论文

冷涡背景下东北地区短时强降水统计特征

  • 陈相甫 ,
  • 赵宇
展开
  • 南京信息工程大学气象灾害教育部重点实验室/气象灾害预报预警与评估协同创新中心/ 气候与环境变化国际合作联合实验室,江苏 南京 210044
赵宇(1968 -), 女, 辽宁沈阳人, 副教授, 主要从事中尺度气象学研究. E-mail:

陈相甫(1995 -), 男, 四川雅安人, 硕士研究生, 主要从事中尺度气象学研究. E-mail:

收稿日期: 2020-06-16

  修回日期: 2020-11-16

  网络出版日期: 2021-06-28

基金资助

国家重点研发计划项目(2017YFC1502002)

国家自然科学基金项目(41975055)

Statistical Analysis on Hourly Heavy Rainfall in Northeast China Induced by Cold Vortices

  • Xiangfu CHEN ,
  • Yu ZHAO
Expand
  • Key Laboratory of Meteorological Disaster,Ministry of Education/Collaborative Innovation Center on Forecast and Evaluation of Meteorological Disasters/International Joint Laboratory on Climate and Environment Change,Nanjing University of Information Science & Technology,Nanjing 210044,Jiangsu,China

Received date: 2020-06-16

  Revised date: 2020-11-16

  Online published: 2021-06-28

本文亮点

利用2011 -2020年6 -8月全国2400个地面自动站观测的逐小时降水资料和常规观测, 结合美国NCEP/NCAR 1°×1°的6 h间隔再分析资料, 基于站点统计了冷涡背景下东北地区短时强降水的时空分布特征。然后着眼降水落区, 基于冷涡位置、 形状、 发展阶段以及与热带系统的相互作用等将冷涡短时强降水分为西北气流型、 纬向型、 南涡型、 副高型和经向型, 并讨论了5类短时强降水的对流参数特征。结果表明: 6月, 冷涡短时强降水多由中涡造成, 7月和8月主要由北涡引起。短时强降水主要发生在午后, 17:00(北京时)达到峰值。冷涡短时强降水高频区位于辽宁, 次高频区位于吉林中部、 黑龙江中西部和东北部。不同类型的短时强降水, 其降水落区在冷涡不同发展阶段有所差异。冷涡短时强降水发生在条件不稳定的大气中, 西北气流型、 纬向型和经向型短时强降水的850 hPa与500 hPa温差一般大于25 ℃; 副高型和南涡型短时强降水的850 hPa与500 hPa温差一般小于24 ℃, 但地面露点和可降水量明显比其他3类大。5类短时强降水的对流有效位能一般不超过1500 J·kg-1。大多数情况下, 副高型短时强降水发生在中等强度的垂直风切变环境中, 其他4类发生在弱的垂直风切变环境中。

本文引用格式

陈相甫 , 赵宇 . 冷涡背景下东北地区短时强降水统计特征[J]. 高原气象, 2021 , 40(3) : 510 -524 . DOI: 10.7522/j.issn.1000-0534.2020.00092

Highlights

By using hourly precipitation observation of automated weather stations, conventional observation and NCEP/NCAR 1°×1° reanalysis data from June to August during 2011 -2020, a statistical analysis of the spatiotemporal characteristics of hourly heavy rainfall events caused by cold vortices in Northeast China was performed.Focusing on locations of rainfall, the hourly heavy rainfall events were classified into northwest airflow type (NW), zonal type (ZT), south vortex type (SV), subtropical high type (SH) and meridional type (MT) based on the position, shape and development stage of cold vortices as well as interaction with tropical systems.In addition, the features of convection parameters of these five types were studied.Results show that induced mostly by middle vortices in June, hourly heavy rainfall events were mainly caused by north vortices in July and August.The hourly heavy rainfall often occurred in the afternoon, reaching the peak at 17:00 (Beijing Time).In the spatial distribution, the high frequency area of hourly heavy rainfall was situated in Liaoning Province, while the sub-high frequency area was located in the central Jilin Province and central-western and north-eastern Heilongjiang Province.The precipitation locations had differences not only in different types but also in phases of evolution of cold vortices.Moreover, hourly heavy rainfall events usually appeared in the conditional instability atmosphere.The temperature difference of NW, ZT and MT between 850 hPa and 500 hPa exceeded 25 ℃, while those of SH and SV were less than 24 ℃ with higher dew point and larger precipitable water.The convective available energy of all types were relatively moderate, mostly less than 1500 J·kg-1.In most situation, the hourly heavy rainfall events of SH happened under moderate vertical wind shear, while others generally appeared in the environment with weak vertical wind shear.

1 引言

冷涡是造成中国北方地区夏季低温冷害、 暴雨洪涝和突发性强对流天气的一种重要天气系统, 常引发雷暴、 冰雹、 大风、 暴雨和短时强降水等灾害性天气。我国东北地区22.4%的暴雨和53%的雹暴是在冷涡背景下产生的(Zhang et al, 2008), 京津冀地区超过40%的短时强降水以及超过50%的冰雹、 龙卷、 大风是由华北冷涡引起(郁珍艳等, 2011)。东北冷涡具有准静止性(孙力, 1997), 常常连续几天在同一地区造成强降水, 引发城市积涝、 山体滑坡、 泥石流等气象衍生灾害, 所以长期以来备受关注(张立祥和李泽椿, 2009李爽等, 2016)。相关的研究主要集中在东北冷涡的气候特征(孙力等, 1994Hu et al, 2010)、 冷涡发生发展机制(钟水新, 2011刘英等, 2012齐铎等, 2020)、 冷涡中尺度对流系统特征(张弛等, 2019张桂莲等, 2018蔡雪薇等, 2018王磊等, 2013)以及冷涡强对流触发机制(应爽等, 2014孙颖姝等, 2018杨雪艳等, 2018斯琴等, 2016徐红等, 2016)等方面。
由于冷涡短时强降水具有突发性和灾害性的特点, 冷涡短时强降水的研究和预报越来越受到重视。何晗等(2015)对冷涡背景下的短时强降水统计表明, 降水主要集中在冷涡中心东南部和西南部。杨晓宇等(2018)通过分析雷达产品特征, 提出了东北冷涡背景下的短时强降水临近预警指标。近年来, 气象工作者对东北冷涡短时强降水的形成机制进行了探讨。蔡雪薇等(2019)发现, 在地形抬升和辐合线的共同作用下, 冷涡中心西南部和地面冷高压前沿的华北东北部出现分散性短时强降水, 冷涡后部和地面冷锋前的黄淮地区则为冰雹、 雷暴大风和短时强降水天气。李爽等(2017)统计了辽宁省冷涡背景下的短时强降水, 认为切变辐合与水汽输送结合是影响短时强降水的重要因素。张云等(2008)指出弱对流不稳定和条件性对称不稳定使层状云中对流触发并发展, 从而引发暴雨; 重力波可能是短时强降水的触发机制。沈浩等(2014)认为干侵入前沿的不稳定层结是维持东北冷涡降水的重要原因, 高层干冷空气下沉使干侵入前沿暖湿气流被迫抬升, 下沉冷空气前推, 导致其前沿界面变陡, 与不稳定层结叠加, 促使云系垂直发展, 进而产生强降水。
东北冷涡背景下的短时强降水突发性强、 降水时间集中、 可预报时效短, 可连续几天间歇发生, 一直是气象预报业务中的难点, 很难准确预报短时强降水的发生时间、 强度和落区。目前, 针对东北地区冷涡强降水的研究主要集中在暴雨的诊断分析和中尺度对流系统的演变等方面, 对冷涡背景下短时强降水的降水特征和对流参数特征等方面的研究相对较少。因此, 本文基于国家自动站逐小时降水资料对东北地区冷涡短时强降水进行统计, 揭示东北地区冷涡短时强降水的时空分布特征和不同天气流型下的对流参数特征, 为冷涡短时强降水预报提供参考。

