论文

岭南地区典型次生常绿阔叶林下垫面太阳和长波辐射特征分析

  • 王欢 , 1, 2 ,
  • 韦志刚 , 1 ,
  • 朱献 3 ,
  • 王澄海 2 ,
  • 董文杰 3
展开
  • 1. 北京师范大学 地理科学学部,地表过程与资源生态国家重点实验室,北京 100875
  • 2. 兰州大学,大气科学学院,甘肃 兰州 730000
  • 3. 中山大学,大气科学学院,广东 珠海 519082
韦志刚(1966 -), 男, 甘肃人, 教授, 主要从事陆气相互作用、 气候动力学和地球系统模拟评估的研究E-mail:

王欢(1997 -), 女, 山东人, 硕士研究生, 主要从事陆气相互作用的研究. E-mail:

收稿日期: 2019-07-10

  修回日期: 2019-10-17

  网络出版日期: 2020-10-28

基金资助

国家自然科学基金项目(41875089)

南方海洋科学与工程广东省实验室(广州)人才团队引进重大专项(GML2019ZD0601)

Characteristics of Solar Spectral Radiation and Long Wave Radiation over the Evergreen Broad-leaved Forest in the South of the Five Ridges

  • Huan WANG , 1, 2 ,
  • Zhigang WEI , 1 ,
  • Xian ZHU 3 ,
  • Chenghai WANG 2 ,
  • Wenjie DONG 3
Expand
  • 1. State Key Laboratory of Earth Surface Processes and Resource Ecology,Faculty of Geographical Science,Beijing Normal University,Beijing 100875,China
  • 2. School of Atmospheric Sciences,Lanzhou University,Lanzhou 730000,Gansu,China
  • 3. School of Atmospheric Sciences,Sun Yat-Sen University,Guangzhou 510275,Guangdong,China

Received date: 2019-07-10

  Revised date: 2019-10-17

  Online published: 2020-10-28

本文亮点

基于珠海凤凰山陆气相互作用与碳通量观测塔2015年10月至2018年5月的辐射观测资料, 对珠海凤凰山常绿阔叶林区冠层表面的太阳总辐射和分光辐射、 长波辐射、 净辐射的日变化与季节变化特征进行了比较分析。研究表明: 典型晴天时太阳总辐射和分光辐射的日变化均呈常规的“正弦曲线”形式, 辐射值在12:00(北京时, 下同)左右达到最高; 多云天时太阳辐射的日变化趋势为“锯齿状”。典型晴天条件下, 白天时向上的长波辐射呈先升高后下降的趋势, 一般在14:00左右达到最大; 白天时向下的长波辐射变化不明显, 但在夜晚常常会出现较为剧烈的变化。多云天条件下大气向下的长波辐射值与下垫面发射的向上的长波辐射值非常接近, 两者的日变化幅度都很小。净辐射强度值在白天为正, 夜晚为负, 白天时日变化形式与向下的太阳总辐射类似, 夜晚则与向上的长波辐射类似。太阳辐射和长波辐射均在夏季最大, 秋季和春季次之, 冬季最小; 在整个观测时段内, 近红外辐射、 可见光辐射和紫外辐射占总辐射的平均比例分别为51.2%、 43.0%和5.8%; 可见光与紫外辐射所占比例在夏季最大, 冬季最小; 近红外辐射所占比例在夏季最小, 冬季最大。研究结果可为岭南地区陆面过程模式改进提供依据。

本文引用格式

王欢 , 韦志刚 , 朱献 , 王澄海 , 董文杰 . 岭南地区典型次生常绿阔叶林下垫面太阳和长波辐射特征分析[J]. 高原气象, 2020 , 39(5) : 1033 -1044 . DOI: 10.7522/j.issn.1000-0534.2019.00090

Highlights

By using the radiation observation data from October 2015 to May 2018 at Zhuhai Phoenix Mountain land-air interaction and carbon flux observation tower which represents the typical secondary evergreen broad-leaf forest underlying surface around cities and villages in the South of the Five Ridges of China, statistical analysis were carried out on the characteristics of total and spectral solar radiation, long-wave radiation and net radiation.The results show that the diurnal variations of total and spectral solar radiation are the regular sinusoidal curves with highest values at noon in the typical clear days while the diurnal variations are serrated in the cloudy days.In the typical clear days, the upward long-wave radiations increase first and then decrease during the daytime and generally reach the maximum after noon, the downward long-wave radiations do not change obviously during the day, but often change violently at night.In the cloudy days, the downward long-wave radiations emitted by atmosphere are very close to the upward long wave radiations emitted by the underlying surface, but the diurnal variations of both are very small.The net radiations are positive during the daytime but negative at night.Their diurnal variations are similar to the ones of the downward total solar radiations during the daytime and similar to the ones of the upward long-wave radiations at night.The solar radiations and long-wave radiations are the largest in summer, followed by autumn and spring, and the smallest in winter.The average ratios of the near infrared radiation, visible radiation and ultraviolet radiation to total radiation are 51.2%, 43.0% and 5.8% respectively during the observation period.The ratios of the visible and ultraviolet radiation to total radiation are both the largest in summer and the smallest in winter, while the ratio of near infrared radiation to total radiation is the smallest in summer and the largest in winter.These results can provide a basis for the improvement of land surface process model in the South of the Five Ridges.

