surface water and heat flux observations under diverse field conditions.

Cite this article

Mengyue OUYANG , Ziwei XU , Shaomin LIU . Assessing the Performance of Development of Scintillometers under Different Environmental Conditions[J]. Plateau Meteorology, 2025 , 44(4) : 1109 -1122 . DOI: 10.7522/j.issn.1000-0534.2025.00017

1 引言

地表水热通量是地气交换过程中的重要参数之一, 反映了不同下垫面与大气间的相互作用情况。关注地表水热通量的变化有助于更好地了解地球与大气之间的水热交换过程, 开展天气与气候预报、 水资源管理以及生态环境保护等相关研究(雷润芝等, 2023席振华等, 2023)。近些年来, 地表水热通量观测的研究热点逐渐从点、 斑块到区域、 全球尺度, 闪烁仪是直接获取大尺度水热通量的主要手段(刘绍民等, 2010王介民, 2021), 被广泛用于地表水热通量观测实验中。
闪烁仪由发射端和接收端组成。发射端发出一定波长、 光强的波束, 在大气中传播时, 大气中的温度、 湿度和气压波动引起大气折射系数的波动进而导致波束的无规则折射(吸收), 光强会发生脉动, 这就是所谓的“闪烁”。接收端观测到光径路线上大气波动影响的发射波束光强, 通过计算光强方差, 进而得到大气折射指数的结构参数 C n 2, 可表征大气的湍流强度。基于观测的大气折射指数的结构参数, 结合气象要素观测数据, 根据莫宁-奥布霍夫相似理论, 估算出感热通量和潜热通量(郭伟等, 2013王介民, 2021)。闪烁仪主要是基于光闪烁的原理对湍流运动过程中的水热通量进行观测, 得益于空间尺度大的优势, 其测量范围为500 m到数公里, 最大甚至可对10 km的水热通量进行测量, 极大地弥补了其他观测方法在地表水热通量观测中的空间代表性不足问题(McAneney et al, 1995; 卢俐等, 2005Jia et al, 2012)。目前, 闪烁仪主要包括近红外闪烁仪、 微波闪烁仪以及由近红外闪烁仪和微波闪烁仪组成的双波段闪烁仪等。
20世纪90年代开始, 发展较为成熟的近红外闪烁仪率先被应用于全球不同类型下垫面的大尺度地表水热通量观测试验中(Liu et al, 2018), 并在区域通量研究、 大气模式研究、 遥感产品真实性检验上有着广泛应用(Meijninger et al, 2000Hoedjes et al, 2002Beyrich et al, 2002Liu et al, 2016)。然而, 近红外闪烁仪仅发射对温度敏感的近红外波段光束, 因此只能获取感热通量, 潜热通量需要根据能量平衡方程余项法计算得到(Liu et al, 2013Li et al, 2017)。近年来, 发射主要对湿度敏感的微波波段光束的微波闪烁仪已经较为成熟, 其与近红外闪烁仪结合成的双波段闪烁仪为直接获取大尺度感热和潜热通量提供了可能。在近10余年, 双波段闪烁仪的广泛应用证明其作为公里级尺度观测水热通量方法的有效性(王介民, 2021), 双波段闪烁仪已在森林、 草甸、 农田等多种下垫面上实现公里级尺度地表水热通量的观测(Barraza et al, 2015Isabelle et al, 2020Zhang et al, 2021Zheng et al, 2023Xu et al, 2023)。闪烁仪与涡动相关仪的观测结果在均匀下垫面具有较好的一致性(白洁等, 2010施生锦等, 2010Yee et al, 2015张功, 2019), 不少学者也指出闪烁仪与涡动相关仪观测结果的差异除了观测设备本身的误差外, 主要来源于两类设备空间尺度的不匹配、 闪烁仪计算通量需要依赖相似理论以及其他环境因素(Von Randow et al, 2008Liu et al, 2011Zhao et al, 2018Zheng et al, 2023)。与涡动相关仪相比, 闪烁仪具有更大的空间代表性、 可取更短的平均时间并且可用于复杂下垫面上的观测(王介民, 2021)。
国内已研制出近红外闪烁仪, 并在短期野外实验中取得了较好的效果(李怀香等, 2017)。依托“十三五”国家重点研发计划课题“生态系统水热关键参量监测设备研制”, 在突破多种关键技术基础上成功研制了双波段闪烁仪(李新等, 2016), 目前已在野外站点开展长时间测试。与国外同类产品相比, 我国自主研制的闪烁仪发射及接收装置具有了低功耗、 高信噪比的特点。
为了进一步评估国产闪烁仪的性能, 本研究基于黑河流域上、 中游观测站点(阿柔站、 大满站)架设的研制近红外闪烁仪和双波段闪烁仪获取的第一手观测数据, 从观测精度、 稳定性、 环境适应性等方面对我国自主研制闪烁仪的性能进行分析与评价。

