论文

基于ECMWF模式的定量降水客观订正方法

  • 郑婧 ,
  • 夏侯杰 ,
  • 陈娟 ,
  • 孙素琴
展开
  • 江西省气象台, 江西 南昌 330096

郑婧(1983 -), 女, 江西南昌人, 副高, 主要从事中短期天气预报研究. E-mail:

收稿日期: 2019-08-12

  修回日期: 2020-01-03

  网络出版日期: 2020-08-28

基金资助

国家重点研发计划重点专项(2018YFC1507601)

江西省气象局重点科研项目(主客观预报产品融合技术研究, 江西城镇气象要素预报技术研究)

中国气象局预报员专项(CMAYBY2019-060)

Objective Correction Method for Quantitative Precipitation Forecasting Based on ECMWF Model

  • Jing ZHENG ,
  • Houjie XIA ,
  • Juan CHEN ,
  • Suqin SUN
Expand
  • Jiangxi Province Meteorological Observatory, Nanchang 330096, Jiangxi, China

Received date: 2019-08-12

  Revised date: 2020-01-03

  Online published: 2020-08-28

本文亮点

基于ECMWF高分辨率数值模式物理量诊断产品, 利用逻辑回归法开展江西定量降水客观预报试验, 并进行检验和改进。结果表明: (1)初始方案中直接提取预报因子单站建模所得到的预报结果较数值模式原始输出降水改进效果有限, 但在经过降水分区优化、 多倍数暴雨样本扩充、 本地气候频率降水订正等改进步骤后, 各等级降水预报均较初始方案TS有不同程度的提高。(2)2018年降水试验结果表明, 改进方案的晴雨、 各等级降水预报TS均高于EC模式降水和预报员, 其中大雨、 暴雨以上量级相对数值模式以及预报员的订正提高率达到1/4~1倍。(3)本方案预报产品对强天气尺度强迫下、 落区相对集中的暴雨天气有较好的识别能力; 而在暖区暴雨、 盛夏副热带高压边缘暴雨、 高架对流等强降水落区分散且范围较小的情况下, 或是当模式对天气形势、 主雨带预报有明显系统性偏差时, 无法有明显改进。

本文引用格式

郑婧 , 夏侯杰 , 陈娟 , 孙素琴 . 基于ECMWF模式的定量降水客观订正方法[J]. 高原气象, 2020 , 39(4) : 830 -839 . DOI: 10.7522/j.issn.1000-0534.2019.00116

Highlights

Based on ECMWF model, quantitative precipitation forecasting experiment was carried out with logistic model.The results show that: (1) Compared with EC model, precipitation forecasting modeled by single-station will provide limited benefits.After optimized precipitation division、 enlarged rainstorm samples、 bias correction for local climatic precipitation, TS scores has been improved.(2) The objective quantitative precipitation has been applied in grid forecasting in Jiangxi in 2018.Results show that the TS scores of rainfall and different-class precipitation are much better than EC model and forecasters, especially for heavy rain and torrential rain, which are 25%~1 times higher.(3) The products of this scheme has better recognition for rainstorm which are concentrated and forced by strong synoptic-scale systems.While it can't be accurate predicted in the situation of dispersive precipitation, which happened in warm sector、 edged of sub-tropical high in midsummer, etc.When the model has obvious systematic deviation to weather situation and main rain region, the objective correction can't improve the model results either.