1 引言

不同的下垫面条件下, 陆-气之间的物质与能量交换往往存在较大的差异, 而陆-气之间的物质与能量交换对天气和气候变化有着不同程度的影响, 所以, 观测并获取不同下垫面条件下陆面过程特征量, 改进其陆面过程模式的参数化方案, 是气候变化研究的重点之一。而地表辐射能量平衡作为陆气相互作用的重要一环, 已成为陆面过程研究的核心内容(王兴等, 2013周万福等, 2013韦志刚等, 2016谷星月等, 2018谢琰等, 2018殷代英等, 2018马英赛等, 2019)。岭南地区位于东亚季风气候区的南部, 具有热带、 亚热带季风海洋性气候特点, 地貌类型复杂多样, 植被类型众多, 相关研究表明, 岭南地区的陆气相互作用有其特殊性, 需要加强观测和研究(Bi et al, 2007Ding et al, 2013韦志刚等, 2016)。
太阳辐射与长波辐射是地表辐射平衡的两个重要部分。太阳辐射作为地气系统的能量之源, 是气候系统中各种物理过程与生命活动的基本动力, 从根本上决定着地气系统之间的能量平衡过程(陈世强等, 2006赵春霞等, 2013)。太阳辐射按波段可分为近红外辐射、 可见光辐射与紫外辐射, 统称为太阳分光辐射, 因辐射特性和生物学效应等不同分别有其不同的研究意义(邓雪娇等, 2003Cao et al, 2005), 各分光辐射能量占太阳总辐射能量的比例也是陆面过程模式中的一个重要参数。长波辐射包括地表向上发射的长波辐射与大气发射的长波辐射, 其中大气发射的长波辐射向下的部分又称大气逆辐射, 是辐射平衡的一个重要组成部分(何清等, 2009)。对下垫面太阳分光辐射与长波辐射特征的研究, 可以帮助我们更好地了解该地区的辐射平衡过程, 为改进陆面过程模式的参数化方案提供参考。
目前, 国内外学者对我国不同地区、 不同类型下垫面的辐射特征进行了很多有价值的研究(Moore et al, 1976Stanhill et al, 2010陈世强等, 2006Chen et al, 2009金莉莉等, 2014Zheng et al, 2015陈星等, 2016)。在我国黄土高原地区(李振朝等, 2009王兴等, 2012陈星等, 2016)、 敦煌地区(张强等, 2002 2007王超等, 2012)、 青藏高原地区(钱泽雨等, 2003巩远发等, 2005)、 黑河流域(季国良等, 1994陈世强等, 2008王慧等, 2009)都曾开展过陆面过程野外观测试验以进行地表面辐射平衡过程的研究。邹基玲等(1996)郑志远等(2012)杨佳希等(2017)分别对藏北高原地区, 敦煌戈壁、 稀疏植被地区的分光辐射特征进行了研究, 发现不同区域的分光辐射中近红外辐射占总辐射的比例均是最大的, 可见光次之, 紫外辐射占比最小。孙雪峰等(1995)张一平等(2005)余鸽等(2007)分别对秦岭火地塘林区、 西双版纳热带季雨林区、 暖温带落叶阔叶林区的辐射特征进行了研究。但是目前这些研究主要集中在我国西北地区与黄土高原地区, 对我国岭南地区辐射特征的研究相对较少。城市或村庄周边丘陵和坡度的再生森林在岭南地区分布很广, 是该地区比较典型的下垫面类型, 其中珠海凤凰山地区的下垫面类型即为岭南地区典型的次生常绿落叶林, 研究该林区冠层表面太阳分光辐射与长波辐射特征对发展我国岭南地区的陆面过程模式, 应对极端气候事件具有重要的意义。
因此, 在相关项目和单位的支持下, 在珠海凤凰山地区建立了陆气相互作用和碳通量的观测铁塔塔站(刘伟等, 2016韦志刚等, 2016陈辰等, 2018)。本文基于该观测塔的辐射观测资料, 对该森林冠层表面的太阳分光辐射、 长波辐射、 净辐射在不同天气条件下的日变化特征和季节变化特征进行了初步分析, 通过此次研究希望能对岭南地区常绿阔叶林冠层表面的辐射平衡过程有一个基本认识, 为该地区陆面过程模式的发展提供参考。

2 观测数据和研究方法

珠海市地处广东省南部, 珠江出海口的西南部, 年平均气温为22.3 ℃, 最低气温为2.5 ℃, 年降雨量可达1770~2300 mm, 属南亚热带季风气候。珠海市四季气候差异明显, 春季(3 -5月)时天气多变, 阴雨多云天气较多; 夏季(6 -8月)因受东南、 西南气流和热带气旋的影响, 多雷暴、 骤雨天气, 白天日照时间长; 秋季(9 -11月)多晴朗天气, 降水明显减少; 冬季(12月至次年2月)以晴天居多, 降水少, 白天日照时间短。若按照降水量进行划分, 又可将降水较多的4 -9月定义为雨季, 而降水量较少的10月至次年3月定义为旱季(韦志刚等, 2016)。
观测站点位于22.35°N, 113.53°E, 凤凰山北麓森林中冠层高度较为平缓的区域, 冠层平均高度为18 m, 海拔约为38.5 m, 下垫面类型是岭南地区典型的次生常绿阔叶林, 树木种类繁多, 以乔木和灌木为主(韦志刚等, 2016), 如图1所示。
图1 珠海凤凰山碳通量观测塔

