Modelling of the Feedback Effect of Soil Moisture Anomalies on Precipitation Feedback in Wetlands of the Three-River Regions

  • Rui QUAN , 1, 2 ,
  • Rong LIU , 1 ,
  • Zuoliang WANG 1 ,
  • Xin WANG 1
Expand
  • 1. Key Laboratory of Cryospheric Science and Permafrost Engineering,Northwest Institute of Eco-Environment and Resources,Lanzhou 730000,Gansu,China
  • 2. University of Chinese Academy of Sciences,Beijing 100049,China

Received date: 2024-09-15

  Revised date: 2025-03-25

  Online published: 2025-12-04

Copyright

© Editorial Department of Plateau Meteorology (CC BY-NC-ND)

Abstract

The Three-River regions, as a crucial water source conservation area in China, plays a crucial role in maintaining the regional hydrological and climatic stability through its extensive highland wetlands.Considering the competitive interaction between soil moisture anomalies and precipitation feedback mechanisms under different environmental conditions, this study conducted control and sensitivity experiments based on the WRF meteorological model, combined with the CTP-HIlow framework and CAPE index, to assess the precipitation response under soil moisture anomaly conditions.The study preliminarily analyzes the impact characteristics and feedback mechanisms of soil moisture anomalies on regional weather, particularly precipitation processes.Specifically, based on transient simplified evaporation experiments and inversion methods, the WRF simulation incorporated hydrological measurement data from multiple soil samples collected within the study area.The results show that the hydraulic properties of wetland soils significantly influence surface thermal properties and energy distribution.The soil hydraulic parameters obtained using the simplified evaporation method significantly improved the model’s simulation of latent heat flux, sensible heat flux, surface temperature, 2-meter air temperature, and 2-meter specific humidity.Soil moisture anomalies have a significant impact on short-term precipitation processes.Under conditions of soil moisture anomalies, both CAPE and CTP values significantly increase, while HIlow values decrease, accompanied by an increase in atmospheric instability and water vapor content, leading to a clear positive feedback response in precipitation.In contrast, under dry anomaly conditions, CAPE and CTP values slightly decrease, while HIlow values increase, accompanied by reduced atmospheric instability and decreased water vapor content, with precipitation showing no clear feedback to soil moisture.The hydraulic characteristics of wetland soils, through regulating surface energy distribution and water vapor flux, significantly affect precipitation processes at both local and regional scales.Especially under soil moisture anomaly conditions, the hydrological regulation effect of wetland soils plays a crucial role in precipitation feedback mechanisms, further highlighting their key position in maintaining regional hydrological and climatic stability.

Cite this article

Rui QUAN , Rong LIU , Zuoliang WANG , Xin WANG . Modelling of the Feedback Effect of Soil Moisture Anomalies on Precipitation Feedback in Wetlands of the Three-River Regions[J]. Plateau Meteorology, 2026 , 45(1) : 17 -34 . DOI: 10.7522/j.issn.1000-0534.2025.00043

1 引言

三江源区地处青藏高原腹地, 是长江、 黄河、 澜沧江的发源地, 素有“中华水塔”之称。该区域属于典型的高原季风气候区, 干湿交替频繁, 地表主要被低矮且稀疏的苔草和蒿草覆盖, 表层土壤呈现季节性高含水量和较强的持水能力。同时, 青藏高原对全球气候变化极为敏感, 近年来暖湿化趋势不断加剧, 使得高原地区的能量和水分循环过程更加复杂多变(吴国雄等, 2005张人禾等, 2015)。准确预报该地区的降水对于中游和下游地区的水资源安全, 以及整个长江和黄河流域人民的生产、 生活和社会发展都具有十分重要的现实意义。然而, 近期的研究表明, 气候模式在模拟整个青藏高原的降水时存在较大的不确定性, 降水模拟的准确性已经成为提升气候系统模式模拟的瓶颈(Ma et al, 2022)。
根据世界粮农组织和联合国教科文组织提供的土壤分类学标准和数据库资料(Harmonized World Soil Database version 1.2, HWSD1.2)(https: //www.fao.org/soils-portal/data-hub/soil-maps-and-databases/faounesco-soil-map-of-the-world/en/), 三江源区的水源涵养地上分布着众多湿地。湿地环境的发育促成了大量的湿地土壤的形成, 该类土壤是生态、 水文和生物地球化学因素综合作用的结果: 饱和的厌氧条件阻碍了土壤中有机残留物的分解过程, 并导致腐殖质中芳香化合物的积累, 从而形成独特的湿地土壤(Treat et al, 2014)。湿地土壤通常表现出独特的结构性和质地性孔隙, 并伴有独特的物理、 化学、 热学和土壤水力特性(McCarter et al, 2020)。更重要的是, 这种独特的孔隙介质还会对区域天气气候、 地表水循环以及碳收支产生重要反馈(Davidson and Janssens, 2006Mozafari et al, 2023)。
湿地土壤以其高饱和含水量和高水分保持量特性著称, 而土壤湿度则能通过地表的蒸发和蒸腾过程引起局地大气可降雨量的变化, 是陆面过程的关键要素以及降雨的重要来源(Cailing et al, 2022)。土壤湿度对降水影响的初步猜想最早可以追溯到19世纪(Holzman, 1937)。到了20世纪下半叶, 早期的研究通过建模探讨了土壤湿度在全球和区域气候中的潜在作用, 并进行了敏感性试验(Charney et al, 1977Shukla and Mintz, 1982Yeh et al, 1984)。20世纪末, 许多研究集中在水分循环的概念上, 即量化区域蒸散发对降水水分的直接贡献比例, 并推测可能的陆气相互作用(Entekhabi et al, 1992)。这些分析大多基于模型或观测数据进行的简单水分收支计算(Eltahir and Bras, 1994)。此外, 在气候模型中使用水蒸气标记或计算逆向轨迹也取得了成功应用(Bosilovich and Chern, 2006)。然而, 近年来关于土壤湿度与降水耦合的研究不仅仅针对单一的水分循环, 更侧重于其间接的相互作用机制(Eltahir, 1998; Pal and Eltahir, 2008; 廖慧仁等, 2024)。这些机制强调, 在多数情况下, 理解土壤湿度与降水相互作用的关键在于土壤湿度异常对边界层稳定性和降水生成的影响, 而非由蒸散发变化引起的绝对水分输入变化(Findell and Eltahir, 2003aTaylor et al, 2007)。需要指出的是, 不同研究采用不同模型反映土壤湿度与气候之间的关系时, 通常表现出显著的差异性(Hohenegger et al, 2009)。
然而, 土壤湿度对天气的反馈机制在不同的环境条件下存在互相竞争和交替主导的现象, 这使得评估湿地土壤对局地天气和降雨的影响变得困难, 也使先验地分析高原湿地土壤湿度的反馈机制变得更复杂(Seneviratne et al, 2010)。湿地土壤湿度除了受降雨和径流等外部环境影响外, 主要由土壤的水力学性质决定。这些特性主要包括: 大孔隙数量、 持水能力、 饱和与非饱和导水率和毛细上升能力。浅表湿地土壤具有显著的大孔隙结构, 在近饱和状态下具有较高的导水率, 能够快速传导水分, 有利于湿地在降雨后迅速恢复次表层的水分含量; 在中等吸力范围内, 其较强的持水能力有利于土壤层保持湿润; 而干燥条件下, 湿地土壤表现出较强的毛细吸力, 甚至在极端干燥时从非饱和的空气中吸附水分。这些水力学性质不仅对湿地土壤中水分的保持和输送能力具有决定性作用, 还直接影响了土壤的蒸发能力以及植被蒸腾强度。同时, 较高的体积含水量不仅会提高土壤的热导率, 还能通过较高的热容减缓地表升温, 表现出削弱感热通量的趋势, 从而进一步影响地表温度和大气边界层的热力结构。此外, 在高含水量条件下, 湿地土壤中的酚类芳香化合物会抑制微生物活动(Bragazza et al, 2013), 从而影响温室气体(CO2和CH4)的排放, 进而作用于长期的气候过程。总体而言, 受其独特水力学特性影响, 湿地土壤下垫面在能量分配、 水分循环、 温室气体排放以及产汇流过程等方面, 均呈现出显著区别于矿质土壤的特征。
目前, 主流的陆面过程模式和区域气候模式, 以WRF(Weather Research and Forecasting Model)模式为例, 针对高原的土壤质地的选择, 通常沿用美国农业部的19类土壤质地分类, 并结合若干特殊类型(如有机土、 岩石等)设定不同物理参数。然而, 近期针对高原土壤物理性质的研究表明, 三江源区典型的水成土与浅育土所呈现的水力学特征, 与美国农业部体系下矿物土壤的水力学性质存在显著差异(Wang et al, 2024)。为此, 本文基于WRF模型中的Brooks-Corey水力学方法和理论框架, 结合三江源玛曲地区的实地采样和实验室分析, 获取适合高原湿地土壤的水力学模型参数, 开展高原湿地土壤对天气反馈机制的研究。
综上所述, 土壤的水力学性质对陆面过程和区域气候模式的模拟结果具有重要影响。然而, 目前针对湿地土壤水力学性质的研究仍然较为匮乏, 尤其是湿地土壤湿度异常如何影响区域降水过程, 尚缺乏系统的探讨。基于此, 本文以三江源地区湿地土壤湿度异常对降水的影响为切入点, 通过瞬态蒸发实验反演湿地土壤的水力学参数, 并以此为基础开展WRF模式的数值试验。结合统计学方法和CTP-HIlow理论框架, 分析湿地土壤含水量异常对对流性降水的反馈机制。研究旨在为青藏高原湿地土壤下垫面的陆气相互作用提供新的研究视角与理论支撑, 为高原区域气候模式的改进奠定科学基础。