1 引言

随着数值模式的飞速发展, 数值预报产品在业务工作中发挥着重要作用。然而由于初始条件不完善和模式自身误差等因素, 模式产品存在一定的系统性偏差。预报员的作用则是在海量预报数据的基础上进行有效信息提取和数据挖掘, 通过后处理技术改善模式预报的偏差, 获得最优主客观订正产品, 逐步实现定时、 定点、 定量、 无缝隙、 全覆盖的精细化智能网格预报。在所有气象要素中, 降水是公众最为关心的要素产品之一。但由于降水存在一系列非线性复杂的物理过程, 使降水相较温度、 风等天气要素预报具有更大的难度, 对数值模式释用也提出了更高的要求(Scheuerer et al, 2015; Wilks et al, 2007; 熊敏诠, 2017)。尤其是在短时强降水、 暴雨等高影响天气下, 如何利用数值模式对不同类型天气的预报性能特点, 有效判断强天气的发生概率是预报业务的难点之一(潘留杰等, 2017; 马申佳等, 2018; 傅朝等, 2019)。
近年来, 基于数值模式的定量降水订正技术得到了快速提高。毕宝贵等(2016)从数值模式发展、 统计后处理、 检验评估等方面回顾了定量降水预报业务的发展, 归纳了定量降水订正与集成、 概率预报处理、 统计降尺度三类降水预报统计后处理技术。代刊等(2018)针对集合模式定量降水预报, 依据技术方法的途径和成熟度将后处理研究归纳为三类, 即: 不基于统计模型的非参数化后处理方法、 基于概率分布统计模型的参数化后处理方法、 考虑变量结构的后处理方法。传统的模式输出统计方法是利用预报因子和降水建立多元回归方程(Antolik, 2000), 但是降水多呈非正态分布(Ananthakrishnan et al, 1989; Husak et al, 2007)。配料法则是运用基本成分的观点、 分析关键物理因子演变和配合的预报方法, 多用于暴雨(Doswell, 1996; 张小玲等, 2010)。频率订正法是利用观测降水量的频率或面积校正模式降水分布, 此方法不能订正降水落区偏差, 但能通过改变雨区范围大小有效减小降水预报误差(Zhu et al, 2015; 李俊等, 2014; 孙靖等, 2015)。概率匹配平均法(Elbert, 2001)是将具有较好空间分布的集合平均和更高量级准确度的成员预报结合, 相对于单一模式能够提高降水预报技巧, 消减系统性误差, 且不需要历史样本。此外, 利用回归模型或者概率分布参数估计构建的模式释用方法(Stensrud et al, 2007)可以获得更加可靠准确的PQPF预报, 其中逻辑回归、 分箱回归的BRIER评分明显高于线性回归(Gahrs et al, 2003), 尤其在概率降水方面逻辑回归较神经网络、 分类统计、 多重判别分析、 线性回归等统计方法效果更好(Applequist et al, 2002)。本文的定量降水客观预报试验就是在逻辑回归判别方法的基础上, 对ECWMF数值模式降水进行释用订正。
逻辑回归方法在气象中的应用优势在于, 它不仅适用于非正态母体, 对既离散又有连续变量的因子也能适用, 且模型设计相对简单, 逐渐被国内学者熟悉并应用于雷电(周丽雅等, 2016)、 短时强降水(白晓平等, 2018; 张芳华等, 2016)、 概率降水预报(纪玲玲等, 2003; 万夫敬等, 2012)、 路面结冰风险预警(白永清等, 2016)、 地质灾害概率预报(周雨等, 2015; 徐晶等, 2007)等业务中。例如, 张芳华等(2016)利用逻辑回归判别模型进行强降水预报试验, 运用主成分分析和bootstrap抽样技术改善了模型的过拟合问题, 有效提高了降水预报准确率。白晓平等(2018)运用改进的二元逻辑回归法和综合多指标叠加法, 建立了两种短时强降水预报模型, 结果表明, 不同概念模型下逻辑回归模型预报效果优于综合多指标叠加模型。万夫敬等(2012)研究了南京地区的降水事件, 对比得出逻辑回归方法在降水概率预报方面较事件概率回归方法有明显优势。综上所述, 逻辑回归是一种应用广泛的判别方法, 具有其特有的优势, 但在降水预报中多用于短时强降水的“有、 无”判断或是概率降水预报, 开展分等级定量降水试验的较少。因此, 本文基于逻辑回归方法, 对数值模式产品进行客观订正试验, 开展江西定量降水预报, 以期为业务预报提供参考。

2 资料选取

文中采用中国气象局下发的ECMWF高分辨率预报输出场资料进行建模和运算, 空间分辨率为0.25°×0.25°, 预报时效为24~240 h, 时间间隔为12 h, 时间长度为2015 -2018年, 其中2015 -2016年资料用于统计建模, 2017 -2018年资料用于模型预报试验以及与业务产品的对比。选用江西93个国家气象站相应时段的逐12 h累积降水资料作为降水实况。文中所涉及的地图是基于国家测绘地理信息局标准地图服务网站下载的审图号为GS2019(3333)、 GS2019(3266)的江西省底图制作, 底图无修改。

