Vertical Structure and Macro-Micro Differences of Cold and Warm Cloud-Precipitation in Ya'an During Autumn Rainy Season

  • Fan CHEN , 1 ,
  • Jiafeng ZHENG , 2 ,
  • Hao WANG 2 ,
  • Yuanchang DONG 3 ,
  • Shaojie CHEN 4 ,
  • Wenqian YU 1
Expand
  • 1. College of Atmospheric Sciences,Chengdu University of Information Technology,Chengdu 610225,Sichuan,China
  • 2. College of Electronic Engineering/College of Meteorological Observation,Chengdu University of Information Technology,Chengdu 610225,Sichuan,China
  • 3. Institute of Plateau Meteorology,China Meteorological Administration,Chengdu 610072,Sichuan,China
  • 4. Dianjiang Meteorological Service,Chongqing 408300,China

Received date: 2025-04-15

  Revised date: 2025-07-23

  Online published: 2025-10-20

Copyright

© Editorial Department of Plateau Meteorology (CC BY-NC-ND)

Abstract

The Ya'an area has a typical "windward slope" and "trumpet" topography, the observation and study of cloud-precipitation in the Ya'an area has always been one of the hot issues of mountain meteorology in China.In this paper, using the observation data of Ka-band millimeter-wave cloud radar, K-band micro-rain radar and DSG4 laser raindrop spectrometer during the autumn rainy season in Ya'an area in 2023, the two types of cloud-precipitation in Ya'an during the autumn rainy period are studied and compared.The results show that (1) the frequency of warm cloud-precipitation (WCP) is higher than that of cold cloud-precipitation (CCP) during the autumn rainy period in Ya'an, but the intensity of precipitation is generally weaker and the cumulative rainfall is less.(2) In terms of vertical structure and macroscopic features, there are obvious differences between WCP and CCP: the radar echo reflectivity factor Z high-frequency region of CCP has a wider distribution and stronger echo, and the magnitude of the slope of Z high-frequency region at different heights reflects the difference between the ice-phase particles' growth mechanism and rate and that of WCP's liquid cloud raindrops' touch-and-go growth rate; CCP's linear depolarization ratio, LDR, increases abruptly near the zero-degree layer due to the melting of ice-phase particles.The mean Doppler velocity Vm has a smaller value in the high-frequency region and the velocity spectral width W has a larger value in the high-frequency region, suggesting a larger mean droplet scale and a wider concentration distribution.In terms of macroscopic parameters, the cloud base and cloud top of the CCP are significantly higher, the cloud layer is thicker, and the distribution of values is more dispersed.(3) In terms of microscopic characteristics, the raindrop spectra of the two types of cloud-precipitation are different with altitude: the concentration of small raindrops in the CCP increases and then decreases with decreasing altitude due to the melting of ice-phase particles and raindrops merging, whereas that in the WCP fluctuates due to the effects of evaporation, merging, water vapor transport, and updraft lifting altitude.The medium- and large-sized raindrop concentrations of both types of cloud-precipitation increase with decreasing altitude on the whole.In terms of the differences in raindrop concentrations at different heights, above 455 m, the concentration of raindrops of all grain sizes in WCP is almost lower than that in CCP; below 455 m, the concentration of small and large raindrops in WCP is higher than that in CCP, and the concentration of medium raindrops is lower.(4) Comparison of the raindrop spectra under different precipitation intensities showed that when the precipitation is weak, the WCP had lower concentrations of raindrops of all particle sizes than the CCP, but when the precipitation reached a certain intensity (rainfall intensity R 5 mm·h-1), the WCP produced more small raindrops and a small number of larger raindrops.The few extreme values of Z, LDR, Vm and W of WCP are larger than those of CCP at altitudes below 3 km due to the synergistic effect of low-altitude rapids and topographic uplift in the region, which makes the small WCP raindrops repeatedly touch and form medium-to-large raindrops in the re-uplift airflow.

Cite this article

Fan CHEN , Jiafeng ZHENG , Hao WANG , Yuanchang DONG , Shaojie CHEN , Wenqian YU . Vertical Structure and Macro-Micro Differences of Cold and Warm Cloud-Precipitation in Ya'an During Autumn Rainy Season[J]. Plateau Meteorology, 2026 , 45(2) : 401 -415 . DOI: 10.7522/j.issn.1000-0534.2025.00090