2 研究区域与观测资料

2.1 研究区域概况

三江源区是中国多条大江大河的发源地, 同时也是中国青藏高原的重要生态屏障。源区总面积约为31.6×104 km2(89°E -103°E, 31°N -37°N), 属于高原季风气候, 区域内年平均气温变化范围在-4~4 ℃, 其中冬季寒冷且漫长。区域内降水主要集中在每年5 -9月, 年、 季降水量从东南向西北递减, 东南部年降水量能达到600 mm(Liu et al, 2019)。陆表覆盖下垫面类型以高山草甸和高山湿地为主, 其中高山湿地面积约为7.33×104 km2, 约占三江源区总面积的四分之一(陈旭等, 2023)。
基于维也纳国际应用系统研究所构建的世界土壤数据库资料, 图1(a)展示了研究区域下垫面土壤类型分布概况。在97°E -103°E, 31°N -37°N的大致范围内, 展示了黑钙土、 水成土、 灰褐土、 浅育土、 栗色土、 沙土以及水体等类型。其中黑钙土、 水成土和灰褐土均为典型的湿地土壤类型, 而浅育土属于发育深度较浅的湿地土壤。黑钙土指在湿润气候条件下形成的土壤, 主要由深色的有机物和矿物质混合而成, 具有较高的有机质和较好的水分保持能力, 其亚类包括常规黑钙土、 山地黑钙土等。水成土是一种富含有机物的土壤, 通常形成于湿润环境中, 水成土的有机物成分未完全分解, 表面常积水, 导致土壤具有较强的湿润性。水成土的亚类包括泥炭土、 腐殖泥炭土等。灰褐土是一种典型的湿润气候下形成的土壤, 其土壤中通常富含有机物, 呈现褐色或深褐色, 表层土壤较为深厚, 适合多种植物生长, 亚类主要包括潮湿灰褐土、 森林灰褐土等。浅育土是表土层发育较浅、 但已经部分发育出明显的土壤层次的土壤类型。一般发育于山区或丘陵地区, 土壤表层可能已经部分风化或受水分和植物生长的影响, 显示出一定的土壤剖面特征。浅育土的亚类包括草地浅育土、 粘土浅育土等。
图1 研究区域土壤类型分布图(a)、 采样点下垫面景观(b)、 观测站典型土壤剖面图(c)、 陆面观测站仪器(d)、 瞬态蒸发实验设备(e)、 冷镜基质吸力测量(f)和等温导水率测量(g)

Fig.1 Soil type distribution map of the study area (a), landscape of the sampling sites (b), typical soil profile of the observation station (c), instruments at the land surface observation station (d), transient evaporation experimental apparatus (e), cooling mirror matric potential measurement (f), and isothermal conductivity measurement (g)

图1(a)可知, 黑钙土主要集中在模拟区域的东部, 灰褐土主要分布在模拟区域的中心区域, 水成土主要集中于模拟区域的东南侧, 分布呈现以东南部河网密集区域为核心向外围扩散的特征, 浅育土主要分布于研究区域的西北侧。该区域通常被称为若尔盖-红原泥炭湿地。需要指出的是, 本研究是根据土壤类型分布情况选取典型湿地土壤下垫面进行的实地多点采样。

2.2 陆面观测站资料介绍

本研究采用的野外观测数据来源于架设在三江源玛曲地区的陆面过程野外综合试验场(33.5°N, 101.9°E, 3436 m)。该区域属于典型的高山湿地景观, 1967 -2017年平均年降雨量约为604 mm, 年平均气温约为1.8 ℃, 植被包括苔草属(Carex)、 橐吾属(Kobresia)、 泥炭藓(Sphagnum)(罗斯琼等, 2022)。站点浅层土壤具有植被残留多、 孔隙度大、 容重小、 腐殖质含量高等特点[图1(b), (c)]。后续分析中使用的数据包括感热/潜热通量、 2 m高度处的气温与相对湿度、 地表温度、 5 cm/20 cm/30 cm深度处的土壤湿度以及降水数据。基本观测变量的仪器型号及采样间隔等信息见表1。所用观测资料均经过了严格的数据质量控制及相关矫正分析, 具备较高的可靠性。
表1 陆面过程观测仪器及相关观测变量

Table 1 The land surface process observation instruments and associated observation variables

仪器型号 观测变量 采样间隔/min 观测高度(深度)/m
EC150 感热/潜热通量 30 2.0
HMP155A 空气温度/湿度 30 2.0
SI-111 地表温度 15 0.8
5TM/EC-TM(ECH2O) 土壤湿度 10 0.05、 0.20、 0.30
CSI TB4MM 降水 10 2.0

3 研究方法

3.1  WRF模型设置

本研究使用的WRF-ARW V4.4.2模型是广泛应用于大气科学研究和天气预报的数值模型。初始场和侧边界条件采用由美国国家环境预报中心提供的FNL(Final Analysis Fields)全球大气再分析数据集。FNL数据集的空间分辨率为1°×1°, 时间分辨率为6 h。模拟时段为2018年6月1日00:00(世界时, 下同)至16日00:00。模型采用单域模拟, 模拟域的空间覆盖面积为300 km×300 km [中心点位于(34°N, 101°E), 见图1(a)红色虚线框], 格点数为50×50, 水平分辨率为6 km, 垂直方向为不等距的45个层次, 模式层顶气压为50 hPa。时间步长为60 s, 模拟输出时间间隔为每分钟一次。
关键的物理参数化方案选取(表2)涵盖了微物理方案、 边界层方案、 辐射方案以及陆面过程方案。考虑到高原湿地土壤在水分交换、 能量传输和表面蒸发方面与湖泊及其他水体下垫面具有相似性, 本研究结合青藏高原地区相关研究文献和最佳实践, 选择了适合湿地条件的参数化方案, 以增强模拟结果的科学性和可靠性(Zhu et al, 2018Wu et al, 2019Zhang et al, 2020)。
表2 WRF模型物理参数化方案选取

Table 2 Selection of physical parameterization schemes in the WRF model

方案类别 选择
Microphysics Morrison 2-moment scheme (Morrison et al, 2009)
Cumulus Parameterization Multi-Scale Kain-Fritsch cumulus scheme (Zheng et al, 2016)
Surface Layer Revised MM5 Similarity Theory (Jimenez et al, 2012)
Land-Surface Model NoahMP Land Surface Model (Niu et al, 2011; Yang et al, 2011)
Planetary Boundary Layer Yonsei University planetary boundary layer physics (Hong et al, 2006)
Longwave radiation Rapid Radiative Transfer Model Longwave radiation (Mlawer et al, 1997)
Shortwave radiation MM5 Shortwave radiation (Dudhia et al, 1989)

3.2 模型土壤水力学参数化方案

陆-气交界面作为WRF模型的下边界, 决定了地表水热交换过程, 对WRF模式的模拟精度至关重要。因此, 选择适合的土壤水力学参数是准确开展模拟并探讨湿地土壤-天气反馈机制的重要前提。本研究所选取的Noah-MP陆面过程参数化方案默认将研究区域的土壤类型定义为“耕地”(Croplands)。然而, 最新研究表明, 研究区域实际的表层土壤更符合湿地土壤的特性(Wang et al, 2024)。由于WRF默认土壤类型中并不存在“湿地”这一类型, 本研究通过调整土壤水力学参数来体现湿地土壤的水力学特征。
在Noah-MP模块中, 土壤水力性质的参数化基于Brooks-Corey模型。该模型通过定义土壤水分保持曲线和非饱和导水率, 提供了解析Richards方程所需的基本参数。Richards方程描述了土壤水分在非饱和状态下的分布和运动规律, 是模拟土壤湿度变化的核心理论框架。这种参数化方法能够精确刻画土壤中水分的储存和迁移过程, 进一步揭示土壤湿度运动对陆-气交界面水分和能量交换的影响。通过调整模型中的关键水力学参数以适应湿地土壤, 研究能够更贴切地反映湿地土壤的独特水力行为, 为改进湿地环境下的陆-气相互作用模拟奠定基础。Brooks-Corey方案描述土壤持水和导水特征的方程分别如下:
θ ψ = θ r + θ s - θ r ψ ψ b - λ ψ > ψ b θ s ψ ψ b
K θ = K s θ - θ r θ s - θ r 3 + 2 λ ψ > ψ b K s ψ ψ b
式中: θ ψ表示在土壤吸力为 ψ时的土壤湿度, K θ是在含水量为 θ 时的非饱和导水率。 K s代表饱和导水率, θ s代表饱和含水量, θ r代表残余含水量, ψ b代表进气吸力, λ代表孔径分布指数。