3 数值模式降水客观订正方案

3.1 逻辑回归模型简介

逻辑回归模型是针对二分类相应变量建立的一种概率回归模型, 可以将定量降水预报看成不同量级上降水“有”和“无”的分类预报问题。其函数类型为:
P = 1 1 + e - Z
式中: Z = β 0 + β 1 X 1 + β 2 X 2 + + β m X m; P表示不同量级降水发生的概率值; β为回归系数; X为影响因子。以降水预报TS作为各量级降水的最优概率P 0取值的依据, 通过模型函数P的结果来判别某一等级降水事件发生的概率, 当PP 0时, 即认定降水可能发生。

3.2 降水检验方法

为适应业务需求, 每天两次提供逐12 h降水预报, 与预报员日常业务产品发布时间、 预报时效同步。评分办法采用中国气象局下发的中短期天气预报质量检验方案, 评定逐12 h的晴雨预报和分级降水预报, 检验以12 h预报为检验单元, 逐24 h预报质量采用2段12 h预报样本的检验结果。
TS用来衡量降水落区的准确性, 其评分公式为:
T S k = N A k N A k + N B k + N C k × 100 %
B I A S = N A k + N B k N A k + N C k
式中: N A k为逐12 h预报正确的站(次)数; N B k N C k为相应的空报站(次)数和漏报站(次)数(表1)。BIAS为预报事件的发生频率, BIAS大于1表示预报过度, 空报次数多于漏报次数; BIAS小于1表示预报不足, 漏报次数多于空报次数; 当无空报和漏报时, BIAS等于1。
表1 降水预报检验分类表

Table 1 Verification for precipitation forecasting

实况 预报
N A k N C k
N B k -

-表示无数据

3.3 模式降水客观订正试验

本文的技术方案可用图1描述。根据预报量与因子的相关性, 选取与降水预报相关的物理因子为建模所用。将影响因子进行主成分分析并建立逻辑回归判别模型, 得到初始预报结果, 即初始方案结果。根据试验结果对预报方案升级、 调整, 如优化降水分区、 增大样本数量、 本地降水频率控制等, 即改进方案。经过参数训练之后, 最终生成最优定量降水预报产品。在业务运行中, 对过去2年的模式资料每日滚动运算, 更新参数阈值, 实现客观定量降水预报业务化。
图1 基于ECMWF模式的定量降水客观订正方案

Fig.1 Technique flow of precipitation forecasting based on logistic regression

3.3.1 初始方案

步骤1: 选取与降水相关较大的物理因子
因子选取的好坏直接影响预报效果, 本文结合业务实践经验, 根据预报因子与预报对象的相关挑选出与降水相关系数较大的因子共16个, 如比湿、 相对湿度、 垂直速度、 露点温度, 高度层分别为500, 700, 850和925 hPa。
步骤2: 主成分分析提取预报因子主要信息
在用统计方法研究降水与多变量的相关分析时, 变量个数太多会增加预报方程的复杂性。采用主成分分析法对影响降水量的相关因素进行特征提取, 可保留原来预报因子矩阵大部分信息并大幅降低矩阵维数, 避免参数受共线性影响(张芳华等, 2016)。表2是主成分分析后各物理因子的方差贡献率。从表2中可以看出, 第一主成分的方差贡献达62.64%, 前5个主成分已经包含了98.9%的原数据信息, 用这5个主成分建模, 可有效消除噪音信息的影响, 而且简化了模型, 提取预报因子的公共特征。
表2 主成分分析方差贡献率

Table 2 Variances contribution of principal component analysis

主成分数 方差贡献率/% 累计方差贡献/%
1 62.64 62.64
2 20.78 83.42
3 9.44 92.82
4 3.98 96.8
5 2.1 98.9
步骤3: 代入逻辑回归模型, 计算16个影响因子的β参数阈值
由前文可知, 前5个主成分已包含了大部分的原数据信息, 可用于逻辑回归模型参数的计算。由于模型是基于16个预报因子建立的, 因此旋转坐标系, 用主成分矩阵乘以特征向量矩阵, 将其复原到16个预报因子进行β参数反算。复原后的16个预报因子仍只有5个自由度, 大幅降低了矩阵维数。β参数反算是采用梯度下降法求多元回归, 得到各影响因子在不同等级降水条件下对应的参数值β阈值库。
步骤4: 单站建模, 搜寻概率阈值P 0, 根据阈值设定进行降水试验
以2015 -2016年EC数值模式的1462个样本为数据训练模型, 对南昌进行单站建模, 分别计算小雨、 中雨、 大雨、 暴雨对应的概率阈值P 0。概率阈值P 0是以最优TS评分为依据, 具体方法为, 从0~1间隔0.01循环赋值给概率阈值, 得到一系列降水TS评分结果, 其中TS评分最高时所对应的概率阈值大小即设定为该量级降水的概率阈值P 0表3)。根据表3的参数设定, 对2017年江西93站12~24 h 时段降水预报进行试验。
表3 各量级降水初始阈值设定和201712~24 h时段降水预报试验评分

