Moisture Sources and Quantitative Contribution Analysis of the7·22Heavy Rainstorm in Gansu Province

  • Yuxia HUANG , 1 ,
  • Qiwei FAN 2 ,
  • Yong WANG , 3, 1 ,
  • Runxia GUO 1 ,
  • Wenyao LI 1
Expand
  • 1. Lanzhou Central Meteorological Observatory,Lanzhou 730020,Gansu,China
  • 2. Jiuquan Meteorological Bureau of Gansu Province,Jiuquan 735000,Gansu,China
  • 3. Heavy Rain and Drought - Flood Disasters in Plateau and Basin Key Laboratory of Sichuan Province,Chengdu 610072,Sichuan,China

Received date: 2024-12-31

  Revised date: 2025-04-03

  Online published: 2026-01-26

Copyright

© Editorial Department of Plateau Meteorology (CC BY-NC-ND)

Abstract

Based on automatic weather station observations of precipitation, ERA5 reanalysis data and NCEP GDAS data, through methods such as water vapor budget analysis, HYSPLIT backward trajectory tracking and water vapor transport contribution rate, this paper analyzed the water vapor transport characteristics of a severe rainstorm event that occurred in the southeastern part of Gansu Province from July 22 to 24, 2024, and quantitatively discussed its water vapor source and contribution rate.The results showed that the rainstorm area was located in the exit zone of the upper-level jet stream, where the airflow divergence enhanced the vertical transport of low-level water vapor, causing the moist layer deeper.The continuous synergic influence of Typhoon " Prapiroon" and the subtropical high transported water vapor over the South China Sea and the Bay of Bengal to the rainstorm area, providing sufficient water vapor, and the rainstorm area maintained a significant near-surface wet area and high precipitable water.The results of water vapor budget and tracking analysis showed that the inflow of water vapor mainly occurred at the southern boundary of 800~500 hPa, with a maximum inflow of 1237 kg·m-1·s-1.Before the rainstorm, the water vapor mainly originated from the South China Sea and the Bay of Bengal, and the water vapor channels accounted for 48% and 42% of all tracks respectively, and the water vapor transport contribution rate was 51.45% and 43.31% respectively.When the rainstorm occurred, water vapor mainly originated from the South China Sea, its water vapor channels accounted for 53% of all the tracks, and the contribution rate of water vapor transport was 57.98%.In addition, the water vapor transport in the Western Pacific and Northwest Passage also contributed to the rainstorm.This would be conducive to understanding the formation mechanism of the extraordinary rainstorm in Northwest China, and provided certain references for the future forecast of extraordinary rainstorm in Gansu Province.

Cite this article

Yuxia HUANG , Qiwei FAN , Yong WANG , Runxia GUO , Wenyao LI . Moisture Sources and Quantitative Contribution Analysis of the7·22Heavy Rainstorm in Gansu Province[J]. Plateau Meteorology, 2026 , 45(1) : 261 -275 . DOI: 10.7522/j.issn.1000-0534.2025.00052

1 引言

极端强降水会导致洪涝、 山体滑坡等次生灾害, 给人们的生产生活带来巨大影响, 因此一直以来都是天气预报面临的严重挑战之一, 也是气象领域研究的重点与难点(符娇兰等, 2023孔祥伟等, 2024)。近年来, 受全球气候变暖趋势影响, 中纬度地区强降水事件频繁发生, 西北地区的降水量和极端降水强度同样也呈上升趋势(Jiang et al, 2013张强等, 2019王澄海等, 2021傅朝等, 2022朱姜韬等, 2023)。甘肃省地形狭长, 位于青藏高原、 黄土高原与内蒙古高原的交会地带。该区域受高原气候、 东亚季风及西风带共同影响, 属于典型的气候变化敏感区, 同时也是生态环境脆弱区。受复杂的地形地貌影响, 甘肃省强降水天气具有分散且频发的局地性特征(马莉等, 2023), 暴雨事件极易造成严重损失。2024年7月22 -24日, 甘肃省遭遇1961年以来最强区域性暴雨(以下简称甘肃“7·22”特大暴雨), 其中过程累积最大降水量出现在崇信新窑林场, 达367.7 mm, 成县、 崇信、 通渭、 静宁4个国家站24 h降水量突破了历史极值。此次暴雨过程不仅持续时间长、 累积雨量大, 而且还出现多站次短时强降水, 大暴雨区短时强降水量对总降水量贡献超过70%。特大暴雨导致部分地区出现河水暴涨、 农田积涝、 道路滑坡等灾害, 给当地造成严重的经济损失, 深入研究此次典型暴雨的物理机制和成因具有重要意义。
夏季的暴雨发生发展与维持, 一般都需要充足的水汽供应。暴雨发生期间, 暴雨区内部呈现高比湿状态, 同时存在持续性的外部水汽输送通道(陶诗言, 1980)。中国西北地区极端暴雨的发生和夏季风、 北部高压脊的偏东气流、 南海热带低压、 高原短波槽、 副热带高压(以下简称副高)位置及其外围暖湿气流输送等环境条件有关, 暴雨落区和范围由水汽输送通道和冷暖气流交会位置决定(黄玉霞等, 2019刘新伟等, 2021)。丁一汇等(2020)发现东亚夏季风水汽输送的强度、 影响范围和持续性在中国北方极端强降水过程中起着关键作用, 暖湿的季风输送带在北方大暴雨或极端强降水中十分必要(Yin et al, 2022); 而从2021年7月17 -22日河南特大暴雨(以下简称“7·21”暴雨)过程来看, 强水汽输送带可归成三条, 其中两条输送带与台风“烟花”和“查帕卡”有关, 台风“烟花”受副高影响下的东南气流造成异常强水汽输送带, 此输送带水汽转化为降水的效率最高(Nie and Sun, 2022), 为极端暴雨发生提供重要条件, 也成为“7·21”暴雨过程的主要影响系统之一(张霞等, 2021谢作威等, 2022刘静等, 2023)。台风与中纬度系统的相互作用复杂多变, 还能通过远距离的水汽输送通道, 给北方内陆地区极端暴雨的发生发展提供至关重要的加持作用, 此次甘肃“7·22”特大暴雨发生过程, 正值2024年第4号台风“派比安”登陆时期, 其对暴雨的影响机制也值得探讨。
对水汽来源的准确把握是暴雨过程形成机理认识和预报方法研发的关键之一(崔晓鹏和杨玉婷, 2022)。当前水汽来源的分析方法主要包括同位素分析法(Ma et al, 2018Qiu et al, 2021)、 欧拉分析法(丁一汇等, 2020Munday et al, 2021)及拉格朗日分析法(Zhang et al, 2019薛一迪和崔晓鹏, 2020Zhao et al, 2021王美月等, 2022)等。同位素方法能在一定程度上反映出水汽来源, 但由于有效样本获取难度大而应用有限(Gustafsson et al, 2010); 欧拉方法分析水汽通量或大气可降水量, 关注水汽输送的瞬时特征来反映主要水汽通道(张登旭等, 2024), 但较难准确识别暴雨过程的主要水汽源区和源区贡献(Sun and Wang, 2014); 拉格朗日方法根据风场来计算气团运动轨迹, 追踪水汽的收支与变化, 从而能定量描述复杂的水汽输送过程, 对比不同水汽输送通道的特征, 弥补欧拉方法的不足(曾钰婷等, 2020)。而拉格朗日方法的轨迹追踪模式HYSPLIT(Hybrid Single-Particle Lagrangian Integrated Trajectory)在水汽输送过程的研究中应用广泛, 不仅可以识别水汽源区, 还能定量确定不同源区的水汽贡献(孙力等, 2016孙建华等, 2016刘晶等, 2019Liu et al, 2023)。
充足的水汽是甘肃“7·22”特大暴雨形成的必要条件之一, 且以往多数西北地区强降水机理研究中, 较少对水汽来源的定量贡献进行探讨。因此, 分析此次暴雨过程的水汽输送特征、 来源及对暴雨区的定量贡献将有助于理解西北内陆地区极端暴雨的形成机理, 进而把握极端暴雨发生的前兆因子(Huang and Cui, 2015)。本文首先重点分析了此次特大暴雨的降水特征和大尺度环流形势, 接着详细分析了暴雨过程的水汽分布及输送特征, 最后基于HYSPLIT模式最新版本(HYSPLIT v5.3)对气团进行后向轨迹追踪, 从而揭示本次暴雨的水汽来源特征与源区贡献。