1 引 言

雅安地处青藏高原东缘与四川盆地的过渡地带, 整体地势呈“西、 南、 北三面高、 中东部低”的特点。雅安地区具有典型的“迎风坡”和“喇叭口”地形, 这种地形使东来的暖湿气流易进难出, 加之大气环流和季风活动等共同作用, 导致该地区暴雨频发, 因此有“雨城”和“天漏”之称(彭贵康等, 1994曾庆存等, 1994)。雅安地区受高原天气系统、 中高纬天气系统和海洋季风等的影响都十分显著, 同时也是地形对天气影响最明显的地区之一(Xu et al, 2008徐裕华, 1991), 因此对该地区的云-降水开展观测和研究, 对认识地形对云-降水影响和山地暴雨发生机制等都具有重要的科学意义。
云-降水垂直结构和宏微观特征是深入认识云-降水物理过程和优化数值模式参数化方案的重要基础。然而, 现有气象业务观测网(如多普勒天气雷达)对云-降水的垂直精细化探测能力还严重不足; 加之地形复杂区域的现有站网本身也较为稀疏, 因此过去许多研究利用星载气象雷达(包括TRMM/PR、 CloudSat/CPR和GPM/DPR等)对高原及四川等复杂地形区域的云-降水垂直结构和宏微观特征开展了相关研究(Wang et al, 2023Yang et al, 2024Yan et al, 2016Yan and Liu, 2019罗晶等, 2023江叶等, 2024)。此外, 随着地基遥感技术的快速发展, 垂直指向探测的气象雷达也逐渐被研制和应用, 垂直气象雷达可以提供站点上空更为连续和更高时空分辨率的观测结果, 例如我国第三次青藏高原大气科学试验采用Ka波段毫米波云雷达、 C波段连续波测雨雷达和K波段微雨雷达等对那曲、 稻城和林芝等地区的云-降水垂直结构和宏微观特征进行了观测和研究, 结果发现, 夏季那曲地区相比大陆平原地区的云滴更容易通过凝结和碰并增长, 进而触发暖雨过程形成大云滴和雨滴, 而过冷大云滴和雨滴也有利于冰相过程的发展; 综合作用下高原对流云内凇附过程显著, 更易形成降水。高原地区频繁的对流活动、 更低的融化层和更快的雨滴末速度, 也共同导致了地面雨滴谱比同纬度平原地区的更宽, 即能产生更多小雨滴和更多大雨滴(刘黎平等, 2015常祎和郭学良, 2016Zhao et al, 2018)。
对于雅安地区, 一方面, 由于该地区降水频发且量级大, 加之其地形的特殊性, 长期以来也是我国山地降水研究的热点区域之一, 但目前关于雅安地区降水的研究主要集中于典型暴雨过程分析(高国路等, 2022竹利等, 2024)、 数值模拟与机理(蔡芗宁等, 2007曾庆存等, 1994)和气候特征分析(苗秋菊等, 2004Yu et al, 2004周秋雪等, 2016Li et al, 2010张琪等, 2011)等方面, 而对雅安云-降水垂直结构和宏微观特征的研究还十分有限。另一方面, 该地区乃至我国大部分西南地区的降水还表现出独特的华西秋雨特点, 即多为连阴雨、 范围广、 持续时间长(Ding, 2007Deng et al, 2023Zhou et al, 2023)。目前关于华西秋雨的研究目前大多也是利用地面站点、 卫星遥感和再分析等资料, 且研究大多侧重于气候学和天气动力学角度(梅双丽和陈尚锋, 2022Wei et al, 2018Zhou et al, 2019), 而关于华西秋雨期的云-降水垂直结构和宏微观特征的研究也几乎未见报道。
2023年, 在国家重点研发计划项目的支持下, 中国气象局成都高原气象研究所联合成都信息工程大学等单位在雅安地区开展了云-降水综合观测试验, 本文利用试验期间的Ka波段毫米波云雷达、 K波段微雨雷达和DSG4型激光雨滴谱仪观测资料, 首先对雅安秋雨期的冷暖两类云-降水进行了分类, 随后分别从云雨发生率、 宏观参数、 垂直结构和雨滴谱变化等方面展开研究和对比。本文旨在揭示雅安地区秋雨期冷暖两类云-降水的具体垂直结构和宏微观特征, 以及两者之间的差异。

2 设备、 资料来源和方法介绍

2.1 设备及资料

本文使用的资料观测于四川省雅安市天全县, 站点经纬度分别为102.776°E和30.067°N, 海拔为818.2 m, 所选的观测数据时间为2023年天全站的秋雨期, 即根据四川省气候中心判定结果, 时间选为2023年8月21日至11月16日。观测站点所处位置如图1(a)所示, 观测设备包括: 一部Ka波段毫米波云雷达(Ka-CPR)、 一部K波段微雨雷达(MRR-2)和一部DSG4型激光雨滴谱仪(DSG4), 三部设备的外观如图1(b)~(d)所示。各个设备的特点和观测资料进一步简要介绍如下:
图1 观测站点位置及周边地形图(a)和三部设备的外景图(b~d)

Fig.1 Location of the observation site and its surrounding terrains (a) and outdoor scenes of the three instruments (b~d)

(1) Ka-CPR(中国航空科工集团第二十三研究所)是一部全固态、 多普勒、 极化体制的垂直测云雷达, 工作频率为35 GHz(对应波长为8.565 mm), 高度探测范围为0.12~20 km, 时间和空间分辨率分别为1 min和30 m。观测资料包括: 反射率因子Z(单位: dBz)、 线性退极化比LDR(单位: dB)、 平均多普勒速度Vm (单位: m∙s-1)和速度谱宽W(单位: m∙s-1)。
(2) MRR-2(德国METEK公司)是一部调频连续波体制的垂直测雨雷达, 工作频率为24.23 GHz(对应波长为1.24 cm), 高度探测范围设定为35~1085 m, 时间和空间分辨率分别为1 min和35 m。观测资料包括: Z(单位: dBz)、 雨强R(单位: mm∙h-1)、 液态水含量LWC(单位: g∙m-3)、 雨滴下落速度Vf (单位: m∙s-1)和雨滴谱。
(3) DSG4(北京华创维想科技开发有限公司)是一部雨滴谱光学感知设备, 能够探测地面降水的粒子等效直径D(单位: mm)和Vf (单位: m∙s-1), 并根据DVf 的测量结果给出降水具体类型。雨滴谱的采样面积为54 cm2, 时间分辨率为1 min, 测量的原始DVf 被分为32×32个区间存储, 测量范围分别为0.062~24.5 mm和0.05~20.8 m∙s-1

2.2 数据质量控制和一致性对比

对使用的雷达进行了质量控制, 具体方法如下:
(1) Ka-CPR: 因站点附近另一部频率相近的测云仪干扰, 使得Ka-CPR在3~7 km高度上存在少量的同频干扰杂波, 杂波表现为非常高的LDR和较弱的Z。借鉴郑佳锋(2016)的方法, 通过设定Z-LDR双阈值实现干扰杂波的滤除:
Z < - 10   d B z L D R > - 18   d B 异常 干扰 杂波 Z - 10   d B z L D R - 18   d B 正常 回波
考虑到LDR的回波量通常少于Z的回波量, 对双阈值判定后剩余的杂波, 采用滑动小窗滤波法进一步剔除, 即设定一个M×M的滑动小窗(本文M取5), 将判断点设置为小窗中心, 当小窗中心及其他距离库的有效回波少于整个小窗的60%时, 则断定当前小窗中心点为无效回波, 给予滤除; 通过移动小窗位置, 遍历雷达资料的所有距离库和所有时次。
(2) MRR-2: MRR-2原始资料中存在大量的非降水杂波, 本文根据雷达的雨强R探测结果, 结合上述的小窗滤波对非降水杂波进行滤除, 即: 将R<0.01 mm∙h-1的数据进行删除, 同时对ZVf 、 LWC和雨滴谱资料进行同步处理; 随后再利用M×M滑动小窗进一步滤波处理。
(3) DSG4: 与Parsivel2等光学雨滴谱仪类似, 因设备自身性能的局限性, DSG4实际探测中会出现部分低可信度的病态数据。首先, 考虑仪器的实际灵敏度, 本文将信噪比较低的前两个直径通道数据剔除(Chen et al, 2017)。其次, 考虑到雨滴下落过程中破碎和重叠的影响, 删除直径超过6 mm的雨滴(Zheng et al, 2019)。为消除非降水因素的干扰, 排除每分钟观测的雨滴总数量小于10个或降水强度小于0.01 mm∙h-1的样本(金祺等, 2015)。最后, 按照实际观测结果与Atlas et al(1973)所提出的理论模型, 将观测与理论偏差超过±60%(即雨滴落速和粒径严重不相符)的数据也删除(Friedrich et al, 2013)。
为说明上述质量控制方法的效果, 图2给出了2023年8月23日云-降水个例质量控制前和控制后的雷达反射率因子和地面雨滴谱对比。从图2(a), (c), (e)可见, Ka-CPR原始资料在10:00 -16:00(北京时, 下同)3~5 km高度上存在部分异常杂波(红色虚线圈出), MRR-2所有高度层都存在着大量非降水回波, DSG4在非降水时刻也测量到了少部分零散的杂波。对比图2(b), (d), (f)可见, 经过质量控制后, 上述各类异常或非降水杂波都被有效滤除, 保留的观测数据更为可信。
图2 2023年8月23日云-降水个例质量控制前和控制后的对比 (a)、 (c)、 (e)分别为质量控制前Ka-CPR、 MRR-2和DSG4的反射率因子和地面雨滴谱, (b)、 (d)、 (f)对应为质量控制后的结果