Table 3 Initial main parameters of precipitation forecasting and the TS scores for the 12~24 hours in 2017

小雨 中雨 大雨 暴雨
概率阈值P 0 0.47 0.27 0.2 0.18
初始方案TS 53 21.4 14.5 10.7
EC模式TS 52.7 23.9 15.1 9.9
表3可以看出, 按照初始方案的参数设定, 模型对2017年降水预报性能与EC数值模式接近, 无明显提高, 且在中雨量级较数值模式偏低10%。主要是由于阈值库是在单站建模的基础上设定的, 样本较少, 空报率高, 暴雨预报偏差大, 需要从优化降水分区、 增加样本数量、 分级降水消空等方面对方案进行调整, 以改进对数值模式的订正能力。

3.3.2 改进方案

改进步骤1: 优化降水分区, 根据本地气候态分区重新建模
不同地域和气候背景下的降水性质、 成因机理常常会有所区别, 因此在降水客观分区的基础上进行降水预报往往效果更佳(赵琳娜等, 2015; 赵翠光等, 2011)。本文初始方案用的是单站建模的方式, 样本记录量小, 影响因子训练难度大, 难以准确刻画不同气候分区下的降水差异。因此, 改进方案中对全省进行了客观分区, 在分区内共享相似的天气样本, 根据本地气候态重新建模。选取56年江西汛期区域性暴雨时间日降水资料(总计587天), 采用标准化处理后再进行EOF分析。最终, 有6个特征向量通过了North准则检验, 具体见各模态空间分布及示意图(图2)。通过优化降水分区, 既体现了空间分布的变化性, 又增加了样本个数, 使预报模型更加稳定。
图2 经REOF分解的江西区域暴雨第1~6空间模态(a~f)及相应的客观分区示意图(g)

Fig.2 The six spatial patterns (a~f) for regional rainstorm rotated by REOF modes and the corresponding subdivisions sketch (g)

改进步骤2: 本地降水频率控制, 优化最佳概率阈值
原始方案对中雨以上量级存在过度预报, 尤其是暴雨, 空报数约为漏报数的2倍。为改善这种情况, 使用本地降水频率控制的方式重新确定最佳概率阈值。具体方式为在最佳概率阈值运算过程中, 加入限制条件: 使预报降水发生频次( N A k+ N B k)和实际降水发生频次( N A k+ N C k)尽可能接近, 即BIAS接近1。通过约束条件循环控制该等级降水的概率阈值, 使改进方案预报的降水频率大致接近当地降水的平均气候水平, 从而获取最优概率阈值。
改进步骤3: 多倍数暴雨样本扩充, 增大样本数量
为了提高模型对暴雨的预报精度, 采用多倍数复制暴雨样本的方式增加暴雨样本数量, 分别将暴雨样本扩充2倍、 3倍、 4倍、 10倍、 40倍放入样本库中进行拟合训练, 选择最有利于TS提高的暴雨样本扩充方案。

3.3.3 试验结果对比

为展现初始方案和改进方案在统计意义上的效果, 以2017年全年730例样本对12~24 h预报时段的试验效果加以说明。从两种客观订正方案与EC原始输出降水预报TS对比分析(表4)发现, 改进方案对各量级降水的预报效果均较初始方案有所提高, 其中小雨预报较初始方案的TS提高了3%, 中雨、 大雨提高了13%~20%, 改进效果最明显的是暴雨预报, TS评分达到15.3, 较初始方案提高了43%。而且经过改进后, 各等级降水预报的BIAS均有不同程度下降(图3), 尤其是大雨、 暴雨下降了34%~60%, 说明改进方案对大雨以上量级的预报稳定性有明显提升。
表4 201712~24 h预报时段初始方案、 综合改进方案、 EC原始输出降水预报评分对比

Table 4 Scores of initial program, improvement program, EC model for the 12~24 hours forecast period in 2017