3.3 降水头法和称重法

Brooks-Corey方案中的饱和导水率 K s和饱和含水量 θ s分别采用降水头法和称重法测得(De Rooij, 2004)。降水头法通过观察水头下降过程中水流的变化来推算土壤的渗透能力。在实验中, 首先将土样安装于250 cm³的环刀内, 浸泡于水中至水位略高于土壤表面, 然后进行6 h的脱气处理以确保土壤完全饱和。随后, 将饱和的土样置于UMS KSAT设备中进行测量[图1(g)], 通过非线性最小二乘回归拟合指数函数以计算 K s值, 并在20 ℃条件下对每个土样重复测量三次, 以提高测量结果的精度和可靠性。
称重法的核心步骤包括对土样进行饱和处理、 干燥和质量测量。具体来说, 将经过脱气饱和的土样静置24 h后以稳定含水状态, 然后放入75 °C的烘箱中干燥48 h, 最后使用分析天平测量其干重。饱和含水量 θ s根据土样在饱和状态下的水分重量与干重的比值计算得出, 同时通过干重与体积的比值计算出容重。

3.4 瞬态蒸发实验和简化蒸发方法

Brooks-Corey方案中的残余含水 θ r、 进气压力 ψ b以及孔径分布指数 λ是基于瞬态蒸发实验通过简化蒸发方法获取的(Peters et al, 2015)。瞬态蒸发实验中包含两个高精度张力计[图1(e)], 用于提供被测土壤样本(5 cm)中 z 1(1.25 cm)和 z 2(3.75 cm)高度处, 第 i个时刻 ( t i )对应的土壤吸力观测值 h 1 , i h 2 , i。简化蒸发方法基于线性假设, 样本的平均体积含水量( θ i)可通过分析天平称重所得的质量含水量与土壤容重 ( ρ B D )计算获得[图1(e)]。为了避免单个测量值的误差影响, 获取更准确的土壤水力特征参数, t i - 1 / 2 = 1 2 ( t i - 1 + t i )时刻的平均土壤湿度 θ ¯ i - 1 / 2和几何平均土壤吸力 h ¯ g e o , i - 1 / 2通过如下方法计算:
θ ¯ i - 1 / 2 = θ i + θ i - 1 2
h ¯ g e o , i - 1 / 2 = ( h 1 , i + h 1 , i - 1 ) + ( h 2 , i + h 2 , i - 1 ) 2
获取非饱和导水率同样基于线性假设原理, 即土柱中间层 t i - 1 / 2时间间隔内水的蒸发通量 q ^ c , i - 1 / 2为土壤整体蒸发通量 q 0,1 - 1 / 2的一半:
q ^ c , i - 1 / 2 = q 0,1 - 1 / 2 2 = L 2 θ i + θ i - 1 t i - 1 / 2
式中: L为样本高度(L=5 cm)。土柱中间层的平均土壤吸力梯度 H i - 1 / 2可通过 t i - 1 / 2时间间隔内 h 1 , i h 2 , i的平均吸力 h ¯ 1 , i - 1 / 2 h ¯ 2 , i - 1 / 2估算:
H i - 1 / 2 = h ¯ 1 , i - 1 / 2 - h ¯ 2 , i - 1 / 2 z 2 - z 1 - 1
再根据Darcy-Buckingham定律可以计算获取非饱和导水率 K i - 1 / 2
K i - 1 / 2 = - q ^ c , i - 1 / 2 H i - 1 / 2
通过上述的蒸发实验和简化蒸发方法获得土壤水力特征曲线湿端的离散数据点, 而要获取全域的特征线, 配合露点仪(WP4C)测量土壤持水特征线干端的数据点。最后, 根据简化蒸发方法获取WP4C测量的吸力与体积含水量( h ¯ g e o , i - 1 / 2 θ ¯ i - 1 / 2)的离散数据, 以及吸力与非饱和导水率( h ¯ g e o , i - 1 / 2 K i - 1 / 2)离散数据点, 应用结合SCE-UA(Shuffled Complex Evolution Method)全局最优化算法可获取连续的水力学性质参数, 具体步骤详见Wang et al(2024)

3.5  WRF模型试验设计

需要说明的是, 在气象模型中, 看似简单的物理概念或公式, 实际应用于降水模拟时, 常涉及复杂的尺度转换和过程耦合, 远比预想更为复杂。尽管WRF模型具备大尺度模拟能力, 但大尺度模拟中的不确定性增加且变量控制较为困难。相比之下, 基于站点尺度的模拟更具可控性, 能够更细致地分析土壤参数对降水过程的具体影响。由于整个青藏高原大尺度模拟涉及更多的模型参数化方案和数据误差, 在目前的研究阶段尚不具备足够的可操作性。因此, 鉴于本研究的目标是探讨湿地土壤的水力特性与降水之间的关系, 当前的研究重点集中在站点尺度WRF模拟上。
本研究在表2所列WRF物理参数化方案的基础上, 选定模拟时间为2018年6月1日00:00至16日00:00。该时间段内包含了三次显著的降水事件。考虑到WRF模型作为用于天气预报和大气模拟的数值模型存在系统性发散的现象, 即其模拟的准确性会随着模拟时间的延长而降低, 因此研究聚焦于两个降水事件: 6月2日18:00至3日10:00的显著连续性降水过程(事件1)和6日04:00至7日14:00的间断性降水过程(事件2)。在试验设计中, 分别使用模型默认的土壤水力学参数(Default Soil Hydraulic Parameters, DSHP)和基于瞬态蒸发实验及简化蒸发方法测得的土壤水力参数(Simplified Evaporation Method, SEM)进行模拟, 并将这两套参数的模拟结果与站点观测数据(Observed Data, OBS)进行对比分析, 评估实验所测得的真实土壤水力参数在研究区域中对关键气象和陆面要素模拟精度的改进程度。
为进一步探讨土壤湿度异常对对流性降水的敏感性, 基于SEM设定研究区域的初试土壤湿度接近季节平均值(Initial Soil Moisture, ISM1=45%), 同时设计两组对比试验: 一个较干的土壤湿度模拟(ISM2=20%)和另一个较湿的土壤湿度模拟(ISM3=70%)。通过对比分析三种初始土壤湿度条件下的降水模拟结果, 评估对流性降水对土壤湿度异常的响应强度。同时, 选取降水事件前24 h作为评估时段(Da Silva et al, 2022), 利用CTP-HIlow框架和CAPE(Convective Available Potential Energy)指数, 对评估时段内的大气稳定度以及大气湿度状况进行分析。通过这些指标的综合评估, 探讨湿地土壤湿度异常对对流性降水的影响机制, 揭示其潜在的反馈过程与主导因子。