Fig.2 Comparisons of observation results before and after data quality control for a cloud-precipitation case on 23 August, 2023.Subgraphs (a), (c), and (e) are radar reflectivity factor and ground rain spectrum observed by the Ka-CPR, MRR-2, and DSG4 before quality control, (b), (d), and (f) are corresponding results after quality control

为验证三部设备观测的一致性, 在同种观测要素时空匹配后, 进一步定量对比三部设备的观测结果。图3给出了2023年9月1日三部设备在02:00 - 12:00的ZVm 时序对比。Ka-CPR和MRR-2观测高度分别选为150 m和140 m, DSG4为地面; 表1列出了不同设备两两之间的平均绝对误差MAE、 均方根误差RMSE和相关系数CC。结果表明, 三部设备测量结果较为一致, 数值及其变化趋势都非常吻合; 三部设备Z的MAE和RMSE分别在0.75~2.33 dBz和0.95~3.04 dBz, CC均不低于0.97, 两部雷达Vm 的MAE、 RMSE和CC分别为0.19 m·s-1、 0.25 m·s-1和0.97。因探测方式更为相近, 两部雷达Z的测量一致性相较更好, 整体来看, 三部设备的观测资料质量较高。
图3 2023年9月1日三部设备测量的反射率因子(a)和径向速度(b)时序结果对比 Ka-CPR和MRR-2测量高度分别为150 m和140 m, DSG4为地面

Fig.3 Comparison of reflectivity factor (a) and radial velocity (b) measured by the three instruments on 1 September 2023, with Ka-CPR measured at 150 m, MRR-2 measured at 140 m and DSG4 at ground level

表1 图3中不同设备同种观测量之间的误差和相关性

Tabel 1 Bias and correlations of the same variable among different instruments corresponding to the Figure 3

观测量 误差和相关性参数 对比设备
Ka-CPR与MRR-2 Ka-CPR与DSG4 MRR-2与DSG4
Z /dBz MAE/dBz 0.75 2.33 2.16
RMSE/dBz 0.95 3.04 2.85
CC 0.99 0.97 0.98
Vm /(m·s-1 MAE/(m·s-1 0.19 - -
RMSE/(m·s-1 0.25 - -
CC 0.97 - -

-表示无数据(- notes no data)

3-降水垂直结构和宏观特征

3.1 云-降水概况和类型

为认识雅安天全地区2023年秋雨期上空的云-降水回波概况和基本特征, 首先对Ka-CPR测量的廓线进行统计和分析。观测期间Ka-CPR有效探测廓线数为96589根(分钟), 顶空有云雨回波的廓线数为58731根(占比60.8%), 其中包含地面发生降水的廓线24301根(占比25.16%)和地面未产生降水的廓线34430根(占比35.64%), 说明雅安天全地区非降水云的发生概率要高于降水云。进一步计算不同高度的云雨回波发生率, 该参数定义为每个距离库上雷达探测到的有效回波个数占雷达有效探测总次数的比例, 它反映了云雨回波在各个高度出现的概率。图4(a)给出了观测期间Ka-CPR观测的所有云、 降水云和非降水云的回波发生率随高度分布情况, 图4(b)为所有云的云顶高度(Cloud Top Height, CTH)(单位: km)概率分布, 图中H0(单位: km)和 σ(单位: km)分别为该站点观测期间的平均零度层高度及其标准差。CTH采用王喆等(2016)的方法反演得到, H0 σ为同址地基微波辐射计探测结果。由图4(a)可见, 从云顶往下, 站点上空云雨的发生率都先缓慢增大, 到零度层附近, 发生率都有明显突增; 零度层以下, 因蒸发等消散过程, 所有云和非降水云的发生率又逐渐减少, 但降水云持续发展, 发生率又进一步增大。图4(b)表明, 零度层附近的CTH分布概率也有显著的突增现象, 而其上下高度的CTH分布则较为连续; 结合图4(a)中零度层附近发生率的突增可以综合得出, 该地区有相当部分的云-降水发展高度是在零度层以下, 即为暖云-降水。
图4 观测期间不同云类的发生率随高度分布(a)及所有云的云顶高度概率分布(b)H0表示平均零度层高度, σ为标准差

Fig.4 Occurrence of cloud-precipitation at different high levels for different cloud types (all clouds, precipitating clouds, non-precipitating clouds) (a) and probability distribution of cloud top height for all clouds (b) during the observation period.The H0 and σ are the average height and its standard deviation of the atmospheric zero-degree layer