Fig.1 Carbon flux observation tower on Phoenix Mountain at Zhuhai

观测塔架设的辐射观测系统主要观测短波辐射、 可见光辐射、 紫外辐射及其反射辐射, 向上的长波辐射和向下的长波辐射以及散射辐射、 日照时数等。由于森林较高、 地表粗糙度大, 所有辐射仪器架设在47.5 m高度处, 观测所用仪器和采集器均为目前国际上最先进的观测设备, 所用仪器的技术参数如表1所示。
表1 试验所用的观测仪器及其主要技术参数

Table 1 Observation instruments for solar radiation experiment and their technical parameters

观测参数 仪器名称 仪器型号 制造商 测量范围 灵敏度 /[µV·(W·m-2)-1] 观测精度
总辐射 短波辐射传感器 CMP21 荷兰 Kipp & Zonen 285~2800 nm 7~14 ±1.4%
可见光辐射 光量子辐射传感器 SQ-130-L-10 美国 Apogee 400~700 nm 200 ±5%
紫外辐射 紫外辐射表 CUV5 荷兰 Kipp & Zonen 280~400 nm 300~500 ±5%
长波辐射 长波辐射传感器 CGR 4 荷兰 Kipp & Zonen 4500~42000 nm 5~15 ±3%
降雨量 雨量桶 TB4MM

澳大利亚 Hydrological

Services Pty Ltd

0~700 mm·h-1 -

<250 mm·h-1: ±2%

250~300 mm·h-1: ±3%

-表示无数据

仪器每日观测时间为00:30(北京时, 下同)至次日00:00, 每30 min记录一次数据, 时间记录采用北京时计时。该站于2014年11月开始正式观测持续至今, 积累了大量的观测资料, 期间已对仪器进行了必要的维护和标定。本文所用资料为2015年10月至2018年5月的辐射观测资料和降水量观测资料, 其中由于仪器故障2016年8月与2017年7月的资料存在数据缺失。
在仪器观测与数据记录中难免产生误差, 因此需要对辐射数据进行质量控制(王超等, 20102012)。进行质量控制的步骤为: (1)夜间没有太阳辐射, 辐射值亦不应存在负值, 对夜间辐射值和负值做修正和剔除处理; (2)剔除未通过逻辑极值检查和僵值检查的数据; (3)剔除不符合数据的时空连续性和变化规律的数据。
由于观测塔中并没有可直接观测近红外辐射及其反射辐射的辐射表, 故近红外辐射通过总辐射减去紫外辐射和可见光辐射的方法近似得到。理论上, 近红外辐射的波段范围为700~2800 nm、 可见光波段为400~700 nm, 但是总辐射观测波段285~2800 nm与紫外观测观测波段280~400 nm起始观测位置并不一致(郑志远等, 2012), 用此方法计算得到的近红外辐射存在5 nm波段的误差, 但因为误差波段范围较窄, 占近红外辐射的比例很小, 所以误差影响不大, 故不做特殊处理。
历史天气状况的判定则需结合降雨量、 辐射观测资料以及历史天气预报情况。若降雨量观测资料显示全天降雨量为0 mm, 同时从日出后到日落前每30 min记录时段内日照时数均大于25 min、 且历史天气预报为晴天则判定为晴天; 若全天降雨量为0 mm, 但每个数据的记录时段内日照时数不足25 min、 历史天气预报为多云则判定为多云天; 如果降雨量观测资料显示有降水, 则判定为阴雨天。

3 结果与分析

3.1 太阳总辐射与分光辐射的变化特征

3.1.1 典型晴天时的日变化特征

通常认为一天中日出后到日落前每30 min记录时段内日照时数均接近30 min为典型晴天, 为分析不同季节典型晴天条件下的辐射日变化特征, 将各个季节典型晴天时的辐射值按时间进行了平均, 图2为不同季节典型晴天天气条件下冠层表面太阳总辐射与分光辐射平均日变化图。从图2中可以看出, 春季、 秋季、 冬季典型晴天时冠层表面太阳总辐射与分光辐射的日变化均具有“正弦曲线”的变化特征, 这与其他下垫面典型晴天条件下的辐射日变化特征一致(郑志远等, 2012杨佳希等, 2017), 是比较常规的辐射值在12:00达到最高的对称结构; 夏季由于天气多变、 雷雨多、 仪器故障等原因, 没有观测到典型晴天时的辐射特征, 故在研究时段内选取了少云的日期进行研究, 发现太阳总辐射与分光辐射的日变化有齿状存在, 这是云的干扰作用所导致的。
图2 不同季节典型晴天(夏季为少云晴天)时太阳总辐射与分光辐射的平均日变化

Fig.2 Mean diurnal variation of total solar radiation and spectral radiation in typical sunny days for different seasons (partly cloudy in summer)