小雨 中雨 大雨 暴雨
EC原始输出降水TS 52.7 23.5 15.1 9.9
初始方案TS 53 21.4 14.5 10.7
改进方案TS 54.8 24.1 17.4 15.3
改进方案较初始方案TS提高率 3% 13% 20% 43%
改进方案较EC降水TS提高率 4% 3% 15% 55%
图3 初始方案、 改进方案的分等级降水预报BIAS对比

Fig.3 Improvement of bias scores between initial program and improvement program

进一步对比改进方案和EC降水预报TS发现, 在小雨和中雨的预报性能上, 改进方案与数值模式相近, 较模式产品略提高3%~4%, 但在大雨和暴雨量级预报有明显正订正技巧, 提高率分别达到15%、 55%。在BIAS的对比表现上(图略), 显著改善了模式产品对暴雨的过度预报现象。说明在合理的气候分区中共享相似的天气样本、 增大样本密度, 并结合本地降水频率优化最佳概率阈值, 可以使预报模型更加稳定, 从而提高预报准确率。

4 客观订正方案在业务预报中的应用

由上分析可知, 在2017年12~24 h时段的预报试验中, 改进方案的预报结果明显优于初始方案和EC数值模式, 说明该方案可行, 因此将其应用于江西省气象台智能网格业务平台中, 并与现行智能网格主观预报产品进行对比, 得到如下检验结果。

4.1  2018年主观业务预报与客观订正降水的TS评分对比

图4列出了使用改进方案的客观订正降水预报结果与EC数值模式、 中央台网格指导预报、 省市级预报员主观预报在2018年1 -12月降水预报中的24~72 h TS对比, 降水间隔为逐12 h。评分办法采用3.2节中检验计算方式, 以12 h预报为检验单元, 逐24 h预报质量采用2段12 h预报样本的检验结果。
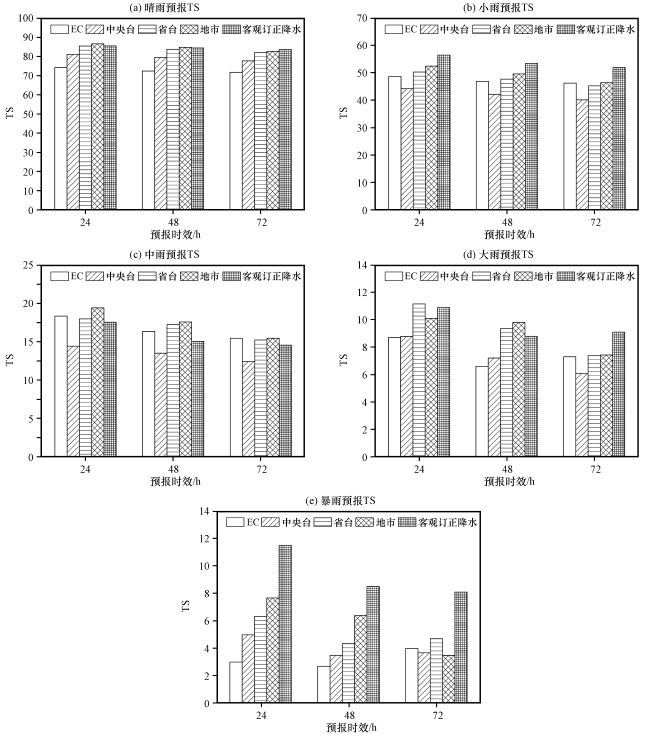
图4 EC模式、 客观订正降水、 预报员对2018年24~72 h内逐12 h降水预报评分对比

Fig.4 Comparison of the TS Scores between improvement program QPF, EC precipitation forecast and forecasters in 2018

图4可知, 客观降水预报结果在24~72 h晴雨预报与省、 市级预报员TS相当, 基本在85左右, 并超过EC模式和中央台网格预报6%~16%。在分等级预报中, 预报员对中雨量级的TS结果与EC基本持平, 略高于客观降水的预报结果。但对小雨、 大雨、 暴雨量级预报, 客观订正降水预报准确率较EC或预报员有不同程度的提高。以小雨为例, 客观预报结果较EC的提高率为12%~16%, 较中央台网格预报提高28%左右, 较省、 市预报员提高7%~12%; 对大雨量级, 较EC和中央台网格预报提高率为25%~35%; 对逐12 h暴雨预报, 客观预报改进效果更加明显, 24~72 h暴雨TS分别为11.5, 8.5和8.1, 较市级预报员成绩提高了30%~50%, 较省级预报员成绩提高了70%~90%, 较中央台网格预报提高了120%~140%, 较EC模式的提高率在24~48 h更是达到了2倍以上。