2 资料来源与方法介绍

使用资料包括2011 -2020年6 -8月全国2400个地面自动站的逐小时降水资料、 常规观测和美国NCEP/NCAR 6 h间隔1°×1°再分析资料。采用王磊等(2013)对冷涡的定义, 即500 hPa天气图上100°E -145°E、 35°N -60°N范围内至少出现一条闭合等高线, 并配合有冷中心或冷槽, 持续时间在3天或3天以上的低压环流系统。根据冷涡中心所处的地理位置, 将其分为南涡(35°N -40°N)、 中涡(40°N -50°N)和北涡(50°N -60°N)(孙力等, 1994), 若冷涡移动路径跨越了40°N或50°N, 则按冷涡中心所处的实际位置对其进行拆分。根据500 hPa上冷涡中心气压的变化趋势, 将冷涡中心最低气压持续降低时段定义为发展阶段, 持续增强时段定义为减弱阶段, 保持不变时段定义为维持阶段。
采用中国气象局对短时强降水的定义, 即小时降水量≥20 mm定义为短时强降水。在一次降水过程中, 受冷涡影响, 东北地区(图1)任意1个站点出现至少1次小时降水量≥20 mm, 则判定为1次短时强降水事件; 东北地区任意1个站点08:00(北京时, 下同)至次日08:00累积降水量≥50 mm, 记为1次暴雨事件。在1次短时强降水事件中, 小时降水量>0.1 mm时判定为降水开始, 只有当某一降水时次后连续2 h没有降水时判定为降水过程结束, 从一次降水过程开始到降水结束的小时数就是降水的持续时间(李建等, 2008宇如聪等, 2014)。
图1 东北地区地形高度(彩色区, 单位: m)和286个自动站点分布(黑点)

Fig.1 Topography height of Northeast China (color area, unit: m) and the distribution of 286 automated weather stations (black spots)

采用拉格朗日观点下动态合成法(李爽等, 2017)来研究冷涡短时强降水的落区及物理量场特征, 公式如下:
S ¯ ( x , y ) = 1 N t = 1 N S t ( x , y )
式中: S t ( x , y ) t时刻的物理量场; S ¯ ( x , y )为合成后的样本平均; ( x , y )为所选区域坐标, 可随冷涡中心位置移动; N为样本总数。该方法以冷涡中心为合成中心, 向东西南北4个方向取20个经纬度, 在边长为41个经纬度的区域内进行动态合成。文中所涉及地图基于国家测绘地理信息局标准地图服务网站下载的审图号为GS(2016)1593的标准地图制作, 底图无修改。

3 冷涡短时强降水时间分布特征

2011 -2020年6 -8月共有65个冷涡影响东北, 短时强降水日有245天, 约占整个夏季的26.6%。表1为主要的冷涡短时强降水过程, 造成1386次(937次)短时强降水(暴雨)事件, 占东北地区所有短时强降水(暴雨)事件的43.8%(40.1%)。冷涡短时强降水最大小时降水率为107.1 mm·h-1, 发生在2017年7月13 -14日的暴雨过程中。冷涡暴雨过程降水率大多不足80 mm·h-1, 远小于华北地区冷涡暴雨的降水率(谌芸等, 2012)。
表1 2011 -20206 -8月冷涡背景下东北地区主要短时强降水过程

Table 1 Cases of hourly heavy rainfall in Northeast China induced by cold vortices from June to August during 2011 -2020

冷涡序号 短时强降水时段 最大1 h降水量/mm 冷涡序号 短时强降水时段 最大1 h降水量/mm
1 2011年6月7 -9日 34.9 34 2016年6月15 -18日 88.3
2 2011年7月1 -3日 43.4 35 2016年6月23日 26.1
3 2011年7月7 -8日 48.2 36 2016年6月29 -30日 65.1
4 2011年7月12 -14日 48.9 37 2016年7月20 -21日 33.3
5 2011年7月18 -21日 52.6 38 2016年7月27 -29日 48.7
6 2011年8月1 -3日 74.8 39 2016年8月12 -13日 50.2
40 2016年8月16、 18日 36.0
7 2012年6月8 -12日 69.2
41 2017年6月1日 26.0
8 2012年7月1 -2日 37.2
9 2012年7月9 -10日 40.4 42 2017年6月19 -21日 58.5
10 2012年7月20 -26日 63.2 43 2017年6月24 -25日 48.6
11 2012年8月8日 33.7 44 2017年7月13 -14日 107.1
12 2013年6月17 -19日 40.6 45 2017年8月5 -9日 56.3
13 2013年7月1 -2日 42.8 46 2017年8月11 -16日 69.1
14 2013年7月15 -19日 47.7 47 2018年6月12 -14日 42.2
15 2013年7月23日 46.4 48 2018年6月19 -20日 37.7
16 2013年8月12 -14日 59.6 49 2018年6月29日 54.6
17 2013年8月28日 58.6 50 2018年7月13 -14日 32.9
18 2014年6月7 -10日 41.6 51 2018年8月19 -21日 66.1
19 2014年6月6日 21.2 52 2019年6月7 -9日 33.2
20 2014年6月17 -18日 47.1 53 2019年6月26、 29日 69.8
21 2014年6月21 -23日 50.6 54 2019年7月7 -8日 28.8
22 2014年7月3 -4日 32.9 55 2019年7月9 -13日 84.1
23 2014年7月7 -8日 43.0 56 2019年7月23 -26日 50.9
24 2014年7月19 -21日 88.4 57 2019年7月27 -30日 69.1
25 2014年8月14 -18日 42.3 58 2019年8月22、 25日 52.1
26 2015年6月6 -9日 31.1 59 2019年8月26 -30日 53.6
27 2015年6月12日 39.2 60 2020年6月3日 25.8
28 2015年6月17 -19日 58.5 61 2020年6月20日 34.6
29 2015年7月26 -30日 62.9 62 2020年7月15 -16日 33.1
30 2015年8月2 -3日 41.8 63 2020年7月17、 19日 31.2
31 2015年8月6 -9日 61.1 64 2020年8月2 -4日 86.7
32 2015年8月19 -22日 47.7 65 2020年8月18 -19日 43.9
33 2016年6月10 -11日 39.4