3.2 冷暖两类云-降水的垂直结构和宏观差异

鉴于雅安天全秋雨期冷暖云-降水均显著的特点, 本文根据H0和Ka-CPR廓线特征将该地区的云-降水分为两类, 即: 将云体80%回波位于H0+ σ高度之下的视为暖云-降水(Warm Cloud and Precipitation, WCP), 否则认为是冷云-降水(Cold Cloud and Precipitation, CCP)。分类结果表明, 观测期间, Ka-CPR中WCP和CCP廓线数分别为39431根(占比67.14%)和26906根(占比45.81%)。需要注意的是, 两类云-降水的廓线占比总和超过100%是由于部分廓线在高低层有冷暖云同时存在。同步到其他两个设备, 结果为MRR-2中WCP和CCP廓线数分别为39023根(占比59.56%)和26501根(占比40.44%), DSG4中WCP和CCP样本数分别为7060 min(占比51.80%)和6569 min(占比48.20%), 对应累计雨量分别为53.42 mm(占比32.71%)和109.9 mm(占比67.29%)。综合可见, 该地区WCP的发生频率比CCP的更高, 但平均降水强度更弱, 造成的地面降水量也更少。
为分析两类云-降水的垂直结构, 首先统计两类云-降水的Ka-CPR雷达观测参量, 图5给出了Z、 LDR、 VmW四个雷达参量的归一化高度-频率分布(Normalized Contoured Frequency by Altitude Diagram, NCFAD)。NCFAD反映了雷达参量在各个高度层和不同值域内的概率分布(Yuter et al, 2006), 计算公式如(2)所示, 其中, ij分别表示高度和雷达参量的区间序号, Ni, j 表示样本频数, sum(N)表示所有区间的频数总和。
图5 观测期间WCP和CCP四个雷达参量随高度的概率分布 (a)~(d)分别为WCP的Ka-CPR反射率因子Z、 线性退极化比LDR、 平均多普勒速度Vm 、 速度谱宽W, (e)~(h)分别为CCP的Ka-CR反射率因子Z、 线性退极化比LDR、 平均多普勒速度Vm 、 速度谱宽W

Fig.5 Probability distributions of four radar variables versus height for the WCP and CCP during the observation period.(a)~(d) and (e)~(h) are radar reflectivity factor Z, linear depolarization ratio LDR, mean Doppler velocity Vm, spectrum width W for WCP and CCP observed by Ka-CPR, respectively

N C F A D = N i , j s u m ( N )
图5(a)和(e)可见, 两类云-降水的回波垂直分布差异显著, WCP的回波主要分布在5 km以下, CCP的回波高频区一部分伸展到8 km, 另一部分则可发展至13 km。WCP的Z高频区为-20~15 dBZ, CCP的Z高频区分布更广, 为-30~35 dBZ, 即CCP的雷达回波整体较WCP明显更强。WCP整层以液态粒子的凝结和碰并为增长过程, CCP冰相层以冰晶的凝华、 聚合和淞附等为增长过程, 经融化层后, 又以雨滴的碰并为增长过程; CCP在5~8 km的Z高频区斜率超过WCP液态整层的, 而CCP在8~15 km的Z高频区斜率又比WCP液态层的更小, 这反映了冰晶聚合及淞附的回波增长速率超过了纯液态云雨滴碰并的回波增长速率, 而后者又超过了以冰晶同质核化凝华的回波增长速率。对比图5(b)~(d)和图5(f)~(h)可见, 因冰相粒子融化, CCP的LDR在零度层附近有突增现象, 而WCP则没有该现象; CCP的Vm 高频区值比WCP的更小, W高频区值则更大, 说明CCP产生的雨滴平均尺度更大、 浓度分布也更宽。
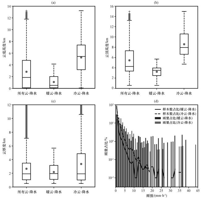
进一步统计不同类型云-降水下Ka-CPR探测的CTH、 云底高度(Cloud Base Height, CBH)(单位: km)、 云厚度(Cloud Thickness, CTK)(单位: km)和DSG4测量的地面降水。图6(a)~(c)为两类云-降水的CTH、 CBH和CTK箱线图统计结果, 可见, 两类云-降水的云宏观参数差异显著, CCP的云底和云顶明显更高、 云层更厚, CCP与WCP的CTH平均值分别为8.59 km和3.23 km, CBH平均值分别为5.26 km和1.07 km, CTK平均值分别为3.35 km和2.18 km; CCP的三个宏观参数相比WCP变化更大, 数值分布也更分散。图6(d)为地面不同雨强下两类降水的样本数和雨量占比分布, 结果表明, 该地区秋雨期的地面降水整体以小到中雨为主, R 5 mm·h-1的降水样本可占97.25%, 贡献了69.2%的总雨量, 剩余的R>5 mm·h-1的强降水样本仅占2.75%, 但可贡献总雨量的30.8%, 即存在个别强降水过程。WCP和CCP的地面降水差异也较为显著, WCP大部分弱降水(R 1 mm·h-1, 占比90.82%)和极少部分强降水(R 13 mm·h-1, 占比1.24%)的占比均超过CCP, 而1 mm·h-1<R<13 mm·h-1强度的降水占比则比CCP的更低。WCP和CCP平均地面雨强分别为0.45 mm·h-1和1.01 mm·h-1
图6 所有云-降水、 WCP、 CCP的Ka-CPR观测的云底高度、 云顶高度和云厚度的箱线图(a~c)和不同雨强下DSG4观测的降水样本数及雨量占比(d)

Fig.6 Boxplots of Ka-CPR measured cloud base height, cloud top height and cloud thickness (a~c) and percentages of DSG4 observed rain sample numbers and rain amounts under different rain rates (d) for all cloud-precipitation, WCP and CCP