3.6 对流触发与强度预测的分析方法

行星边界层高度(Planetary Boundary Layer Height, PBLH)是大气边界层的核心参数, 定义为地表与自由大气间的湍流混合层顶高度, 表征地表热力与动力强迫(如太阳辐射加热、 地表摩擦)对近地面大气的垂直影响范围。其数值通常介于几百米至数千米, 日间因太阳辐射加热引发强湍流和对流, PBLH显著抬升; 夜间地表冷却抑制湍流, PBLH随之降低。PBLH的变化直接反映大气稳定性和对流强度: 较高的PBLH常伴随强对流活动和降水潜势, 而较低的PBLH则对应稳定层结, 对流活动较弱。在本文所使用的WRF模型中, PBLH可通过边界层参数化方案直接输出, 因此无需依赖外部计算方法。
抬升凝结高度(Lifted Condensation Level, LCL)常用于评估云的形成和预测以及对流活动的产生和发展。LCL定义为在绝热抬升过程中, 气团达到饱和状态(相对湿度达到100%)的高度, 即空气温度与露点温度相等的高度。具体而言, LCL的计算通常采用以下经验公式:
L C L = 125 × T - T d
式中: T表示地表温度(单位: °C); Td 为地表露点温度(单位: °C), LCL的单位: m。该公式通过地表温度与露点温度的差值, 反映了空气中的水汽含量及其对饱和的需求。温度差越大, 意味着空气越干燥, LCL高度越高; 反之, 温度差越小, 空气越湿润, LCL高度越低。较低的LCL通常预示着低层云或积雨云形成的可能性增加, 反映出大气的不稳定性较强, 利于对流和降水的发展; 而较高的LCL则表明空气较为干燥, 云的形成受到限制, 对流活动较弱。
CTP-HIlow框架用于预测地表条件是否影响对流的发生。其中, CTP(Convective Triggering Potential)表示对流触发指数, 用来衡量触发对流的难易程度, CTP值越大, 表示大气越容易触发对流条件。HIlow(Humidity Index)表示湿度指数, 用来测量由大气初始状态和地表蒸发决定的大气湿度状况, 较大的 H I l o w值表示更干燥的低层大气。该框架假定混合层无云, 土壤饱和度恒定, 从而导致地表反照率和气孔阻力直接受到地表土壤湿度的影响, 进而影响潜热、 感热通量以及净辐射。计算公式如下:
C T P = p s u r - 100 m b p s u r - 300 m b g T v _ e n v - T v _ a c t T v _ a c t d z
H I l o w = T P s u r - 50 m b - T d , P s u r - 50 m b + T P s u r - 150 m b - T d , P s u r - 150 m b
式中: p s u r - 100 m b p s u r - 300 m b分别代表地面上100 mb和300 mb处的大气压力; T v _ e n v代表由地面上100 mb处气压计算得到的湿绝热线温度; T v _ o b s代表实际气温。 T P s u r - 50 m b T P s u r - 150 m b分别代表地面上50 mb和150 mb处的实际气温, T d , P s u r - 50 m b T d , P s u r - 150 m b分别代表地面上50 mb和150 mb处的露点温度。CTP的单位: J·kg-1 H I l o w单位: ℃。
CAPE在预测大气对流强度和预报恶劣天气方面有着重要意义, 它代表大气中潜在的浮力能量, 是气团在上升过程中克服环境阻力所能获得的总能量。CAPE值越高, 意味着大气中的浮力越强, 对流活动越剧烈。CAPE是通过温度和水蒸气垂直剖面计算得出的, 用于衡量浮力驱动的大气不稳定性的指标(Holley et al, 2014)。其计算公式如下:
C A P E = L F C E L g T p a r c e l - T e n v T e n v d z
式中: LFC为自由对流高度, 即对流开始的高度; EL为平衡高度, 即对流停止的高度; T p a r c e l T e n v分别代表气团温度和环境温度; g为重力加速度。CAPE的单位: J·kg-1
在CAPE的计算中, 作为计算基准的气团类型有多种选择(Doswell and Rasmussen, 1994), 本研究选取地表气团进行计算。基于地表气团的对流有效位能计算使用地表温度和湿度作为计算的初始条件, 能够快速地反映地表环境变化对对流的影响。

4 结果与分析

4.1 水力学参数有效性评估

在WRF模型中, Noah-MP陆面过程模块的默认土壤水力学参数是通过SOILPARM.TBL文件进行设置的。表3对比了模型默认土壤水力参数(DEF)与基于简化蒸发法(SEM)测得的水力参数, 结果显示两者存在显著差异。首先, SEM方法下的饱和导水率( K s)明显低于默认参数, 这主要是由于模式默认参数未能真实捕捉研究区域土壤的实际渗透能力。其次, SEM方法得到的饱和体积含水量( θ s)和残余体积含水量( θ r)均高于默认参数, 这与研究区域湿地土壤的高腐殖质含量和较大的孔隙度特征相一致。此外, SEM方法得到的基质吸力( ψ b)和孔隙度分布指数( λ)也显示出显著的变化趋势, 进一步表明湿地土壤的孔隙分布与模式默认假设的土壤结构存在显著差异性。这些结果表明, SEM方法能够更真实地反映研究区域的土壤水力特性, 为提高模型在湿地土壤条件下的模拟精度提供了关键参数依据。
表3 模型默认与SEM获取的水力参数

Table 3 The hydraulic parameters of model default and SEM-obtained

K s/(m·s-1 θ s/(m3·s-3 θ r/(m3·s-3 ψ b/m λ
DEF 3.38×10-6 0.439 0.066 0.355 5.25
SEM 1.00×10-6 0.700 0.20 0.430 2.80
图2进一步展示了研究区域土壤的水力特征曲线。由图2(a)和图2(c)可知, 对于土壤持水特征曲线, 5 cm和25 cm深度的土壤, SEM实测的土壤持水量(图中各虚线)与模型默认的土壤持水量(DSHP)在湿端(较低基质势)和干端(较高基质势)均存在显著差异。在5 cm土壤的湿端, 各样本土壤持水量存在明显的空间差异性, 且均高于默认土壤持水量。随着土壤水势的增加, 样本土壤持水量和默认土壤持水量均呈现下降趋势, 但多数样本的土壤持水量仍保持高于默认值, 仅个别样本的持水量降至低于默认值的水平。对于25 cm土壤, 湿端样本间的空间差异性较小, 且仅一个样本的持水量低于默认土壤持水量。随着土壤水势的增加, 大多数样本的土壤持水量明显下降, 除个别样本外, 其余均低于默认土壤持水量。需要指出的是, WRF模式的土壤参数设置采用单一默认值, 没有根据不同土壤深度进行分层设置, 因此仅在图2(a)中展示了默认参数的土壤持水特征曲线。总体来看, SEM实测结果更加详细地揭示了不同深度土壤在湿端和干端的水分保持行为, 显示了研究区域土壤的持水特性及其显著的深度变化特征。
图2 研究区域不同土壤深度模型默认与SEM获取参数的土壤水力特征曲线对比

Fig.2 Comparison of soil hydraulic characteristic curves corresponding to default and SEM-obtained parameters at different soil depths in the study area

图2(b)和图2(d)分别展示了5 cm和25 cm深度土壤的导水特征曲线。结果表明, 不同地点的土壤导水率存在较大差异, 尤其是在饱和导水率上, 表现出强烈的空间变异性。具体而言, 不同位置的饱和导水率差异较大, 某些区域的导水率显著高于或低于其他区域, 表明土壤性质在空间上的不均匀分布。相比之下, 默认土壤模型预测的非饱和导水率普遍高于实测值, 这种高估可能与模式未能充分反映研究区域土壤的实际结构特性有关, 特别是非饱和条件下对导水率的高估。值得注意的是, 在接近饱和的阶段, 土壤导水能力相对较强, 表现出比一般土壤更高的导水速率。然而, 随着吸力的增加, 土壤的导水率迅速下降, 这反映出土壤在干燥过程中导水能力的急剧减弱。这一变化特征表明, 土壤的导水能力对接近饱和状态的水分含量高度敏感, 随着土壤干燥, 导水能力表现出明显的临界转变。为了对分析目标讨论进行简化, 本研究参考Weber et al(2017)的方法, 将样本的水力学性质扩展到区域尺度, 近似地获取了更具代表性的样本平均土壤持水特征曲线和平均土壤导水特征曲线(图中红色实线)。对于两个深度的有效平均土壤持水特征曲线和导水特征曲线, 总体在各样本曲线的中值范围上, 随着吸力增加, 水分保持量的变异性逐渐减弱, 而非饱和导水率则更接近非饱和导水率较高的样本。
对于5 cm土壤, 平均土壤持水特征曲线和平均土壤导水特征曲线均高于默认特征曲线。在湿端, 平均土壤湿度和默认土壤湿度的差值最大, 约为0.3 cm3 ·cm-3。而在基质势当pF=4时[pF=log 10 ψ[cm])], 平均土壤导水率与默认土壤导水率相差达一个数量级。对于25 cm土壤, 平均土壤持水特征曲线与默认土壤持水特征曲线约在 p F = 3时存在交点, 而平均土壤导水特征曲线与默认土壤导水特征曲线在 p F处于2~4时出现交点。总体来看, 这些结果表明, 通过升尺度方法获取的平均曲线更能反映研究区域的实际土壤水力学特性, 为模型参数化方案的优化提供了可靠依据。
Noah-MP陆面过程模块中的土壤模型采用四层结构, 分别为0~10 cm、 10~40 cm、 40~100 cm以及100~200 cm, 各层土壤的物理量为层平均值, 用于表征该层范围内的平均状态。鉴于浅层土壤(0~10 cm和10~40 cm)更容易受到外界因素(如降水、 蒸发及地表辐射)的显著影响, 其变化特性与观测数据更为接近。因此, 本文选取浅层土壤模型的前两层代表深度(即5 cm和25 cm)进行对比分析, 以评估模型模拟结果的准确性。图3为两次模拟在5 cm和25 cm深度下模拟结果与观测值的对比散点图。在5 cm深度[图3(a)]中, SEM方法模拟结果的均方根误差(RMSE)为0.03, 相关系数(r)为0.70, 表明该方法在此土层具有较高的模拟精度。相比之下, 默认参数的模拟结果的RMSE为0.13, r值为0.39, 显示出较大的误差, 模拟精度相对较低。在25 cm深度[图3(b)]中, SEM方法的模拟结果更接近实际情况, RMSE仅为0.01, r值高达0.93, 而默认参数模拟结果的RMSE为0.16, r值为0.84, 在较高的湿度范围内存在显著偏差。表明SEM方法在该深度具有极高的模拟精度, 模拟值与观测值之间的一致性显著优于默认参数结果, 进一步显示了默认土壤参数化方法在描述湿地土壤持水特性方面的局限性。总的来看, 这些对比分析表明, SEM方法在浅层土壤的不同深度均能显著提高模型模拟的精度, 特别是在湿度范围较宽的条件下具有更高的可靠性, 该结果为进一步优化高原湿地土壤的参数化方案提供了重要参考。
图3 研究区域模型默认参数与SEM获取参数模拟的土壤湿度与观测值对比