2 观测试验与方法

2.1 研究区域

研究区域位于中国西北部黑河流域, 主要采用黑河流域地表过程综合观测网中的阿柔站和大满站数据。其中, 阿柔站位于黑河流域上游的青海省祁连县阿柔乡(100.464°E, 38.047°N), 海拔3033 m, 年均气温约2.3 ℃, 年降水量约409.8 mm, 下垫面类型主要为高寒草甸, 全年相对平坦均匀(Liu et al, 2018Zheng et al, 2023)。阿柔站安装有研制双波段闪烁仪(近红外闪烁仪RRS460, 北京雨根科技有限公司, 发射波长880 nm; 微波闪烁仪RRWM940, 北京雨根科技有限公司, 发射频率94 GHz, 其他相关参数见表2)和国外双波段闪烁仪(近红外闪烁仪BLS900, 德国SCINTEC公司, 发射波长880 nm; 微波闪烁仪RPG-MWSC-160, 德国RPG公司, 发射频率160.8 GHz), 闪烁仪为东北-西南方向架设, 有效高度13.54 m, 光径路线长2390 m, 中间架设一座28 m塔, 塔上安装了气象要素梯度观测系统、 开路和闭路涡动相关仪、 双波段物候相机等。大满站位于黑河流域中游的甘肃省张掖市的大满灌区(100.372° E, 38.855° N), 海拔1556 m, 年均气温约7.3℃, 年降水量约130.4 mm, 下垫面类型以制种玉米为主, 作物生长旺季相对均匀(Zheng et al, 2023Liu et al, 2023)。大满站架设有研制近红外闪烁仪, 和国外双波段闪烁仪(近红外闪烁仪BLS900, 德国SCINTEC公司; 微波闪烁仪RPG-MWSC-160, 德国RPG公司), 闪烁仪为东北-西南方向安装, 其有效高度为23.92 m, 光径路线长1854 m, 路径中间架设一座40 m塔, 塔上安装了一套气象要素梯度观测系统、 开路和闭路涡动相关仪、 双波段物候相机等(图1表1)。
表1 本文所用地表通量观测设备信息

Table 1 Information of flux observation equipments used in this study

站点 观测设备 型号 产地 高度/距离(m) 时间段
阿柔站 双波段闪烁仪 BLS900, Scintec 德国 有效高度: 13.54 2019年至今
MWSC-160, RPG 光径长度: 2390
RRS460, 雨根公司 中国 有效高度: 13.54
RRMW940, 雨根公司 光径长度: 2390
涡动相关仪 CSAT3&Li7500A 美国 架高: 3.5 2016年至今
CSAT3&EC155 美国 架高: 4.0 2024年6月至今
大满站 双波段闪烁仪 BLS900, Scintec 德国 有效高度: 23.92 2022年至今
MWSC-160, RPG 光径长度: 1854
RRS460, 雨根公司 中国 有效高度: 23.92; 光径长度: 1854
涡动相关仪 CSAT3&Li7500A 美国 架高: 4.5 2012年至今
CSAT3&EC155 美国 架高: 3.5 2019年至今
表2 研制闪烁仪设备参数

Table 2 Developed scintillation meter equipment parameter table

仪器 参数 发射端 接收端
RRS460 近红外闪烁仪 发射波长 880 nm -
发射功率 最大100 mW -
发射方式 连续可调电流 -
发射源 点光源 -
孔径直径 150 mm 150 mm
工作电压 10~15 VDC 10~15 VDC
信号输出 - 数字信号
测量路径 500~5000 m
功耗 最大6 W, 平均3 W 1.8 W
工作温度 -20~50 ℃ -20~50 ℃
工作湿度 0~100%(无冷凝) 0~100%(无冷凝)
尺寸 430 mm×210 mm×300 mm 430 mm×210 mm×300 mm
重量 10.8 kg 10.8 kg
RRMW940微波闪烁仪 发射频率 94 GHz -
发射功率 >25 mW -
天线增益 >50 dB -
温度稳定性 ≤0.03 K ≤0.0 3K
孔径直径 330 mm 330 mm
工作电压 11~13 VDC 11~13 VDC
信号输出 - 模拟信号
测量路径 500~5000 m
功耗

39.6 W(最大)

13 W(平均)

39.6 W(最大)

13 W(平均)

工作温度 -20~50 ℃ -20~50 ℃
工作湿度 0~100%(无冷凝) 0~100%(无冷凝)
尺寸 376 mm×465 mm×456 mm 376 mm×465 mm×456 mm
重量 12.6 kg 12.6 kg
图1 研究区概况

(a)研究区域; (b)大满站; (c)阿柔站; (d)阿柔站的研制闪烁仪发射端; (e)阿柔站的研制闪烁仪接收端

Fig.1 Overview of the study area.(a) schematic of the study area, (b) schematic of Daman station, (c) schematic of A’rou station, (d) transmitter of the developed scintillometer at A’rou station, (e) receiver of the developed scintillometer at A’rou station

2.2 数据处理与质量控制

2.2.1 闪烁仪

近红外闪烁仪通过测量空气折射指数结构参数, 结合气象数据, 基于莫宁-奥布霍夫相似理论(MOST), 从而计算得到区域平均感热通量(Liu and Xu, 2019)。数据处理过程主要包括(图2):
图2 近红外、 双波段闪烁仪观测数据的处理流程

虚线框内为近红外闪烁仪数据处理过程

Fig.2 The processing flow of near-infrared and optical-microwave scintillometers observation datathe dashed box also shows the processing process of near-infrared scintillator data

