论文

60年来藏东南降水变化及其对土壤温度与冻融过程的影响

  • 董晴雪 ,
  • 罗斯琼 ,
  • 文小航 ,
  • 王景元 ,
  • 李文静
展开
  • 1. 成都信息工程大学大气科学学院/高原大气与环境四川省重点实验室,四川 成都 610225
    2. 中国科学院西北生态环境资源研究院/寒旱区陆面过程与气候变化重点实验室,甘肃 兰州 730000
    3. 中国科学院大学,北京 100049

董晴雪(1996 -), 女, 山东烟台人, 硕士研究生, 主要从事陆面过程与气候变化方面的研究. E-mail:

收稿日期: 2021-03-23

  修回日期: 2021-08-05

  网络出版日期: 2022-04-20

基金资助

第二次青藏高原综合科学考察研究项目(2019QZKK0105); 国家自然科学基金项目(41975096)

Changes of Precipitation and Its Effects on Soil Temperature and Freeze-Thaw Process in Southeastern Xizang in Recent 60 Years

  • Qingxue DONG ,
  • Siqiong LUO ,
  • Xiaohang WEN ,
  • Jingyuan WANG ,
  • Wenjing Li
Expand
  • 1. School of Atmospheric Sciences,Plateau Atmosphere and Environment Key Laboratory of Sichuan Province,Chengdu University of Information Technology,Chengdu 610225,Sichuan,China
    2. Key Laboratory for Land Process and Climate Change in Cold and Arid Regions,Northwest Institute of Ecological and Environmental Resources,Chinese Academy of Sciences,Lanzhou 730000,Gansu,China
    3. University of Chinese Academy of Sciences,Beijing 100049,China

Received date: 2021-03-23

  Revised date: 2021-08-05

  Online published: 2022-04-20

本文引用格式

董晴雪 , 罗斯琼 , 文小航 , 王景元 , 李文静 . 近60年来藏东南降水变化及其对土壤温度与冻融过程的影响[J]. 高原气象, 2022 , 41(2) : 404 -419 . DOI: 10.7522/j.issn.1000-0534.2021.00065

1 引言

降水是青藏高原上能量和水分循环的最重要组成成分之一。在全球气候变化的背景下, 降水也发生明显变化: 气温升高加速水分蒸发, 进而带来更多的降水; 极端天气频繁发生, 旱涝加剧(Trenberth, 1998Stocker et al, 2013Hirabayashi et al, 2013)。青藏高原素有“亚洲水塔”之称, 其融水孕育了长江、 黄河、 雅鲁藏布江等多条亚洲大河, 其水文上的重要地位也使得高原降水变化受到学界的广泛关注(Immerzeel et al, 2010)。由于降水与土壤水分的变化高度一致, 而当前土壤水分可用的观测数据较少, 故多以降水的变化来表征土壤水分的变化; 而土壤水分与冻融的关系密不可分, 所以降水是影响冻土的主要气候要素之一, 对降水的分析也对指示冻融循环有重要意义(石磊等, 2016蒋靖海和王澄海, 2020吴小丽等, 2021)。
作为世界最大的高原, 也是全球气候变化的敏感区, 青藏高原对气候变化的响应迅速(Liu and Chen, 2000)。气温加速升高, 1998—2013年平均升幅达0.25 ℃·(10a)-1Duan et al, 2015)。降水在高原大部分地区显著增多, 但地区差异性大(Yang et al, 2011)。土壤温度显著升高, 1960—2014年浅层土壤温度升幅可达0.36 ℃·(10a)-1Fang et al, 2019张文纲等, 2008Hu et al, 2019Jin et al, 2011)。同时, 青藏高原作为高海拔冰冻圈最典型的例子, 其冻土在近年来经历了大面积退化(王绍令等, 1996高坛光, 2020): 多年冻土区面积减小, 活动层厚度增大, 永久冻土的海拔下限上升, 最大冻结深度减小, 冻融期缩短, 冻结始日延后且冻结终日提前(Cheng and Wu, 2007Wu et al, 2015Luo et al, 2020)。以往研究多将土壤温度升高和冻土退化归结于对气温升高的响应(李林等, 2008Jin et al, 2011), 而对降水的研究较少, 且已有研究中大多着眼于降水的降温作用(王绍令等, 1996), 而不同地区、 不同季节的降水对冻土影响的表现可能不尽相同(蔡汉成等, 2018张明礼等, 2016)。已有研究揭示, 降水对土壤有增温及降温两种作用机制: 在土壤冻结期, 当土壤仍然处于冻结阶段时, 由于降水温度接近大气温度, 高于土壤温度, 所以降水起增温作用, 作为热源向土壤输送热量, 加速冻土融化(Luo et al, 20162020Douglas et al, 2020); 而在非冻结期, 当土壤温度较高时, 降水温度低于土壤温度, 此时降水对土壤起降温作用, 通过热传导以及土壤蒸发水分相变, 吸收一部分的土壤热量(Luo et al, 2016)。整体来看, 由于高原冻土冻融期较长, 随着近60年来高原降水的增加, 降水对土壤主要起增温作用, 加速冻土的融化(Luo et al, 2016)。但高原内部气候区差异较大, 藏东南地区的气候特征与高原整体存在的一定的差异(李娟等, 2016王顺久等, 2018)。
藏东南地区是位于青藏高原东南缘的典型山地地区, 其下垫面有较强的非均匀性, 雅鲁藏布江大峡谷的存在也使得该区域成为东亚地区重要的水汽通道, 其高湿的属性也使得降水对该地区的影响尤为明显(杨逸畴等, 1987高登义, 2008石磊等, 2016)。现有研究表明, 对应气温升高导致更多的水分蒸发, 青藏高原整体近年来降水增多(Trenberth, 1998Wan et al, 2017Wang et al, 2018); 但由于印度季风的显著减弱, 且藏东南地区位于季风区上, 受其影响降水与整个高原趋势不同(Yang et al, 2011许建伟等, 2020)。藏东南降水的年际变化尚未有统一结论, 根据选取的资料和时间段的不同, 结果也并不相同。大多数研究认为降水量呈减小趋势(陈德亮等, 2015Wang et al, 2018Wan et al, 2017尼玛旦增, 2018张宏文和高艳红, 2020), 也有研究显示呈增加趋势(周天军等, 2020李林等, 2010Wang et al, 2018)或先升后降的趋势(邓明枫等, 2017)。CMIP5预估未来情景下藏东南总降水也将减少(Wang et al, 2018)。土壤水热方面, 藏东南土壤温度也明显升高, 而土壤湿度也与降水量的下降对应明显下降(Fang et al, 2019石磊等, 2016)。冻结时间和最大冻结深度变化趋势在不同站点间差异明显, 多数站点呈下降趋势但也有站点为上升趋势(Luo et al, 2020)。青藏高原地域广阔, 地形复杂, 空间差异较大。以往的研究多着眼于整个青藏高原, 降水和土壤水热均少有注重区域特征的描述, 且对降水的改变对陆面水热特征的影响研究较少。本文将详细分析1960—2019年藏东南地区降水时空分布特征以及变化趋势, 并对该地区降水与土壤水热特征的关系做出阐释。