2 数据来源与方法介绍

2.1 数据来源

本文使用的资料包括: (1)地面自动气象观测站小时降水数据, 由甘肃省信息与装备中心的天擎气象大数据云平台提供且经过质控; (2)欧洲中期天气预报中心(ECMWF)的最新一代再分析数据ERA5(European Centre for Medium-Range Weather Forecasts Reanalysis v5), 时间分辨率为1 h, 水平空间分辨率为0.25°×0.25°, 垂直分为37层(Hersbach et al, 2020), 用于环流形势分析和相关物理量场诊断; (3)美国国家环境预报中心(National Center for Environmental Prediction)提供的GDAS(Global Data Assimilation System)资料, 其时间分辨率为6 h, 水平分辨率为1°×1°, 用于驱动HYSPLIT模型的气象强迫场。
为了统一起见, 本文使用的所有时间为协调世界时(UTC); 22日指22日00:00至23日00:00, 以此类推。文中涉及的地图是基于中华人民共和国自然资源部地图技术审查中心标准地图服务系统下载的审图号为GS(2019)3333的甘肃地图制作, 底图无修改。

2.2 方法介绍

计算整层水汽通量从而在传统欧拉分析中显示水汽传输特征。因此, 整层水汽通量为(Sun et al, 2011):
Q = 1 g p s p t q V d p
式中: g是重力加速度(单位: m·s-2), q是比湿(单位: g·kg-1), p s是地表气压(单位: hPa), 因为水汽集中在对流层下部, 在300 hPa以上的水汽可以忽略不计(Zhu and Newell, 1998Pokam et al, 2012), p t统一取300 hPa, V是水平风速矢量(单位: m·s-1)。
为了更好地了解研究区域空中水汽的收支情况, 分别计算东、 西、 南、 北四个边界水汽通量及区域水汽收支, 某边界水汽通量垂直积分 F v具体计算公式为(布和朝鲁等, 2022):
F v = 1 g l p s p t q V d l d p
式中: l是边界长度(单位: m)。便于讨论, 计算北边界和东边界时, 取反号, 四边界代数和为区域净收支, 正值表示有水汽输入, 负值表示有水汽输出。
HYSPLIT模型可以追踪空气块的运动轨迹、 气块的高度以及比湿随高度、 时间的变化(Stein et al, 2015), 其对三维特征的描述弥补了基于欧拉方法的水汽通量和水汽收支等分析的不足。本文使用GDAS作为初始输入数据模拟空气团轨迹, 对所有的轨迹使用总空间方差(Total Spa Var, TSV)为30.0%的聚类分析。由于此模型只能分析出气流的后向轨迹及源地, 无法直接显示轨迹的水汽含量及对研究区的水汽贡献率。因此, 本文聚类分析后各水汽通道或源地对研究区域的水汽贡献率为(江志红等, 2011):
Q c = 1 m q l a s t 1 n q l a s t × 100 %
式中: Q c表示某一水汽通道的水汽贡献率; q l a s t表示气流到达最终位置时的比湿; m表示某一水汽通道上的轨迹数量; n表示所有水汽通道上的总轨迹数量。

3 结果分析

3.1 暴雨过程和环流特征

图1(a)给出2024年7月22 -24日甘肃东南部(陇东南)的累计降水量, 可以看到降水中心主要集中在陇东南地区, 平凉市大部、 定西市东部、 庆阳市南部、 天水市东部、 陇南市东部和南部局地累积降水量超过100 mm, 其中部分县区累积降水量超过300 mm, 最大累积降水量出现在崇信新窑林场367.7 mm。此次极端暴雨过程持续时间长、 降水极值大、 极端性和致灾性强, 经过基于区域性暴雨持续日数、 影响范围和平均强度的综合评估, 其过程综合强度为特强等级, 为1961年以来最强。
图1 2024年7月22 -24日(a)、 22日(b)、 23日(c)的自动站累计降水量(彩色圆点, 单位: mm), 甘肃省(黑色轮廓线表示甘肃省界)以及周边区域地形高度分布(填色, 单位: m)及7月22 -23日800 hPa风场(矢量, 单位: m·s-1)(d)

图(d)中红色实心圆分别代表对应的气象观测站

Fig.1 Cumulative precipitation (colored dots, unit: mm) observed by automatic weather stations from 22 to 24 July (a), July 22 (b) and July 23(c) of 2024, Gansu Province (black contour line indicates the boundary of Gansu Province) and the terrain height distribution (the shading, unit: m) in the surrounding areas, 800 hPa wind field (vector, unit: m·s-1) from 22 to 23 July, 2024 (d).In Fig.1(d), the red solid dot represents the corresponding meteorological observation station

整个特大暴雨过程, 雨带位置有所变化。2024年7月22日, 暴雨主要出现在定西东部、 平凉、 庆阳一带, 大值中心位于平凉东南部, 中心日降雨量超过100 mm[图1(b)]。23日暴雨范围明显扩大, 主要出现在陇南、 天水、 平凉和庆阳, 呈一条西南东北向雨带, 中心日降雨量超过100 mm, 部分站点超过200 mm[图1(c)]。24日, 降水强度明显减弱, 范围明显收缩, 本轮降水基本结束(图略)。
此次特大暴雨的空间分布呈现自东南向西北递减的规律, 这种分布格局主要取决于此地区的水汽来源, 而地形对水汽输送有着重要影响。由地形分布[图1(d)]可见, 四川盆地地势平坦, 有利于源源不断的偏南暖湿气流入陇东南地区, 与沿青藏高原东北边缘南下的冷空气汇合, 形成强降水; 偏南暖湿气流沿着河谷向西北推进, 使得陇东南地区有丰富的水汽(孙旭映, 2006)。同时, 该地区为喇叭口地形, 当气流受地形阻挡时, 一方面会因辐合作用迅速聚集, 另一方面被迫沿地形坡度产生强迫抬升运动。这种动力抬升与低层辐合的协同作用, 有利于水汽垂直输送和凝结增强, 从而诱发局地强降水; 地面和对流层低层西南风在陇东南地区处于迎风坡, 地形引起的对流尺度过程通过水汽的凝结或结晶提高了降水粒子的增长, 从而使得降水在复杂地形条件下增强(钟水新, 2020)。此外, 由于青藏高原对南部暖湿气流的阻挡作用, 使得甘南高原和陇南山地西段的水汽相对不足, 加之该地区海拔多在3000 m以上, 气流不易被抬升, 所以该地区不易出现暴雨。
7月22 -23日的高、 低空环流形势分布显示[图2(a), (b)], 200 hPa高空急流大致位于40°N, 急流轴呈准东西向分布, 其出口的强辐散区正对应着甘肃东南部一带。高空急流轴南侧为暴雨发生的主要区域(Matsumoto et al, 1971Whitney, 1977)。500 hPa高度场上, 南海上空台风“派比安”维持在107°E, 21°N附近, 西风带的短波槽逐渐加深, 副高控制中国东南部地区。700 hPa风场上, 陇东南地区上空存在明显的切变, 为暴雨提供动力条件。“派比安”与副高之间建立一支偏南风水汽输送通道, 将南海的暖湿空气源源不断地输送至甘肃东南部地区, 为暴雨提供了充足的水汽条件。同时, 来自孟加拉湾的暖湿空气也沿副高外围向北经云南、 四川输送至陇东南地区。这些暖湿空气在山前迎风坡(陇东南地区)堆积辐合并抬升, 促进降水形成与发展。此外, 西风带短波槽东移, 与副高边缘的西南暖湿气流交汇, 进一步增强了暴雨的形成。通过再分析数据计算的整层大气可降水量显示, 在暴雨时段, “派比安”环流区域的大气整层可降水量在75 kg·m-2以上, 陇东南区域的整层大气可降水量也同样超过75 kg·m-2, 与2024年7月气候平均态相比, 陇东南地区的整层大气可降水量高出50%以上(图略)。24日[图2(c)], 西风槽逐渐移出陇东南, 低层转为偏北风且无明显切变, 台风“派比安”也逐渐减弱, 此次特大暴雨过程趋于结束。
图2 2024年7月22 -24日的500 hPa位势高度(黑色实线, 单位: dagpm)、 700 hPa风场(矢量, 单位: m·s-1)、 200 hPa大于或等于30 m·s-1的风矢量(红色风向杆, 单位: m·s-1), 整层大气可降水量(填色, 单位: kg·m-2)(a)7月22日, (b)7月23日, (c)7月24日