(1) 质量控制: 剔除 C n 2饱和的数据、 信号强度较小的数据、 降水时刻数据、 夜间弱湍流时刻的数据;
(2) 气象结构参数( C T 2)计算;
C T 2 = C n , L A S 2 T 2 - 7.87 × 10 - 7 P 2 1 + 0.03 β
C T 2 ( z - d ) 2 / 3 T * 2 = f T z - d L
式中: C T 2为气象结构参数; T为空气温度(单位: K); P为气压(单位: Pa); β为波文比系数; z为LAS的有效高度(单位: m); d为零平面位移高度(单位: m); L为奥布霍夫长度(单位: m); T *为温度尺度(单位: K); f T为大气稳定度普适函数。
(3) 感热通量计算(白洁等, 2010)。
H = - ρ C p u * T *
式中: H为感热通量(单位: W·m-2); ρ为空气密度(单位: kg·m-3); C p为空气定压比热[单位: J·(kg·K)-1]; u *为摩擦风速(单位: m·s-1)。
双波段闪烁仪通过计算近红外和微波闪烁仪的结构参数, 结合相关气象数据和MOST, 可以同时计算得到区域平均感热通量和潜热通量(Liu and Xu, 2019), 其数据处理与质量控制过程主要包括(图2):
(1) 原始数据预处理, 并利用原始高频信号强度数据( I L A S I M W S)计算光强方差( σ L A S 2 σ M W S 2 σ O M S 2);
σ L A S 2 = l n I L A S I L A S 0 - l n I L A S I L A S 0 2 ¯
σ M W S 2 = l n   I M W S I M W S 0 - l n I M W S I M W S 0 2 ¯
σ O M S 2 = l n   I L A S I L A S 0 - l n I L A S I L A S 0 ¯ l n I M W S I M W S 0 - l n I M W S I M W S 0 ¯
式中: σ L A S 2 σ M W S 2 σ O M S 2分别表示LAS、 MWS、 OMS的光强方差; I L A S I L A S分别为LAS、 MWS的原始高频信号; I L A S 0 I M W S 0分别表示LAS、 MWS信号在平滑窗口的平均值。
(2) 利用光强方差( σ L A S 2 σ M W S 2 σ O M S 2), 并结合局地化参数计算空气折射指数结构参数( C n , L A S 2 C n , M W S 2 C O , O M S);
C n , L A S 2 = σ L A S 2 / G i n t L A S
C n , M W S 2 = σ M W S 2 / G i n t M W S
C n , O M S = σ O M S 2 / G i n t O M S
式中: G i n t L A S G i n t M W S G i n t O M S分别表示LAS、 MWS、 OMS的Gint函数。
(3) 质量控制: 剔除 C n 2饱和的数据、 信号强度较小的数据、 降水时刻数据、 夜间弱湍流时刻的数据;
(4) 气象结构参数( C T 2 C q 2 C T q)计算;
C n , L A S 2 = A T , L A S 2 T 2 C T 2 + 2 A T , L A S A q , L A S T q C T q + A q , L A S 2 q 2 C q 2
C n , M W S 2 = A T , M W S 2 T 2 C T 2 + 2 A T , M W S A q , M W S T q C T q + A q , M W S 2 q 2 C q 2
C n , O M S = A T , L A S A T , M W S T 2 C T 2 + A T , L A S A q , M W S + A T , L A S A q , M W S T q C T q + A q , L A S A q , M W S q 2 C q 2
式中: C T 2 C q 2 C T q为气象结构参数; T为空气温度(单位: K); q为空气比湿(单位: g·g-1); A T , L A S A q , L A S A T , M W S A q , M W S为温度和湿度折射指数结构参数的系数。
(5) 感热通量和潜热通量计算, 详细计算过程可参考Zheng et al(2023)
H = - ρ C p u * T *
L E = - ρ L v u * q *
式中: H为感热通量(单位: W·m-2); L E为潜热通量(单位: W·m-2); ρ为空气密度(单位: kg·m-3); C p为空气定压比热[单位: J·(kg·K)-1]; u *为摩擦风速(单位: m·s-1); T *为温度尺度(单位: K); L v是蒸发潜热[单位: K·(J·kg)-1]; q *为特征湿度(单位: %)。

2.2.2 涡动相关仪

涡动相关仪基于雷诺平均和分解, 通过测定与计算有关物理量的脉动值与垂直风速的脉动值的协方差, 从而直接得出通量(Liu and Xu, 2019)。本文采用美国Licor公司研发的Eddypro软件对涡动相关仪观测数据进行处理(http: //www.licor.com/env/products/eddy_covariance/software.html), 处理步骤主要包括剔除野点、 坐标旋转、 时滞校正、 频率响应校正、 超声虚温校正、 空气密度效应校正等, 从而获得30 min的水热通量数据(徐自为等, 2008)。根据Foken and Wichura (1996)提出的标准对通量数据进行湍流平稳性和发展充分性的检验, 并进行质量分级(共分为9级), 剔除质量较差(第9级)、 降水时刻及前后1 h、 仪器异常工作状态以及原始10 Hz数据中缺失率大于10%(每30 min)的数据。

2.2.3 自动气象站

在闪烁仪的通量结果计算过程中, 采用了空气温度、 相对湿度、 气压、 风速等自动气象站观测数据, 其处理主要是剔除明显异常的观测数据并进行整理的过程。为了与闪烁仪、 涡动相关仪的平均周期相同, 对原始的10 min数据进行时间平均, 获得30 min平均周期的数据值。

2.3 评价方法

本研究主要采用线性回归斜率( s l o p e)、 决定系数( R 2)、 均方根误差( R M S E)、 平均相对误差( M R E)等统计量分析各设备观测值间的差异, 以此评价研制近红外闪烁仪和双波段闪烁仪的技术性能:
s l o p e = i = 1 N ( O i - O ¯ ) ( P i - P ¯ ) i = 1 N ( O i - O ¯ ) 2
R 2 = 1 - i = 1 N ( P i - P ¯ ) 2 i = 1 N ( P i - P ¯ ) 2
R M S E = 1 N i = 1 N ( P i - O i ) 2
M R E = 100 N i = 1 N P i - O i O ¯
式中: P i为研制设备的通量观测值; P ¯为研制设备的通量观测均值; O i为参考设备的通量观测值; O ¯为参考设备的通量观测均值; N为观测样本数。 s l o p e用于反映各设备间通量观测值的相关程度, R 2用于对各设备间通量观测值的一致性和变化趋势进行分析, R M S E用于对各设备间通量观测值的差异进行分析, M R E用于描述各设备通量观测值间的误差程度。