3.1 月变化

尽管东北地区冷涡短时强降水事件主要集中在6 -8月, 但有明显的月际变化。分析短时强降水事件频次[图2(a)]月分布可知, 7月发生频次较高, 频次多在80~110次, 但2015, 2017, 2018和2020年不超过50次。2015, 2017和2020年8月短时强降水频次显著增加, 分别达82, 108和57次, 其他年份8月的短时强降水较少, 大多不超过30次。2018年和2020年短时强降水较少。总的来说, 7月短时强降水事件发生最多, 占50.5%; 其次是8月, 占25.3%; 6月比8月略少, 占24.2%。
图2 2011 -2020年6 -8月冷涡背景下短时强降水事件(a)与暴雨事件(b)发生频次的逐年变化

Fig.2 The annual variation of hourly heavy rainfall events (a) and rainstorm events (b) caused by cold vortices from June to August during 2011 -2020

与短时强降水类似, 冷涡暴雨事件也主要发生在7月, 6月和8月相对较少, 但这2个月的短时强降水事件却比暴雨事件多。2013年和2016年暴雨事件明显偏多[图2(b)], 主要发生在7月, 而且暴雨事件发生频次远比短时强降水高, 表明这两年7月的暴雨事件不是冷涡对流性降水, 而是冷涡西风槽系统性降水。
从冷涡的类型看[图3(a)], 6月中涡造成的短时强降水事件约为北涡的2倍, 而7、 8月, 北涡造成的短时强降水事件迅速增加, 约为中涡的2倍。南涡只有3个, 因其位置偏南, 对东北地区的影响较小, 仅在7月份造成了57次短时强降水事件。冷涡处于不同的发展阶段, 短时强降水的频次也有很大差异, 冷涡在发展、 维持和减弱阶段的短时强降水发生频次呈下降趋势[图3(b)]。短时强降水主要产生在冷涡发展(占40.2%)和维持(占32.5%)阶段, 二者总共占冷涡短时强降水的72.7%, 与白人海和孙永罡(1997)指出的中尺度天气主要发生在冷涡发展和维持阶段是一致的。冷涡减弱阶段造成的短时强降水最少, 占27.3%, 与刘英等(2012)的研究一致, 他们认为冷涡减弱阶段降水明显偏少是低层冷涡中心上升气流减弱所致。冷涡发展阶段, 北涡短时强降水明显多于中涡, 而在维持和减弱阶段, 北涡和中涡造成的短时强降水相差不大。
图3 2011 -2020年6 -8月不同冷涡类型造成的短时强降水频次月分布(a)和冷涡各演变阶段短时强降水频次分布(b)

Fig.3 The monthly distribution of hourly heavy rainfall induced by different types of cold vortices (a) and hourly heavy rainfall distribution at each evolution stage of cold vortices (b) from June to August during 2011 -2020

3.2 日变化

图4为冷涡短时强降水事件频次和平均降水的日变化, 可见二者的变化趋势基本一致, 都是从11:00开始逐渐增多, 17:00达到峰值, 随后迅速下降。00:00 -10:00为低发时段, 12:00 -19:00为高发时段, 这与太阳的辐射加热密切相关, 午后地表不断吸收太阳的短波辐射, 使地面气温明显上升, 加剧了大气的不稳定层结, 对流不稳定能量释放, 从而产生较强的短时强降水。
图4 2011 -2020年6 -8月冷涡背景下短时强降水频次和平均降水的日变化

Fig.4 The diurnal variation of frequency and mean precipitation of hourly heavy rainfall under the background of cold vortices from June to August during 2011 -2020

3.3 降水持续时间

冷涡短时强降水的持续时间一般较短(图5), 持续时间在4~6 h的短时强降水事件最多, 占33.4%, 其次是持续1~3 h的事件, 占30.3%, 二者占发生总数的63.7%。持续时间超过9 h的长时间降水事件占19.8%, 显然该类降水为有西风槽配合的冷涡系统性降水。7月, 持续1~3 h和 4~6 h的冷涡短时强降水频次相差不大, 超过9 h的长时间降水事件比二者略少, 但占了所有长时间降水事件的61.8%。9 h以上的长时间降水事件在7月份的频次远高于其他月份, 说明7月冷涡系统性降水显著增加, 与上述月分布的结论一致。
图5 2011 -2020年6 -8月冷涡背景下短时强降水持续时间月分布

Fig.5 The monthly distribution of hourly heavy rainfall duration under the background of cold vortices from June to August during 2011 -2020

综上所述, 短时强降水与暴雨大多发生在7月, 暴雨发生频次的月变化幅度比短时强降水大。6月, 短时强降水主要由中涡造成, 7月和8月主要由北涡造成。冷涡发展阶段短时强降水发生频次最高, 其次是维持阶段, 衰减阶段最少。冷涡短时强降水有明显的日变化, 11:00开始逐渐增多, 17:00达到峰值后迅速下降。冷涡短时强降水持续时间以1~6 h为主, 7月持续9 h以上的降水事件明显增加。

4 冷涡短时强降水的空间分布特征

分析东北地区短时强降水的空间分布, 可以发现短时强降水频次[图6(a)]和降水量[图6(c)]有很大变率。辽宁为短时强降水的高频区, 其北部和东南沿海各有一个降水中心, 10年发生15次短时强降水事件, 东南沿海降水中心的降水强度略强于北部。短时强降水的次高频区位于吉林中部、 黑龙江中西部和东北部, 这些地区受大兴安岭和小兴安岭地形的影响, 地形对降水可能有一定的增幅作用。其他地区冷涡短时强降水发生频次很少, 10年不足5次, 2年平均不到1次。与短时强降水频次分布相似, 降水量在辽宁、 吉林中部、 黑龙江中西部和东北部出现极值中心, 高频区(辽宁)最大降水量超过900 mm, 次高频区(吉林中部、 黑龙江中西部和东北部)超过450 mm。
图6 2011 -2020年6 -8月冷涡背景下短时强降水(左)与暴雨(右)发生频次(a, b, 单位: 次)和对应降水量(c, d, 单位: mm)的空间分布