4 冷暖两类降水的微观特征及差异

为进一步认识两类降水的微观特征及其随高度变化的差异, 对MRR-2测量的不同高度的雨滴谱和DSG4测量的地面雨滴谱分别展开对比和分析。

4.1 空中雨滴谱随高度的变化和差异

由于试验期间MRR-2的空间分辨率为35 m, 其最大探测高度为1085 m。因此以下是对两类降水的近地面液态降水的垂直结构和变化进行对比分析。首先对MRR-2不同高度的平均雨滴谱进行分析, 图7给出了两类降水从1085~140 m每隔105 m高度上的平均雨滴谱分布情况。为便于定量描述雨滴的尺度大小, 参考Seela et al(2018)的研究, 将雨滴按尺寸划分为小雨滴(D<1 mm)、 中雨滴(1 mm D<3 mm)和大雨滴(D 3 mm)三个等级。从平均雨滴谱随高度下降的变化来看, WCP的小雨滴浓度呈“降低-升高-降低-升高”的趋势, 浓度降低是因为小雨滴在下落过程中的蒸发消散或碰并成中大雨滴, 浓度升高则是由于一些暖云-降水过程在强水汽输送或强上升条件下造成大量小雨滴凝结(杨康权等, 2019); 665 m和350 m附近为小雨滴主要聚集的高度。与之相比, CCP的小雨滴浓度呈“先增大后减小”的趋势, 这是由于在770 m高度层以上, CCP的冰相粒子融化成小雨滴, 且融化速率大于雨滴碰并速率, 故小雨滴浓度有所增大; 而在770 m高度层以下, 雨滴增长主要以碰并为主, 使得小雨滴浓度有所下降。碰并作用也使得两类降水的中大雨滴浓度整体都随高度下降而升高。从各个高度层的平均谱差异来看, 在455 m高度层及以上, WCP几乎所有粒径的雨滴数浓度都低于CCP; 但到455 m以下, WCP的小雨滴和大雨滴浓度高于CCP, 中雨滴浓度则更低, 这种现象的原因也是由于一些强烈的暖云-降水过程在低层强水汽输送和上升气流的作用下, 低层不仅有大量小雨滴凝结, 同时可一直碰并产生部分更大的雨滴。闵涛等(2020)对2018年7月14日雅安市发生的一次暖区暴雨的研究中, 也发现了在低层水汽充沛和强上升运动情况下, 尽管该地区降水发展高度甚至不超过3 km, 但可导致地面出现较多的大雨滴。
图7 观测期间MRR-2在不同高度上观测的两类降水的平均雨滴谱 (a)~(j)分别代表1085 m、 980 m、 875 m、 770 m、 665 m、 560 m、 455 m、 350 m、 245 m和140 m的结果

Fig.7 The average raindrop spectra of the two types of precipitation observed at different height levels by MRR-2 during the observation period.(a)~(j) are results for 1085 m, 980 m, 875 m, 770 m, 665 m, 560 m, 455 m, 350 m, 245 m and 140 m, respectively

进一步利用MRR-2观测的雨滴谱计算出雨滴的质量加权平均直径Dm (单位: mm)和数浓度截距参数Nw (单位: m-3·mm-1), DmNw 分别代表了雨滴谱整体的粒径和浓度情况, 且是目前雨滴谱模型―标准化Gamma分布的两个核心参数。图8为两类降水DmNw 随高度的概率分布。从统计结果可见, WCP的Dm 明显比CCP的小, 但Nw 则更大, 这与图7的结论一致, 即说明暖云-降水整体粒径更小、 但数浓度却更高, 而冷云-降水因融化形成的初始雨滴更大, 碰并-破碎等更倾向于平衡, 使得中型雨滴的数浓度更高, 导致积分得到的Dm 更大、 Nw 更小。从高度变化来看, WCP的Dm 整体上随高度变化不大, 这是因为WCP不仅有小雨滴碰并成中大雨滴的过程, 还存在新凝结成小雨滴的过程; CCP的Dm 随高度有略微增大, 而两类降水的Nw 都随高度下降有所减小。
图8 观测期间MRR-2观测的两类降水的质量加权平均直径Dm 和数浓度截距参数Nw 随高度的概率分布 (a)和(c)分别为WCP的DmNw, (b)和(d)分别为CCP的DmNw

Fig.8 Probability distribution of mass-weighted mean diameter Dm and number concentration intercept parameter Nw with height for two types of precipitation observed by MRR-2 during the observation period.(a) and (c) are Dm and Nw for WCP, and (b) and (d) are Dm and Nw for CCP, respectively

4.2 地面雨滴谱及其他物理参量的差异

利用DSG4测量结果对比两类降水在地面的雨滴谱及其他物理量的差异。图9(a)给出了两类降水的地面平均雨滴谱对比。整体上, WCP在D 0.6 mm和D 3.6 mm时的雨滴数浓度比CCP高, 但在这两个直径阈值中间的雨滴数浓度则更低。为更细致地了解不同降水强度下的差异, 进一步将雨强分为下列五个区间: C1(R 0.1 mm·h-1)、 C2(0.1 mm·h-1< R 1 mm·h-1)、 C3(1 mm·h-1< R 5 mm·h-1)、 C4(5 mm·h-1< R 10 mm·h-1)和C5(R>10 mm·h-1), 图9(b)~(f)为这五个区间的平均雨滴谱对比。结果可见, 当降水强度较弱时(C1和C2), WCP相较CCP, 表现出小雨滴更多、 中大雨滴更少; 但当降水强度超过一定程度后(C3~C5), 暖云-降水在低空充沛水汽和地形的强动力抬升作水用下, 形成了部分更大的雨滴, 尤其当R超过5 mm·h-1以后。此外, 对于较强的CCP, 其也会因中尺度筛选或碰并-破碎平衡等过程, 导致小雨滴和大雨滴向中雨滴转化(陈绍婕等, 2023)。表2列出了不同雨强区间两类降其他物理量的平均值, 结果表明, 上述的雨滴谱差异导致了WCP几乎所有雨强区间(除了C1)的平均Nt 都大于CCP的; 而其他物理量在C1~C4区间, WCP的RZWDm 整体上都比CCP的更小, Nw 则更大; 而对于雨强超过10 mm·h-1(C5)的少部分强降水, WCP大雨滴浓度贡献逐渐凸显, 除了Nw, 其他参量都比CCP的更大。
图9 DSG4在不同降水强度下观测的两类降水的平均雨滴谱 (a)为整体结果, (b)~(f)分别代表雨强为C1(R 0.1 mm·h-1)、 C2(0.1 mm·h-1< R 1 mm·h-1)、 C3(1 mm·h-1< R 5 mm·h-1)、 C4(5 mm·h-1< R 10 mm·h-1)和C5(R>10 mm·h-1)的结果, 其中黑色字体为WCP的样本数, 灰色字体为CCP的样本数

Fig.9 Mean raindrop spectra of two types of precipitation observed by DSG4 at different precipitation intensities.(a) is the overall result, and (b)~(f) represent rain intensities of C1 (R 0.1 mm·h-1), C2 (0.1 mm·h-1< R 1 mm·h-1), C3 (1 mm·h-1< R 5 mm·h-1), C4 (5 mm·h-1< R 10 mm·h-1) and C5 (R>10 mm·h-1) results, where the black font is the sample size for WCP and the gray font is the sample size for CCP

表2 DSG4观测的两类降水的 R Z W Nt Dm Nw 在不同雨强下的平均值

Table 2 Results of R Z W Nt Dm and Nw for two types of precipitation observed by DSG4 at different rainfall intensities mean values