Fig.3 Comparison of simulated soil moisture using default and SEM-obtained parameters with observed values in the study area

需要指出的是, 模型将 0~10 cm的土壤湿度作为一个层平均值进行模拟, 这种处理可能无法精确代表5 cm处的实际湿度分布, 尤其是在土壤湿度沿深度存在明显梯度的情况下。而观测值则直接来源于土壤5 cm深度处的实测仪器结果。因此, 两者之间可能存在固有的偏差。此外, 浅层土壤湿度受降水或表面水分输入的直接影响, 变化幅度较大且动态波动显著; 相比之下, 25 cm深度的土壤湿度变化通常表现出时间滞后和平滑特性。这种深度依赖的湿度变化特征可能导致模式在5 cm深度的模拟值与观测值之间出现一定偏差, 而在25 cm深度, 模拟结果与观测值的匹配相对更好。综上所述, SEM方法获取的真实土壤水力学参数和默认参数存在显著差异, 利用接近真实参数的模拟, 有助于中尺度模型性能的提升, 从而更准确地描述土壤水分动态及其对陆面过程的影响。

4.2 模型有效性验证

图4展示了WRF模型在修改土壤参数前后对不同地表变量模拟结果的对比。从图4中可以看到, 模型参数的调整显著影响了各地表变量的模拟表现。对于潜热通量, 初始化的模型在6月8日之后存在明显的低估, 而修改后的模拟结果更好地反映了真实观测中的波动。对于感热通量, 初始化的模拟结果在6月8日之前存在明显高估, 之后则转为低估且波动较大。通过调整参数, 高估部分得到了消减, 同时并增加了6月8日之后的波动, 使得模拟结果更为接近实际情况。地表温度和2 m气温的模拟结果也有类似的改进, 初始化的模拟在6月8日之后同样存在着明显的低估, 调整后的模拟修正了这一低估, 与实际观测更为一致。比湿的模拟结果在6月8日之前的波动性较差, 未能准确反映实际观测中的快速变化特征, 而调整后的模拟显著提高了波动性, 更加接近实际观测。图4(f)展示了两次模拟对降水的表现。结果表明, 模式对于2 mm以上的降水事件能够较好地捕捉。其中, 修改后的模拟结果在多个降水时刻都更接近观测, 能较好地反映实际降水的趋势和峰值。这表明参数的调整显著改善了模型对降水过程的刻画能力, 为改进高原湿地区域的降水模拟提供了重要依据。
图4 不同地表变量的站点观测值、 模型默认参数模拟值和SEM获取参数模拟值对比

Fig.4 Comparison of site observations, model default parameter simulations and SEM-obtained parameter simulations for different surface variables

表4的统计分析来看, 调整后各地表变量的模拟效果存在不同程度的改善。其中, 调整之后模拟结果的相关性均有提升, 地表温度、 2 m气温的相关系数提升最为显著, 其余变量的相关系数也都超过了0.5。此外, 均方根误差(RMSE)也显著降低, 尤其是潜热通量和感热通量的表现最为突出, 这一变化使得模拟过程中能量的分配更符合真实情况, 其中地表温度和2 m气温的均方根误差更是低到了4 ℃以内。整体上来说, 参数调整优化了地表变量的模拟性能, 不仅提高了相关性, 降低了误差, 还使得模拟结果更符合实际物理过程的分布和变化特征, 显著提升了模型模拟的可靠性和科学性。
表4 不同地表变量的模型默认参数模拟值、 SEM获取参数模拟值与站点观测值的统计量

Table 4 Statistical result of model default parameter simulations and SEM-obtained parameter simulations compared with site observations for different surface variable models

统计量 模拟 潜热通量 感热通量 地表温度 2 m气温 2 m比湿 小时降水
RMSE DSHP 57.48 W·m-2 48.57 W·m-2 6.70 ℃ 2.44 ℃ 9.7×10-4 kg·kg-1 0.33 mm
ISM1 37.81 W·m-2 39.59 W·m-2 3.97 ℃ 1.69 ℃ 9.1×10-4 kg·kg-1 0.34 mm
r DSHP 0.73 0.5 0.72 0.87 0.71 0.47
ISM1 0.87 0.68 0.90 0.92 0.74 0.45

4.3 敏感性分析

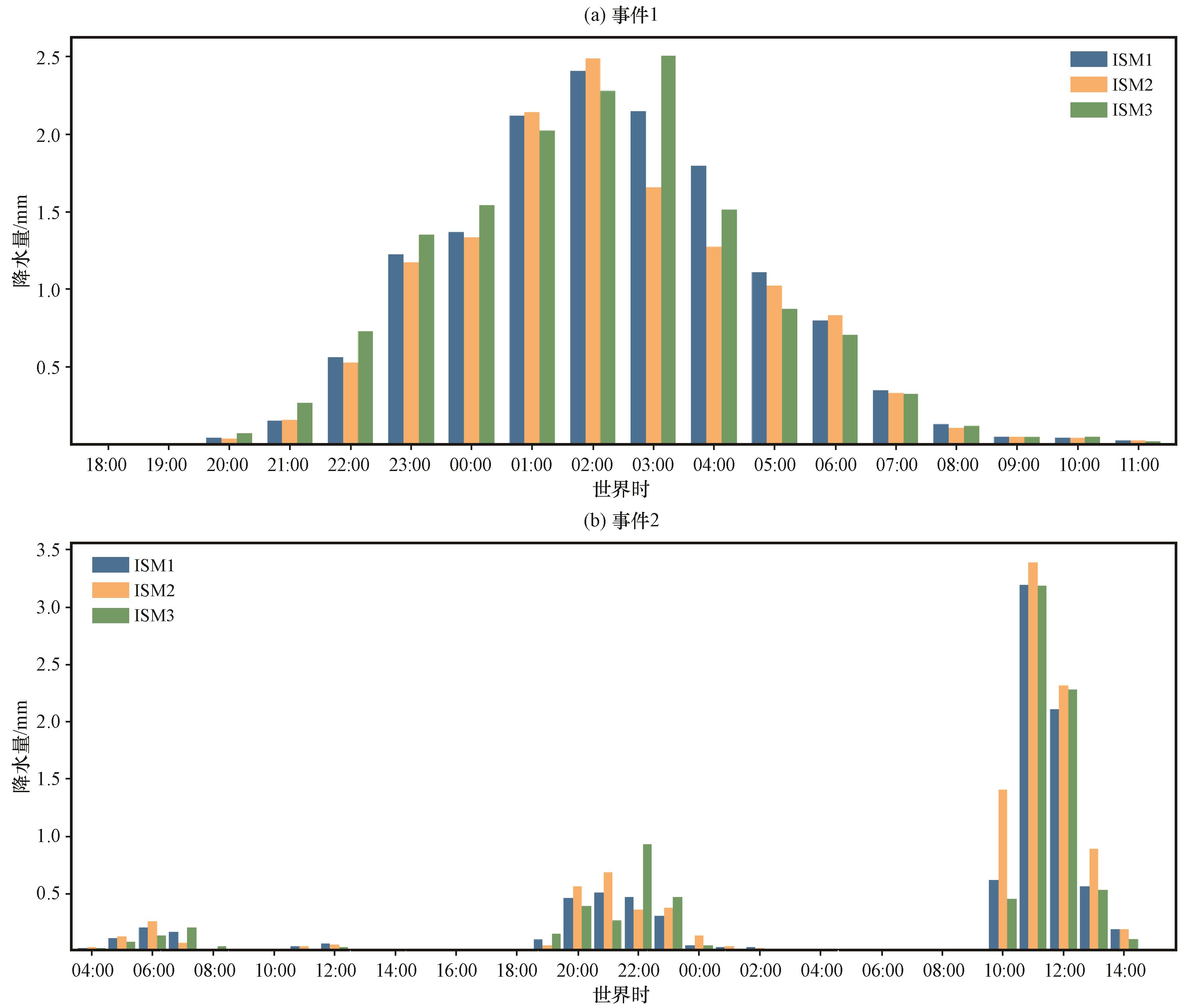
图5展示了两次降水事件的模拟结果。在这两次事件中, 土壤湿度异常对降水量的影响表现出明显差异。在事件1中, 降水呈现出持续且较为稳定的强度。三种土壤湿度模拟下的小时降水量均呈现出先上升后下降的趋势, 且ISM2(较干土壤湿度)和ISM1(基准湿度)的降水峰值时刻较为重合, 而ISM3(较湿土壤湿度)的降水峰值则存在明显的滞后现象。特别是在6月3日03:00 -04:00, ISM2和ISM3的降水量与ISM1之间的差值达到最大值。根据总降水量的统计, ISM1、 ISM2和ISM3的总降水量分别为14.34 mm、 13.21 mm和14.45 mm。上述结果表明, 土壤湿度的干异常导致降水量减少, 湿异常则促进了降水量的增加, 其中干异常的抑制作用更为显著。事件2的降水过程则表现出降水量随时间逐渐增大的趋势, 并出现了三个明显的峰值。峰值强度随时间的的推移逐渐增加, 反映了降水量的积累效应。特别是在6月7日10:00, ISM2的降水量显著高于ISM1和ISM3。至11:00, 三种土壤湿度情境下的小时降水量均达到了最大峰值, 强度均超过3 mm。这表明在10:00 -11:00降水量的变化最为剧烈。根据总降水量的统计结果, ISM1、 ISM2和ISM3的总降水量分别为9.23 mm、 10.99 mm和9.34 mm, 表明尽管干异常和湿异常均导致降水量的增加, 但干异常的影响更为显著。这一结果进一步揭示了土壤湿度条件对区域降水过程的重要调控作用, 特别是在干异常情境下降水的显著增强效应。
图5 不同土壤湿度条件下两次降水事件中降水量的变化