2 研究区域与资料概况

藏东南地区指西藏自治区东南部, 地理上一般包含林芝市巴宜区、 米林县、 工布江达县、 波密县和墨脱, 昌都市八宿县的部分地区(邓明枫等, 2017)。本文选取林芝和昌都地区9个气象站(图1)1960—2019年的日降水、 0 cm地温、 土壤温度(深度为5 cm、 10 cm、 15 cm和20 cm)、 最大冻结深度、 冻融期、 冻结始日、 融化终日、 积雪深度的观测资料。文中所有表格中站点均以自北向南排序。除类乌齐、 米林外均为国家基本气象站, 类乌齐站缺失0 cm地温资料, 米林站仅有降水和土壤温度资料。藏东南地区站点分布稀疏, 这些资料起始年份差异较大, 仅有丁青、 昌都、 林芝3个站有自1960年开始的资料, 其余站点的起始时间各异(表1)。其中土壤温度、 最大冻结深度、 冻融期、 冻结始日、 融化终日、 积雪深度的数据的截止年份为2014年, 其余要素为2019年。所有资料遵循统一的气象观测手段, 数据具有较高可靠度并经过了严格的质量控制。藏东南为青藏高原海拔差异最大的地区, 选取的站点海拔也有较大差异(表1): 最高点位于丁青, 海拔为3873 m; 最低点位于察隅, 海拔为2366 m。藏东南整体地形北高南低, 中国最长的高原河流雅鲁藏布江流经其东南侧, 大拐弯处的独特峡谷地形也对印度季风带来的向北水汽输送产生巨大的影响。季风带来的水汽受青藏高原阻碍后沿雅鲁藏布江输送, 在藏东南形成舌状多雨区(高由禧等, 1984), 使得藏东南地区呈现出异于高原整体的湿润特征。
图1 藏东南站点分布情况

Fig.1 Distribution of stations in Southeastern Xizang

表1 藏东南地区9个气象站基本情况及多年平均气温、 降水、 土壤冻融特征

Table 1 The basic circumstances of 9 weather stations of Southeastern Xizang and the characteristics of annual mean temperatureprecipitation and soil freeze-thaw

站名 纬度 经度 海拔/m 资料起始年份 降水/mm 气温/℃ 最大冻深/cm 冻融期/d 冻结始日 融化终日
丁青 31.42°N 95.60°E 3873 1960年 650.75 3.83 59.80 171 10月23日 4月13日
类乌齐 31.22°N 96.60°E 3810 1979年 606.96 6.62 75.97 168 10月28日 4月15日
昌都 31.15°N 97.17°E 3315 1960年 487.98 7.93 48.26 153 10月29日 4月1日
洛隆 30.75°N 95.83°E 3640 1979年 419.08 5.93 45.00 162 10月25日 4月6日
波密 29.87°N 95.77°E 2736 1961年 878.11 9.15 8.91 104 11月16日 3月1日
林芝 29.55°N 94.35°E 2992 1960年 695.02 9.20 8.77 107 11月15日 3月3日
米林 29.13°N 94.13°E 2950 1980年 696.41 8.77
左贡 29.67°N 97.83°E 3780 1978年 450.61 4.88 68.29 169 10月23日 4月11日
察隅 28.65°N 97.47°E 2366 1969年 778.60 12.18 5.80 65 12月6日 2月10日

-表示无数据

文中涉及的地图是基于中国人民共和国自然资源部地图技术审查中心标准地图服务系统下载的审图号为藏S(2020)002号的中国地图制作, 底图无修改。
各站点降水、 气温年际变化趋势使用三次多项式拟合描述, 其余变化趋势用线性趋势描述, 线性倾向率的空间分布表示不同区域的变化趋势, 空间分布图由站点数据用插值法生成。相关趋势使用Origin软件中的Spearman相关系数描述, 并且所有结果都进行了双尾显著性检验。为了更加直观展示不同要素间的相关, 使用了z分数法标准化变量。以上方法均为常见的分析方法, 故省略其原理描述。

3 降水、 土壤温度及冻融的时空演变特征

3.1 降水、 土壤温度及冻融特征

由于所选站点的资料起始时间不同, 故选择所有站点均有资料的1980—2019年做降水空间分布图, 选择1980—2014年做土壤温度、 最大冻结深度和冻融期的空间分布图。其中, 各层土壤温度变化趋势一致, 以5 cm为代表做图分析。可以看出藏东南气候湿润, 降水较多, 40年间藏东南年平均降水629.28 mm, 比青藏高原整体和三江源地区降水多出20%左右, 比高原中最为干旱的西部羌塘地区多出3倍(许建伟等, 2020刘晓琼等, 2019马伟东等, 2020)。空间分布上以念青唐古拉山为界, 南部降水较多北部降水较少[图2(a)]。年降水最大值位于波密, 为878.11 mm, 最小值位于洛隆, 为419.08 mm。波密与洛隆两个站点距离较近而降水差异较大, 可能受地形影响, 高大的念青唐古拉山脉阻挡了北上的水汽, 使得迎风坡产生大量降水而背风坡空气较为干燥。 另外, 降水量最多的波密位于雅鲁藏布江大拐弯处, 地势的剧烈变化使得气流猛烈撞击抬升形成降水。察隅降水量次之, 年降水量达到778.60 mm, 主要由于其位于南部, 受印度季风影响较大降水较多。林芝与米林也因为地势较低且较为偏南降水较多, 年降水量达到695 mm以上。而左贡、 洛隆由于横断山脉的阻隔不便于水汽输送所以降水少于其北部的丁青、 类乌齐、 昌都等地。
图2 1980 -2014年藏东南降水(单位: mm)、 5 cm土壤温度(单位: ℃)、 最大冻结深度(单位: mm)、 冻融期(单位: d)空间分布

圆点表示气象站点

Fig.2 Spatial distribution of precipitation (unit: mm), 5-cm soil temperature (unit: ℃), maximum frozen depth (unit: mm), and freeze-thaw period (unit: d) in Southeastern Xizang from 1980 to 2014.The dots indicate weather stations