Fig.6 The total frequency (a, b, unit: times) and corresponding precipitation (c, d, unit: mm) of hourly heavy rainfall (left) and rainstorm (right) caused by cold vortices from June to August during 2011 -2020

暴雨事件发生频次[图6(b)]和降水量[图6(d)]的空间分布与短时强降水类似, 略有不同。与短时强降水的分布类似, 辽宁北部和东南沿海各有一个暴雨高频区, 东南沿海降水中心较强。吉林东南长白山地区有一个暴雨相对高频区, 但对应的短时强降水事件却很少, 表明该地的暴雨事件主要是长时间弱降水造成的。对比来看, 短时强降水高频区(辽宁)与暴雨事件对应较好, 两者的发生频次和降水量差别不大, 而短时强降水次高频区(吉林中部、 黑龙江中西部和东北部)暴雨事件发生相对较少, 这说明该地区的短时强降水强度不强, 很多未达到暴雨强度。

5 冷涡短时强降水天气分型

5.1 环流特征及降水落区

冷涡降水一直是天气预报中的难点, 通常认为降水发生在冷涡的东南象限, 但由于受到冷涡的形状、 范围、 移动速度、 所处的发展阶段以及是否与其他天气系统有相互作用等因素的影响, 冷涡降水落区有很大的差别, 较难把握。过去对冷涡进行了很多天气学分型研究, 如根据冷涡的形状(张立祥, 2008)、 冷涡的持续时间和移动速率(钟水新, 2011)、 冷涡上游的高压脊(Xie and Bueh, 2015)等进行分类。李爽等(2017)给出了东北冷涡短时强降水的空间分布特征, 但局限于对辽宁的影响。由于东北冷涡降水受多种因素的影响, 导致冷涡短时强降水的空间分布差别较大。本文在上述研究的基础上着眼于冷涡短时强降水落区, 通过对所有统计个例的强降水落区的分析、 归纳和总结, 从天气学分析角度对冷涡短时强降水进行了分类。将08:00至次日08:00东北地区至少发生5次短时强降水事件定义为冷涡短时强降水日, 10年共筛选出冷涡短时强降水日107个, 然后根据冷涡的位置、 形状、 所处发展阶段以及是否有热带系统配合等将冷涡短时强降水日进行环流分型, 主要分为5类: 西北气流型(10例, 占9.3%)、 纬向型(18例, 占16.8%)、 南涡型(7例, 占6.5%)、 副高型(22例, 占20.6%)、 经向型(50例, 占46.7%)。采用如下标准: 若冷涡中心位于40°N以南则定义为南涡型, 10年只有7例, 造成较强的降水; 当冷涡与副热带高压相互作用时定义为副高型; 西北气流型是发生在槽后西北气流中的对流天气; 冷涡在初生阶段环流呈纬向型, 冷涡东西轴向远大于南北轴向, 定义为纬向型; 后期冷空气下来, 冷涡东西轴向和南北轴向相当时定义为经向型。各类型的主要特征如下:
(1) 西北气流型, 冷涡中心在130°E以东, 涡后有横槽, 如 2014年7月11日的冷涡降水过程[图7(a)], 短时强降水发生在槽后西北气流中, 影响时间较短, 横槽摆下后降水结束。零散的短时强降水发生在冷涡西南象限距冷涡中心800~2000 km范围内[图8(a)]。
图7 西北气流型(a)、 纬向型(b)、 副高型(c)以及经向型(d)代表个例的500 hPa位势高度(黑色实线, 单位: dagpm)和温度(红色虚线, 单位: ℃)

黑色圆点表示24 h内短时强降水站点

Fig.7 Geopotential height (blank solid line, unit: dagpm) and temperature (red dotted line, unit: ℃) of representative cases of northwest airflow type (a), zonal type (b), subtropical high type (c) and meridional type (d) at 500 hPa.Black dots represent hourly heavy precipitation within 24 hours

图8 500 hPa合成位势高度(等值线, 单位: dagpm)和冷涡短时强降水(黑点)分布

方框和椭圆表示降水集中区

Fig.8 Composite geopotential height at 500 hPa (contour, unit: dagpm) and distribution of hourly heavy rainfall (black dots) caused by cold vortices.Boxes and ellipses show the precipitation concentration areas

(2) 纬向型, 500 hPa环流为纬向型, 冷涡东西轴向远大于南北向, 多在冷涡发展初期出现, 后期转为经向型。如2017年7月13日冷涡降水过程[图7(b)], 降水发生在冷涡南部纬向锋区中。该类短时强降水多集中在冷涡南部纬向锋区附近距冷涡中心400~1200 km处[图8(b)]。
(3) 南涡型, 冷涡中心位于40°N以南, 如2011年7月20日冷涡降水过程(图略)。该型冷涡主要造成华北地区的强降水, 对东北地区影响很小。该类短时强降水发生在冷涡东北象限距冷涡中心600~1400 km处[图8(c)]。
(4) 副高型, 副热带高压主体偏北, 北缘可至35°N以北, 冷涡强大、 深厚, 如2016年7月25日冷涡降水过程[图7(c)], 此时冷涡处于维持阶段, 短时强降水发生在副高以北580 dagpm与588 dagpm等高线之间。该型冷涡在不同发展阶段[图8(d), (e), (f)], 降水落区差异较大。发展阶段, 短时强降水主要位于冷涡闭合环流之外的西风槽前, 发生在冷涡东南侧距冷涡中心1000~2000 km范围内[图8(d)]。维持阶段, 短时强降水向西移动靠近冷涡, 分布在冷涡正南部500~1500 km处[图8(e)]。减弱阶段降水变得分散, 分布在冷涡环流外围400~1600 km处[图8(f)]。
(5) 经向型, 是造成东北地区短时强降水的主要类型, 除以上四类外, 其他的冷涡降水大多归为该类, 主要特点是冷涡以经向环流为主, 其西部有弱脊, 冷涡东西轴与南北轴相差不大, 如2012年7月1日冷涡降水过程[图7(d)], 冷涡处于维持阶段, 短时强降水发生在冷涡东南象限靠近冷涡中心。该型冷涡在不同发展阶段[图8(g), (h), (i)], 降水落区有所不同。发展阶段, 如冷涡的直径小于10个经距, 其西部高压脊相对较弱, 短时强降水距冷涡中心很近, 主要发生在冷涡中心到东部500 km、 东南部700 km范围内(图略); 如冷涡直径大于10个经距, 其西部高压脊相对较强, 短时强降水主要出现在冷涡外围东南象限距冷涡中心600~1200 km范围内[图8(g)]。维持阶段, 无论冷涡大小, 短时强降水都向冷涡中心集中, 降水发生在冷涡中心到东南象限的800 km内[图8(h)]; 衰减阶段, 降水变得分散, 绕涡分布, 冷涡中心周围600 km范围内的4个象限都有零星的降水[图8(i)]。