3 结果分析

3.1 研制闪烁仪原始数据的质量检验

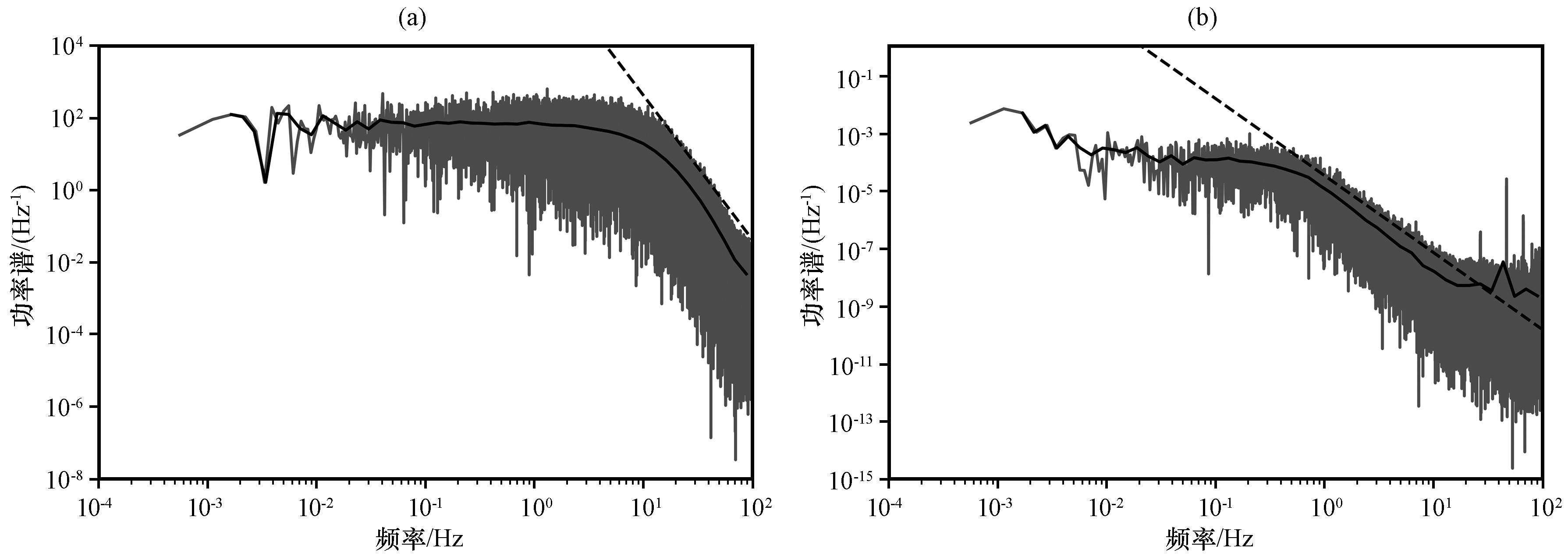
原始数据的质量是反映设备工作性能的重要指标, 通过对原始高频数据进行功率谱分析, 可以探究不同频率上的湍流能量分布情况。不论是红外闪烁仪还是微波闪烁仪, 其工作都主要集中在惯性副区尺度上, 因此采用功率谱分析方法对惯性副区高频数据进行质量检验与分析对于研究湍流运动是十分重要的(王介民, 2021)。本文选取阿柔站研制LAS和MWS在2020年6月2日10:00 -10:30(北京时, 下同)的原始观测数据进行功率谱分析, 然后对其进行平滑滤波处理(图3)。从图3可知, 在惯性副区LAS的功率谱斜率与理论值-12/3几乎一致、 MWS的功率谱斜率与理论值-8/3几乎一致, 两者的功率谱在低频端及MWS的高频端略有波动。结果表明, 研制LAS和MWS数据的噪声较少、 质量较好, 研制设备性能良好。
图3 2020年6月2日10:00 -10:30阿柔站研制LAS(a)和MWS(b)的功率谱

灰色实线表示原始数据计算出的功率谱, 黑色实线表示经平滑后的功率谱, 虚线表示理论功率谱, LAS图中虚线斜率为-12/3, MWS图中虚线斜率为-8/3

Fig.3 Power spectra of developed LAS (a) and MWS (b) at A’rou Station.The gray solid line represents the power spectrum calculated from the raw data, the black solid line represents the smoothed power spectrum, and the dashed line represents the theoretical power spectrum; in the LAS graph, the dashed line has a slope of -12/3, and in the MWS graph, the dashed line has a slope of -8/3

3.2 研制闪烁仪的性能分析

本文建立了闪烁仪性能评价及分析流程, 从设备的观测精度、 稳定性以及环境适应性三个方面对研制近红外和双波段闪烁仪的性能进行分析。

3.2.1 设备的观测精度

(1) 近红外闪烁仪。选用阿柔站2016 -2022年5 -9月和大满站2022年5 -9月近红外闪烁仪观测数据, 以德国近红外闪烁仪(BLS900)观测值作为参考, 对研制LAS的观测值进行分析(图4)。其中2019年由于阿柔站德国闪烁仪进行了维修, 数据缺失较多, 所以不采用。从图4可以看出, 阿柔站研制设备与国外同类设备的回归斜率为1.08, 决定系数R 2为0.96, RMSE为8.81 W·m-2, MRE为12.5%; 大满站的回归斜率为0.99, 决定系数R 2为0.95, RMSE为12.61 W·m-2, MRE为12.51%, 这一结果与李怀香等(2017)在张掖巴吉滩站开展的研制近红外闪烁仪与BLS900观测对比结果相近(回归斜率1.06, 相关系数R 0.98, 平均RMSE 19.91 W·m-2, 平均MRE 7.37%), 表明研制LAS在不同下垫面长期野外观测中与德国LAS具有较好的一致性, 研制近红外闪烁仪具有较好的观测精度。
图4 研制LAS与国外同类设备感热通量观测值的比较(H>0)

(a)阿柔站, 2016 -2022年5 -9月; (b)大满站, 2022年5 -9月

Fig.4 Comparison of observed sensible heat flux values between developed LAS and foreign similar equipment (H>0).(a) A’rou Station, May-September 2016 -2022; (b) Daman Station, May-September 2022