Fig.5 The changes in precipitation amounts during the two precipitation events under different soil moisture conditions

图6展示了土壤湿度异常对降水前潜热通量、 感热通量、边界层高度以及抬升凝结高度均产生了显著的影响。首先, 对于潜热通量, 两次事件前的土壤湿异常(ISM3)均显著增强了潜热通量的释放, 使得其峰值从约250 W·m-2增加至超过300 W·m-2, 而土壤湿度干异常(ISM2)则使得潜热通量显著降低, 两次事件的潜热峰值均降低至100 W·m-2以下。感热通量对土壤湿度的响应呈现出了与潜热通量相反的规律, 土壤湿异常使得感热通量的波动性减小, 两次事件中感热通量的峰值均下降约50 W·m-2, 而土壤干异常则显著增强了感热通量的波动, 事件1中感热通量峰值增加超过100 W·m-2, 事件2中感热通量峰值则由100 W·m-2增加至150 W·m-2以上。潜热通量和感热通量的总体变化符合能量守恒的原理, 进一步证明了土壤湿度异常对地表能量分配有着重要影响。在边界层高度方面, 土壤湿度异常的影响均在其达到峰值之后才表现显著, 土壤干异常使得边界层高度显著增加, 事件1中表现不明显, 事件2中增幅约为1000 m; 而湿异常使得边界层高度显著降低, 两次事件中降幅均超过了1000 m。与此同时, 抬升凝结高度的变化趋势与边界层高度的变化趋势一致, 土壤干异常导致抬升凝结高度升高, 两次事件中增幅约为200 m, 而土壤湿度异常使得抬升凝结高度降低, 事件1中降幅约为100 m, 事件2中降幅约为300 m, 这一现象表明湿度异常通过提高空气湿度, 抑制了空气的上升, 使得云层凝结发生在较低的高度, 从而对降水产生了更明显的抑制作用。总体来说, 抬升凝结高度的变化比边界层高度变化更为明显。这些结果突显了土壤湿度异常对地表热量通量、 边界层结构及降水形成过程的关键调控作用。
图6 不同土壤湿度条件下两次降水事件评估时段内潜热通量、 感热通量、 边界层高度和抬升凝结高度的变化

Fig.6 Changes in latent heat fluxes, sensible heat fluxes, boundary layer heights, and elevated condensation heights during the evaluation period of the two precipitation events under different soil moisture conditions

为深入分析土壤湿度异常对大气能量、 湿度及边界层特征的综合影响, 我们在两次降水事件前的评估时段内, 分析了CAPE、 CTP和HIlow指数的变化(图7)。这些指数的动态变化有助于揭示土壤湿度变化对潜热、 感热、 边界层高度及抬升凝结高度等大气过程的响应。图7显示, 不同事件中的三种指数变化趋势都不相同, 但都在临近降水时刻后迅速下降(事件2中的CAPE指数在降水达到第一次峰值后也迅速降低, 尽管这一变化在图中未明确展示)。对于事件1, ISM1、 ISM2和ISM3模拟的三种指数的变化趋势基本一致, 但峰值存在明显差异。干异常条件模拟的CAPE、 CTP均低于基准湿度, 湿异常条件模拟的CAPE、 CTP均高于基准湿度。这表明土壤湿度干异常降低了评估时段内的大气不稳定性, 使对流触发更加困难; 相反, 湿异常增加了评估时段内大气的不稳定性, 促进了对流的形成。同样, HIlow在干异常条件下高于基准湿度, 使得评估时段内低层大气变得更干燥; ISM3模拟的低于ISM1, 即土壤湿度干异常, 而湿异常条件下, HIlow指数低于基准湿度, 反映出低层大气变得更加湿润。对于事件2, 不同土壤湿度的指数变化与事件1大致相同。这意味着, 土壤湿度干异常使得评估时段内大气不稳定性降低, 对流触发难度增加, 同时低层大气更为干燥, 而土壤湿度湿异常则增加了评估时段内大气不稳定性, 更容易触发对流, 使低层大气更为湿润。总体而言, 这些指数的变化特征清晰地表明, 土壤湿度异常通过调节大气不稳定性和低层湿度, 显著影响了对流的触发条件和大气湿度结构, 进而对降水过程产生了关键作用。
图7 不同土壤湿度条件下两次降水事件评估时段内CAPE、 CTP和HIlow指数的变化

Fig.7 The changes in CAPE, CTP, and HIlow indices during the evaluation period of two precipitation events under different soil moisture conditions

为了更清晰地量化大气不稳定度及大气湿度对对流性降水的影响, 分析CTP、 HIlow和CAPE的阈值具有重要意义。然而, CTP和HIlow的阈值会因研究区域、 数据来源、 分析方法的差异而有所不同, 不同研究区域的阈值范围难以统一, 需要结合具体的地理和气象条件进行合理设定(Findell and Eltahir, 2003aZhao et al, 2022)。基于本文的研究结果, 当7.5 ℃<HIlow<17 ℃且CTP<98 J·kg-1, 或25 ℃<HIlow<27.5 ℃且412 J·kg-1<CTP<437 J·kg-1时, 土壤湿度与降水之间表现出正反馈机制, 当17 ℃<HIlow <28 ℃且260 J·kg-1<CTP<412 J·kg-1 时, 土壤湿度与降水之间可能同时存在正反馈和负反馈现象。关于降水分析中的CAPE阈值划分, 目前已有多项研究探讨其在预测对流降水和极端天气事件中的作用。一些研究表明, 当CAPE超过500 J·kg-1时, 对流性降水发生的概率显著增加, 而在热带地区和中纬度区域, CAPE的关键阈值可能高达1000 J·kg-1甚至更高(Holley et al, 2014; Da Silva and Haerter, 2023)。这些阈值表明, CAPE的大小在很大程度上决定了对流的强弱和降水的发生频率。然而, 由于本研究涉及的对流型降水强度相对较弱, CAPE的阈值要求相对较小。根据分析结果, 当CAPE>50 J·kg-1时, 便足以触发降水。这一阈值远低于通常用于预测强对流降水或极端天气的标准, 但与本研究中较弱的对流事件特征相吻合, 能够合理反映研究区域的实际降水过程。