5.2 冷涡短时强降水成因分析

从上述分型看到, 虽然不同类型的冷涡短时强降水, 其降水落区有所差异, 但都主要集中在冷涡中心及其南部、 东南部; 副高型与经向型在冷涡不同发展阶段短时强降水落区有明显差别。下面对冷涡短时强降水成因进行合成分析, 根据图8圈出的方框和椭圆区域选取降水集中的个例进行合成。由于西北气流型个例少, 且降水分布不集中, 没有对该型进行合成; 另外副高型和经向型的减弱阶段降水比较分散, 不对减弱阶段进行合成。
降水的发生需要充足的水汽供应。分析925 hPa水汽通量、 水汽通量散度、 温度与位势高度合成场(图9)可知, 降水期间, 不同类型的短时强降水, 水汽输送特征有较大差异。南涡型[图9(a)]以及副高型发展[图9(b)]、 维持阶段[图9(c)], 水汽输送非常明显, 都有一条东北-西南向的水汽输送通道, 最大水汽通量分别为20.6, 17.1和13.7 g·cm-1·hPa-1·s-1, 配合暖舌北伸, 降水区位于水汽输送通道上, 副高型位于副高边缘西北与西南气流的辐合区附近, 南涡型位于东南和西南气流的辐合区附近。而纬向型[图9(d)]、 经向型发展[图9(e)]和维持[图9(f)]阶段因没有南支系统配合, 水汽输送较弱, 水汽通量较小。纬向型降水带位于西北与西南气流的辐合区附近; 经向型降水带位于低涡中心附近的水汽辐合区中, 水汽辐合与低涡气旋性旋转导致的辐合密切相关。可见南涡型和副高型水汽供应充足, 而纬向型和经向型水汽输送相对较弱。由于经向型的水汽辐合区偏向低涡中心附近, 所以降水带离低涡中心较近。
图9 925 hPa合成的位势高度(黑色等值线, 单位: dagpm)、 温度(红色等值线, 单位: ℃)、 水汽通量(矢量, 单位: g·cm-1·hPa-1·s-1)和水汽通量散度(彩色区, 单位: ×10-7 g·cm-2·hPa-1·s-1

方框和椭圆表示降水集中区

Fig.9 Composite geopotential height (blank contour, unit: dagpm), temperature (red contour, unit: ℃), moisture flux (vector wind, unit: g·cm-1·hPa-1·s-1) and moisture flux divergence (color area, unit: ×10-7 g·cm-2·hPa-1·s-1) at 925 hPa.The boxes and ellipses represent precipitation concentration areas

假相当位温θ se是综合大气温度、 湿度特征的物理量, 可以表征锋区强弱和大气层结稳定度。由图10可知, 不同类型的短时强降水, θ se高能轴都向东北方向倾斜, 大气可降水量(PW)大值区随着θ se高能舌逐渐向北延伸, 说明水汽输送方向与θ se高能轴方向一致。南涡型[图10(a)]降水区位于θ se高能舌头部, 其南侧的西南暖湿气流较强。副高型发展[图10(b)]和维持[图10(c)]阶段, 降水区皆位于东北 -西南向的θ se高能轴附近, 说明其西侧的干冷空气较强, 与西南暖湿气流相遇产生短时强降水。纬向型[图10(d)] θ se高能轴北侧存在一条东西向的θ se密集带, 纬向锋区较强, 短时强降水发生在锋区中。经向型发展阶段[图10(e)], 降水区位于θ se高能轴北侧的东北-西南向θ se密集带上, 并有暖式切变线与之配合; 而在经向型维持阶段[图10(f)], 降水区靠近冷涡中心, θ se等值线稀疏, 已没有明显的锋区, 降水区位于暖式切变线附近, 气流辐合产生短时强降水。
图10 850 hPa合成的风场(矢量, 单位: m·s-1)、 大气可降水量(彩色区, 单位: mm)和假相当位温(红色等值线, 单位: K)

方框和椭圆表示降水集中区

Fig.10 Composite wind (vector, unit: m·s-1), PW(color area, unit: mm) and θ se (red contour, unit: K) at 850 hPa.The boxes and ellipses represent precipitation concentration areas

从高层200 hPa风速和散度合成分布(图11)看到, 不同类型、 不同发展阶段的冷涡都有高空急流存在, 强度在30~40 m·s-1之间。南涡型[图11(a)]和副高型[图11(b), (c)]降水区位于高空急流入口区偏右侧, 纬向型[图11(d)]和经向型[图11(e), (f)]降水区位于高空急流出口区偏左侧, 这两个位置都有利于高空辐散的发展, 根据大气质量守恒定律, 高层辐散必然引起大气低层的质量调整, 低层出现辐合上升运动, 进而促进了短时强降水的发生和冷涡的发展。纬向型和经向型的辐散弱于南涡型和副高型, 因此相应的降水也较弱。
图11 200 hPa合成的风速(等值线, 单位: m·s-1)和散度(彩色区, 单位: ×10-6 s-1)分布

方框和椭圆表示降水集中区

Fig.11 Composite wind speed (contour, unit: m·s-1) and divergence (color area, unit: ×10-6 s-1) at 200 hPa.The boxes and ellipses represent precipitation concentration areas