40年间藏东南年平均5 cm土壤温度10.75 ℃, 呈自南向北递减的趋势[图2(b)]。年平均土壤温度最高值位于察隅, 为14.75 ℃, 最低值位于类乌齐, 为6.49 ℃。土壤温度分布主要受纬度和海拔的影响, 比如左贡站由于海拔较高所以土壤温度低于同纬度其他站点。
40年间最大冻结深度由北向南递减[图2(c)], 最大值位于类乌齐, 为75.97 cm, 最小值位于察隅, 为5.80 cm。冻融期变化与最大冻结深度类似[图2(d)], 最大值位于丁青, 为171天, 最小值位于察隅, 为65天。冻土特征与海拔密切相关(表1), 丁青、 类乌齐、 昌都、 洛隆、 左贡海拔较高, 最大冻结深度较深均达到45 cm以上, 冻融期达150天以上, 冻融自10月末开始4月结束; 而波密、 林芝、 察隅海拔较低, 最大冻结深度只有10 cm以下, 冻融期在100天以下, 冻融从11月甚至12月开始, 3月初即完全融化。

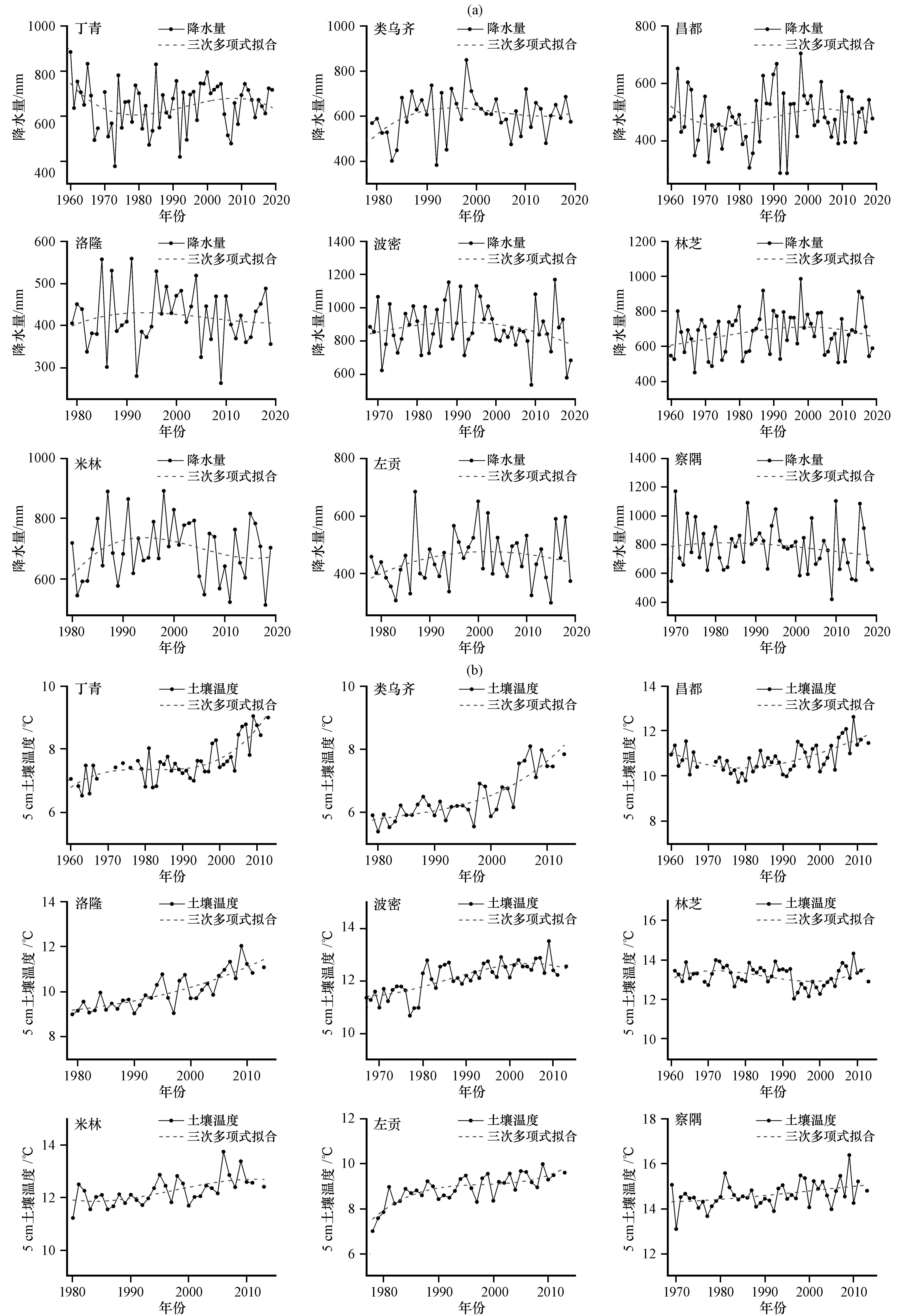
3.2 降水、 土壤温度及冻融的年际变化特征

从近60年来藏东南各站降水及土壤温度年际变化特征(图3)中可以看出, 总体而言, 藏东南区域近60年来年降水量呈现先下降后上升再下降趋势。从三次多项式拟合结果来看, 多数站点可在1980年和2000年前后出现拐点, 可以看出大致在1960—1980年间为下降趋势, 1980—2000年为上升趋势, 2000—2019年为又为下降趋势。其中, 各个站点的转折点出现时间差异较大。有1960年代起始的资料的三个站点中, 丁青和昌都两个站点均在1980年附近由下降趋势转为上升趋势, 而林芝并未见明显转折。类乌齐、 洛隆、 波密、 米林和察隅站第二个转折点出现在1995年左右, 而丁青、 昌都、 林芝和左贡站出现在2000—2005年。土壤温度年际变化整体为显著的上升趋势。其中, 昌都、 林芝出现了不明显的与降水类似的转折点。
图3 藏东南站点降水(a)、 5 cm土壤温度(b)年际变化

Fig.3 Change of annual precipitation (a) and temperature (b) in southeastern Xizang

由此分别计算降水和5 cm土壤温度在1980—2019年、 2000—2019年的空间变化趋势(土壤温度资料仅到2014年), 由图5(a)和(b)可以看出, 近40年降水在空间上北部增多而南部减少。左贡、 丁青两点上升趋势较大, 达到了10 mm·(10a)-1以上; 类乌齐、 昌都也为上升趋势。这些站点海拔较高, 位置受季风影响较弱, 所以与整个青藏高原降水增多趋势较为一致。而其余站点降水下降, 可能受印度季风减弱影响较大。近20年变化图中所有的站点均呈现降水下降, 变化率也更大, 6个站点呈现出大于-10 mm·(10a)-1的递减率; 降水下降最多的点为米林, 达到了-48.24 mm·(10a)-1。由于该地区年降水量较大, 上述变化率均未通过显著性检验。该区域近40年和近20年土壤温度均为上升趋势[图5(c), (d)], 近40年趋势多数站点通过了0.05显著性检验; 而近20年北部土壤温度的上升趋势更为显著, 北部站点土壤温度上升率大于1 ℃·(10a)-1, 显示了藏东南区域对全球变暖响应迅速。
图4 藏东南站点最大冻结深度(a)、 冻融期(b)年际变化