(2) 双波段闪烁仪。选用阿柔站2020 -2022年5 -9月研制双波段闪烁仪观测数据, 并以德国双波段闪烁仪(BLS900&MWSC-160)观测值作为参考, 对研制OMS的观测值进行分析(图5), 其中德国双波段闪烁仪于2020年8月至2022年5月送检维修, 因此最终采用2020年5 -7月和2022年6 -9月的数据。从图5可以看出, 阿柔站研制设备与国外同类设备的回归斜率为0.96, 决定系数R 2为0.95, RMSE为16.24 W·m-2, MRE为13.61%;
图5 研制OMS与国外同类设备潜热通量观测值的比较(LE>0, 阿柔站, 2020年5 -7月和2022年6 -9月)

Fig.5 Comparison of observed latent heat flux values between developed OMS and foreign similar equipment (LE>0, A’rou Station, May-July 2020 and June-September 2022)

由于阿柔站德国双波段闪烁仪检修期间数据量较少, 且阿柔站地表相对均匀, 因此以同站点涡动相关仪观测值作为参考, 对研制双波段闪烁仪观测结果进行分析(图6)。图6显示两者的观测结果具有很好的一致性, 回归斜率为0.98, 决定系数R 2为0.96, RMSE为24.82 W·m-2, MRE为12.07%。由图56可知, 研制OMS与德国OMS、 美国EC的比较结果表明研制双波段闪烁仪的观测精度较好。
图6 研制OMS与EC测量的潜热通量观测值比较(LE>0, 阿柔站, 2020 -2022年5 -9月)

Fig.6 Comparison of observed latent heat flux values between developed OMS and EC (LE>0, A’rou Station, May-September 2020-2022)

3.2.2 设备的稳定性

为分析研制闪烁仪在野外观测工作中的稳定性, 选取阿柔站2016 -2022年研制近红外闪烁仪、 2020 -2022年研制双波段闪烁仪观测数据进行分析(表3)。表3统计了2016 -2022年期间研制近红外闪烁仪、 双波段闪烁仪和国外同类设备的有效数据率(一定时段内仪器正常工作的数据量/该时段内仪器全部工作的数据量), 结果显示, 在阿柔站, 研制闪烁仪的有效数据率在不同年份均超过80%, 设备的稳定性较好; 而国外同类设备由于仪器出现故障需要出国维修, 且周期较长等原因, 有效数据率较低, 也从侧面说明监测设备国产化的必要性与重要性。
表3 2016-2022年阿柔站研制闪烁仪的有效数据率

Table 3 Effective data rate of the developed scintillometer at Arou Station2016-2022

闪烁仪 2016 2017 2018 2019 2020 2021 2022
研制LAS 80.9% 94.5% 86.6% 92.9% 89% 98.1% 92.6%
德国LAS 68.0% 57.3% 81.9% 57.5% 62.1% 57.7% 49.6%
研制OMS - - - - 96.9% 96.6% 99.9%
德国OMS - - - - 43.6%(1 -7月) - 41.4%(6 -12月)
空气折射指数结构参数是采用光闪烁方法进行观测的过程中表征大气湍流强度的重要指标, 稳定地输出空气折射指数结构参数直接反映了设备在工作中的状态。为评价研制闪烁仪在野外开展长期工作的稳定性, 本文采用研制近红外闪烁仪输出的空气折射指数结构参数 C n _ L A S 2和研制双波段闪烁仪输出的 C n _ M W S 2数据绘制十日均值折线图(图78), 分别对两类闪烁仪的稳定性进行分析。
图7 2016 -2022年阿柔站研制近红外闪烁仪的 C n _ L A S 2(10日均值)

Fig.7 Ten-day average of C n _ L A S 2 observed by the near-infrared scintillometer developed at A’rou Station, 2016 -2022

图8 2020 -2022年阿柔站研制双波段闪烁仪的 C n _ M W S 2(10日均值)

Fig.8 Ten-day average of C n _ M W S 2 observed by the dual-band scintillometer developed at A’rou Station, 2020 -2022

图7图8显示, 空气折射指数结构参数比较连续, C n _ L A S 2的波动区间基本处于5.0×10-15~5.0×10-14 m-2/3之间, C n _ M W S 2的波动区间基本处于5.0×10-15~3.0×10-14 m-2/3之间, 表明研制闪烁仪工作状态正常。其中 C n _ L A S 2在每年植被生长季处于低值, 非生长季处于高值 ; C n _ M W S 2则反之。二者整体变化趋势符合湍流强度的季节变化特点, 表明研制近红外闪烁仪和双波段闪烁仪的稳定性较好。

3.2.3 设备的环境适应性

监测设备不受极端环境条件变化的影响是确保其能在野外进行长期、 正常工作的重要前提, 为评价研制闪烁仪在极端环境条件下的环境适应性, 对研制的近红外闪烁仪和微波闪烁仪进行了第三方独立测试, 将测试设备样机放置于试验箱中, 并设定温湿度条件。测试结果表明, 研制近红外和微波闪烁仪在温度-20~50 ℃、 相对湿度0~100%(无水汽凝结)的条件下仍可以保持正常的工作状态。
在本文中, 选取阿柔站(海拔3033 m), 参考该站实际天气情况, 以2020年和2021年数据为例(2020年最高温度为23.6 ℃, 最低温度为-26.6 ℃; 相对湿度最高达到99.3%, 最低为5.27%; 2021年最高温度为26.07 ℃, 最低温度为-29.95 ℃; 相对湿度最高达到100%, 最低为2.17%), 筛选出高温、 低温、 高湿、 低湿环境条件下的观测数据, 将研制闪烁仪、 德国闪烁仪观测的感热、 潜热通量, 并结合净辐射观测结果进行对比分析(图910)。图9显示, 研制近红外闪烁仪与国外同类设备观测结果的变化趋势基本吻合。图10同样表明研制双波段闪烁仪与国外同类设备观测结果的变化趋势也有较好的一致性, 这些都证明研制闪烁仪在高海拔、 高温、 高湿、 低温、 低湿等野外极端环境条件下, 均能保持正常的工作状态, 具有良好的环境适应性。
图9 阿柔站研制OMS与德国OMS在极端条件下感热通量H观测值的比较(H>0)