从垂直结构来看, 短时强降水发生在强上升运动区, 高层对应200 hPa高空急流辐散区, 低层对应水汽辐合区, 水汽向上输送基本与对流不稳定区配合, 降水区附近均有次级环流出现, 有利于加强上升运动(图12)。南涡型[图12(a)]与副高型[图12(b), (c)]降水区θ se垂直分布较为相似, 对流层高层θ se下凹至500 hPa, 低层θ se上凸至700 hPa, θ se随高度减小, 大气为对流不稳定层结。与发展阶段[图12(b)]相比, 副高型维持阶段[图12(c)]θ se等值线更密集, 对流不稳定更强。纬向型[图12(d)]与经向型[图12(e), (f)]降水区θ se垂直分布也较为相似, 对流层下层∂θ se /∂z<0, 大气为弱对流性不稳定, 700~500 hPa, ∂θ se /∂z≈0, 大气接近对流中性。虽然纬向型和经向型的对流不稳定层结较南涡型和副高型弱, 但强烈的上升运动为短时强降水的产生创造了有利条件。另外, 副高型短时强降水区以北5~15个纬度范围内, 低层也出现水汽通量散度负值中心, 并伴随强烈的上升运动, 可能产生了降水, 但并没有达到短时强降水的强度。
图12 沿降水区相对经度7.0°E(a)、 11.5°E (b)、 0.5°E (c)、 5.0°E (d)、 9.5°E (e)、 2.0°E (f)的水汽通量散度(彩色区, 单位: ×10-7 g·cm-2·hPa-1·s-1)、 假相当位温(等值线, 单位: K)以及风矢量的经向垂直剖面

红色短线表示降水区, 风矢量为v(单位: m·s-1)和w(单位: ×10-2 Pa·s-1)的合成

Fig.12 Latitude-height cross sections of moisture flux divergence (color area, unit: ×10-7 g·cm-2·hPa-1·s-1), θ se (contour, unit: K) and the wind vector along the relative longitudes in main precipitation areas, which are 7.0°E (a), 11.5°E (b), 0.5°E (c), 5.0°E (d), 9.5°E (e) and 2.0°E (f).The red line represents precipitation area, the wind vector is composed of v (unit: m·s-1) and w (unit: ×10-2 Pa·s-1)

6 冷涡短时强降水对流参数特征

强对流天气发生需要适宜的环境条件: 大气层结不稳定、 适宜的水汽条件和一定的抬升力, 这些条件可以由不同的物理参数来表现。本文选取850 hPa与500 hPa温差(ΔT 85)、 地面露点(Td)、 大气可降水量(PW)、 对流有效位能(CAPE)和0~6 km风矢量差5种关键环境参数来表征。为了保证有较好的代表性, 关键环境参数选取时采用短时强降水发生前最近时次和最近距离的探空数据; 若08:00 -11:00发生短时强降水, 使用08:00探空; 若11:00 -20:00发生短时强降水, 计算CAPE时用14:00地面气温和露点做订正; 若20:00至次日08:00发生短时强降水, 使用20:00探空(陈元绍等, 2016)。
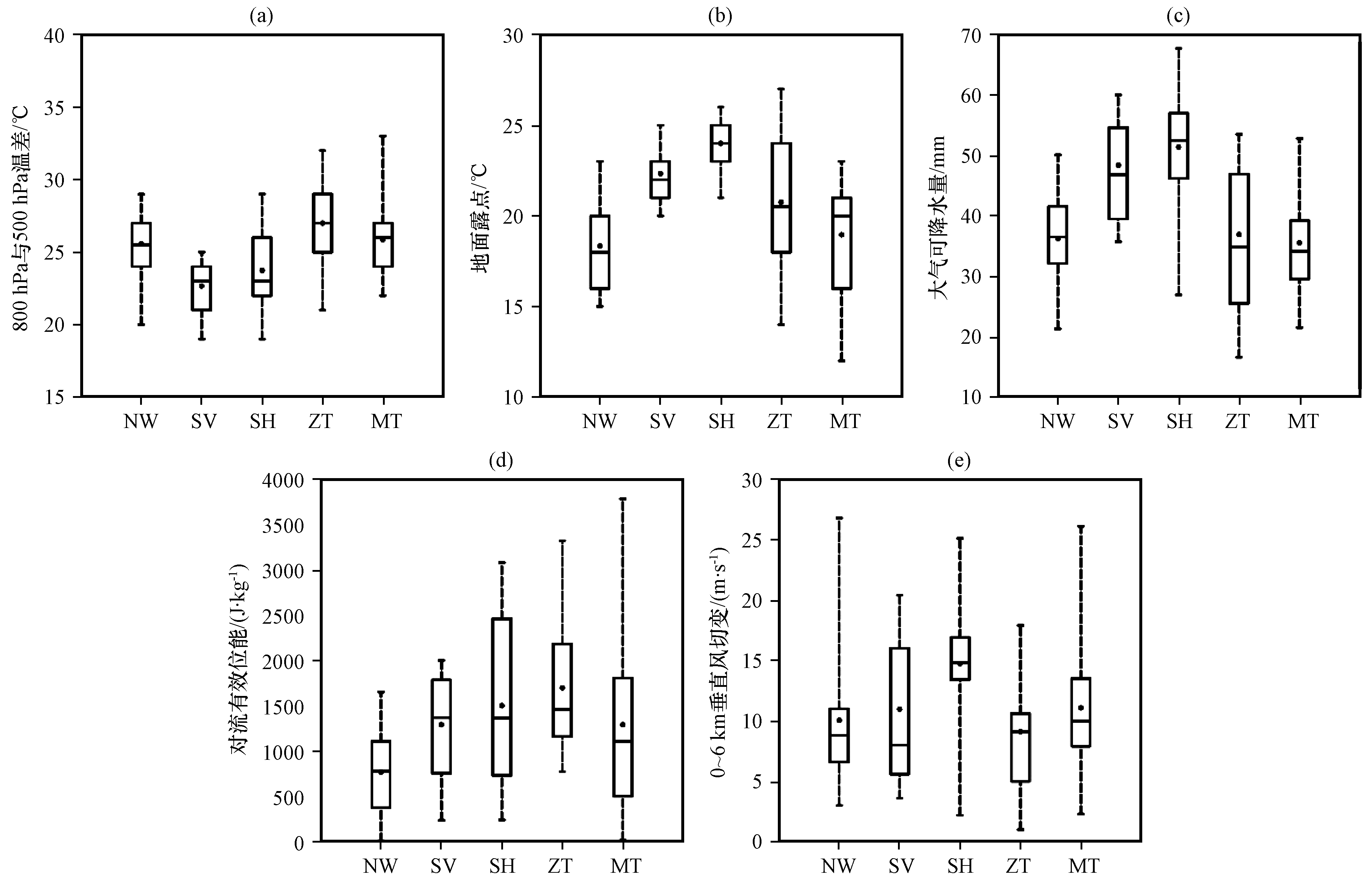
大气层结静力稳定度常用ΔT 85来表示, 暖季湿中性层结ΔT 85为20~21 ℃, 干绝热层结ΔT 85大约为40 ℃, 强对流天气ΔT 85的值应在21~40 ℃之间(高晓梅等, 2018)。图13为东北地区短时强降水对流参数ΔT 85TdPWCAPE和0~6 km垂直风切变的箱型图, 箱型图底部和顶部短线表示最小值和最大值, 矩形框表示四分位范围, 框中水平线和圆点表示中位值和平均值。由ΔT 85箱形图分布[图13(a)]可知, 5类冷涡短时强降水的ΔT 85平均值和中位值都超过了湿中性层结的20~21 ℃, 说明东北地区冷涡短时强降水发生时大气层结具有一定的条件不稳定。其中南涡型和副高型ΔT 85中位值和平均值都低于24 ℃, 这与低层有较强的暖湿气流输送有关; 纬向型、 经向型和西北气流型ΔT85中位值和平均值都高于25 ℃, 说明高空干冷空气较强。
图13 东北地区冷涡短时强降水对流参数ΔT 85 (a)、 Td (b)、 PW (c)、 CAPE (d)和0~6 km垂直风切变(e)的箱型图