Fig.4 Change of annual maximum frozen depth (a) and freeze-thaw period (b) in southeastern Xizang

图5 近40年和近20年降水变化[单位: mm·(10a)-1]、 土壤温度变化[单位: ℃·(10a)-1]趋势空间分布

实心圆圈代表通过0.05显著性检验

Fig.5 Spatial distribution of precipitation [unit: mm·(10a)-1] and temperature trends [unit: ℃·(10a)-1] over the past 40 years and 20 years.Solid circles indicate trends significant at the 5% level

冻融方面, 由图4图6可以看出, 藏东南各站点结果均指示冻土退化, 具体表现为最大冻结深度减小, 冻融期缩短。1980—2014年, 除林芝外所
图6 近40年和近20年最大冻结深度变化[单位: mm·(10a)-1]及冻融期变化[单位: d·(10a)-1]趋势空间分布

实心圆圈代表通过0.05显著性检验

Fig.6 Spatial distribution of maximum frozen depth trends [unit: mm·(10a)-1] and freeze-thaw period trends [unit: d·(10a)-1]over the past 40 years and 20 years.Solid circles indicate trends significant at the 5% level

有站点冻深减小冻融期缩短。昌都、 林芝、 察隅3个站的冻融表现出了明显的转折点: 其中昌都、 察隅两站总体显示冻土退化, 但1980年前显示冻土最大冻结深度增加, 冻融期增长; 而林芝总体指示冻土发展, 具体表现为1960—2000年间冻结深度增加冻融期增长, 2000年出现拐点开始退化。

3.3 降水季节、 月际变化特征

表2所示, 藏东南降水的季节分配主要为两种类型: 第一种为夏季占主导, 其中7个站点夏季降水量占全年降水量的50%以上, 其次为春季和秋季, 冬季降水最少。第二种分配类型为各季节降水量差异较小, 春、 夏、 秋三季降水均较多, 其中春、 夏季降水量均占全年降水量的1/3左右, 主要发生在年降水量最大的波密和察隅站。图7以丁青和察隅两站为例分别展示了这两种降水季节分布形态。
表2 各季节降水占比

Table 2 Seasonal distribution of precipitation

季节 降水占比
丁青 类乌齐 昌都 洛隆 波密 林芝 米林 左贡 察隅
15.26% 15.85% 14.58% 20.21% 34.20% 20.68% 23.77% 11.68% 37.41%
58.71% 59.02% 60.85% 52.25% 37.55% 55.56% 53.89% 68.81% 37.35%
23.87% 23.15% 23.11% 24.96% 23.91% 22.73% 19.77% 18.55% 18.34%
2.16% 1.98% 1.47% 2.58% 4.34% 1.03% 2.57% 0.96% 6.91%
图7 两种不同类型的降水季节分布

Fig.7 Two types of seasonal precipitation distribution

从变化趋势(表3)来看, 总体上显示出多数站点夏季降水减少, 其他季节降水增多的特点。春季, 各站降水均为增多趋势, 且丁青、 察隅、 米林增多趋势显著; 夏季, 丁青、 昌都、 波密、 米林、 察隅5个站降水为减少趋势, 且波密减少显著, 达到 -18.1 mm·(10a)-1, 其余站点降水增加但量值较小; 秋季, 丁青降水显著增加, 其余站点增减不同, 均未通过显著性检验; 冬季多数站点降水也有增加趋势。从结果可以看出各站降水变化是由不同的季节降水的变化主导: 左贡除秋季外其余季节降水增多; 丁青降水增多表现在春秋两季显著增多; 类乌齐是春夏秋降水均增多; 昌都夏季降水减少但春秋冬季降水均增多; 林芝四季均为上升趋势但并不显著, 且从图3来看林芝降水上升趋势多表现在1980年前; 洛隆由于秋季降水减少所以整体降水减少; 而波密是由于夏季降水显著减少导致的总体降水减少; 米林虽然春季降水显著增多但其余季节降水减少, 总体降水减少; 察隅四季降水均减小所以总体降水减少。
表3 各季节降水变化趋势

Table 3 Precipitation trend in different seasons

季节 降水变化趋势/[mm·(10a)-1
丁青 类乌齐 昌都 洛隆 波密 林芝 米林 左贡 察隅
8.62* 4.31 4.05* 1.98 8.79 4.21 11.49* 5.57 -2.03
-12.96 3.75 -5.22 0.41 18.12* 4.64 -8.32 11.98 -4.65
5.92* 3.22 5.27 -6.32 -0.74 3.74 -5.09 -5.78 -5.14
0.49 -0.78 0.37 1.77 0.03 0.17 -0.68 0.13 -4.57

*表示通过0.05显著性检验

与上述分季节降水春季增多夏季减少的结论对应, 具体分月份(表4)来讲, 降水的显著变化集中在3、 4月和6月, 3、 4月为显著的增加趋势, 6月为显著的减少趋势。由于季节性冻土的存在, 不同月份的降水对土壤水热的作用不同, 降水变化与冻融期的耦合, 以及降水的变化将为土壤温度和冻融带来怎样的影响, 下面将结合具体月份进行分析。
表4 各月份降水变化趋势

Table 4 Precipitation trend in different months

月份 降水变化趋势/[mm·(10a)-1
丁青 类乌齐 昌都 洛隆 波密 林芝 米林 左贡 察隅
1月 0.29 -0.48 0.13 0.45 -0.54 0.15 0.87 -0.07 -0.93
2月 0.03 0.29 0.29 1.36 0.99 -0.07 -1.01 0.16 -1.49
3月 1.53 -0.47 0.94 -0.80 0.40 1.33 3.21* 0.43 -1.54
4月 3.94* 1.53 2.54* 1.14 2.75 2.50 2.30 2.26 -5.57
5月 3.15 3.25 0.57 1.64 5.63 0.38 5.98 2.88 5.08
6月 -4.12 -0.24 -4.94* -6.57 -19.65* -1.40 -1.03 3.90 -7.09*
7月 -1.31 1.05 0.75 4.22 -3.32 2.43 -5.07 10.46 2.93
8月 -2.85 2.95 -1.03 2.76 4.84 3.60 -2.22 -2.38 -0.50
9月 1.81 3.82 2.66 -6.11 -0.35 4.13 -3.13 -5.38 -0.14
10月 3.61* -0.33 2.31 -0.36 0.04 -0.15 -1.15 -0.50 -3.65
11月 0.50 -0.27 0.29 0.15 -0.43 -0.23 -0.81 0.09 -1.35
12月 0.24 -0.79 0.01 -0.30 -0.38 -0.04 -0.53 0.05 -1.78