3.1.2 多云天时的日变化特征

图3为不同季节多云天气下总辐射与分光辐射的平均日变化图。从图3中可见, 在多云天气下, 太阳辐射受云层遮挡, 到达冠层表面的太阳辐射值均比晴天时要小很多。同时一天中云量多少变化不定, 故总辐射与分光辐射日变化均呈“锯齿状”的变化趋势, 其变化情况基本同步。多云天气下, 冠层表面每30 min记录时段内日照时数不定, 故辐射最大值出现的时间不定, 但仍基本呈现中午高, 早晚低的总体趋势。夏季和春季时辐射值的日变化震荡更加明显, 这与春季和夏季天气状况变化剧烈而秋、 冬两季天气状况比较稳定有关。
图3 不同季节多云天太阳总辐射与分光辐射平均日变化图

Fig.3 Mean diurnal variation of total solar radiation and solar spectral radiation in cloudy sky for different seasons

表2对比了不同季节晴朗天气与多云天气下的辐射日平均值。从表2中可见, 除夏季外, 晴朗天气下冠层表面所接收到的太阳辐射均约为多云天气下的2倍左右, 可见云层遮挡对冠层表面接收太阳辐射的影响很大。而夏季由于天气多变, 降水多且持续时间长, 并没有观测到典型晴天的情况, 即使在晴朗天气下仍经常受云影响, 故晴天与多云天辐射值差别较小。从地理位置上看, 珠海市位于北回归线稍偏南的位置, 太阳直射点的季节变化使得珠海市大气层顶在春季与夏季能够接受较多的太阳辐射, 且春夏季白天日照时间也较长, 因此在晴朗天气下, 春夏两季到达冠层表面的辐射日平均值明显大于秋冬两季。但在多云天气下春季日平均辐射值却低于秋季, 这应与春季天气多变, 水汽充足, 云量较多, 云层较厚有关。
表2 不同季节下晴天与多云天日平均辐射量对比

Table 2 Comparison of average radiation values between sunny and cloudy days in different seasons

天气 晴天 多云天
总辐射 /(W·m-2) 可见光辐射 /(W·m-2) 紫外辐射 /(W·m-2) 近红外辐射 /(W·m-2) 总辐射 /(W·m-2) 可见光辐射 /(W·m-2) 紫外辐射 /(W·m-2) 近红外辐射 /(W·m-2)
春季 266.8 100.6 12.3 153.9 127.2 50.6 6.8 69.84
夏季 275.6 114.04 14.4 147.2 193.4 81.2 10.9 101.3
秋季 215.4 87.0 9.8 118.6 132.8 55.1 6.9 70.9
冬季 204.3 76.2 8.4 119.7 98.6 39.4 5.0 54.3
平均 240.5 94.4 11.2 134.8 138.0 56.6 7.4 74.11

3.1.3 太阳总辐射与分光辐射年变化

从太阳总辐射与分光辐射日平均值的逐日变化趋势(图4)来看, 整个观测期间, 日平均辐射值受天气状况影响波动较大, 其中总辐射波动最大, 紫外辐射波动最小。从观测时段内太阳总辐射与分光辐射月平均值的变化情况(图5)可以看出, 珠海市接收太阳辐射值较多的月份分别为6月、 9月和10月, 其中6月处于夏季, 此时大气层顶接收到的太阳辐射是最多的, 但阴雨天气使得到达冠层表面的太阳辐射有所减少; 而在9月和10月, 珠海地区雨季将要结束, 日照时间增多, 使得到达冠层表面的太阳辐射较多。尽管如此夏季日平均辐射值仍明显高于其他季节, 其总辐射平均值为178.5 W·m-2, 秋季、 春季次之, 分别为150.1 W·m-2与133.9 W·m-2, 冬季总辐射平均值最低, 为118.2 W·m-2杨佳希等(2017)于2015年7月3日至10月11日对我国西北部的稀疏植被地区的太阳辐射情况进行了观测, 发现在此期间该地区太阳总辐射平均值可达259.2 W·m-2, 远远大于珠海凤凰山林区夏秋季的总辐射平均值。
图4 日平均太阳总辐射与分光辐射的变化

Fig.4 Variation of total solar radiation and solar spectral radiation daily mean

图5 月平均太阳总辐射与分光辐射的变化

Fig.5 Variation of total solar radiation and solar spectral radiation monthly mean