Fig.2 The average 500 hPa geopotential height (black solid line, unit: dagpm), 700 hPa wind field (vector, unit: m·s-1), 200 hPa wind vector greater than or equal to 30 m·s-1 (red barb, unit: m·s-1), and total precipitable water vapor (shading, unit: kg·m-2) from 22 to 24 July, 2024.(a) July 22, (b) July 23, (c) July 24

综上所述, 此次特大暴雨大尺度环流特点显著, 高空急流出口区创造强烈辐散的动力条件; 中层短波槽、 副高和台风“派比安”是主要的天气尺度影响系统。低层副高外围和台风“派比安”之间的西南气流直达陇东南地区, 供应充沛水汽, 并且在地形影响下, 有利于局地扰动的发生、 发展。这种高、 低空系统配置提供有利的动力、 热力和水汽条件, 促使陇东南暴雨长时间维持, 产生极端降水。

3.2 水汽输送及收支

由于喇叭口地形[图1(d)]对迎风坡上空低层辐合及上升运动有显著的加强作用(段海霞和刘新伟, 2009), 选取该地形下此次特大暴雨过程中最大累积降水量的崇信新窑林场站分析降水、 比湿及合成风场的时间演变特征(图3)。受偏南暖湿气流影响, 崇信新窑林场22日14:00开始出现降水, 15:00达最大小时雨强(48.7 mm·h-1), 16:00累计降水量达到暴雨(≥50 mm), 17:00达大暴雨(≥100 mm), 此后维持3 h雨强在20~30 mm·h-1的短时强降水, 累积降水量也快速增加, 至23日06:00达到特大暴雨(≥250 mm)[图3(a)]。
图3 7月22 -24日崇信新窑林场站(106.9°E, 35.2°N)降雨量(柱状图, 单位: mm)和累计降雨量(红色圆点线, 单位: mm)(a), 7月22 -24日沿35°N的比湿(填色, 单位: g·kg-1)与水平纬向风分量(单位: m·s-1)与垂直风(单位: ×100 Pa·s-1)的合成风场(矢量)的经度-气压剖面演变(b, 红色实心圆代表崇信新窑林场站)

Fig.3 Hourly variation of hourly precipitation (bar, unit: mm) and cumulative precipitation (red dotted line, unit: mm) at Chongxin Xinyao Forest Farm Station (106.9 °E, 35.2 °N) from July 22 to 24 (a), The longitude-pressure profile evolution of specific humidity (shading, unit: g·kg-1) and the combined wind field (vector) of the horizontal zonal wind (unit: m·s-1) and vertical wind (unit: ×100 Pa·s-1) along 35 °N from 22 to 24 July 2024 (b, red solid dot represents Chongxin Xinyao Forest Farm Station)

沿新窑林场站(106.9°E, 35.2°N)临近35°N做2024年7月22 -24日比湿和合成风场的经度-气压剖面[图3(b)]可以看出, 水汽主要集中在400 hPa以下。在暴雨区主要范围(105°E -109°E)内, 800 hPa上比湿可达14 g·kg-1以上, 而400 hPa和300 hPa上比湿最大值分别为3.8 g·kg-1和1.35 g·kg-1。新窑林场从地面至300 hPa表现为一致强烈的上升运动, 配合深厚的湿层, 对暴雨的发生发展十分有利。

3.2.1 水汽输送特征

图4给出7月22 -24日平均比湿和水汽通量场。800 hPa上[图4(a)], 台风“派比安”及周围地区的比湿超过15 g·kg-1, 青藏高原南边界至东南边界的地区, 包括陇东南地区比湿达到12 g·kg-1, 部分地区甚至超过14 g·kg-1。700 hPa上的水汽输送较800 hPa更为明显[图4(b)], 由于受青藏高原地形阻挡, 陇东南地区有来自偏南及西南两个方向的水汽通量输送, 单层水汽通量达8 g·s-1·hPa-1·cm-1。其中西南水汽输送带来自孟加拉湾, 经云南四川向暴雨区输送, 另一条则是台风“派比安”外围的水汽带, 形成比湿大于12 g·kg-1的水汽输送带直接输送到暴雨区, 这两条水汽输送带给陇东南地区提供了充沛的水汽。
图4 2024年7月22 -24日的平均比湿(填色, 单位: g·kg-1)和等压面水汽通量(矢量, 单位: g·s-1·hPa-1·cm-1)(a)800 hPa, (b)700 hPa, (c)500 hPa, (d)400 hPa

Fig.4 Average specific humidity (the shading, unit: g·kg-1) and isobaric surface water vapor flux (vector, unit: g·s-1·hPa-1·cm-1) from July 22 to 24, 2024.(a) 800 hPa, (b) 700 hPa, (c) 500 hPa, (d) 400 hPa

500 hPa水汽输送与800 hPa和700 hPa相似[图4(c)], 来自孟加拉湾的水汽沿青藏高原外围输送到暴雨区, 该区域比湿超过6 g·kg-1, 单层水汽通量达4 g·s-1·hPa-1·cm-1。400 hPa与其他层次不同的是[图4(d)], 有一条来自喜马拉雅山脉的水汽带, 水汽通量中心值约为2.5 g·s-1·hPa-1·cm-1, 翻越青藏高原后输送到暴雨区。由此可见, 除了低层的水汽输送外, 对流层中高层西向的水汽输送也可能对强降水起到一定的作用。
暴雨时期逐日的水汽通量及水汽通量散度如图5所示。22日[图5(a)], 一条沿广西、 云南和四川自南向北的气流在陇东南局部地区形成强水汽输送带, 这种在中国夏季强降水时常伴随的强水汽输送带(超过250 kg·m-1·s-1)是一种典型的大气河现象(Ralph et al, 2017丁一汇等, 2020)。这条强水汽输送带将台风携带的大量水汽以及部分来自孟加拉湾的水汽输送到暴雨区。此时, 暴雨区对应水汽通量辐合, 局部地区的整层水汽通量散度小于-8.0×10-4 kg·m-2·s-1
图5 2024年7月22 -24日平均整层水汽通量(矢量, 单位: kg·m-1·s-1)和水汽通量散度(填色, 单位: ×10-4 kg·m-2·s-1)(a)7月22日, (b)7月23日, (c)7月24日; 右下角标度尺为1000 kg·m-1·s-1, 其中红色(黑色)箭头表示大于或等于(小于)250 kg·m-1·s-1