4.4 反馈机制分析

现有的研究已提出土壤湿度异常对降水的反馈机制, 本研究利用CAPE、 CTP、 HIlow指数对反馈机制进行验证, 探讨符合三江源区湿地土壤湿度异常对降水的反馈机制。结合本文模拟结果和Pal and Eltahir(2001)提出的土壤湿度-降水正反馈理论, 黄河源区湿地土壤湿异常与降水之间的正反馈机制表现为: 土壤湿度的增加改变了地表能量的分配, 导致潜热通量增加、 感热通量减少, 从而使波文比降低。这一变化使地表温度下降, 进而导致2 m气温的降低。与此同时, 2 m比湿上升, 进一步影响了边界层的稳定性, 表现为边界层高度的下降。在土壤湿异常条件下, 2 m比湿的上升与抬升凝结高度的降低所呈现出的负相关关系表明, 较高的湿度促使空气更快达到凝结条件, 从而增强了对流活动, 改善了降水的触发条件。除此之外, 2 m比湿与CAPE指数之间显著的正相关表明, 湿度的增加显著提高了对流潜力, 这也表现为CAPE指数和CTP指数的上升。同时, HIlow指数的下降进一步表明低层大气的湿度增强削弱了大气稳定性, 这为降水的发生提供了有利条件。这些变化意味着, 在湿度异常的条件下, 尽管地表温度降低, 但由于水汽的增加和大气不稳定性增强, 仍然促进了降水的产生。
针对土壤湿度干异常的情况, 模拟并未展现明确的正/负反馈态势。其中, 正反馈结果依旧可以验证Pal and Eltahir(2001)的理论。与此相对的负反馈结果, 则可以参考Findell and Eltahir(2003b)提出的关于土壤湿度和降水之间的一种负反馈理论。该理论认为, 土壤湿度降低后, 潜热通量减少, 大气中水汽含量下降, 通常的表现为HIlow指数增大和CAPE、 CTP指数减小。但更多的太阳辐射转化为感热通量, 导致地表温度升高, 地表的加热使得行星边界层迅速升高, 这可能会触发局地强对流。虽然CAPE和CTP指数的下降表明整体大气不稳定性降低, 但土壤湿度降低会通过增强感热通量和行星边界层的发展触发局地强对流, 从而增加总降水量。综上所述, 干异常条件下的模拟结果未能明确表现出特定的反馈机制, 因此, 现有理论尚不足以完整解释研究区干异常对降水的影响。这表明需要进一步的分析和实验, 探讨土壤湿度异常对大气过程的复杂作用机制。

5 结论

本研究采用简化蒸发方法(SEM)获取三江源区湿地土壤的真实水力学参数, 并基于这些参数改进WRF模型, 验证其对关键气象和陆面要素模拟的改善效果。在此基础上, 参照对应研究区域接近真实的土壤湿度初值设置两组对照试验, 分析对流性降水对土壤湿度异常的敏感性。同时, 利用CTP-HIlow框架和CAPE指数评估降水前24 h评估时段内大气稳定度以及大气湿度的变化, 进一步分析和探讨湿地土壤湿度异常对对流性降水的反馈机制, 主要结论如下:
(1) 湿地土壤的水力学性质独特并深刻影响地表的热力性质和地表能量分配。WRF模型中默认的矿物土壤的水力学参数无法反映湿地土壤高饱和含水量和强持水能力的基本特点。与默认参数相比, SEM方法获取的土壤水力学参数显著提高了模拟的准确性。土壤特征曲线、 土壤湿度的模拟结果更贴近观测值, 潜热通量、 感热通量、 地表温度和2 m气温等关键要素的模拟结果均表现出更高的相关性和更低的均方根误差。这表明采用SEM方法获取的真实土壤水力学参数显著提升了陆面模块模拟的准确性。
(2) 三江源区湿地土壤下垫面的干湿异常通过改变大气的稳定性和大气湿度来影响降水。湿异常情况下, 潜热通量通量增加, 感热通量减少, PBLH下降, LCL降低, CAPE值和CTP值升高, HIlow值降低, 导致大气不稳定性增强, 水汽含量增加。尽管这些变化引发了正反馈响应, 但由于边界层稳定性的限制, 深对流触发受阻, 导致实际降水量增加有限。干异常情况下, 潜热通量减小, 感热通量增加, PBLH下降, LCL降低, CAPE值和CTP值下降, HIlow值升高, 大气不稳定度降低, 水汽含量减少。总体来看, 降水对土壤湿度表现出正负反馈均存在的复杂态势, 未能形成显著的趋势。
本研究为湿地土壤-天气反馈机制的理解提供了一些启示, 但也存在一定的局限性。首先, 没有考虑湿地土壤空间发育差异性对升尺度过程的影响, 以及土壤垂直发育的差异性和地下水位差异造成的水分吸渗的空间不均匀性; 其次, 在讨论土壤湿度异常的过程中, 主要聚焦表层土壤水分的降水-蒸发-下渗平衡, 没有考虑地表径流对局地土壤湿度的补给。因此, 今后的研究中将结合水文模块, 综合考虑地表水的补给效应及其造成的空间湿度异质性对天气的影响。同时, 通过增加代表性观测站点的通量和降水数据, 并配合遥感技术和水文统计升尺度方法, 可进一步提升WRF模型在更大空间范围内的模拟效果, 深入探讨土壤水分、 地表过程与大气边界层间的中尺度反馈机制, 这将有助于更全面地理解和预测高原湿地环境下的天气和气候变化过程。
Bosilovich M G Chern J2006.Simulation of water sources and precipitation recycling for the MacKenzie, Mississippi, and Amazon River Basins[J].Journal of Hydrometeorology7(3): 312-329.DOI: 10.1175/JHM501.1 .

Bragazza L Parisod J Buttler A, et al, 2013.Biogeochemical plant-soil microbe feedback in response to climate warming in peatlands[J].Nature Climate Change3(3): 273-277.DOI: 10.1038/nclimate1781 .

Cailing Z Meng X Li Y, et al, 2022.Impact of soil moisture on afternoon convection triggering over the Tibetan Plateau based on 1‐D boundary layer model[J].Journal of Geophysical Research: Atmospheres127(2): e2021JD035591.DOI: 10.1029/2021JD035591 .

Charney J Quirk W Chow S, et al, 1977.A comparative study of the effects of albedo change on drought in semi-arid regions[J].Journal of the Atmospheric Sciences34(9): 1366-1385.DOI: 10.1175/1520-0469(1977)034<1366: ACSOTE>2.0.CO; 2 .

Da Silva F P Da Silva A S Da Silva M G A J, et al, 2022.Assessment of WRF numerical model forecasts using different lead time initializations during extreme precipitation events over Macaé city, Rio de Janeiro (Brazil)[J].Natural Hazards110(1): 695-718.DOI: 10.1007/s11069-021-04964-7 .

Da Silva N Haerter J2023.The precipitation characteristics of mesoscale convective systems over Europe[J].Journal of Geophysical Research: Atmospheres128(11): 39-45.DOI: 10.1029/2023JD039045 .

Davidson E A Janssens I A2006.Temperature sensitivity of soil carbon decomposition and feedbacks to climate change[J].Nature440(7081): 165-173.DOI: 10.1038/nature04514 .

Doswell C A Rasmussen E N1994.The effect of neglecting the virtual temperature correction on CAPE calculations[J].Weather and Forecasting9(4): 625-629.DOI: 10.1175/1520-0434(1994)009<0625: TEONTV>2.0.CO; 2 .

Dudhia J1989.Numerical study of convection observed during the winter monsoon experiment using a mesoscale two-dimensional model[J].Journal of The Atmospheric Sciences46(20): 3077-3107.DOI: 10.1175/1520-0469(1989)046<3077: NSOCOD>2.0.CO; 2 .

Eltahir E A B1998.A soil moisture-rainfall feedback mechanism: 1.Theory and observations[J].Water Resources Research34(4): 765-776.DOI: 10.1029/97WR03499 .

Eltahir E A B Bras R L1994.Precipitation recycling in the Amazon Basin[J].Quarterly Journal of the Royal Meteorological Society120(518): 861-880.DOI: 10.1256/smsqj.51805 .

Entekhabi D Rodriguez-Iturbe I Bras R L1992.Variability in large-scale water balance with land surface-atmosphere interaction[J].Journal of Climate5(8): 798-813.DOI: 10.1175/1520-0442(1992)005<0798: VILSWB>2.0.CO; 2 .

Findell K L Eltahir E A B2003a.Atmospheric controls on soil moisture-boundary layer interactions.Part I: Framework development[J].Journal of Hydrometeorology4(3): 552-569.DOI: 10. 1175/1525-7541(2003)004<0552: ACOSML>2.0.CO; 2 .

Findell K L Eltahir E A B2003b.Atmospheric controls on soil moisture-boundary layer interactions.Part II: Feedbacks within the continental united states[J].Journal of Hydrometeorology4(3): 570-583.DOI: 10.1175/1525-7541(2003)004<0570: ACOSML>2.0.CO; 2 .

Hohenegger C Brockhaus P Bretherton C S, et al, 2009.The soil moisture-precipitation feedback in simulations with explicit and parameterized convection[J].Journal of Climate22(19): 5003-5020.DOI: 10.1175/2009JCLI2604.1 .

Holley D M Dorling S R Steele C J, et al, 2014.A climatology of convective available potential energy in Great Britain[J].International Journal of Climatology34(14): 3811-3824.DOI: 10. 1002/joc.3976 .

Holzman B1937.Sources of moisture for precipitation in the United States[J].Technical Bulletins1937(1): 120.DOI: 10.22004/ag.econ.165736 .