*表示通过0.05显著性检验

4 降水变化对土壤温度与冻融过程的影响

4.1 年降水、 气温和土壤温度与冻融过程

以往的研究多着眼于气温与土壤温度和冻融过程的响应, 而降水对其的影响较少被研究。在气温升高的背景下, 藏东南土壤温度和最大冻结深度、 冻融期在多数站点都与气温呈显著相关关系(表5): 气温与各层土壤温度呈正相关, 与最大冻结深度和冻融期呈负相关。只有类乌齐、 林芝两站点表现不同。类乌齐的降水、 气温两要素与土壤温度、 冻融的相关性均较弱; 而林芝的气温与冻融呈现与其他站点不同的正相关关系。
表5 年降水、 气温与各层土壤温度和冻融的相关系数

Table 5 Correlation of annual precipitation and air temperature with soil temperature and freezing and thawing

站点 土壤温度 最大冻结深度 冻融期
0 cm 5 cm 10 cm 15 cm 20 cm
降水 丁青 -0.02 -0.20 -0.13 -0.10 -0.09 -0.16 0.04
类乌齐 0.18 0.18 0.15 0.19 0.07 -0.35*
昌都 -0.17 -0.18 -0.18 -0.17 -0.16 -0.14 -0.14
洛隆 -0.15 -0.15 -0.19 -0.19 -0.15 0.02 0.30
波密 -0.37* -0.11 -0.12 -0.22 -0.13 0.08 -0.13
林芝 -0.46* -0.55* -0.49* -0.45* -0.33* 0.35* 0.18
左贡 -0.06 0.02 0.02 0.05 0.06 -0.15 -0.26
察隅 -0.64* -0.52* -0.45* -0.45* -0.42* -0.22 -0.17
气温 丁青 0.84* 0.79* 0.79* 0.78* 0.75* -0.26 -0.36*
类乌齐 0.01 0.01 -0.01 0.03 0.11 0.12
昌都 0.89* 0.88* 0.87* 0.83* 0.80* -0.58* -0.43*
洛隆 0.90* 0.88* 0.89* 0.85* 0.89* -0.47* 0.02
波密 0.66* 0.81* 0.83* 0.68* 0.90* -0.16 -0.30*
林芝 0.18 0.07 0.12 0.22 0.22 0.40* 0.53*
左贡 0.85* 0.93* 0.93* 0.93* 0.91* -0.63* -0.17
察隅 0.62* 0.74* 0.66* 0.79* 0.63* -0.04 -0.03

*表示通过0.05显著性检验

降水与土壤温度多为负相关, 大多数站点相关性较弱且并不显著, 表明在藏东南土壤温度变化与气温变化密切相关, 但与降水变化也有一定的相关性, 且多为降温作用。类乌齐、 左贡两点相关系数很小且不显著, 说明降水在这两个站点起的作用较弱; 而林芝降水与土壤温度相关系数较大且通过了显著性检验, 则说明在林芝降水变化对土壤水热的改变作用较大。降水与最大冻结深度、 冻融期的关系显示, 降水对冻融的影响在不同站点表现不同。之前有研究表明在冻融的不同阶段, 青藏高原降水变化对冻融过程有着不同的影响(Luo et al, 2016)。对于藏东南地区, 具体在每个站点, 不同月份、 不同季节降水变化对土壤水热又有何影响, 下面将进行详细讨论。
图8为类乌齐、 林芝、 察隅三个较典型的站点降水与土壤温度和冻融状态逐年变化关系。由于各层土壤温度相关性良好, 所以选用5 cm土壤温度作为代表进行绘图分析。结合表5看出, 类乌齐气温和降水对土壤温度和冻融的相关性均较小且不显著; 林芝土壤温度和冻融变化与降水变化显著相关, 与气温变化相关性不显著; 而察隅土壤水热变化与气温和降水变化均有显著相关关系。从表5图6(a)中看到, 类乌齐的5 cm土壤温度明显上升, 最大冻结深度和冻融明显下降, 而该站的气温和降水与土壤温度和冻融明显相关关系, 表明该点气温对土壤升温的响应不明显, 而降水对该点土壤热状态的作用是复杂的, 可能受降水的类型的影响较大(如降雪)。如图6(b)所示, 林芝的降水与土壤温度呈显著负相关关系, 与最大冻结深度和冻融期呈正相关关系。而气温与土壤温度和冻融的相关均不显著, 这表明在林芝, 土壤水热变化对降水的响应已经超过了对气温的响应, 并且由于林芝降水集中于夏季, 降水在林芝主要起降温作用, 使土壤温度下降, 冻融期增长且冻结深度加深。结合表1的基本资料来分析, 林芝是藏东南区域南部唯一拥有1960年至今的资料的站点, 其结果揭示了在海拔较低降水较多的雅鲁藏布江下游地区, 降水对土壤水热的影响不可忽视, 甚至可占主导。察隅降水和气温与土壤水热均有良好的相关关系[表6图6(c)], 其结果均通过了显著性检验, 可见在察隅地区, 降水和气温均对土壤水热的改变产生重要影响。综上所述, 在藏东南地区土壤水热的变化对气温的响应非常迅速, 但对降水变化的响应也不可忽视。
图8 典型站点年降水与土壤温度和冻融的关系

Fig.8 Correlation of precipitation with soil temperature and freezing and thawing at typical sites

表6 季节降水与各层土壤温度和冻融的相关系数

Table 6 Correlation coefficients of seasonal precipitationsoil temperature and freeze-thaw