物理量 降水类型 不同雨强区间
All C1 C2 C3 C4 C5
R/(mm·h-1 WCP 0.46 0.04 0.31 2.16 6.60 20.49
CCP 1.01 0.04 0.39 2.15 6.95 15.87
Z/dBZ WCP 6.66 -0.21 12.00 27.11 36.93 47.99
CCP 16.02 2.45 16.08 29.57 37.88 43.61
W/(g·m-3 WCP 0.03 0.005 0.03 0.13 0.33 0.85
CCP 0.05 0.005 0.03 0.11 0.33 0.67
Nt /m-3 WCP 231.80 88.67 356.57 557.54 722.03 1665.85
CCP 182.51 93.12 168.92 279.39 420.05 539.77
Dm /mm WCP 0.67 0.53 0.72 1.25 1.90 3.02
CCP 1.03 0.63 0.95 1.50 1.93 2.38
log10 Nw /(m-3·mm-1 WCP 3.70 3.54 3.94 3.72 3.42 2.92
CCP 3.71 3.73 3.78 3.60 3.51 3.35

5 讨论

本节对少部分强降水情况下的Ka-CPR雷达观测结果进一步分析, 并讨论WCP与CCP雨滴谱差异的原因。图10给出了两类降水在R 5 mm·h-1时Ka-CPR观测的雷达参量Z、 LDR、 VmW的中位数(曲线)和极值(阴影左右边缘代表最小和最大值)对比。以中位数的情况来看, 整体上与图5的结论一致, WCP的Z、 LDR和W均比CCP小, Vm 较CCP大。但由两类降水的极值区间可见, 图10(a)中, 在3 km以下高度, WCP的Z最大值区较CCP稍大, 因粒子直径D是影响Z大小的主要因素, 因此说明WCP存在部分比CCP更大的雨滴。由图10(b)~(d)也可以看出, 在3 km以下, WCP的LDR和W最大值区均大于CCP。LDR表征了雨滴形状偏离球体的程度, 雨滴越大形状越不规则, LDR就越大; W则反映了不同粒子下落速度的差异, 因此WCP更大的LDR和W也都能说明WCP存在部分比CCP更大的雨滴。杨康权等(2019)闵涛等(2019)竹利等(2024)的研究也表明, 对于雅安地区, 低空急流会将大量的暖湿空气输送到降水区域, 为暖云-降水提供更为充沛的水汽条件, 加之地形的抬升作用促使水汽在山前积聚, 导致低层水汽通量散度较大, 进而增加降水强度并形成部分更大的雨滴。同时注意到, 图10(c)中WCP的Vm 最大值区比CCP更大, Vm 代表了雨滴下落末速度和上升气流速度之和, 正值代表了大气的强上升运动, 对比图10(a), 两类降水的Z最大值区差距较小, 但WCP的Vm 却更大, 说明存在更强烈的上升气流有利于WCP的小雨滴被托举在空中碰并成大雨滴。
图10 R 5 mm·h-1时Ka-CPR观测的两类降水的反射率因子Z(a)、 线性退极化比LDR(b)、 平均多普勒速度Vm (c)和速度谱宽W(d)的中位数和极值对比结果 曲线代表中位数, 阴影左右边缘代表最小值和最大值

Fig.10 Comparison results of median and extreme values of radar reflectivity factor Z (a), linear depolarization ratio LDR (b), mean Doppler velocity Vm (c), spectrum width W (d) for the two types of precipitation observed by Ka-CPR at R 5 mm·h-1.The curves represent the median and the shaded left and right edges represent the minimum and maximum values

6 结论

本文利用雅安天全地区2023年秋雨期的Ka-CPR、 MRR-2和DSG4观测资料, 对该地区的云-降水类型、 不同类型云-降水的垂直结构以及宏微观差异进行研究, 主要得到以下主要结论:
(1) 雅安秋雨期观测期间, 三部设备的统计结果表明, WCP的廓线占比均超过50%, 说明WCP的发生率超过CCP, 但降水强度更弱。两类云-降水的垂直结构差异显著, CCP的Z高频区分布更广, 回波整体更强; 因冰相粒子融化, CCP的LDR在零度层附近存在突增现象, 与WCP相比, CCP的Vm 高频区值更小, W高频区值更大, 说明其产生的雨滴平均尺度更大、 浓度分布更宽。
(2) 两类云-降水在宏观参数上也存在一定的差异。与WCP相比, CCP的云底和云顶更高, 云层更厚, 数值分布更分散。对于降水强度, 整体而言, 雅安天全秋雨期的地面降水以小到中雨为主, R 1 mm·h-1R 13 mm·h-1时WCP占比超过CCP。
(3) 对于两类云-降水的微观差异, 从平均雨滴谱随高度变化的情况来看, 开始CCP冰相粒子融化且速率大于雨滴碰并速率, 而后雨滴增长以碰并为主, 故CCP小雨滴浓度呈现出“先增大后减小”的趋势; WCP小雨滴浓度则是“降低-升高-降低-升高”波动变化, 这是因为雨滴下落过程中的蒸发消散或碰并作用, 加上强水汽输送或强上升气流导致小雨滴凝结, 使得WCP的小雨滴浓度反复变化。两类降水的中大雨滴浓度则整体随高度下降而升高。
(4) 从两类降水微物理特征随高度的变化和差异来看, 在455 m以下, 整体上WCP的小雨滴和大雨滴浓度高于CCP, 中雨滴浓度较CCP低; 在455 m以上, WCP的所有粒径雨滴浓度几乎都高于CCP。从不同降水强度中两类降水表现的差异来看, 在降水强度较弱时(C1~C2), WCP的所有粒径雨滴浓度都较低; 降水增长到一定强度后(C3~C5), WCP则会产生少部分更大的雨滴和更多的小雨滴。
需要说明的是, 随着观测资料时限的持续累计, 未来计划将进一步对该地区地形影响云-降水的机制和该降水云启动机制等方面开展深入研究。
Atlas D Srivastava R C Sekhon R S1973.Doppler radar characteristics of precipitation at vertical incidence[J].Reviews of Geophysics11(1): 1-35.DOI: 10.1029/RG011i001p00001 .

Chen B J Hu Z Q Liu L P, et al, 2017.Raindrop size distribution measurements at 4500 m on the Tibetan Plateau during TIPEX‐III[J].Journal of Geophysical Research: Atmospheres122(20): 11092-11106.DOI: 10.1002/2017JD027233 .

Deng H Hua W Ming J, et al, 2023.Reversal of decadal trend in West China autumn rainfall in the late 1990s and possible causes[J].Atmospheric Research, 294: 106984.DOI: 10.1016/j.atmosres.2023.106984 .