整个观测时段内的太阳总辐射平均值为138.7 W·m-2, 对比不同波段的太阳分光辐射, 发现近红外辐射平均值最高, 为75.7 W·m-2, 可见光辐射平均值次之, 为55.7 W·m-2, 紫外辐射平均值仅为7.0 W·m-2, 与我国黑河地区、 黄土高原地区相比, 珠海凤凰山常绿阔叶林区的太阳总辐射平均值是偏小的(王慧等, 2009王兴等, 2012), 这正与施红等(2009)研究发现的华南地区是我国太阳辐射的相对低值区的结果相吻合。这与珠海地区常年受季风和台风影响, 年降水量很大有关, 虽然地处热带, 但阴雨天时到达冠层表面的太阳辐射很少, 使得平均辐射值较低。
表3为各分光辐射能量占总辐射能量的比例分布。从表3中可以看出, 近红外辐射占总辐射的比例是最大的, 可见光次之, 紫外辐射占比最小。虽然不同季节比例值相差不大, 但不同波段的辐射有不同的季节变化趋势, 与近红外辐射在夏季占比最小, 冬季占比最大相反, 可见光辐射与紫外辐射占比均是在夏季达到最大, 冬季达到最小。多云天时可见光与紫外辐射能量占总辐射能量的比例大于晴天, 而近红外辐射则相反, 这是因为云对波长较长的近红外辐射有较强的吸收作用。珠海地区夏季炎热多雨, 空气中水汽含量也较多, 水汽对波长较长的近红外辐射的吸收能力也很强, 这使得近红外辐射能量在夏季明显被削弱, 所以其占总辐射能量的比例呈夏季小、 冬季大的变化趋势。
表3 太阳分光辐射能量的比例分布

Table 3 Proportional distribution of solar spectral radiation energy

季节 可见光辐射/% 紫外辐射/% 近红外辐射/%
晴天 多云天 晴天 多云天 晴天 多云天
春季 42.7 37.4 41.8 5.9 4.5 5.8 51.4 58.1 52.4
夏季 44.2 42.3 43.2 6.2 5.3 6.1 49.6 52.4 50.7
秋季 43.0 40.0 42.9 5.6 4.4 5.6 51.4 55.6 51.4
冬季 42.2 37.5 42.0 5.5 4.1 5.6 52.3 58.4 52.4
平均 43.0 39.3 42.5 5.8 4.6 5.8 51.2 56.1 51.7

3.2 长波辐射与净辐射的变化特征

3.2.1 典型晴天时的日变化特征

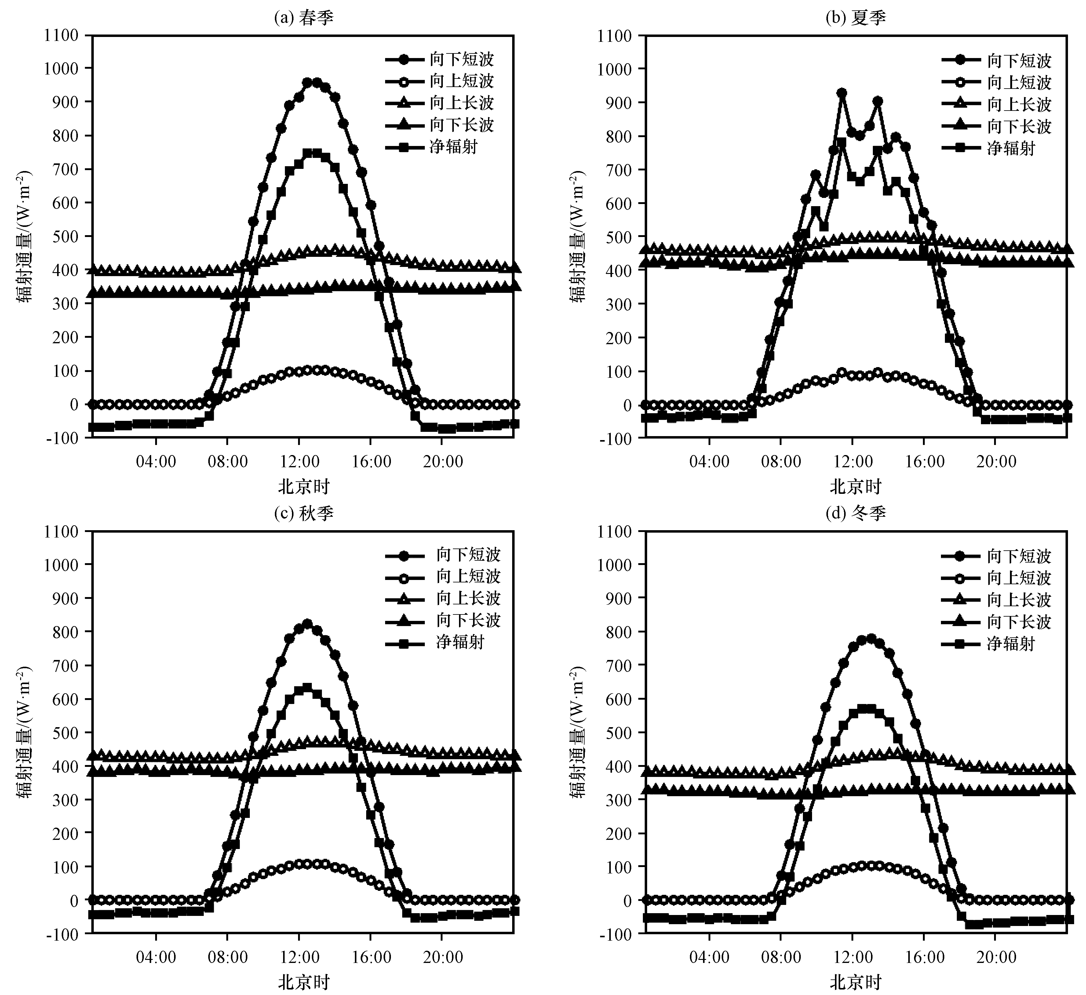
图6为不同季节典型晴天时辐射平衡各分量的平均日变化。从图6中可见, 辐射分量包括向下的太阳短波辐射、 冠层表面反射向上的短波辐射、 下垫面向上的长波辐射以及大气向下的长波辐射与净辐射。从图6中还可以看出, 典型晴天条件下, 冠层表面反射的向上短波辐射与入射短波辐射的日变化趋势一致, 夜晚辐射为零, 白天辐射值均呈 “正弦曲线”变化, 在12:00左右达到最大, 但反射辐射远小于入射辐射。
图6 不同季节典型晴天(夏季为少云晴天)时短波幅射与长波辐射、 净辐射平均日变化