Fig.5 Daily average of the entire layer water vapor flux (vector, unit: kg·m-1·s-1) and water vapor flux divergence (shading, unit: ×10-4 kg·m-2·s-1) from July 22 to 24, 2024.(a) July 22, (b) July 23, (c) July 24.The scale in the lower right corner is 1000 kg·m-1·s-1, the red (black) arrow indicates greater than or equal to (less than) 250 kg·m-1·s-1

与22日情形略有不同, 23日[图5(b)]强水汽输送带(超过250 kg·m-1·s-1)变得更加宽广, 且陇东南北部地区出现少量来自东北方向的水汽输送。水汽通量辐合带位于陇南至平凉天水一带, 呈西南-东北方向分布, 正好对应暴雨落区, 其辐合中心(水汽通量散度小于-7.0×10-4 kg·m-2·s-1)位于此次特大暴雨的中心区——崇信新窑林场站附近。24日[图5(c)], 强水汽输送带消失, 暴雨过程趋于减弱, 水汽通量辐合明显减弱, 辐合中心也移出陇东南地区。

3.2.2 水汽收支特征

为了进一步分析各个方向水汽输送的变化特征, 本文计算了22 -24日逐小时(104°E -109°E, 32°N -37°N, 图5中绿色框)南、 北、 东、 西边界流入等压面的水汽通量(图6), 由前文分析可知暴雨区水汽主要集中在800~400 hPa, 因此下文主要讨论这一层次的水汽流入量。
图6 2024年7月22 -24日暴雨区域(104°E -109°E, 32°N -37°N)上空南(a)、 北(b)、 东(c)、 西(d)边界水汽收支量演变(单位: ×105 m2·s-1

填色区域表示水汽流入

Fig.6 Evolution of water vapor budget over the rainstorm area (104°E -109°E, 32°N -37°N) from July 22 to 24, 2024.Unit: ×105 m2·s-1.(a) the southern boundary, (b) the northern boundary, (c) the eastern boundary, (d) the western boundary.Where color shading indicates water vapor inflow

总体来看, 在暴雨发生期间, 主要为对流层低层大量的水汽流入, 其中经向的水汽主要由南边界流入, 纬向的水汽主要由西边界流入, 这与之前水汽通量的分析结果一致。南边界水汽流入量(Qs)较大, 主要集中在暴雨发生前和暴雨发生时[图6(a)]。暴雨发生前, 水汽流入主要在800~500 hPa之间, 单层流入量为2.6×105~3.2×105 m2·s-1。此外, 强Qs(大于3×105 m2·s-1)主要出现在800~700 hPa, 这在一定程度上表征为低空急流(刘鸿波等, 2014)。暴雨发生时, 特别是22日17:00, 750 hPa的水汽流入量超过3.0×105 m2·s-1, 正好对应崇信新窑林场站最大小时降水的时间点。由此可见, 800 hPa以上Qs急剧增强并在陇东南地区辐合, 是此次特大暴雨的一个重要原因。
北边界水汽流入(Qn)主要发生在23日12:00至24日12:00[图6(b)], 集中在800~600 hPa, 单层流入量为1.6×105~2.0×105 m2·s-1Qn的形成可能与蒙古地区低槽底部的西北风分量有关[图2(c)]。与经向水汽输送不同, 纬向东边界的水汽(Qe)主要呈现流出状态[图6(c)], 西边界的水汽(Qw)流入主要集中在22日[图6(d)], 且主要集中在对流层中高层, 而非低层, 单层流入量达0.9×105~1.1×105 m2·s-1
图6表1可以看出, 在暴雨发生期间, 暴雨区整体为水汽通量的净流入, 且主要集中在低层。22 -24日, 在不同方向的整层水汽中, Qs流入最多, Qn也有一定水汽流入, 但水汽流入量(315 kg·m-1·s-1)远不及南向水汽流入量(1339 kg·m-1·s-1), QeQw均为净流出。从不同层次看, 经向水汽流入主要集中在中低层的800~700 hPa和700~500 hPa其中Qs在这两层的水汽分别为519 kg·m-1·s-1和718 kg·m-1·s-1; 而中高层的500~400 hPa间在纬向的Qw有最大水汽流入, 为184 kg·m-1·s-1表1)。从逐日来看, 整层净水汽量23日要高于22日, 但22日从低层800 hPa到高层400 hPa均为水汽的净流入, 且Qs在700~500 hPa(312 kg·m-1·s-1)的水汽流入量要大于800~700 hPa(262 kg·m-1·s-1); 而23日仅在低层的800~700 hPa 为水汽净流入, 中层以上则表现为净流出。纬向水汽流入在高层的500~400 hPa较丰富, 且大于同层次的Qs。综上可知, 此次特大暴雨过程暴雨区中低层水汽净流入主要集中在Qs, 高层集中在Qw, 且Qs在800~700 hPa和700~500 hPa这两个层次上最大流入时间为22日18:00; Qw在500~400 hPa上最大流入时间为22日06:00[图6(a), (d)], 因此接下来将从这两点进行后向追踪以对水汽来源进行溯源。
表1 不同时间段暴雨区域分层垂直积分的水汽通量

Table 1 Water vapor flux of stratified vertical integration in rainstorm area in different time periods

时间 层次 水汽通量/(kg·m-1·s-1
西
22日 整层 106 610 58 -542 -20
800~700 hPa 69 262 26 -165 -54
700~500 hPa 26 312 40 -278 -48
500~400 hPa 11 36 -8 -99 82
23日 整层 185 527 47 -252 -137
800~700 hPa 256 228 68 -14 -26
700~500 hPa -42 267 8 -159 -158
500~400 hPa -29 32 -29 -79 47
22 -24日 整层 378 1339 315 -1260 -16
800~700 hPa 379 519 218 -269 -89
700~500 hPa 34 718 142 -715 -111
500~400 hPa -35 102 -45 -276 184