(a)高温条件, (b)低温条件, (c)高湿条件, (d)低湿条件

Fig.9 Comparison of sensible heat flux observed by A’rou station's developed OMS and Germany's OMS under extreme conditions (H>0).(a) High temperature condition, (b) Low temperature condition, (c) High humidity condition, (d) Low humidity condition

图10 阿柔站研制OMS与德国OMS在极端条件下潜热通量LE观测值的比较(LE>0)

(a)高温条件, (b)低温条件, (c)高湿条件, (d)低湿条件

Fig.10 Comparison of latent heat flux observed by A’rou station's developed OMS and Germany's OMS under extreme conditions (LE>0).(a) High temperature condition, (b) Low temperature condition, (c) High humidity condition, (d) Low humidity condition

3.3 研制闪烁仪观测水热通量变化特征的分析

为了进一步分析研制闪烁仪的长期性能, 本文选用2019 -2022年阿柔站研制闪烁仪的观测数据, 并与涡动相关仪观测结果进行对比分析(图1112)。图11图12分别为研制近红外闪烁仪测量感热通量、 研制双波段闪烁仪测量潜热通量与涡动相关仪的对比结果, 选取观测感热和潜热通量大于0, 涡动相关仪的地表能量平衡闭合率EBR>0.75的月均值数据进行比较, 以探究研制闪烁仪在野外长时间观测的状态及季节变化趋势的合理性。
图11 阿柔站2019 -2021年研制近红外闪烁仪与涡动相关仪的长时序感热通量H观测值的比较(H>0, EBR>0.75)

Fig.11 Comparison of long-term series of sensible heat flux observed by A’rou Station's near-infrared scintillometer and eddy covariance instrument, 2019 -2021 (H>0, EBR>0.75)

图12 阿柔站2020 -2021年研制双波段闪烁仪与涡动相关仪的长时序潜热通量LE观测值的比较(LE>0, EBR>0.75)

Fig.12 Comparison of long-term series of latent heat flux observed by A’rou station's dual-band scintillometer and eddy covariance instrument, 2020 -2021 (LE>0, EBR>0.75)

从图1112可以看到, 在下垫面相对均匀的阿柔站, 研制近红外闪烁仪测量感热通量与涡动相关仪观测结果较为接近, 总体呈现出每年4月开始下降, 6、 7月达到谷值, 8月开始回升, 并在秋季达到峰值的变化趋势。研制双波段闪烁仪测量的潜热通量与涡动相关仪观测结果变化趋势也基本相同, 呈单峰变化趋势; 即: 在每年7月或8月达到峰值, 而在冬季期间一直处于较低值。由于闪烁仪和涡动相关仪观测的空间尺度不匹配, 导致测量结果存在一定差异, 但整体上基本符合一年中感热、 潜热通量的季节变化特征, 表明研制闪烁仪具有稳定观测地表水热通量的能力, 已具备在野外长期开展水热通量观测的性能。

4 结论

本文基于黑河流域阿柔和大满站的野外观测数据, 从原始数据质量检验、 性能评价(观测精度、 稳定性和环境适应性), 以及观测的长时间序列水热通量变化特征分析三个方面评价了研制闪烁仪的性能情况, 具体结论如下:
(1) 通过功率谱分析法对原始高频数据质量进行检验, 研制近红外闪烁仪和微波闪烁仪的功率谱斜率在惯性副区与理论值一致, 表明研制闪烁仪原始数据的质量较好。
(2) 以国外同类设备和同站点EC作为参考, 研制近红外闪烁仪和双波段闪烁仪分别与参考值均比较一致。其中, 研制近红外闪烁仪观测感热通量在阿柔、 大满站的均方根误差分别为8.81 W·m-2、 12.61 W·m-2, 平均相对误差分别为12.5%、 12.51%; 在阿柔站研制OMS观测潜热通量均方根误差为16.24 W·m-2、 24.82 W·m-2, 平均相对误差为13.21%、 12.07%, 结果表明研制闪烁仪观测精度较好, 达到了国外同类设备水平; 基于2016 - 2022年阿柔站研制闪烁仪的观测结果开展了研制设备稳定性分析。结果表明研制闪烁仪具备长期在野外开展观测工作的能力, 工作期间状态正常, 有效数据率高, 具有较好的稳定性; 在高海拔、 高温、 高湿、 低温、 低湿极端环境条件下, 研制闪烁仪与国外同类设备均比较一致, 表明研制闪烁仪在野外极端环境条件下也具有较好的观测效果, 环境适应性较强。
(3) 对比分析了研制闪烁仪在相对均匀下垫面与涡动相关仪的长时间观测感热和潜热通量数据, 两者变化趋势比较一致, 基本符合感热、 潜热通量的季节变化特征, 表明研制闪烁仪具有在野外长期观测地表水热通量的能力。
综上, 我国自主研制的闪烁仪(近红外闪烁仪、 双波段闪烁仪)已具备在野外长期开展水热通量观测的能力, 其观测数据可以补充或替代国外同类设备的观测结果。微波闪烁仪在采集数据过程中, 低频部分仍易受到水汽干扰, 高频部分存在一定程度的噪声可能是由于电子电路干扰所造成, 后续仍有优化改进的空间, 并在更多下垫面上进行测试。在保证观测精度、 稳定性和环境适应性的前提下, 双波段闪烁仪应尽早形成成熟的产品, 加快产业化的进程, 推进其在我国天气与气候预报、 水资源管理、 生态环境保护与治理、 遥感产品真实性检验等中的应用。同时本研究所用设备性能分析方法也可为其他国产通量设备的野外测试提供参考。
Barraza V Restrepo-Coupe N Huete A, et al, 2015.Passive microwave and optical index approaches for estimating surface conductance and evapotranspiration in forest ecosystems[J].Agricultural and Forest Meteorology, 213: 126-137.DOI: 10.1016/j.agrformet.2015.06.020 .