站点 季节 0 cm土温 5 cm土温 10 cm土温 15 cm土温 20 cm土温 最大冻结深度 冻融期
丁青 0.30* 0.34* 0.37* 0.34* 0.35* -0.16 -0.29*
-0.26 -0.33* -0.31* -0.28 -0.31* 0.08 0.21
0.21 0.01 0.10 0.17 0.25 -0.29* -0.07
-0.10 0.07 0.06 0.07 0.06 -0.15 -0.03
类乌齐 0.09 0.16 0.13 0.22 -0.13 -0.48*
0.12 0.12 0.08 0.12 0.14 -0.14
0.12 0.08 0.09 0.05 -0.03 -0.03
-0.32 -0.32 -0.32 -0.34 0.43* 0.13
昌都 0.17 0.08 0.09 0.05 0.05 -0.18 -0.19
-0.16 -0.12 -0.13 -0.09 -0.11 -0.20 -0.08
-0.13 -0.10 -0.10 -0.14 -0.13 0.14 0.00
-0.25 -0.38* -0.35* -0.33* -0.29* 0.16 0.29*
洛隆 0.06 0.18 0.16 0.08 0.17 -0.23 -0.12
-0.06 -0.14 -0.17 -0.19 -0.20 0.14 0.21
-0.22 -0.22 -0.26 -0.18 -0.13 -0.06 0.25
0.31 0.14 0.13 -0.01 -0.02 0.15 0.06
波密 -0.13 0.12 0.10 -0.07 0.19 -0.03 -0.30*
-0.33* -0.24 -0.25 -0.14 -0.29 0.03 0.10
-0.26 -0.06 -0.07 -0.25 -0.13 0.09 0.01
0.07 0.05 0.06 0.12 0.12 -0.04 -0.10
林芝 0.03 -0.01 0.00 0.03 -0.14 0.18 -0.01
-0.45* -0.54* -0.52* -0.48* -0.33* 0.27 0.14
-0.22 -0.31* -0.24 -0.23 -0.09 0.19 0.06
0.14 0.02 0.04 0.00 0.03 -0.05 0.01
左贡 0.04 0.17 0.21 0.27 0.28 -0.46* -0.19
0.09 0.10 0.09 0.10 0.13 -0.15 -0.18
-0.36* -0.21 -0.23 -0.23 -0.27 0.26 -0.20
0.14 0.16 0.18 0.16 0.17 -0.03 0.03
察隅 -0.49* -0.45* -0.41* -0.38* -0.34* -0.27 -0.14
-0.28* -0.19 -0.17 -0.16 -0.10 -0.07 0.12
-0.38* -0.33* -0.24 -0.35* -0.33* -0.05 -0.30
-0.03 -0.13 -0.12 -0.05 -0.11 0.05 0.30

*表示通过0.05显著性检验

4.2 季节降水和土壤温度与冻融过程

为了探讨不同季节降水变化对土壤温度与冻融的影响机制及影响程度, 进一步分析了季节降水与土壤温度和冻融的相关关系(表6)。
在春季, 土壤开始融化。多个站点(丁青、 类乌齐、 昌都、 洛隆、 波密、 左贡)春季降水与土壤温度有显著的正相关, 与冻结时间、 最大冻结深度有显著负相关, 表明这6个站点春季降水对土壤主要起升温作用。而察隅冻结期较短(表1), 春季冻土已经融化, 所以春季降水与土壤温度呈显著负相关关系, 降水对土壤起升温作用。在夏季, 土壤为未冻结状态, 除类乌齐及左贡外, 其余5个站夏季降水与土壤温度呈负相关关系, 其中丁青、 林芝降水与5层土壤温度负相关关系均通过了显著性检验; 林芝夏季降水与冻结深度有正相关关系; 而察隅夏季降水与0 cm地温有显著负相关关系。上述分析可以看出, 该地区夏季降水对土壤主要起降温作用。在秋季, 大多数站点土壤开始冻结, 土壤温度相对较低, 如丁青秋季降水与最大冻结深度呈显著负相关关系; 而察隅土壤未开始冻结, 秋季降水与5 cm、 15 cm、 20 cm土壤温度有显著负相关关系。在冬季, 土壤为冻结状态。类乌齐冬季降水与最大冻结深度呈显著正相关关系, 显示了冬季降水的对冻土的加热作用。昌都冬季降水与土壤温度(5~20 cm)呈显著负相关关系, 与冻结时间呈显著正相关关系, 则表明冬季降水在昌都总体起降温作用。

4.3 月降水和土壤温度与冻融过程

上述季节降水与土壤温度与冻融的关系, 可以看出降水对土壤升温与降温的两种机制在藏东南普遍存在, 为了更加详尽看出降水对土壤水热过程的作用关系, 取月降水与土壤水热进行详细的分析, 结果如表7所示, 其中洛隆、 波密、 左贡的结果与昌都类似, 故在表中省略。
表7 典型站点月降水与各层土壤温度和冻融的相关系数

Table 7 Correlation coefficients of monthly precipitationsoil temperature and freeze-thaw of typical sites