3.3 水汽来源追踪

本研究利用HYSPLIT模式对此次特大暴雨进行气团后向追踪, 以更全面地认识此次降水过程。根据上述水汽收支分析, 选择了两个相对集中的水汽流入时间段进行模拟: 一个是22日18:00前后(750 hPa和600 hPa), 另一个是22日06:00前后(450 hPa)。以降水极值点崇信新窑林场站(106.9°E, 35.2°N)为模拟起始点, 模拟起始时间和初始高度分别选择22日18:00 2500 m、 22日18:00 4000 m、 22日06:00 5500 m。模拟间隔时间为6 h, 模拟后向7 d的三维运动轨迹, 轨迹点位置1 h输出1次。所有分析出的轨迹依据TSV增长率进行聚类分析, 由于22日18:00 4000 m与22日06:00 5500 m的结果类似(图略), 所以下文重点对22日18:00 2500 m和22日06:00 5500 m的追踪进行分析, 两次模拟最终聚类的水汽通道均为3个。
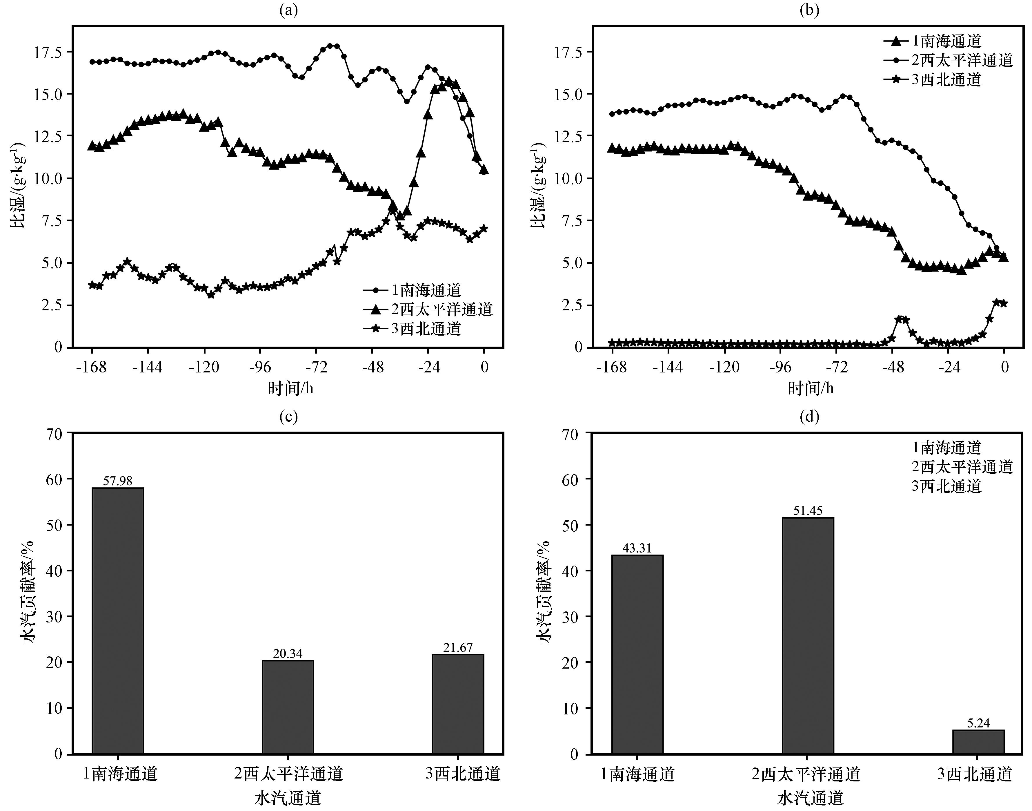
模拟结果显示, 22日18:00 2500 m高度上的水汽通道1主要通过台风“派比安”向北输送至陇东南地区, 水汽源于南海1000 m高度, 途经广西、 云南等地时, 气流逐渐升高到1500~2000 m[图7(a), (c)], 占所有轨迹数量的53%, 初始比湿为16.90 g·kg-1图8(a)], 之后大体上保持平稳, 经四川盆地至黄土高原地区时, 比湿快速下降至10.36 g·kg-1。通道2水汽主要源于西太平洋, 起始高度约为3000 m, 占所有轨迹数量的18%。初始比湿为11.95 g·kg-1图8(a)], 沿途比湿逐渐下降, 暴雨前24 h剧增至15.68 g·kg-1, 之后迅速下降至10.54 g·kg-1。通道3的水汽主要源于中亚地区, 起始高度为4000 m以上, 占所有轨迹数量的29%, 初始比湿为3.70 g·kg-1图8(a)], 抵达暴雨区时比湿增加至7.5 g·kg-1。3个水汽通道的水汽输送贡献率分别为57.98%、 20.34%、 21.67%[图8(c)]。
图7 HYSPLIT轨迹模式模拟的2024年7月22日18:00初始高度2500 m(a)、 7月22日06:00初始高度5500 m气团后向追踪7 d的轨迹分布(b), 对应(a)中的聚类水汽通道分布和轨迹数量占比(c)以及对应(b)中的聚类水汽通道分布和轨迹数量占比(d)

Fig.7 The trajectory distribution of air mass backward tracking for 7 days simulated by HYSPLIT trajectory mode.(a) initial height of 2500 m at 18:00 on July 22, 2024; (b) initial height of 5500 m at 06:00 on July 22, 2024.(c) corresponds to the distribution and number of trajectories of the clustered water vapor channels in (a), while (d) corresponds to the distribution and number of trajectories of the clustered water vapor channels in (b)

图8 HYSPLIT轨迹模式模拟的2024年7月22日18:00初始高度2500 m(a)、 2024年7月22日06:00初始高度5500 m对应的水汽通道比湿变化(b), (c)(d)分别对应(a)(b)两次模拟的各水汽通道对目标降水区的水汽贡献率

Fig.8 The specific humidity changes of the water vapor channel corresponding to the initial height of 2500 m at 18:00 on July 22, 2024 (a), and the initial height of 5500 m at 06:00 on July 22, 2024 (b), simulated by the HYSPLIT.Figures (c) and (d) correspond to the water vapor contribution rates of each simulated water vapor channel in (a) and (b) to the target precipitation area, respectively

对22日06:00 5500 m 高度上水汽进行溯源发现也存在3条水汽通道, 其中水汽通道1主要源于孟加拉湾[图7(b), (d)], 通过副高外围气流向北输送至目标区, 占所有轨迹数量的42%, 初始比湿为11.79 g·kg-1图8(b)], 维持一段时间后比湿降至5.33 g·kg-1。通道2的水汽主要源于南海, 起始高度约为1500 m, 占所有轨迹数量的48%, 初始比湿为13.79 g·kg-1。通道3水汽主要源于西亚和地中海地区, 占所有轨迹数量的10%, 初始比湿为9.43 g·kg-1图8(b)], 之后增湿有限。3个水汽通道的水汽输送贡献率分别为43.31%、 51.45%、 5.24%[图8(d)]。
综上所述, 可以给出甘肃“7·22”特大暴雨的主要水汽输送概念图(图9)。台风“派比安”位于中国南方沿海地区, 与副高相互作用, 加强了两者之间向北的水汽输送, 形成了以南海为水汽源地的第一支水汽输送通道; 台风东侧环流有利于形成以西太平洋为水汽源地的第二支水汽输送通道; 第三支水汽输送通道源于孟加拉湾, 水汽在北输过程中受青藏高原地形抬升, 途经云南四川到达暴雨区; 第四支水汽输送通道源于中亚地区, 水汽翻越青藏高原到达暴雨区。此外, 在地形坡和“喇叭口”地形影响下, 有利于水汽向暴雨区输送和集中, 从而产生此次特大暴雨。
图9 甘肃“7·22”特大暴雨的主要水汽输送概念图

Fig.9 The conceptual diagram of the main moisture transport of the “7·22” severe rainstorm in Gansu Province