Beyrich F Bruin H A R D Meijninger W M L, et al, 2002.Results from one-year continuous operation of a large aperture scintillometer over a heterogeneous land surface[J].Boundary Layer Meteorology105(1): 85-97.DOI: 10.1023/A: 1019640014027 .

Foken T Wichura B1996.Tools for quality assessment of surface-based flux measurements[J].Agricultural and forest meteorology78(1/2): 83-105.DOI: 10.1016/0168-1923(95)02248-1 .

Hoedjes J C B Zuurbier R M Watts C J2002.Large aperture scintillometer used over a homogeneous irrigated area, partly affected by regional advection[J].Boundary Layer Meteorology105(1): 99-117.DOI: 10.1023/A: 1019644420081 .

Isabelle P E Nadeau D F Perelet A O, et al, 2020.Application and evaluation of a two-wavelength scintillometry system for operation in a complex shallow boreal-forested valley[J].Boundary-Layer Meteorology174(3): 341-370.DOI: 10.1007/s10546-019-00488-7 .

Jia Z Z Liu S M Xu Z W, et al, 2012.Validation of remotely sensed evapotranspiration over the Hai River Basin, China[J].Journal of Geophysical Research: Atmospheres, 117(D13).DOI: 10. 1029/2011JD017037 .

Li X Gao Z Li Y, et al, 2017.Comparison of sensible heat fluxes measured by a large aperture scintillometer and eddy covariance system over a heterogeneous farmland in East China[J].Atmosphere8(6): 101.DOI: 10.3390/atmos8060101 .

Liu S M Xu Z W Wang W Z, et al, 2011.A comparison of eddy-covariance and large aperture scintillometer measurements with respect to the energy balance closure problem[J].Hydrology and Earth System Sciences15(4): 1291-1306.DOI: 10.5194/hess-15-1291-2011 .

Liu S M Xu Z W Zhu Z L, et al, 2013.Measurements of evapotranspiration from eddy-covariance systems and large aperture scintillometers in the Hai River Basin, China[J].Journal of Hydrology, 487: 24-38.DOI: 10.1016/j.jhydrol.2013.02.025

Liu S M Xu Z W Song L S, et al, 2016.Upscaling evapotranspiration measurements from multi-site to the satellite pixel scale over heterogeneous land surfaces[J].Agricultural and Forest Meteorology, 230: 97-113.DOI: 10.1016/j.agrformet.2016.04.008 .

Liu S M Li X Xu Z W, et al, 2018.The Heihe Integrated Observatory Network: A basin‐scale land surface processes observatory in China[J].Vadose Zone Journal, 17: 180072.1-21.DOI: 10. 2136/vzj2018.04.0072 .

Liu S M Xu Z W2019.Micrometeorological methods to determine evapotranspiration.In: Observation and Measurement, Ecohydrology.Berlin Heidelberg: Springer-Verlag Press.: DOI: 10. 1007/978-3-662-48297-1_7

Liu S M Xu Z W Che T, et al, 2023.A dataset of energy, water vapor and carbon exchange observations in oasis-desert areas from 2012 to 2021 in a typical endorheic basin[J].Earth System Science Data Discussions, 1-45.DOI: 10.5194/essd-15-4959-2023 .

Mcaneney K J Green A E Astill M S1995.Large-aperture scintillometry: the homogeneous case[J].Agricultural and Forest Meteorology76(3/4): 149-162.DOI: 10.1016/0168-1923(95)02227-O .

Meijninger W M L De Bruin H A R2000.The sensible heat fluxes over irrigated areas in western Turkey determined with a large aperture scintillometer[J].Journal of Hydrology229(1/2): 42-49.DOI: 10.1016/S0022-1694(99)00197-3 .

Von Randow C Kruijt B Holtslag A A M, et al, 2008.Exploring eddy-covariance and large-aperture scintillometer measurements in an Amazonian rain forest[J].Agricultural and Forest Meteorology148(4): 680-690.DOI: 10.1016/j.agrformet.2007.11.011 .

Xu F N Wang W Z Huang C L, et al, 2023.Turbulent fluxes at kilometer scale determined by optical-microwave scintillometry in a heterogeneous oasis cropland of the Heihe River Basin[J].Agricultural and Forest Meteorology, 339: 109544.DOI: 10.1016/j.agrformet.2023.109544 .

Yee M S Pauwels V R N Daly E, et al, 2015.A comparison of optical and microwavescintillometers with eddy covariance derived surface heat fluxes[J].Agriculturaland Forest Meteorology, 213: 226-239.DOI: 10.1016/j.agrformet.2015.07.004 .

Zhang G Zhang J S Meng P2021.Estimation of kilometer-scale heat fluxes over a hilly area in Northern China using an optical-microwave scintillometer[J].Agricultural Water Management, 244: 106582.DOI: 10.1016/j.agwat.2020.106582 .

Zhao J B Olivas P C Kunwor S, et al, 2018.Comparison of sensible heat flux measured by large aperture scintillometer and eddy covariance in a seasonally-inundated wetland[J].Agricultural and Forest Meteorology, 259: 345-354.DOI: 10.1016/j.agrformet.2018.05.026 .

Zheng C Liu S M Song L S, et al, 2023.Comparison of sensible and latent heat fluxes from optical-microwave scintillometers and eddy covariance systems with respect to surface energy balance closure[J].Agricultural and Forest Meteorology, 331: 109345.DOI: 10.1016/j.agrformet.2023.109345 .