4.2 暴雨预报能力评估

由上文检验结果可知, 本研究的定量降水方案在对暴雨的订正能力最为突出。为进一步评估本方案对不同类型暴雨的预报能力, 对2018年1月至2019年7月江西5站以上47次暴雨过程订正前后的预报结果进行分析。重点关注50 mm以上降水落区, 当预报暴雨落区与实况暴雨落区重合度较高, 且两者轴线距离小于50 km时, 认为此次暴雨过程预报正确; 当预报落区与实况部分重合, 且两者轴线在50~100 km时, 认为此次暴雨过程预报基本正确; 当预报落区与实况重合度较小, 且两者轴线距离超过100 km时, 认为此次暴雨过程预报错误。
统计结果表明(表格略), 在47次暴雨过程中, 50 mm以上预报落区与实况吻合的占27次(57%), 这些预报正确的个例绝大多数发生在强天气尺度强迫下, 辐合系统清晰、 西南气流强盛, 存在锋面或与急流相伴的切变, 热力、 水汽条件适宜, 暴雨落区相对集中, 数值模式对这类天气形势和主雨带分布通常不会有太大的偏差, 在结合了本方案的诊断建模识别后, 主雨带的范围和强度可以得到进一步改善。以2018年7月5 -6日暴雨过程为例, 选取最强降水时段的预报效果进行评估。
2018年7月5 -6日暴雨过程是在东北冷涡后部西北气流南下、 副高加强北抬的天气背景下发生的, 受其影响, 江西中北部出现暴雨到大暴雨, 共14县市74测站降雨量超过250 mm, 以景德镇昌江区竟成381 mm为最大, 景德镇、 浮梁、 金溪日雨量创历史新高。实况雨量监测显示, 7月5日20:00至6日08:00[图5(a)], 赣北普遍大到暴雨, 赣东北出现大暴雨, 降水中心达到293.5 mm。对比数值模式预报发现[图5(d)], 模式输出降水对25 mm以上降水的范围预报明显偏小, 暴雨主体位于安徽南部, 暴雨落区较实况偏北100~200 km。相较而言, 客观订正降水预报表现了明显优势, 无论是雨带的形态、 位置、 量级均与实况更加接近, 赣北北部普遍预报了暴雨, 赣东北最大降水中心超过100 mm[图5(g)]。之后的12 h, 在高空西北气流的引导下, 强雨带迅速南压至27°N -29°N[图5(b)]。从对应时段数值模式的预报结果和模型订正结果[图5(e), (h)]中可以看出, 订正前数值模式对暴雨位置依然预报偏北100~200 km, 暴雨中心上空模式预报仅为中雨。通过客观订正后, 雨区与实况更为接近, 尽管强降水范围较实况偏大, 但强雨带的走向、 位置、 中心量级较订正前有了明显改善。6日20:00至7日08:00也是类似的形势[图5(c), (f), (i)], 数值模式过度预报了江西东北部的暴雨、 大暴雨, 降水中心较实况偏北100~200 km, 客观订正结果尽管同样过度预报了江西东北部的暴雨, 但是对26°N -28°N江西中部的暴雨较数值模式直接输出产品有更好的体现。由此可见, 基于本方案的预报结果虽然无法完全消除模式的系统性偏差, 但对在业务上具有较大的应用和参考价值, 可以显著提高预报质量。
图5 2018年7月5 -6日实况降水(a~c)及对应时段的EC模式降水(d~f)、 客观订正降水预报(g~i)(单位: mm)

Fig.5 Comparison between actual precipitation (a~c) and EC model (d~f), objective correction QPF (g~i) from 5 to 6 July 2018.Unit: mm

需要注意的是, 虽然经过改进后可在一定程度上改善模式输出降水预报的范围和落区, 但并非普适于所有类型的暴雨。由于本方案是基于全球模式提取预报因子进行建模运算, 不包含中小尺度信息, 因此在暖区暴雨、 盛夏副高边缘暴雨、 高架对流等强降水落区分散且范围较小的情况下, 客观订正方案无法对数值模式有明显订正, 经统计这种比例占了8/47。另外, 当数值模式对天气形势、 主雨带的预报出现明显系统性偏差时, 模型预报同样无法改进雨带位置和强度, 这种情况占了总样本个例的6/47。为改善以上两种情况, 可以考虑引入不同模式的输出产品资料尤其是区域模式进行综合识别, 提高逻辑回归方法在暴雨、 极端降水事件的分辨能力。