NW为西北气流型, SV为南涡型, SH为副高型, ZT为纬向型, MT为经向型

Fig.13 Box-plots of convection parameters of hourly severe rainfall caused by cold vortices in Northeast China, which is include ΔT 85 (a)、 Td (b)、 PW (c)、 CAPE (d) and 0~6 km vertical wind shear (e).NW, SV, SH, ZT, MT represent northwest airflow type, south vortex type, subtropical high type, zonal type and meridional type

大气中的水汽主要集中在低层, 可以用TdPW来表征大气的水汽条件。从Td 图13(b)]和PW 图13(c)]的箱型图可以看到, 5类冷涡短时强降水的TdPW分布较为一致。纬向型的箱体最宽, PWTd)值较为分散。副高型水汽条件最充足, PWTd)的中位值和平均值在所有类型中最大, 分别为52.5 mm(24 ℃)和51.2 mm(24 ℃); 其次是南涡型, PWTd)平均值与中位值比副高型略小, 但明显比其他3类大。这与南涡型[图9(a)]和副高型[图9(b), (c)]低层925 hPa存在一条水汽输送通道有关, 不仅向降水区源源不断的输送水汽, 而且有利于维持一定的CAPE值。
CAPE在业务中常用于判断深厚湿对流发生的潜势, 不同类型的短时强降水, CAPE值分布有所差异[图13(d)]。副高型CAPE值分布比较分散, 上四分位与下四分位之差超过1800 J·kg-1, 但最大CAPE值(3785 J·kg-1)为经向型, 西北气流型的CAPE值多在1000 J·kg-1以下。值得注意的是5类短时强降水CAPE中位值均未超过1500 J·kg-1, 除了纬向型, 其他四类CAPE平均值也未超过1500 J·kg-1, 说明大部分短时强降水过程CAPE值比较温和。孙继松等(2014)认为, 与极端CAPE相比, 适宜的CAPE更有利于产生高效率的降水, 极端CAPE往往使气团加速穿过暖云, 从而缩短了降水的形成时间。
深层垂直风切变可以用0~6 km风矢量差来表示, 通常将其分为强、 中、 弱三档(Johns and Doswell, 1992俞小鼎等, 2012)。0~6 km风矢量差小于12 m·s-1时为弱垂直风切变, 12~20 m·s-1为中等强度垂直风切变, 大于或等于20 m·s-1时为强垂直风切变。由图13(e)可知, 5类短时强降水0~6 km垂直风切变的中位值分别为8.8 m·s-1(西北气流型)、 8 m·s-1(南涡型)、 14.6 m·s-1(副高型)、 9 m·s-1(纬向型)和9.7 m·s-1(经向型)。所有类型中只有副高型中位值超过12 m·s-1, 属于中等强度垂直风切变, 其他类型中位值皆小于12 m·s-1, 属于弱垂直风切变。也就是说, 副高型大部分短时强降水发生在中等强度垂直风切变环境中, 而其他类型大部分短时强降水发生在弱垂直风切变环境中。

7 结论

基于逐时地面自动观测降水资料, 对2011 -2020年6 -8月冷涡背景下东北地区短时强降水进行了统计研究, 得到以下结论:
(1) 2011 -2020年6 -8月, 东北地区共发生了短时强降水(暴雨)事件3168(2337)次, 冷涡背景下1386(937)次, 占所有事件的43.8%(40.1%)。6月份, 冷涡短时强降水主要受中涡控制, 7月和8月主要受北涡控制。日变化表现为下午多发, 从11:00开始逐渐增多, 17:00达到峰值, 随后急剧下降。冷涡短时强降水持续时间一般比较短, 多发生在1~6 h。冷涡短时强降水高频区位于辽宁, 北部和东南沿海各有一个降水中心, 北部降水中心的降水强度略弱于东南沿海; 次高频区位于吉林中部、 黑龙江中西部和东北部。
(2) 东北地区冷涡短时强降水主要分为5类: 西北气流型、 纬向型、 南涡型、 副高型和经向型。虽然不同类型短时强降水, 其降水落区有所差异, 但主要发生在冷涡中心及其南部、 东南部。南涡型和副高型低层都有一支东北-西南向的水汽输送带, 大气为对流不稳定层结, 降水区位于高空急流入口区右侧, 高层辐散加强低层辐合上升运动, 促进不稳定能量释放。纬向型和经向型水汽输送较差, 对流不稳定较弱, 降水区位于高空急流出口区左侧。纬向型短时强降水发生在冷涡南部纬向锋区中, 经向型低层有暖式切变线配合, 强烈的上升运动提供了短时强降水发生所需的动力条件。
(3) 东北地区冷涡短时强降水发生时大气具有一定的条件不稳定, 西北气流型、 纬向型和经向型ΔT 85一般大于25 ℃; 副高型和南涡型ΔT 85一般小于24 ℃, 并且TdPW平均值明显比其他类型大。5类冷涡短时强降水过程大部分CAPE值比较温和, 一般不超过1500 J·kg-1。在大多数情况下, 副高型短时强降水发生在中等强度的垂直风切变环境中, 其他类型短时强降水发生在弱的垂直风切变环境中。
由于冷涡降水机理十分复杂, 在冷涡的初生、 发展、 成熟和减弱阶段都能产生强降水, 不同个体的冷涡, 其结构、 演变过程和中尺度特征等存在着差异, 文中参考冷涡环流形势分型讨论可能存在不足之处, 在今后的工作中将尝试用客观方法对冷涡短时强降水分型。
Hu K X Lu R Y Wang D H2010.Seasonal climatology of cut-off lows and associated precipitation patterns over Northeast China[J].Meteorology and Atmospheric Physics106(1/2): 37-48.

Johns R H Doswell C A1992.Severe Local Storms Forecasting[J].Weather and Forecasting7(4): 588-612.