白洁, 刘绍民, 丁晓萍, 2010.海河流域不同下垫面上大孔径闪烁仪观测显热通量的时空特征分析[J].地球科学进展25(11): 1187-1198.DOI: 10.11867/j.issn.1001-8166.2010.11.1187.Bai J

Liu S M Ding X P2010.Analysis of the spatiotemporal characteristics of sensible heat flux observed by large aperture scintillometer on different underlying surfaces in the Haihe River Basin[J].Advances in Earth Science25(11): 1187-1198.DOI: 10.11867/j.issn.1001-8166.2010.11.1187 .

郭伟, 刘寿东, 刘绍民, 等, 2013.大孔径闪烁仪观测中的相似理论适用性分析[J].高原气象32(4): 944-955.DOI: 10.7522/j.issn.1000-0534.2012.00090.Guo W

Liu S D Liu S M, et al, 2013.Applicability analysis of similarity theory in large aperture scintillometer observations[J].Plateau Meteorology32(4): 944-955.DOI: 10.7522/j.issn.1000-0534.2012.00090 .

李怀香, 刘绍民, 施生锦, 等, 2017.国产光学型大孔径闪烁仪的技术性能分析[J].高原气象36(2): 575-585.DOI: 10.7522/j.issn.1000-0534.2016.00035.Li H X

Liu S M Shi S J, et al, 2017.Technical performance analysis of domestic optical large aperture scintillometer[J].Plateau Meteorology36(2): 575-585.DOI: 10.7522/j.issn.1000-0534.2016.00035 .

刘绍民, 李小文, 施生锦, 等, 2010.大尺度地表水热通量的观测、 分析与应用[J].地球科学进展25(11): 1113-1127.DOI: 10.11867/j.issn.1001-8166.2010.11.1113.Liu S M

Li X W Shi S J, et al, 2010.Observation, analysis, and application of large-scale surface water and heat fluxes[J].Advances in Earth Science25(11): 1113-1127.DOI: 10.11867/j.issn.1001-8166.2010.11.1113 .

卢俐, 刘绍民, 孙敏章, 等, 2005.大孔径闪烁仪研究区域地表通量的进展[J].地球科学进展20(9): 932-938.DOI: 10.11867/j.issn.1001-8166.2005.09.0932.Lu L

Liu S M Sun M Z, et al, 2005.Progress in the study of regional surface fluxes using large aperture scintillometer[J].Advances in Earth Science20(9): 932-938.DOI: 10.11867/j.issn.1001-8166.2005.09.0932 .

李新, 刘绍民, 孙晓敏, 等, 2016.生态系统关键参量监测设备研制与生态物联网示范[J].生态学报36(2): 7023-7027.DOI: 10.5846/stxb201611082269.Li X

Liu S M Sun X M, et al, 2016.Development of monitoring equipment for key ecosystem parameters and demonstration of ecological IoT[J].Acta Ecologica Sinica36(2): 7023-7027.DOI: 10.5846/stxb201611082269 .

雷润芝, 余晔, 周国兵, 等, 2023.1984-2020年青藏高原感热通量长期变化趋势分析[J].高原气象42(4): 833-847.DOI: 10.7522/j.issn.1000-0534.2023.00032.Lei R Z

Yu Y Zhou G B, et al, 2023.Long-term variation trend of sensible heat flux over the Tibetan Plateau from 1984 to 2020[J].Plateau Meteorology42(4): 833-847.DOI: 10.7522/j.issn.1000-0534.2023.00032 .

王介民, 2021.面积平均通量与光闪烁方法[J].高原气象40(6): 1377-1393.DOI: 10.7522/j.issn.1000-0534.2021.zk017.Wang J M , 2021.Area-averaged flux and scintillation method[J].Plateau Meteorology, 40(6): 1377-1393.DOI: 10.7522/j.issn.1000-0534.2021.zk017 .

施生锦, 黄彬香, 刘绍民, 等, 2010.大尺度水热通量观测系统的研制[J].地球科学进展25(11): 1128-1138.DOI: 10.11867/j.issn.1001-8166.2010.11.1128.Shi S J

Huang B X Liu S M, et al, 2010.Development of a large-scale water and heat flux observation system[J].Advances in Earth Science25(11): 1128-1138.DOI: 10.11867/j.issn.1001-8166.2010.11.1128 .

徐自为, 刘绍民, 宫丽娟, 等, 2008.涡动相关仪观测数据的处理与质量评价研究[J].地球科学进展23(4): 357-370.DOI: 10.11867/j.issn.1001-8166.2008.04.0357.Xu Z W

Liu S M Gong L J, et al, 2008.Research on data processing and quality evaluation of eddy covariance observations[J].Advances in Earth Science23(4): 357-370.DOI: 10.11867/j.issn.1001-8166.2008.04.0357 .

席振华, 王玉阳, 马耀明, 等, 2023.珠峰北坡高寒灌丛草原生长季碳、 水通量特征分析[J].高原气象42(4): 887-898.DOI: 10.7522/j.issn.1000-0534.2022.00072.Xi Z H

Wang Y Y Ma Y M, et al, 2023.Analysis of carbon and water fluxes in the growing season of alpine shrublands on the north slope of Mount Qomolangma[J].Plateau Meteorology42(4): 887-898.DOI: 10.7522/j.issn.1000-0534.2022.00072 .

张功, 2019.华北山地人工林公里尺度蒸散研究[D].北京: 中国林业科学研究院.DOI: 10.27625/d.cnki.gzlky.2019.000087.Zhang G, 2019.Study on kilometer-scale evapotranspiration of artificial forest in North China mountainous area[D].Beijing: Chinese Academy of Forestry.DOI: 10.27625/d.cnki.gzlky. 2019.000087 .

Outlines

/