5 结论

基于逻辑回归模型开展定量降水客观订正试验, 选取与降水相关较大的16个物理因子, 利用主成分分析法提取预报因子主要信息, 并使用此方法在优化降水分区、 增加暴雨样本数量、 降水分级降水消空等方面对方案进行调整, 改进对数值模式的订正能力。在业务运行中, 对过去2年的模式资料每日滚动更新参数阈值, 实现客观定量降水预报业务化。主要结论如下:
(1) 预报因子直接单站建模所得到的降水预报产品较数值模式改进效果有限, 在经过优化降水分区、 暴雨样本扩充、 本地气候频率降水订正等改进步骤后, 各量级降水的预报效果较初始方案有所提高, 其中小雨预报较初始方案的TS提高了3%, 中雨和大雨较初始方案TS提高了13%~20%, 改进效果最明显的是暴雨预报, TS较初始方案提高了43%。说明在合理的气候分区中共享相似的天气样本、 增大样本数量, 并结合本地降水频率优化最佳概率阈值, 可以使预报模型更加稳定, 有效改善预报过度现象, 从而提高预报准确率。
(2) 2018年降水预报试验表明, 基于本研究的降水预报结果在24~72 h晴雨预报与省、 市级预报员TS相当, 并超过EC模式和中央台网格预报6%~16%。在分等级预报中, 除中雨外, 各等级降水较数值模式或预报员主观预报有不同程度的提升。其中小雨的客观预报结果较EC的提高率为12%~16%, 较中央台网格预报提高28%, 较省、 市预报员提高7%~12%; 大雨预报TS较EC和中央台网格预报提高率为25%~35%; 暴雨预报较市级预报员成绩提高了30%~50%, 较省级预报员成绩提高了70%~90%, 较中央台网格预报提高了120%~140%, 较EC模式的提高率在24~48 h超过2倍。
(3) 目前基于本研究方案的客观订正定量降水预报已成功应用于江西省气象台智能网格预报业务中, 有较好的应用参考价值。统计结果表明, 本方案对强天气尺度强迫下、 落区相对集中的暴雨天气有较好的识别能力, 尤其是当辐合系统清晰、 西南气流强盛, 存在锋面或与急流相伴的切变时, 预报结果可参考价值高。但由于该客观方法是基于全球模式提取预报因子进行建模运算, 不包含中小尺度信息, 因此在暖区暴雨、 盛夏副高边缘暴雨、 高架对流等强降水落区分散且范围较小的情况下, 或是当模式对天气形势、 主雨带预报有明显系统性偏差时, 对数值模式无法有明显订正。为改善以上两种情况, 可以考虑引入不同模式产品尤其是区域模式进行综合识别, 提高逻辑回归方法在暴雨、 极端降水事件的分辨能力。

感谢中央气象台正研级高工张芳华、 曹勇高工和江西省气象台正研级高工许爱华对本文部分技术工作提出的建议!

Applequist S, Gahrs G E, Pfeffer R L, 2002.Comparison of methodologies for probabilistic quantitative precipitation forecasting[J].Weather and Forecasting, 17(4): 783-799.

Antolik M S, 2000.An overview of the National Weather Service's centralized statistical quantitative precipitation forecast[J].Journal of Hydrology, 239(1/4): 306-337.

Ananthakrishnan R, Soman M K, 1989.Statistical distribution of daily rainfall and its association with the coefficient of variation of rainfall series[J].International Journal Climatology, 9(5): 485-500.

Doswell C A, 1996.Flash flood forecasting: An ingredient-based methodology[J].Weather and Forecasting, 11(4): 560-581.

Elbert E E, 2001.Ability of a poor man's ensemble to predict the probability and distribution of precipitation[J].Monthly Weather Review, 129(10): 2461-2479.

Gahrs G E, Applequist S, Pfeffer R L, al et, 2003.Improved results for probabilistic quantitative precipitation forecasting[J].Weather and Forecasting, 18(5): 879-890.