Fig.6 Mean diurnal variation of short wave and long-wave radiation、 net radiation in typical sunny days (partly cloudy in summer)

与短波辐射相比, 下垫面向上的长波辐射虽然一般大于大气向下的长波辐射, 但差值较小。下垫面向上的长波辐射在夜晚趋于稳定, 白天时则呈先升高后下降的趋势, 一般在14:00左右达到最大, 这是因为日出后, 下垫面吸收热量, 温度才会逐渐升高, 而温度越高, 发射的长波辐射越强, 从下垫面吸收热量到下垫面温度升高, 有一个相对滞后的时间, 所以下垫面向上的长波辐射最大值出现的时间要落后于短波辐射最大值出现的时间。大气向下的长波辐射虽没有明显的日变化形式, 但在夏季的深夜会出现一些小的波动, 这与夏季天气多变, 时常受云的影响有关。
净辐射值在白天为正, 夜晚为负。其日变化规律在白天时与向下的太阳短波辐射比较接近, 呈“正弦曲线”形式, 最大值出现在12:00左右, 这主要是因为长波辐射与短波辐射在白天均呈先增加后减小的变化趋势, 而向下的太阳短波辐射较强。日落后短波辐射为零, 下垫面向上的长波辐射在夜间基本稳定不变, 所以净辐射的日变化形式在夜晚时与大气向下的长波辐射类似。日落之后, 短波辐射为零, 由于下垫面吸收热量的改变与温度改变的滞后效应, 此时下垫面温度相对较高, 仍发射一定的长波辐射, 所以净辐射常常在日落后达到最小。

3.2.2 多云天时的日变化特征

从不同季节多云天气下各辐射分量的平均日变化(图7)可以看出, 向下的太阳短波辐射呈锯齿状变化; 向上的短波辐射与之类似, 但变化幅度较小; 大气向下的长波辐射较晴天有所增加, 与下垫面发射的向上长波辐射非常接近, 但两者的日变化幅度都很小; 净辐射的日变化形式在白天时与向下的太阳总辐射类似, 呈锯齿状, 辐射值接近于向下的短波辐射。
图7 不同季节多云天短波幅射与长波辐射、 净辐射平均日变化

Fig.7 Meab diurnal variation of short wave and long-wave radiation、 net radiation in cloudy days

3.2.3 长波辐射与净辐射年变化

从向上长波辐射与向下长波辐射的日平均变化(图8)可以看出, 向上长波辐射的日平均值要略大于向下的长波辐射, 两者的年变化趋势基本一致, 但是向下长波辐射的变化幅度明显较大。从向上与向下长波辐射的月平均变化(图9)可以看出, 向上与向下的长波辐射的年变化虽然不大, 但也有较明显的季节变化的特征。向上与向下的长波辐射平均值在夏季达到最大, 分别为470.9 W·m-2, 441.1 W·m-2; 其次为秋季, 分别为447.5 W·m-2, 411.5 W·m-2; 春季略小于秋季, 分别为437.5 W·m-2, 409.2 W·m-2; 冬季最小, 分别为402.9 W·m-2, 361.7 W·m-2; 向上与向下长波辐射的差值在30 W·m-2 左右。
图8 日平均长波辐射变化

Fig.8 Variation of daily mean long-wave radiation

图9 月平均长波辐射变化

Fig.9 Variation of monthly mean long-wave radiation

图10图11分别为短波辐射与净辐射日平均值与月平均值的变化情况, 综合二者可以看出, 净辐射的日平均值与月平均值变化幅度很大, 与太阳短波辐射的变化类似。结合表3数据发现, 净辐射同样具有夏季平均辐射值最大, 秋冬季次之; 冬季最小的变化特征。春夏秋冬四季的平均净辐射值分别为206.1 W·m-2、 282.0 W·m-2、 244.3 W·m-2与192.3 W·m-2, 与我国敦煌地区黄土高原塬区净辐射值相比, 珠海地区的净辐射值是相对较大的(王超等, 2012王兴等, 2012)。这与珠海凤凰山地区反射的短波辐射较小以及地面有效长波辐射值(地面长波辐射与大气长波辐射之差)较小有关, 其中短波辐射的影响占主导地位。
图10 日平均净辐射变化