站点 月降水
1月 2月 3月 4月 5月 6月 7月 8月 9月 10月 11月 12月
丁青 0 cm土温 0.16 -0.03 0.21 0.20 0.20 -0.12 -0.18 -0.14 0.06 0.24 0.18 0.13
5 cm土温 0.09 0.08 0.36* 0.05 0.24 -0.21 -0.25 -0.18 -0.20 0.12 0.37* 0.21
10 cm土温 0.12 0.11 0.33* 0.07 0.28 -0.19 -0.19 -0.20 -0.14 0.17 0.35* 0.20
15 cm土温 0.15 0.12 0.26 0.04 0.25 -0.16 -0.15 -0.20 -0.08 0.20 0.35* 0.16
20 cm土温 0.11 0.08 0.26 0.08 0.26 -0.16 -0.12 -0.29 0.00 0.19 0.43* 0.09
冻结深度 -0.15 -0.20 -0.11 -0.21 -0.04 0.09 0.05 0.01 -0.15 -0.20 -0.10 -0.04
冻融期 -0.26 0.09 -0.25 -0.12 -0.24 0.30* 0.20 -0.04 0.08 -0.13 -0.16 -0.13
类乌齐 5 cm土温 -0.30 0.23 -0.17 0.07 0.05 -0.01 -0.02 0.17 0.01 0.25 0.02 -0.27
10 cm土温 -0.34* 0.24 -0.14* 0.02 0.18 0.03 -0.01 0.15 -0.01 0.22 0.00* -0.33
15 cm土温 -0.37* 0.25 -0.15* -0.01 0.17 0.05 -0.01 0.10 0.01 0.22 -0.02* -0.30
20 cm土温 -0.35* 0.22 -0.07 0.08 0.20 0.08 0.00 0.11 -0.02 0.19 0.06* -0.31
冻结深度 0.34* -0.18 0.21 0.00 -0.24 -0.15 0.36 0.02 0.08 -0.20 0.06* 0.35
冻融期 -0.34* -0.14 -0.37 -0.35 -0.22 0.01 -0.03 -0.11 0.04 -0.19 0.04 0.08
昌都 0 cm土温 0.04 0.26 0.12 0.03 0.17 -0.21 -0.05 -0.06 -0.22 0.05 0.13 -0.21
5 cm土温 -0.08 0.19 0.14* -0.09 0.12 -0.18 -0.01 -0.09 -0.24 0.12 0.19* -0.24
10 cm土温 -0.12 0.16 0.15* -0.11 0.14 -0.19 -0.04 -0.06 -0.24 0.13 0.19* -0.23
15 cm土温 -0.16 0.17 0.12 -0.17 0.13 -0.16 -0.03 -0.03 -0.25 0.09 0.20* -0.20
20 cm土温 -0.18 0.13 0.11 -0.14 0.12 -0.21 0.03 -0.04 -0.21 0.08 0.13* -0.15
冻结深度 -0.03 -0.07 -0.05 0.02 -0.25 0.08 -0.13 -0.22 0.24 -0.09 -0.08 0.26
冻融期 -0.33 -0.10 -0.27 -0.08 -0.06 0.28* -0.22 -0.13 0.13 -0.11 -0.07 0.27
林芝 0 cm土温 0.02 0.06 0.06 0.14 0.00 -0.18 -0.28 -0.38 -0.07 -0.25 -0.24 -0.06
5 cm土温 -0.20 0.14 0.01* 0.08 0.01 -0.31 -0.28 -0.42 -0.13 -0.24 -0.28* -0.14
10 cm土温 -0.18 0.15 0.05* 0.10 0.00 -0.33 -0.22 -0.41 -0.07 -0.19 -0.23* -0.11
15 cm土温 -0.20 0.08 0.05 0.09 0.05 -0.35 -0.20 -0.35 -0.07 -0.21 -0.23* -0.12
20 cm土温 -0.18 0.16 -0.10 0.20 -0.15 -0.30 -0.10 -0.26 -0.06 -0.01 -0.05* 0.02
冻结深度 0.02 -0.15 -0.01 0.06 0.10 0.05 0.12 0.33 0.10 0.13 0.05 0.07
冻融期 0.01 -0.13 -0.09 0.12 -0.07 0.08* 0.16 0.10 0.02 0.03 0.08 0.32
察隅 0 cm土温 -0.06 -0.11 -0.31 -0.38 -0.21 -0.13 -0.10 -0.26 -0.23 -0.40 0.08 0.11
5 cm土温 0.04 -0.12 -0.19* -0.46 -0.08 -0.22 0.05 -0.22 -0.18 -0.30 0.03* 0.00
10 cm土温 0.06 -0.07 -0.22* -0.41 -0.06 -0.22 0.03 -0.17 -0.07 -0.28 0.02* 0.03
15 cm土温 0.13 -0.12 -0.20 -0.40 -0.01 -0.19 0.10 -0.23 -0.17 -0.35 0.09* -0.03
20 cm土温 0.09 -0.05 -0.18 -0.43 0.01 -0.17 0.13 -0.17 -0.06 -0.37 0.03* 0.09
冻结深度 0.02 -0.11 -0.24 -0.04 -0.12 0.09 -0.13 -0.02 -0.07 0.07 -0.23 0.26
冻融期 0.30 -0.30 -0.02 -0.14 -0.18 0.37* 0.08 -0.26 -0.13 -0.01 -0.30 0.47

*表示通过0.05显著性检验

丁青、 察隅站的结果与之前的结论较为一致。在丁青, 10月至次年5月为冻融期, 此时降水起加热作用, 与土壤温度呈正相关, 与最大冻结深度、 冻融期为负相关; 而6—9月是非冻融期, 冻土完全融化, 降水起降温作用。降水与冻结始日和融化终日的关系也十分明显, 4、 5月为融化阶段, 10、 11月为冻结阶段, 降水均起加热作用。降水与融化终日呈负相关, 即降水使冻土融化更加迅速; 与冻结始日呈正相关, 即降水使冻土更晚开始冻结。察隅站也有显著的类似的特征, 该站冻融期较短冻深较浅, 所以降水多数时期都作为冷源, 特别是3、 4月和10月降水与土壤温度的负相关通过了显著性检验, 表明了降水在土壤的降温作用。
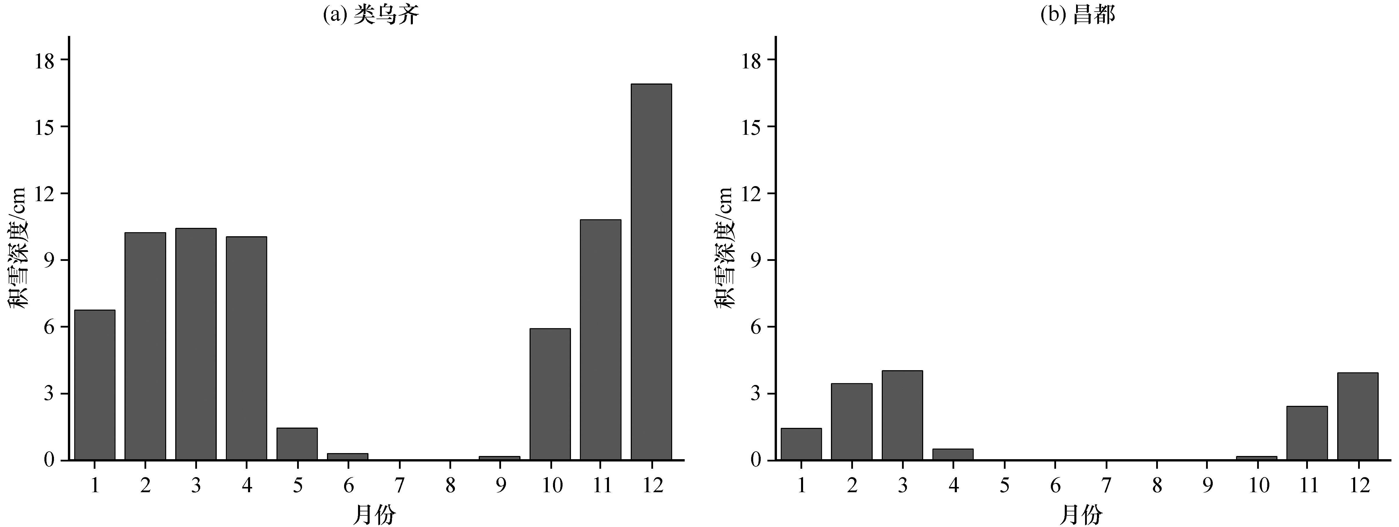
而其他站点虽然在非冻融期降水的降温作用表现明显, 冻结阶段和融化阶段也可看出升温作用, 但冬季月份出现了降水与土壤温度的负相关。因藏东南为青藏高原上的积雪大值区(车涛等, 2019), 在青藏高原, 积雪的存在通过增大地表反照率从而使土壤温度降低(李文静等, 2021), 可以结合积雪数据进行分析(姜琪等, 2020)。比如类乌齐的1月, 降水起显著的降温作用, 积雪数据显示(图9)1月积雪较厚, 最大雪深可达8 cm, 最大月积雪覆盖日数达14天, 推断1月的降水为降雪, 降雪使得积雪增厚从而降低土壤温度。林芝11月降水与土壤温度的显著负相关也可以降雪来解释。除丁青和察隅外, 其他站点12月和1月降水均与土壤温度呈负相关, 结合积雪数据分析(图9以昌都为例), 均推测为积雪的影响。
图9 典型站点类乌齐(a)和昌都(b)月累积积雪深度情况