4 结论与讨论

本文利用降水观测数据、 再分析资料, 针对2024年7月22 -24日甘肃省陇东南地区特大暴雨过程的环流形势、 水汽输送特征等方面进行了分析, 揭示了甘肃“7·22”特大暴雨过程的主要水汽来源和输送路径, 并定量分析了水汽源区的贡献率。得到以下主要结论:
(1) 此次暴雨区上层对应高空急流出口区, 其气流辐散能增强低层水汽的垂直输送, 使湿层变得深厚; 中层短波槽、 副高和台风“派比安”是主要的天气尺度影响系统。偏南方向的强风速带(低空急流)为陇东南地区供应充沛水汽, 并在地形坡和“喇叭口”地形影响下, 有利于局地扰动的发生、 发展。这种高、 低空系统配置提供有利的动、 热力和水汽条件, 促使陇东南暴雨长时间维持, 产生极端降水。
(2) 暴雨发生前陇东南地区水汽充沛、 湿层深厚且持续增湿, 大气可降水量持续维持在75.0 kg·m-2以上。800 hPa比湿达14 g·kg-1以上, 配合强烈的上升运动, 对当地暴雨的发生发展十分有利。欧拉方法的水汽分析显示, 一条来源于孟加拉湾的水汽输送带经云南、 四川向暴雨区输送; 另一条则是台风“派比安”的水汽沿副高外围直接输送到暴雨区。本次暴雨过程中, 南边界进入陇东南区域的水汽流入量最大, 其主要水汽流入层次为800~700 hPa和700~500 hPa, 水汽通量分别为519 kg·m-1·s-1和718 kg·m-1·s-1。在500~400 hPa上西边界流入陇东南区域的水汽流入量最大。
(3)对此次特大暴雨的水汽进行追踪发现: 22日18:00 2500 m高度上的水汽通道有3条, 来源于南海1000 m上空的水汽通道占所有轨迹数量的53%, 水汽输送贡献率为57.98%; 源于西太平洋的水汽通道占所有轨迹数量的18%, 水汽输送贡献率为20.34%; 源于中亚地区的水汽通道占所有轨迹数量的29%, 水汽输送贡献率为21.67%。22日06:00 5500 m高度上的水汽通道有3条, 源于孟加拉湾上空的水汽通道占所有轨迹数量的42%, 水汽输送贡献率为43.31%; 源于南海的水汽通道占所有轨迹数量的48%, 水汽输送贡献率为51.45%; 源于西亚和地中海地区的水汽通道占所有轨迹数量的10%, 水汽输送贡献率为5.24%。以孟加拉湾和南海为水汽源地, 从低纬到四川盆地的偏南水汽通道输送的充沛水汽是本次特大暴雨的重要条件, 西太平洋和西北通道的水汽输送对此次暴雨也有一定的贡献。
本文揭示出甘肃“7·22”特大暴雨的水汽主要来源于海洋(南海和孟加拉湾)。此次特大暴雨正值“七下八上”这一传统的北方主汛期, 又恰逢7月21日生成的台风“派比安”, 它具有南海生成、 近岸加强明显、 通过海南岛后在北部湾再次加强等特点; 并且充当了南海水汽的大型水泵, 将其凝聚成急流, 送向降水目标区。台风自身的降水可直接导致暴雨, 并且它能够与其他天气系统相互作用, 在距离台风中心较远的地方产生间接降水(Ross and Kurihara, 1995)。例如, Wei et al(2023)利用WRF数值模拟验证异常北抬的西太平洋副高和台风“烟花”将大量暖湿空气由海上输送至郑州区域, 为郑州暴雨区带来更多的水汽; 陈淑琴等(2021)的研究表明, 台风“山竹”与副高之间形成的偏南低空急流是造成中国长三角地区强降水的主要原因。位于中国南海的台风“派比安”存在于极端降水爆发的时段, 它对大尺度环流结构配置和低纬水汽输送的贡献以及对此次暴雨的影响机制也值得探讨。本文后续将通过开展数值试验深入探究台风“派比安”对“7·22”甘肃特大暴雨的影响, 对比移除台风的敏感性试验结果, 并阐释台风在此次“7·22”特大暴雨的贡献及影响机制, 以便加深对此次特大暴雨的认识, 同时为未来此类特大暴雨的研究和预报工作提供一定的参考。
Gustafsson M Rayner D Chen D L2010.Extreme rainfall events in southern Sweden: where does the moisture come from?[J].Tellus A Dynamic Meteorology & Oceanography62(5): 605-616.DOI: 10.1111/j.1600-0870.2010.00456.x .

Hersbach H Bell B Berrisford P, et al, 2020.The ERA5 global reanalysis[J].Quarterly Journal of the Royal Meteorological Society146(730): 1999-2049.DOI: 10.1002/qj.3803 .

Huang Y J Cui X P2015.Moisture sources of torrential rainfall events in the Sichuan Basin of China during summers of 2009-13[J].Journal of Hydrometeorology16(4): 1906-1917.DOI: 10.1175/JHMD-14-0220.1 .

Jiang F Q Hu R J Wang S P, et al, 2013.Trends of precipitation extremes during 1960-2008 in Xinjiang, the northwest China[J].Theoretical and Applied Climatology111(1): 133-148.DOI: 10.1007/s00704-012-0657-3 .

Liu X Yang M X Wang H, et al, 2023.Moisture sources and atmospheric circulation associated with the record-breaking rainstorm over Zhengzhou city in July 2021[J].Natural Hazards116(1): 817-836.DOI: 10.1007/s11069-022-05700-5 .

Ma Y Z Lu M Q Chen H N, et al, 2018.Atmospheric moisture transport versus precipitation across the Tibetan Plateau: A mini-review and current challenges[J].Atmospheric Research209(1): 50-58.DOI: 10.1016/j.atmosres.2018.03.015 .

Matsumoto S Ninomiya K Yoshizumi S1971.Characteristic Features of “Baiu” Front Associated with Heavy Rainfall[J].Journal of the Meteorological Society of Japan49(4): 267-281.DOI: 10.2151/jmsj1965.49.4_267 .

Munday C Washington R Hart N2021.African low-level jets and their importance for water vapor transport and rainfall[J].Geophysical Research Letters48(1): e2020GL090999.DOI: 10. 1029/2020GL090999 .

Nie Y B Sun J Q2022.Moisture sources and transport for extreme precipitation over Henan in July 2021[J].Geophysical Research Letters49(4): e2021GL097446.DOI: 10.1029/2021GL097446 .

Pokam W M Djiotang L A Mkankam F K2012.Atmospheric water vapor transport and recycling in Equatorial Central Africa through NCEP/NCAR reanalysis data[J].Climate Dynamics38(9): 1715-1729.DOI: 10.1007/s00382-011-1242-7 .

Qiu X Zhang M J Dong Z W, et al, 2021.Contribution of recycled moisture to precipitation in northeastern Tibetan Plateau: a case study based on Bayesian Estimation[J].Atmosphere12(6): 731.DOI: 10.3390/atmos12060731 .

Ralph F M Dettinger M Lavers D, et al, 2017.Atmospheric rivers emerge as a global science and applications focus[J].Bulletin of the American Meteorological Society98(9): 1969-1973.DOI: 10.1175/BAMS-D-16-0262.1 .

Ross R J Kurihara Y1995.A numerical study on influences of Hurricane Gloria (1985) on the environment[J].Monthly Weather Review123(2): 332-346.DOI: 10.1175/1520-0493(1995)123<0332: ANSOIO>2.0.CO; 2 .

Stein A F Draxler R R Rolph G D, et al, 2015.NOAA’s HYSPLIT atmospheric transport and dispersion modeling system[J].Bulletin of the American Meteorological Society96(12): 2059-2077.DOI: 10.1175/BAMS-D-14-00110.1 .

Sun B Wang H J2014.Moisture sources of semiarid grassland in China using the Lagrangian particle model FLEXPART[J].Journal of Climate27(6): 2457-2474.DOI: 10.1175/JCLI-D-13-00517.1 .

Sun B Zhu Y L Wang H J2011.The recent interdecadal and interannual variation of water vapor transport over eastern China[J].Advances in Atmospheric Sciences28(5): 1039-1048.DOI: 10.1007/s00376-010-00931 .

Wei, P, Xu X Xue M, et al, 2023.On key dynamical processes supporting the 21·7 Zhengzhou record-breaking hourly rainfall in China[J].Advances in Atmospheric Sciences40(3), 337-349.DOI: 10.1007/s00376-022-2061-y .

Whitney L F1977.Relationship of the subtropical jet stream to severe local storms[J].Monthly Weather Review105(4): 398-412.DOI: 10.1175/1520-0493(1977)105<0398: ROTSJS>2.0.CO; 2 .

Yin J F Gu H D Liang X D, et al, 2022.A possible dynamic mechanism for rapid production of the extreme hourly rainfall in Zhengzhou City on 20 July 2021[J].Journal of Meteorological Research36(1): 6-25.DOI: 10.1007/s13351-022-1166-7 .