Fig.10 Variation of daily mean net radiation

图11 月平均净辐射变化

Fig.11 Variation of monthly mean net radiation

4 结论与讨论

珠海凤凰山陆-气相互作用与碳通量观测塔下垫面为岭南地区典型次生常绿阔叶林, 本文利用2015年10月至2018年5月的观测资料, 分析研究了森林冠层太阳分光辐射、 长波辐射与净辐射的日变化特征与季节变化特征, 主要得到以下结论:
(1) 典型晴天时总辐射与分光辐射日变化均呈常规的“正弦曲线”形式, 辐射值一般在12:00左右达到最大; 多云天时日变化曲线为“锯齿状”。夏季平均辐射值最大, 春秋季次之, 冬季平均辐射值最小。
(2) 各季节均是近红外辐射占总辐射能量的比例最大, 平均为51.2%; 可见光次之, 为43.0%; 紫外最小, 为5.8%。可见光与紫外辐射所占比例在夏季最大, 冬季最小; 近红外辐射所占比例在夏季最小, 冬季最大。
(3) 典型晴天时下垫面向上的长波辐射一般大于大气向下的长波辐射, 但差别较小。下垫面向上的长波辐射在夜晚趋于稳定, 白天时则呈先升高后下降的趋势, 一般在14:00左右达到最大; 大气向下的长波辐射日变化形式不明显, 受云的影响较大。多云天时大气向下的长波辐射较晴天有所增加, 与下垫面发射的向上长波辐射非常接近, 但两者的日变化幅度都很小。
(4) 净辐射在白天为正, 夜晚为负; 日变化规律白天时与向下的太阳短波辐射比较接近, 呈“正弦曲线”形式, 最大值出现在12:00左右; 而夜间的变化规律则接近与大气向下的长波辐射, 最小值常常出现在傍晚日落之后。
(5) 长波辐射与净辐射同样具有夏季平均辐射值最大, 春秋季次之; 冬季最小的季节变化特征。
与我国黑河地区、 黄土高原地区以及西北稀疏植被地区相比, 珠海地区虽位于北回归线以南, 大气层顶接收到短波辐射能量较北方地区多, 但由于阴雨天气比较频繁, 所以能够到达冠层表面的短波辐射能量是相对偏低的。但冠层表面的净辐射能量却是偏高的, 这与地面有效长波辐射值(地面长波辐射与大气长波辐射之差)较小有关, 由于阴雨天气较多, 使得地面温度增温不明显, 则向上的长波辐射偏低, 而云层的存在又使得大气向下的长波辐射增加, 导致地面有效长波辐射值偏小, 珠海地区地面有效长波辐射值全年基本维持在30 W·m-2 左右。
本文初步分析了珠海凤凰山地区太阳短波辐射与长波辐射的日变化与季节变化特征, 为陆面过程模式的改进提供参考, 更多的陆面特征量如下垫面反照率及其影响因子等还有待下一步研究。
Bi X Y Gao Z Q Deng X J al et2007.Seasonal and diurnal variations in moisture, heat and fluxes over grassland in the tropical monsoon region of southern China [J].Journal of Geophysical Research: Atmospheres112 (D 10 D10106.

Cao M K Prince D S Tao B al et2005.Regional pattern and interannual variations in global terrestrial carbon uptake in response to changes in climate and atmospheric CO2[J].Tellus Series B-Chemical and Physical Meteorology57(3): 210-217.

Chen S Chen J Lin G al et2009.Energy balance and partition in Inner Mongolia steppe ecosystems with different land use types[J].Agricultural and Forest Meteorology149(11): 0-1809.

Ding Z W Wen Z P Wu R G al et2013.Surface energy balance measurements of a banana plantation in South China [J].Theoretical and Applied Climatology, 114 (1/2): 349–363.

Moore C J1976.A comparative study of radiation balance above forest and grassland[J].Quarterly Journal of the Royal Meteorological Society, 102(434): 889-899.

Stanhill G Hofstede G J Kalma J D2010.Radiation balance of natural and agricultural vegetation[J].Quarterly Journal of the Royal Meteorological Society, 92(391): 128-140.

Zheng Z Dong W Li Z al et2015.Observational study of surface spectral radiation and corresponding albedo over Gobi, desert, and bare loess surfaces in northwestern China[J].Journal of Geophysical Research: Atmospheres120(3): 883-896.

陈辰, 韦志刚, 董文杰, 等, 2018.珠海凤凰山陆气相互作用观测塔通量数据的质量控制与评价[J].热带气象学报34(4): 561-569.

陈世强, 吕世华, 奥银焕, 等, 2008.夏季不同天气背景条件下黑河中游不同下垫面的辐射特征[J].中国沙漠28(3): 514-518.

陈世强, 文莉娟, 吕世华, 等, 2006.金塔绿洲不同下垫面辐射特征对比分析[J].太阳能学报27(7): 713-718.

陈星, 余晔, 陈晋北, 等, 2016.黄土高原半干旱区雨养农田地表辐射和能量通量的季节变化[J].高原气象35(2): 351-362.DOI: 10.7522/j.issn.1000-0534.2015.00004.

邓雪娇, 吴兑, 游积平, 2003.广州市地面太阳紫外线辐射观测和初步分析[J].热带气象学报, 19(增刊1): 118-125.