Ding Y H2007.The variability of the Asian summer monsoon[J].Journal of the Meteorological Society of Japan, 85B: 21-54.DOI: 10.2151/jmsj.85B.21 .

Friedrich K Higgins S Masters F J, et al, 2013.Articulating and stationary PARSIVEL disdrometer measurements in conditions with strong winds and heavy rainfall[J].Journal of Atmospheric and Oceanic Technology30(9): 2063-2080.DOI: 10.1175/JTECH-D-12-00254.1 .

Li Y Q Li D J Yang S, et al, 2010.Characteristics of the precipitation over the eastern edge of the Tibetan Plateau[J].Meteorology and Atmospheric Physics106(1/2): 49-56.DOI: 10.1007/s00703-009-0048-1 .

Seela B K Janapati J Lin P L, et al, 2018.Raindrop size distribution characteristics of summer and winter season rainfall over North Taiwan[J].Journal of Geophysical Research-atmospheres, 123: 11-602.DOI: 10.1029/2018JD028307 .

Wang R Jiang Z S Chen F J, et al, 2023.Comprehensive properties of non-penetrating and penetrating deep convection precipitation in summer over the Tibetan Plateau derived from GPM observations[J].Atmospheric Research, 295: 107000.DOI: 10.1016/J.ATMOSRES.2023.107000 .

Wei T He S P Yan Q, et al, 2018.Decadal shift in west China autumn precipitation and its association with sea surface temperature[J].Journal of Geophysical Research-atmospheres, 123: 835-847.DOI: 10.1002/2017JD027092

Xu X D Lu C G Shi X H, et al, 2008.World water tower: an atmospheric perspective[J].Geophysical Research Letters35(20): L20815.DOI: 10.1029/2008GL035867 .

Yan Y F Liu Y M2019.Vertical structures of convective and stratiform clouds in boreal summer over the Tibetan Plateau and its neighboring regions[J].Advances in Atmospheric Sciences36(10): 1089-1102.DOI: 10.1007/s00376-019 8229-4 .

Yan Y F Liu Y M Lu J H2016.Cloud vertical structure, precipitation, and cloud radiative effects over Tibetan Plateau and its neighboring regions[J].Journal of Geophysical Research: Atmospheres121(10): 5864-5877.DOI: 10.1002/2015JD024591 .

Yang B Y Ren S L Wang X, et al, 2024.Precipitation characteristics at different developmental stages of the Tibetan Plateau Vortex in July 2021 based on GPM-DPR Data[J].Remote Sensing16(11): 1947.DOI: 10.3390/RS16111947 .

Yu R C Wang B Zhou T J2004.Climate effects of the deep continental stratus clouds generated by the Tibetan Plateau[J].Journal of Climate17(13): 2702-2713.DOI: 10.1175/1520-0442(2004)017<2702: ceotdc>2.0.co; 2 .

Yuter S E Kingsmill D E Nance L B, et al, 2006.Observations of precipitation size and fall speed characteristics within coexisting rain and wet snow[J].Journal of Applied Meteorology and Climatology45(10): 1450-1464.DOI: org/10.1175/JAM2406.1 .

Zhao P Xu X Chen F, et al, 2018.The third atmospheric scientific experiment for understanding the earth-atmosphere coupled system over the Tibetan Plateau and its effects[J].Bulletin of the American Meteorological Society99(4): 757-776.

Zheng J F Zhang P W Liu L P, et al, 2019.A study of vertical structures and microphysical characteristics of different convective cloud-precipitation types using Ka-Band millimeter wave radar measurements[J].Remote Sensing, 11: 1810.DOI: 10.3390/rs11151810 .

Zhou B T Wang Z Y2019.Enlightenment from heavy autumn rain of west China in 2017: synergic role of atmospheric circulation at mid-high latitudes and oceanic background[J].Theoretical and Applied Climatology, 138: 263-274.DOI: 10.1007/s00704-019-02809-9 .

Zhou W L Li Y Q Liu C, et al, 2023.Physical Mechanism of the Development and Extinction of the China Southwest Vortex[J].Atmosphere, 14: 337.DOI: 10.3390/atmos14020337 .

蔡芗宁, 周庆亮, 钟青, 等, 2007.边界层参数化对“雅安天漏”降水数值模拟的影响[J].气象33(5): 12-19.

Cai X N Zhou Q L Zhong Q, et al, 2007.Impact of boundary layer parameterization on numerical simulation of “Ya-An-Tian-Lou”[J].Meteorological Monthly33(5): 12-19.

曾庆存, 宇如聪, 彭贵康, 等, 1994.“雅安天漏”研究 Ⅲ: 特征、 物理量结构及其形成机制[J].大气科学18(6): 649-659.

Zeng Q C Yu R C Peng G K, et al, 1994.Research on “Ya-An-Tian-Lou” Part Ⅲ: the physical structure and possible mechanism[J].Scientia Atmospherica Sinica18(6): 649-659.

常祎, 郭学良, 2016.青藏高原那曲地区夏季对流云结构及雨滴谱分布日变化特征[J].科学通报61(15): 1706-1720.DOI: 10.1360/N972015-01292.Chang Y

Guo X L2016.Characteristics of convective cloud and precipitation during summer time at Naqu over Tibetan Plateau[J].Chinese Science Bulletin61(15): 1706-1720.DOI: 10.1360/N972015-01292 .

陈绍婕, 2023.基于C-FMCW雷达资料的华南云-降水垂直结构和微物理特征研究[D].成都: 成都信息工程大学.Chen S J, 2023.The vertical structural of precipitation cloud and microphysics of precipitation in south China based on the C-FMCW Radar[D].Chengdu: Chengdu University of Information Technology.

高国路, 李扬, 李嘉琪, 等, 2022.850 hPa低空急流影响下的一次雅安暴雨天气过程分析[J].高原山地气象研究42(1): 19-23.DOI: 10.3969/j.issn.1674-2184.2022.Z1.004.Gao G L

Li Y Li J Q, et al, 2022.Study of a heavy rainfall weather in Ya’an under the influence of 850 hpa low-level jet[J].Plateau and Mountain Meteorology Research42(1): 19-23.DOI: 10.3969/j.issn.1674-2184.2022.Z1.004 .