Hong S Noh Y Dudhia J2006.A new vertical diffusion package with an explicit treatment of entrainment processes[J].Monthly Weather Review134(9): 2318-2341.DOI: https: //doi.org/10.1175/MWR3199.1 .

Jimenez P, Dudhia, J, González R, et al, 2012.A revised scheme for the WRF surface layer formulation[J].Monthly Weather Review140(3): 898-918.DOI: 10.1175/MWR-D-11-00056.1 .

Ma M N Ou T H Liu D Q, et al, 2022.Summer regional climate simulations over Tibetan Plateau: from gray zone to convection permitting scale[J].Climate Dynamics60(1): 301-322.DOI: 10.1007/s00382-022-06314-0 .

McCarter C P R Rezanezhad F Quinton W L, et al, 2020.Pore-scale controls on hydrological and geochemical processes in peat: Implications on interacting processes[J].Earth-Science Reviews207(5): 103227.DOI: 10.1016/j.earscirev.2020.103227 .

Mlawer E Taubman S Brown P, et al, 1997.Radiative transfer for inhomogeneous atmospheres: RRTM, a validated correlated-k model for the longwave[J].Journal of Geophysical Research102(D14): 16663-16682.DOI: 10.1029/97JD00237 .

Morrison H Thompson G Tatarskii V2009.Impact of cloud microphysics on the development of trailing stratiform precipitation in a simulated squall line: comparison of one and two-moment schemes[J].Monthly Weather Review137(1): 991-1007.DOI: 10.1175/2008MWR2556.1 .

Mozafari B Bruen M Donohue S, et al, 2023.Peatland dynamics: a review of process-based models and approaches[J].Science of The Total Environment877(21): 3143-3163.DOI: 10.1016/j.scitotenv.2023.162890 .

Niu G Y Yang Z L Mitchell K E, et al, 2011.The community Noah land surface model with multi-parameterization options (Noah-MP): 1.Model description and evaluation with local-scale measurements[J].Journal of Geophysical Research: Atmospheres116(12): D12109.DOI: 10.1029/2010JD015139 .

Pal J S Eltahir E A B2001.Pathways relating soil moisture conditions to future summer rainfall within a model of the land-atmosphere system[J].Journal of Climate14(6): 1227-1242.DOI: 10.1175/1520-0442(2001)014<1227: PRSMCT>2.0.CO; 2 .

Peters A Iden S C Durner W2015.Revisiting the simplified evaporation method: Identification of hydraulic functions considering vapor, film and corner flow[J].Journal of Hydrology, 527: 531-542.DOI: 10.1016/j.jhydrol.2015.05.020 .

Seneviratne S I Corti T Davin E L, et al, 2010.Investigating soil moisture-climate interactions in a changing climate: A review[J].Earth-Science Reviews99(3): 125-161.DOI: 10.1016/j.earscirev.2010.02.004 .

Shukla J Mintz Y1982.Influence of land-surface evapotranspiration on the earth's climate[J].Science215(4539): 1498-501.DOI: 10.1126/science.215.4539.1498 .

Taylor C M Parker D J Harris P P2007.An observational case study of mesoscale atmospheric circulations induced by soil moisture[J].Geophysical Research Letters34(15): L15801.DOI: 10.1029/2007GL030572 .

Treat C C Wollheim W M Varner R K, et al, 2014.Temperature and peat type control CO2 and CH4 production in Alaskan permafrost peats[J].Global Change Biology20(8): 2674-2686.DOI: 20.10.1111/gcb.12572 .

Wang X Wang Z L Yang W, et al, 2024.Hydraulic properties within the complete moisture range of hydric soil on the Tibetan Plateau[J].Water Resources Research60(7): 101-114.DOI: 1029/2023WR036018 .

Weber T Iden S Durner W2017.A pore-size classification for peat bogs derived from unsaturated hydraulic properties[J].Hydrology and Earth System Sciences.21(12): 6185-6200.DOI: 10. 5194/hess-21-6185-2017 .

Wu Y Huang A Yang B, et al, 2019.Numerical study on the climatic effect of the lake clusters over Tibetan Plateau in summer[J].Climate Dynamics53(6): 5215-5236.DOI: 10.1007/s00382-019-04856-4 .

Yang Z L Niu G Y Mitchell K, et al, 2011.The community Noah land surface model with multi-parameterization options (Noah-MP): 2.Evaluation over global river basins[J].Journal of Geophysical Research116(12): D12110.DOI: 10.1029/2010JD015140 .

Yeh T C Wetherald R T Manabe S1984.The effect of soil moisture on the short-term climate and hydrology change——a numerical experiment[J].Monthly Weather Review112(3): 474-490.DOI: 10.1175/1520-0493(1984)112<0474: TEOSMO>2.0.CO; 2 .

Zhang G Yao T Xie H, et al, 2020.Response of Tibetan Plateau lakes to climate change: trends, patterns, and mechanisms[J].Earth-Science Reviews, 208: 103269.DOI: 10.1016/j.earscirev.2020.103269 .

Zhao C Meng X Li Y, et al, 2022.Impact of soil moisture on afternoon convection triggering over the Tibetan Plateau Based on 1‐D boundary layer model[J].Journal of Geophysical Research: Atmospheres127(2): e2021JD035591.DOI: 10.1029/2021JD035591 .

Zheng Y K Alapaty J A Herwehe A D, et al, 2016.Improving high-resolution weather forecasts using the weather research and forecasting (WRF) model with an updated Kain-Fritsch Scheme[J].Monthly Weather Review144(3): 833-860.DOI: 10.1175/MWR-D-15-0005.1 .

Zhu L Jin J Liu X, et al, 2018.Simulations of the impact of lakes on local and regional climate over the Tibetan Plateau[J].Journal of Geophysical Research: Atmospheres56(4): 230-239.DOI: 10.1080/07055900.2017.1401-524 .

陈旭, 王磊, 李谢辉, 等, 2023.MWHS-2和MHS资料同化对三江源地区暴雨模拟影响的对比研究[J].高原气象42(6): 1386-1401.DOI: 10.7522/j.issn.1000-0534.2023.00024.Chen X

Wang L Li X H, et al, 2023.A comparative study on the impact of MWHS-2 and MHS data assimilation on the simulation of rainstorm in the Three Rivers Source Area[J].Plateau Meteorology42(6): 1386-1401.DOI: 10.7522/j.issn.1000-0534.2023.00024 .

李红梅, 颜亮东, 温婷婷, 等, 2022.三江源地区气候变化特征及其影响评估[J].高原气象41(2): 306-316.DOI: 10.7522/j.issn.1000-0534.2021.00101.Li H M

Yan L D Wen T T, et al, 2022.Characteristics of climate change and its impact assessment in the Three-River Regions[J].Plateau Meteorology41(2): 306-316.DOI: 10.7522/j.issn.1000-0534.2021.00101 .

廖慧仁, 黄倩, 王梦圆, 等, 2024.黄土高原表层土壤湿度与降水关系的分析[J].高原气象43(3): 549-560.DOI: 10.7522/j.issn.1000-0534.2023.00075.Liao H R

Huang Q Wang M Y, et al, 2024.Analysis of the relationship between surface soil moisture and precipitation over the Loess Plateau[J].Plateau Meteorology.2024, 43(3): 549-560.DOI: 10.7522/j.issn.1000-0534.2023.00075 .

罗斯琼, 李红梅, 马迪, 等, 2022.三江源冻土-植被相互作用及气候效应研究现状及展望[J].高原气象41(2): 255-267.DOI: 10.7522/j.issn.1000-0534.2021.00098.Luo S Q

Li H M Ma D, et al, 2022.Review and prospects of frozen soil-vegetation interaction and climate effects in the Three Rivers Source Region[J].Plateau Meteorology41(2): 255-267.DOI: 10.7522/j.issn.1000-0534.2021.00098 .

吴国雄, 刘屹岷, 刘新, 等, 2005.青藏高原加热如何影响亚洲夏季的气候格局[J].大气科学学报29(1): 47-56.DOI: 10.3878/j.issn.1006-9895.2005.01.06.Wu G X

Liu Y M Liu X, et al, 2005.How the heating over the Tibetan Plateau affects the Asian climate in summer[J].Chinese Journal of Atmospheric Sciences29(1): 47-56.DOI: 10.3878/j.issn.1006-9895.2005.01.06 .

张人禾, 苏凤阁, 江志红, 等, 2015.青藏高原21世纪气候和环境变化预估研究进展[J].科学通报60(32): 3036-3047.DOI: 10.1360/n972014-01296.Zhang R H

Su F G Jiang Z H, et al, 2015.An overview of projected climate and environmental changes across the Tibetan Plateau in the 21st century[J].Chinese Science Bulletin60(32): 3036-3047.DOI: 10.1360/n972014-01296 .

Outlines

/