Husak G J, Michaelsen J, Funk C, 2007.Use of the gamma distribution to represent monthly rainfall in Africa for drought monitoring applications[J].International Journal Climatology, 27(7): 935-944.

Stensrud D J, Yussouf N, 2007.Reliable probabilistic quantitative precipitation forecasts from a short-range ensemble forecasting system[J].Weather and Forecasting, 22(1): 3-17.

Scheuerer M, Hamill T M, 2015.Statistical post-processing of ensemble precipitation forecasts by fitting censored, shifted Gamma distributions[J].Monthly Weather Review, 143(11): 4578-4596.

Wilks D S, Hamill T M, 2007.Comparison of ensemble-MOS methods using GFS reforecasts [J].Monthly Weather Review, 135(6): 2379-2390.

Zhu Y J, Luo Y, 2015.Precipitation calibration based on the frequency-matching method[J].Weather and Forecasting, 30(5): 1109-1124.

毕宝贵, 代刊, 王毅, 等, 2016.定量降水预报技术进展[J].应用气象学报, 27(5): 534-549.

白晓平, 靳双龙, 王式功, 等, 2018.基于Logistic回归和多指标叠加的短时强降水预报模型[J].气象科学, 38(4): 553-558.

白永清, 陈诚, 何明琼, 2016.利用Logistic回归方法的高速桥(路)面结冰风险等级预警模型[J].气象科技, 44(2): 336-340.

代刊, 朱跃建, 毕宝贵, 2018.集合模式定量降水预报的统计后处理技术研究综述[J].气象学报, 76(4): 493-510.

傅朝, 刘维成, 杨晓军, 等, 2019.强对流临近预警中集合预报成员的即时分析——以陇东一次暴雨过程ECMWF集合预报应用为例[J].高原气象, 38(2): 143-155.DOI: 10. 7522/j.issn. 1000-0534.2018.00061.

纪玲玲, 王昌雨, 张志华, 2003.Logistic回归及其在概率降水预报中的应用[J].解放军理工大学学报(自然科学版), 4(5): 91-94.

李俊, 杜钧, 陈超君, 2014.降水偏差订正的频率(或面积)匹配方法介绍和分析[J].气象, 40(5): 580-588.

马申佳, 陈超辉, 何宏让, 等, 2018.基于BGM的对流尺度集合预报试验及其检验[J].高原气象, 37(2): 495-504.DOI: 10. 7522/j.issn.1000-0534.2017.00073.

潘留杰, 张宏芳, 陈小婷, 等, 2017.ECMWF集合预报在中国中部地区的降水概率预报性能评估[J].高原气象, 36(1): 138-147.DOI: 10.7522/j.issn.1000-0534.2016.00014.

孙靖, 程光光, 张小玲, 2015.一种改进的数值预报降水偏差订正方法及应用[J].应用气象学报, 26(2): 173-184.

孙素琴, 许爱华, 郑婧, 等, 2016.江西省汛期暴雨时空分布及区域性暴雨分区[J].气象与减灾研究, 39(2): 90-97.

万夫敬, 袁慧玲, 宋金杰, 等, 2012.南京地区降水预报研究[J].南京大学学报(自然科学), 48(4): 513-525.

熊敏铨, 2017.基于集合预报系统的日最高和最低气温预报[J].气象学报, 72(2): 211-222.

徐晶, 张国平, 张芳华, 等, 2007.基于Logistic回归的区域地质灾害综合气象预报预警模型[J].气象, 22(12): 3-8.

张小玲, 陶诗言, 孙建华, 2010.基于“配料”的暴雨预报[J].大气科学, 34(4): 754-764.

张芳华, 曹勇, 徐珺, 等, 2016.Logistic判别模型在强降水预报中的应用[J].气象, 42(4): 398-405.

周雨, 刘志萍, 张国平, 2015.鹰厦铁路降水诱发地质灾害概率预报模型及应用[J].应用气象学报, 26(6): 743-749.

周丽雅, 王凯, 刘倪, 2016.基于Logistic回归蚌埠地区致灾雷电预报研究[J].气象与环境学报, 32(5): 147-153.

赵琳娜, 董航宇, 吴亮, 等, 2015.黄淮地区夏季日降水分区概率预报方法研究[J].气象, 41(12): 1503-1513.

赵翠光, 赵声蓉, 2011.华北及周边地区夏季分区客观降水预报[J].应用气象学报, 22(5): 558-566.

文章导航

/