江叶, 刘艳霞, 文军, 等, 2024.一次典型西南涡降水的垂直结构和微物理特征研究[J].成都信息工程大学学报39(6): 718-726.DOI: 10.16836/j.cnki.jcuit.2024.06.011.Jiang Y

Liu Y X Wen J, et al, 2024.Vertical structure and microphysical characteristics of clouds and precipitation induced by a typical southwest vortex[J].Journal of Chengdu University of Information Technology39(6): 718-726.DOI: 10.16836/j.cnki.jcuit.2024.06.011 .

金祺, 袁野, 刘慧娟, 等, 2015.江淮之间夏季雨滴谱特征分析[J].气象学报73(4): 778-788.DOI: 10.11676/qxxb2015.036.Jin Q

Yuan Y Liu H J, et al, 2015.Analysis of microphysical characteristics of the raindrop spectrum over the area between the Yangtze River and the Huaihe River during summer[J].Acta Meteorologica Sinica73(4): 778-788.DOI: 10.11676/qxxb2015.036 .

刘黎平, 郑佳锋, 阮征, 等, 2015.2014年青藏高原云和降水多种雷达综合观测试验及云特征初步分析结果[J].气象学报73(4): 635-647.DOI: 10.11676/qxxb2015.041.Liu L P

Zheng J F Ruan Z, et al, 2015.The preliminary analyses of the cloud properties over the Tibetan Plateau from the field experiments in clouds precipitation with the various radars[J].Acta Meteorologica Sinica73(4): 635-647.DOI: 10.11676/qxxb2015.041 .

罗晶, 2023.基于星载测雨雷达观测对夏季青藏高原降水特征的研究[D].合肥: 中国科学技术大学.Luo J, 2023.A study of summer precipitation characteristics on the Tibetan Plateau based on satellite-borne precipitation radar observations[D].Hefei: University of Science and Technology of China.

梅双丽, 陈尚锋, 2022.华西秋雨变异特征及其成因分析[J].高原气象41(6): 1492-1500.DOI: 10.7522/j.issn.1000-0534.2021.00092.Mei S L

Chen S F2022.Varation characteristics causes of autumn rain in western China[J].Plateau Meteorology41(6): 1492-1500.DOI: 10.7522/j.issn.1000-0534.2021.00092 .

苗秋菊, 徐祥德, 施小英, 2004.青藏高原周边异常多雨中心及其水汽输送通道[J].气象30(12): 44-47.

Miao Q J Xu X D Shi X Y2004.Water vapor transport structure of anomalous rainy centers in the ambient area of Tibetan Plateau[J].Meteorological Monthly30(12): 44-47.

闵涛, 吴筱, 高文良, 等, 2020.雅安市一次暖区强降水过程中多普勒雷达回波特征分析[J].中低纬山地气象44(3): 13-18.

Min T Wu X Gao W L, et al, 2020.Analysis of Doppler radar echo characteristics in a warm-sector heavy rainfall process in Ya’an[J].Mid-low Latitude Mountain Meteorology44(3): 13-18.

闵涛, 吴亚平, 吴筱, 等, 2019.雅安区域性暖区暴雨特征及其概念模型的建立[J].气象研究与应用40(3): 38-42.

Min T Wu Y P Wu X, et al, 2019.Characteristics of rainstorm in Ya’an regional warm zone and its conceptual model establishment[J].Journal of Meteorological Research and Application40(3): 38-42.

彭贵康, 柴复新, 曾庆存, 等, 1994.“雅安天漏”研究 Ⅰ: 天气分析[J].大气科学18(4): 466-475.

Peng G K Chai F X Zeng Q C, et al, 1994.Research on “Ya-An-Tian-Lou”, Part Ⅰ: weather analysis[J].Scientia Atmospherica Sinica18(4): 466-475.

王喆, 王振会, 曹晓钟, 2016.毫米波雷达与无线电探空对云垂直结构探测的一致性分析[J].气象学报74(5): 815-826.DOI: 10.11676/qxxb2016.057.Wang Z

Wang Z H Cao X Z, et al, 2016.Consistency analysis for cloud vertical structure derived from millimeter cloud radar and radiosonde profiles[J].Acta Meteorologica Sinica74(5): 815-826.DOI: 10.11676/qxxb2016.057 .

徐裕华, 1991.西南气候[M].北京: 气象出版社, 298.

Xu Y H1991.Climate of Southwest China[M].Beijing: China Meteorological Press, 298.

杨康权, 肖递祥, 罗辉, 等, 2019.四川盆地西部两次暖区暴雨过程分析[J].气象科技47(5): 795-808.DOI: 10.19517/j.1671-6345.20180405.Yang K Q

Xiao D X Luo H, et al, 2019.Analysis of two warm-sector heavy rain processes in western Sichuan Basin[J].Meteorological Science and Technology47(5): 795-808.DOI: 10.19517/j.1671-6345.20180405 .

张琪, 李跃清, 陈权亮, 等, 2011.近46 年西南地区云量的时空变化特征[J].高原气象30(2): 339-348.

Zhang Q Li Y Q Chen Q L, et al, 2011.Temporal and spatial distributions of cloud cover over southwest China in recent 46 years[J].Plateau Meteorology30(2): 339-348.

郑佳锋, 2016.Ka波段—多模式毫米波雷达功率谱数据处理方法及云内大气垂直速度反演研究[D].南京: 南京信息工程大学.Zheng J F, 2016.Doppler spectral data processing methods of Ka-band multi-mode mm-wave Radar and air vertical speed retrieval in clouds[D].Nanjing: University of Information Technology.

周秋雪, 李跃清, 蒋兴文, 等, 2016.“雅安天漏”降水变化气候特征的分析[J].自然资源学报31(2): 343-353.DOI: 10.11849/zrzyxb.20141350.Zhou Q X

Li Y Q Jiang X W, et al, 2016.Analysis on the climatic characteristics of the precipitation variations at “Ya’an Sky-leakage”[J].Journal of Natural Resources31(2): 343-353.DOI: 10.11849/zrzyxb.20141350 .

竹利, 蒋兴文, 卢萍, 等, 2024.雅安地区一次暖区暴雨过程的对流触发机制分析[J].大气科学48(5): 1693-1710.DOI: 10.3878/j.issn.1006-9895.2311.23074.Zhu L

Jiang X W Lu P, et al, 2024.Analysis of the convective triggering mechanism of a warm-sector rainstorm in the Ya’an region[J].Chinese Journal of Atmospheric Sciences48(5): 1693-1710.DOI: 10.3878/j.issn.1006-9895.2311.23074 .

Outlines

/