Xie Z W Bueh C L2015.Different types of cold vortex circulations over Northeast China and their weather impacts[J].Monthly Weather Review143(3): 845-863.

Zhang C Zhang Q Wang Y al et2008.Climatology of warm season cold vortices in East Asia: 1979-2005[J].Meteorology and Atmospheric Physics100(1/4): 291-301.

白人海, 孙永罡, 1997.东北冷涡中尺度天气的背景分析[J].黑龙江气象(3): 6-12.

蔡雪薇, 谌芸, 沈新勇, 等, 2018.冷涡对两类对流系统结构演变作用的个例模拟对比分析[J].气象44(6): 790-801.DOI: 10. 7519/j.issn.1000-0526.2018.06.007.

蔡雪薇, 谌芸, 沈新勇, 等, 2019.冷涡背景下不同类型强对流天气的成因对比分析[J].气象45(5): 621-631.DOI: 10.7519/j.issn.1000-0526.2019.05.003.

陈元昭, 俞小鼎, 陈训来, 2016.珠江三角洲地区重大短时强降水的基本流型与环境参量特征[J].气象42(2): 144-155.DOI: 10.7519/j.issn.1000-0526.2016.02.002.

谌芸, 孙军, 徐珺, 等, 2012.北京721特大暴雨极端性分析及思考(一)观测分析及思考[J].气象38(10): 1255-1266.

高晓梅, 俞小鼎, 王令军, 等, 2018.鲁中地区分类强对流天气环境参量特征分析[J].气象学报76(2): 196-212.DOI: 10.1 1676/qxxb2018.006.

何晗, 谌芸, 肖天贵, 等, 2015.冷涡背景下短时强降水的统计分析[J].气象41(12): 1466-1476.DOI: 10.7519/j.issn.1000-0526. 2015.12.004.

李爽, 丁治英, 戴萍, 等, 2016.东北冷涡的最新研究进展[J].干旱气象34(1): 13-19.DOI: 10.11755/j.issn.1006-7639.2016. 01.0013.

李爽, 丁治英, 刘云桦, 等, 2017.东北冷涡下辽宁省短时强降水统计与合成分析[J].气象科学37(1): 70-77.DOI: 10.3969/2016jms.0018.

李建, 宇如聪, 王建捷, 2008.北京市夏季降水的日变化特征[J].科学通报53(7): 829-832.

刘英, 王东海, 张中锋, 等, 2012.东北冷涡的结构及其演变特征的个例综合分析[J].气象学报70(3): 354-370.

齐铎, 袁美英, 周奕含, 等, 2020.一次东北冷涡过程的结构特征与降水关系分析[J].高原气象39(4): 808-818.DOI: 10.7522/j.issn.1000-0534.2019.00078.

沈浩, 杨军, 祖繁, 等, 2014.干空气入侵对东北冷涡降水发展的影响[J].气象40(5): 562-569.DOI: 10.7519/j.issn.1000-0526. 2014.05.006.

孙力, 郑秀雅, 王琪, 1994.东北冷涡的时空分布特征及其与东亚大型环流系统之间的关系[J].应用气象学报5(3): 298-303.

孙力, 1997.东北冷涡持续活动的分析研究[J].大气科学21(3): 297-307.

孙颖姝, 王咏青, 沈新勇, 等, 2018.一次“大气河”背景下东北冷涡暴雨的诊断分析[J].高原气象37(4): 970-980.DOI: 10. 7522/j.issn.1000-0534.2018.00005.

孙继松, 戴建华, 何立富, 等, 2014.强对流天气预报的基本原理与预报方法[M].北京: 气象出版社, 49-50.

斯琴, 荀学义, 王佳津, 等, 2016.一次东北冷涡暴雨过程成因分析[J].气象科技44(6): 1016-1023.DOI: 10.3969/j.issn.1671-6345.2016.06.025.

王磊, 谌芸, 张仙, 等, 2013.冷涡背景下MCS的统计分析[J].气象39(11): 1385-1392.DOI: 10.7519/j.issn.1000-0526.2013. 11.001.

徐红, 晁华, 王文, 等, 2016.东北冷涡暴雨落区统计与诊断分析[J].气象与环境学报32(3): 41-46.DOI: 10.3969/j.issn. 1673-503X.2016.03.006.

杨晓宇, 刘丽敏, 凌宏伟, 2018.伊春地区东北冷涡型短时强降水天气雷达特征及临近预警[J].黑龙江气象35(3): 15-16.DOI: 10.1402/j.cnki.hljqx.2018.03.006.

杨雪艳, 秦玉琳, 张梦远, 等, 2018.基于“配料法”的东北冷涡暴雨预报研究[J].大气科学学报41(4): 475-482.DOI: 10.13878/j. cnki.dqkxxb.20171116001.

郁珍艳, 何立富, 范广洲, 等, 2011.华北冷涡背景下强对流天气的基本特征分析[J].热带气象学报27(1): 91-96.DOI: 10. 3969/j.issn.1004-4965.2011.01.010.

俞小鼎, 周小刚, 王秀明, 2012.雷暴与强对流临近天气预报技术进展[J].气象学报70(3): 311-337.DOI: 10.11676/qxxb2012.030.

应爽, 袁大宇, 李尚锋, 2014.一次东北冷涡不同阶段强对流天气特征对比分析[J].气象与环境学报30(4): 9-18.DOI: 10. 3969/j.issn.1673-503X.2014.04.002.

宇如聪, 李建, 陈昊明, 等, 2014.中国大陆降水日变化进展[J].气象学报72(5): 949-968.DOI: 10.11676/qxxb2014.047.

张立祥, 李泽椿, 2009.东北冷涡研究概述[J].气候与环境研究14(2): 218-228.DOI: 10.3878/j.issn.1006-9585.2009.02.11.

张立祥, 2008.东北冷涡中尺度对流系统研究[D].南京: 南京信息工程大学, 1-92.

张弛, 王咏青, 廖玥, 等, 2019.初始场与云微物理参数方案在飑线数值模拟中的对比研究[J].高原气象38 (2): 410-420.DOI: 10.7522/j.issn.1000-0534.2018.00084.

张桂莲, 常欣, 黄晓璐, 等, 2018.东北冷涡背景下超级单体风暴环境条件与雷达回波特征[J].高原气象37(5): 1364-1374.DOI: 10.7522/j.issn.1000-0534.2018.00068.

张云, 雷恒池, 钱贞成, 2008.一次东北冷涡衰退阶段暴雨成因分析[J].大气科学32(3): 481-498.

钟水新, 2011.东北冷涡结构特征及其强降水形成机理研究[D].北京: 中国气象科学研究院, 1-129.

文章导航

/