Zhang Y Huang W Y Zhong D2019.Major moisture pathways and their importance to rainy season precipitation over the Sanjiangyuan region of the Tibetan Plateau[J].Journal of Climate32(20): 6837-6857.DOI: 10.1175/JCLI-D-19-0196.1 .

Zhao N Manda A Guo X, et al, 2021.A lagrangian view of moisture transport related to the heavy rainfall of July 2020 in Japan: importance of the moistening over the subtropical regions[J].Geophysical Research Letters48(5): e2020GL091441.DOI: 10.1029/2020GL091441 .

Zhu Y Newell R E1998.A proposed algorithm for moisture fluxes from atmospheric rivers[J].Monthly Weather Review126(3): 725-735.DOI: 10.1175/1520-0493(1998)126<0725: APAFMF>2.0.CO; 2 .

布和朝鲁, 诸葛安然, 谢作威, 等, 2022.2021年“7·20”河南暴雨水汽输送特征及其关键天气尺度系统[J].大气科学46(3): 725-744.DOI: 10.3878/j.issn.1006-9895.2202.21226.Bueh C L

Zhuge A R Xie Z W, et al, 2022.Water vapor transportation features and key synoptic-scale systems of the “7·20” rainstorm in Henan Province in 2021[J].Chinese Journal of Atmospheric Sciences46(3): 725-744.DOI: 10.3878/j.issn.1006-9895.2202.21226 .

陈淑琴, 李英, 范悦敏, 等, 2021.台风“山竹”(2018)远距离暴雨的成因分析[J].大气科学45(3): 573-587.DOI: 10.3878/j.issn.1006-9895.2009.20126.Chen S Q

Li Y Fan Y M, et al, 2021.Analysis of long-distance heavy rainfall caused by typhoon Mangosteen (2018)[J].Chinese Journal of Atmospheric Sciences45(3): 573-587.DOI: 10.3878/j.issn.1006-9895.2009.20126 .

崔晓鹏, 杨玉婷, 2022. “ 21·7”河南暴雨水汽源地追踪和定量贡献分析[J].大气科学, 46(6): 1543-1556.DOI: 10.3878/j.issn.1006-9895.2203.22016.Cui X P , YangY T, 2022.Tracking and quantitative contribution analyses of moisture sources of rainstorm in Henan Province in July 2021[J].Chinese Journal of Atmospheric Sciences, 46(6): 1543-1556.DOI: 10.3878/j.issn.1006-9895.2203.22016 .

丁一汇, 柳艳菊, 宋亚芳, 2020.东亚夏季风水汽输送带及其对中国大暴雨与洪涝灾害的影响[J].水科学进展31(5): 629-643.DOI: 10.14042/j.cnki.32.1309.2020.05.001.Ding Y H

Liu Y J Song Y F2020.East Asian summer monsoon moisture transport belt and its impact on heavy rainfalls and floods in China[J].Advances in Water Science31(5): 629-643.DOI: 10.14042/j.cnki.32.1309.2020.05.001 .

段海霞, 刘新伟, 2009.喇叭口地形对一次暴雨影响的数值试验[J].干旱气象27(4): 327-333.DOI: 10.3969/j.issn.1006-7639.2009.04.005.Duan H X

Liu X W2009.Numerical experiment of trumpet-shaped topography influence on a heavy rain[J].Journal of Arid Meteorology27(4): 327-333.DOI: 10.3969/j.issn.1006-7639.2009.04.005 .

符娇兰, 权婉晴, 麦子, 等, 2023.“23·7”华北特大暴雨过程雨强精细化特征及动力和热力条件初探[J].气象49(12): 1435-1450.DOI: 10.7519/j.issn.1000-0526.2023.112701.Fu J L , QuanW Q, MaiZ, et al, 2023.Preliminary study on the refined characteristics of rainfall intensity and dynamic and thermodynamic conditions in the july 2023 severe torrential rain in North China[J].Meteorological Monthly, 49(12): 1435-1450.DOI: 10.7519/j.issn.1000-0526.2023.112701 .

傅朝, 刘维成, 宋兴宇, 等, 2022.西北干旱区一次极端暴雨局地性增强的对流环境特征[J].干旱气象40(6): 909-921.DOI: 10.11755/j.issn.1006-7639(2022)-06-0909.Fu Z

Liu W C Song X Y, et al, 2022.Local enhanced convective environment characteristics of an extreme rainstorm event in arid region of Northwest China[J].Journal of Arid Meteorology40(6): 909-921.DOI: 10.11755/j.issn.1006-7639(2022)-06-0909 .

江志红, 梁卓然, 刘征宇, 等, 2011.2007年淮河流域强降水过程的水汽输送特征分析[J].大气科学35(2): 361-372.DOI: 10.3878/j.issn.1006-9895.2011.02.14.Jiang Z H

Liang Z R Liu Z Y, et al, 2011.A diagnostic study of water vapor transport and budget during heavy precipitation over the Huaihe River Basin in 2007[J].Chinese Journal of Atmospheric Sciences35(2): 361-372.DOI: 10.3878/j.issn.1006-9895.2011.02.14 .

黄玉霞, 王宝鉴, 黄武斌, 等, 2019.我国西北暴雨的研究进展[J].暴雨灾害38(5): 515-525.DOI: 10.3969/j.issn.1004-9045.2019.05.013.Huang Y X

Wang B J Huang W B, et al, 2019.A review on rainstorm research in northwest China[J].Torrential Rain and Disasters38(5): 515-525.DOI: 10.3969/j.issn.1004-9045.2019.05.013 .

孔祥伟, 李晨蕊, 杨秀梅, 等, 2024.甘肃河东夏季区域性短时强降水环流形势分类特征[J].高原气象43(2): 329-341.DOI: 10.7522/j.issn.1000-0534.2023.00056.Kong X W

Li C R Yang X M, et al, 2024.Circulation situation characteristics of regional short-time heavy rainfall in eastern Gansu Province in summer[J].Plateau Meteorology43(2): 329-341.DOI: 10.7522/j.issn.1000-0534.2023.00056 .

刘鸿波, 何明洋, 王斌, 等, 2014.低空急流的研究进展与展望[J].气象学报72(2): 191-206.DOI: 10.11676/qxxb2014.022.Liu H B

He M Y Wang B, et al, 2014.Advances in low-level jet research and future prospects[J].Acta Meteorologica Sinica72(2): 191-206.DOI: 10.11676/qxxb2014.022 .

刘晶, 周玉淑, 杨莲梅, 等, 2019.伊犁河谷一次极端强降水事件水汽特征分析[J].大气科学43(5): 959-974.DOI: 10.3878/j.issn.1006-9895.1901.18114.Liu J

Zhou Y S Yang L M, et al, 2019.A diagnostic study of water vapor during an extreme precipitation event in the Yili River Valley[J].Chinese Journal of Atmospheric Sciences43(5): 959-974.DOI: 10.3878/j.issn.1006-9895.1901.18114 .

刘静, 靳莉君, 韩作强, 等, 2023.“21·7”河南持续性暴雨成因分析[J].水文43(5): 1-7.DOI: 10.19797/j.cnki.1000-0852.20210511.Liu J , JinLJ, HanZQ, et al, 2023.Analysis on the cause of “21·7” persistent heavy rainfall in Henan[J].Journal of China Hydrology, 43(5): 1-7.DOI: 10.19797/j.cnki.1000-0852.20210511 .