巩远发, 段廷扬, 陈隆勋, 等, 2005.1997/1998年青藏高原西部地区辐射平衡各分量变化特征[J].气象学报63(2): 225-235.

谷星月, 马耀明, 马伟强, 等, 2018.青藏高原地表辐射通量的气候特征分析[J].高原气象37(6): 1458-1469.DOI: 10.7522/j.issn.1000-0534.2018.00051.

何清, 缪启龙, 李帅, 等, 2009.塔克拉玛干沙漠腹地的长波辐射变化特征[J].高原气象28(3): 642-646.

季国良, 邹基玲, 1994.干旱地区绿洲和沙漠辐射收支的季节变化[J].高原气象13(3): 323-329.

金莉莉, 何清, 等, 2014.塔克拉玛干沙漠腹地辐射平衡和反照率变化特征[J].中国沙漠34(1): 215-224.

李振朝, 韦志刚, 文军, 等, 2009.黄土高原典型塬区冬小麦田地表辐射平衡各分量特征分析[J].太阳能学报30(1): 12-18.

刘伟, 魏信, 石文, 等, 2016.复杂地形条件下零平面位移和空气动力学粗糙度的计算——以珠海南亚热带常绿阔叶林地区为例[J].热带气象学报32(4): 524-532.

马英赛, 孟宪红, 韩博, 等, 2019.黄土高原土壤湿度对地表能量和大气边界层影响的观测研究[J].高原气象38(4): 705-715.DOI: 10.7522/j.issn.1000-0534.2019.00036.

钱泽雨, 胡泽勇, 杜萍, 等, 2003.藏北高原典型草甸下垫面与HEIFE沙漠区辐射平衡气候学特征对比分析[J].太阳能学报24(4): 453-460.

施红, 许建明, 李成才, 2009.华南地面太阳辐射状况及其转折特征分析[J].热带气象学报25(2): 209-215.

孙雪峰, 陈灵芝, 1995.暖温带落叶阔叶林辐射能量环境初步研究[J].生态学报15(3): 278-286.

王超, 韦志刚, 李振朝, 2010.敦煌戈壁气象塔站资料的质量控制[J].干旱气象28(2): 121-127.

王超, 韦志刚, 李振朝, 等, 2012.敦煌戈壁地区净辐射变化特征[J].干旱区研究29(2): 251-256.

王慧, 胡泽勇, 李栋梁, 等, 2009.黑河地区鼎新戈壁与绿洲和沙漠下垫面地表辐射平衡气候学特征的对比分析[J].冰川冻土31(3): 464-473.

王兴, 张强, 王胜, 2012.陇东黄土高原塬区地表辐射及土壤水热特征研究[C]// S1灾害天气研究与预报.

王兴, 张强, 王胜, 2013.中国黄土高原半湿润地区陆面温、 湿特性及辐射收支特征研究[J].高原气象32(5): 1272-1279.DOI: 10.7522/J.issn.1000-0534.2013.00058.

韦志刚, 胡嘉骢, 董文杰, 等, 2016.珠海凤凰山陆气相互作用与碳通量观测塔的基本观测及晴天主要观测量的日变化特征[J].大气科学40(2): 423-436.DOI: 10.3878/j.issn.1006-9895. 1503.15111.

谢琰, 文军, 刘蓉, 等, 2018.太阳辐射和水汽压差对黄河源区高寒湿地潜热通量的影响研究[J].高原气象37(3): 614-625.DOI: 10.7522/j.issn.1000-0534.2017.00063.

杨佳希, 李振朝, 韦志刚, 等, 2017.稀疏植被地表分光辐射及其反照率特征研究[J].太阳能学报38(3): 852-859.

殷代英, 屈建军, 余晔, 等, 2018.敦煌湖泊湿地生态系统地表辐射平衡特征[J].中国沙漠38(1): 172-181.

余鸽, 王得祥, 陈书军, 等, 2007.秦岭火地塘林区油松林辐射平衡特征研究[J].西北林学院学报22(3): 21-24.

张强, 王胜, 2007.干旱荒漠区土壤水热特征和地表辐射平衡年变化规律研究[J].自然科学进展17(2): 211-216.

张强, 周毅, 2002.敦煌绿洲夏季典型晴天地表辐射和能量平衡及小气候特征[J].植物生态学报26(6): 717-723.

张一平, 窦军霞, 于贵瑞, 等, 2005.西双版纳热带季雨林太阳辐射特征研究[J].北京林业大学学报27(5): 17-25.

赵春霞, 郑有飞, 吴荣军, 等, 2013.我国东南沿海地区城市太阳辐射变化差异及其影响因素分析[J].热带气象学报29(3): 465-473.

郑志远, 韦志刚, 李振朝, 等, 2012.敦煌戈壁秋初太阳分光辐射及其反照率特征[J].太阳能学报33(11): 1937-1943.

周万福, 周秉荣, 李晓东, 等, 2013.青藏高原东部地区辐射平衡及各分量变化特征[J].高原气象32(2): 327-333.DOI: 10. 7522/j.issn.1000-0534.2012.00032.

邹基玲, 季国良, 1996.藏北高原太阳总辐射和地表反射率的分光特征[J].太阳能学报17(2): 2-6.

文章导航

/