刘新伟, 王澄海, 郭润霞, 等, 2021.1981-2018年甘肃省极端暴雨天气过程的气候与环流特征[J].干旱气象39(5): 750-758.DOI: 10.11755/j.issn.1006-7639(2021)-05-0750.Liu X W

Wang C H Guo R X, et al, 2021.Climate and circulation characteristics of extreme rainstorm processes in Gansu from 1981 to 2018[J].Journal of Arid Meteorology39(5): 750-758.DOI: 10.11755/j.issn.1006-7639(2021)-05-0750 .

马莉, 杨晓军, 王勇, 等, 2023.1990-2019年甘肃汛期极端小时降水特征[J].高原气象42(4): 993-1004.DOI: 10.7522/j.issn.1000-0534.2022.00053.Ma L

Yang X J Wang Y, et al, 2023.Characteristics of extreme hourly precipitation during flood season in Gansu Province from 1990 to 2019[J].Plateau Meteorology42(4): 993-1004.DOI: 10.7522/j.issn.1000-0534.2022.00053 .

孙建华, 汪汇洁, 卫捷, 等, 2016.江淮区域持续性暴雨过程的水汽源地和输送特征[J].气象学报74(4): 542-555.DOI: 10.11676/ qxxb2016.047.Sun J H

Wang H J Wei J, et al, 2016.The sources and transportation of water vapor in persistent heavy rainfall events in the Yangtze Huaihe River Valley[J].Acta Meteorologica Sinica74(4): 542-555.DOI: 10.11676/ qxxb2016. 047 .

孙力, 马梁臣, 沈柏竹, 等, 2016.2010年7~8 月东北地区暴雨过程的水汽输送特征分析[J].大气科学40(3): 630-646.DOI: 10.3878/j.issn.1006-9895.1506.15101.Sun L

Ma L C Shen B Z, et al, 2016.A diagnostic study of water vapor transport and budget of heavy rainfall over northeast China during July to August 2010[J].Chinese Journal of Atmospheric Sciences40(3): 630-646.DOI: 10.3878/j.issn.1006-9895.1506.15101 .

孙旭映, 2006.甘肃河东地区降水特征及天气系统分型[J].干旱区资源与环境20(4): 35-39.DOI: 10.3969/j.issn.1003-7578.2006.04.008.Sun Y , 2006.The precipitation characteristic and weather system types of precipitation in eastern Gansu[J].Journal of Arid Land Resources and Environment, 20(4): 35-39.DOI: 10.3969/j.issn.1003-7578.2006.04.008 .

陶诗言, 1980.中国之暴雨[M].北京: 科学出版社, 1-225.

Tao S Y1980.Heavy rainfalls in China[M].Beijing: Science Press, 1-225.

王澄海, 张晟宁, 张飞民, 等, 2021.论全球变暖背景下中国西北地区降水增加问题[J].地球科学进展36(9): 980-989.DOI: 10.11867/j.issn.1001-8166.2021.087.Wang C H

Zhang S N Zhang F M, et al, 2021.On the increase of precipitation in the northwestern China under the global warming[J].Advances in Earth Science36(9): 980-989.DOI: 10.11867/j.issn.1001-8166.2021.087 .

王美月, 王磊, 李谢辉, 等, 2022.三江源地区暴雨的水汽输送源地及路径研究[J].高原气象41(1): 68-78.DOI: 10.7522/j.issn.1000-0534.2020.00097.Wang M Y

Wang L Li X H, et al, 2022.Study on water vapor transport source and path of rainstorm in Sanjiangyuan area[J].Plateau Meteorology41(1): 68-78.DOI: 10.7522/j.issn.1000-0534.2020.00097 .

谢作威, 布和朝鲁, 诸葛安然, 等, 2022.“21.7”河南暴雨暖季风输送带加强及关键天气流型的准地转位涡反演[J].大气科学46(5): 1147-1166.DOI: 10.3878/j.issn.1006-9895.2205.22039.Xie Z W

Bueh C L Zhuge A R, et al, 2022.An intensification of the warm and moist conveyor belt of the Asian Summer Monsoon in the “21.7” Henan Rainstorm and its key circulation from the quasi-geostrophic potential vorticity perspective[J].Chinese Journal of Atmospheric Sciences46(5): 1147-1166.DOI: 10.3878/j.issn.1006-9895.2205.22039 .

薛一迪, 崔晓鹏, 2020.“威马逊”(1409) 降水水汽来源和源区定量贡献分析[J].大气科学44(2): 341-355.DOI: 10.3878/j.issn.1006-9895.1903.18245.Xue Y D

Cui X P2020.Moisture sources and quantitative analyses of source contributions of precipitation associated with Rammasun (1409)[J].Chinese Journal of Atmospheric Sciences44(2): 341-355.DOI: 10.3878/j.issn.1006-9895.1903.18245 .

曾钰婷, 张宇, 周可, 等, 2020.青藏高原那曲地区夏季水汽来源及输送特征分析[J].高原气象39(3): 467-476.DOI: 10.7522/j.issn.1000-0534.2019.00120.Zeng Y T

Zhang Y Zhou K, et al, 2020.Analysis on the source and transport characteristics of moisture in Naqu of the Qinghai-Tibetan Plateau in summer[J].Plateau Meteorology39(3): 467-476, DOI: 10.7522/j.issn.1000-0534.2019.00120 .

张登旭, 阎虹如, 苗云飞, 等, 2024.利用轨迹追踪法研究雅鲁藏布江大峡谷区域水汽输送减少的成因[J].高原气象43(1): 114-126.DOI: 10.7522/j.issn.1000-0534.2023.00050.Zhang D X

Yan H R Miao Y F, et al, 2024.Analysis of water vapor transport reduction in the yarlung tsangpo grand canyon region: a trajectory tracking approach[J].Plateau Meteorology43(1): 114-126.DOI: 10.7522/j.issn.1000-0534.2023.00050 .

张强, 林婧婧, 刘维成, 等, 2019.西北地区东部与西部汛期降水跷跷板变化现象及其形成机制[J].中国科学: 地球科学49(12): 2064-2078.DOI: 10.1360/N072018-00198.Zhang Q

Lin J J Liu W C, et al, 2019.Precipitation seesaw phenomenon and its formation mechanism in the eastern and western parts of Northwest China during flood season[J].Science China Earth Sciences62(12): 2083-2098, DOI: 10.1007/s11430-018-9357-y .

张霞, 杨慧, 王新敏, 等, 2021.“21·7”河南极端强降水特征及环流异常性分析[J].大气科学学报44(5): 672-687.DOI: 10.13878/j.cnki.Dqkxxb.20210907001.Zhang X , YangH, WangX M, et al, 2021.Analysis on characteristic and abnormality of atmospheric circulations of the July 2021 extreme precipitation in Henan[J].Transactions of Atmospheric Sciences, 44(5): 672-687.DOI: 10.13878/j.cnki.Dqkxxb.20210907001 .

钟水新, 2020.地形对降水的影响机理及预报方法研究进展[J].高原气象39(5): 1122-1132.DOI: 10.7522/j.issn.1000-0534.2019.00083.Zhong S X , 2020.Advances in the study of the influencing mechanism and forecast methods for orographic precipitation[J].Plateau Meteorology, 39(5): 1122-1132.DOI: 10.7522/j.issn.1000-0534.2019.00083 .

朱姜韬, 杨庆怡, 李旭, 等, 2023.中国西北地区夏季降水及其东部降尺度预测模型[J].高原气象42(3): 646-656.DOI: 10.7522/j.issn.1000-0534.2022.00102.Zhu J T

Yang Q Y Li X, et al, 2023.Characteristics and east downscaling forecast model of summer precipitation in northwest China[J].Plateau Meteorology42(3): 646-656.DOI: 10.7522/j.issn.1000-0534.2022.00102 .

Outlines

/