Fig.9 Monthly accumulated snow depth at typical sites of Leiwuqi (a) and Changdu (b)

在冻融期较长、 冻深较深的地区, 降水夏季的降温机制和冬季的升温机制均比较明显; 在冻融期较短、 冻深较浅的地区, 降水多表现为降温作用。由此降水对土壤水热的影响可归纳为一个负反馈机制: 降水使土壤温度较低的地区升温, 加速冻土的融化; 与此同时, 使土壤温度较高的地区降温, 减缓冻土的退化。这预示了降水对全球能量收支平衡的维系, 或许正发挥着比以往了解到的更为不可或缺的作用。

5 结论

利用1960—2019年藏东南地区9个气象站点数据, 通过多项式拟合、 线性拟合、 Spearman相关系数等方法, 分析降水的时间空间分布特征, 以及降水与土壤温度和冻融状态的相关关系, 得出以下结论:
(1) 藏东南降水以念青唐古拉山为界, 南部降水较多北部降水较少。1980—2019年近40年平均降水最大值位于波密, 为878.11 mm, 最小值位于洛隆, 为419.08 mm。降水的空间分布主要受地形影响。土壤温度呈自南向北递减的趋势, 土壤各层温度变化趋势一致, 年平均5 cm土壤温度最高值位于察隅, 为14.75 ℃, 最低值位于类乌齐, 为6.49 ℃。土壤温度的空间分布主要受纬度和海拔的共同影响。
(2) 近60年来藏东南降水量呈先下降再上升再下降趋势, 多数站点在1980年和2000年左右出现转折点。1980—2019年40年间降水在空间上呈北部上升南部下降的趋势, 原因为南部受季风减弱影响较大, 而北部与青藏高原整体降水增多的趋势保持一致。2000—2019年的20年间降水变化多为下降趋势, 且下降幅度大于40年。土壤温度为显著上升趋势, 且近20年内上升幅度大于近40年。
(3) 藏东南降水季节分配上表现为两种特征: 大部分站点降水集中于夏季, 而察隅、 波密两站春、 夏、 秋三季降水较为相当。季节变化上表现为多数站点夏季降水减少而其他季节降水增多, 特别是在夏季的6月显著减少, 春季的3、 4月份显著增多。各站年降水变化由不同季节的降水变化主导。
(4) 多数站点年平均气温与各层土壤温度呈显著正相关, 与最大冻结深度和冻融期呈显著负相关。而在林芝和察隅, 年降水与土壤温度也有显著的负相关, 与最大冻结深度和冻融期呈显著正相关。藏东南地区土壤水热的变化与气温的变化较为一致, 但降水也对土壤水热状态的改变发挥了不可忽视的作用。
(5) 在藏东南, 降水对土壤温度有升温及降温两种作用机制: 春季土壤开始融化、 秋季土壤开始冻结、 冬季土壤为完全冻结状态, 这三个季节降水温度高于土壤温度, 起加热作用; 而夏季土壤为未冻结状态, 此时降水温度低于土壤温度, 起降温作用。
(6) 冻融期降水起升温作用, 加速冻土融化、 减缓冻土冻结; 非冻融期降水起降温作用, 降低土壤温度。其中部分站点在12月、 1月由于降水为降雪的影响, 使得积雪增厚, 土壤反照率增大从而土壤温度降低。空间上, 在冻融期较长、 冻结深度较深的地区, 降水降温机制和升温机制均比较明显; 在冻融期较短、 冻结深度较浅的地区, 降水多表现为降温作用。
故得出降水对土壤水热影响的负反馈机制主要表现为: 降水使土壤温度较低的地区升温, 加速冻土的融化; 使土壤温度较高的地区降温, 减缓冻土的退化。冻融变化主要由土壤的热状态和水状态共同决定, 降水一方面通过自身温度和土壤温度差异影响土壤热状态, 另一方面影响土壤湿度和潜热通量, 而积雪通过改变地表反照率影响地表能量分配。藏东南地区在青藏高原为降水和积雪大值区, 水分的影响较其他地区更为明显, 故降水对藏东南能量平衡的维系发挥重要作用, 而该结论在其他地区的适用性也有待进一步验证。可能存在的问题包括各站点数据的时间尺度不够统一, 冻融相关数据有一定的缺测, 以及只是采用简单的计算相关系数的方法分析各要素的关系, 对物理机制的阐释较少, 这些问题有待在今后的工作中改进。

参考文献

null
Cheng G D Wu T H2007.Responses of permafrost to climate change and their environmental significance, Qinghai-Tibet Plateau[J].Journal of Geophysical Research112(F2): S03.DOI: 10.1029/2006jf000631 .
null
Douglas T A Turetsky M R Koven C D2020.Increased rainfall stimulates permafrost thaw across a variety of Interior Alaskan boreal ecosystems[J].Climate and Atmospheric Science3(1): 28.DOI: 10.1038/s41612-020-0130-4 .
null
Duan A M Xiao Z X2015.Does the climate warming hiatus exist over the Tibetan Plateau?[J].Scientific Reports5(1): 13711.DOI: 10.1038/srep13711 .
null
Fang X W Luo S Q Lyu S H2019.Observed soil temperature trends associated with climate change in the Tibetan Plateau, 1960 -2014[J].Theoretical and Applied Climatology, 135(1/2): 169-181.DOI: 10.1007/s00704-017-2337-9 .
null
Hirabayashi Y Mahendran R Koirala S al et2013.Global flood risk under climate change[J].Nature Climate Change3(9): 816-821.DOI: 10.1038/nclimate1911 .
null
Hu G J Zhao L Li R al et2019.Variations in soil temperature from 1980 to 2015 in permafrost regions on the Qinghai-Tibetan Plateau based on observed and reanalysis products[J].Geoderma, 337: 893-905.DOI: 10.1016/j.geoderma.2018.10.044 .
null
Immerzeel W W Beek L P H Bierkens M F P2010.Climate change will affect the Asian water towers[J].Science, 328: 1382-1385.DOI: 10.1126/science.1183188 .
null
Jin H J Luo D L Wang S L al et2011.Spatiotemporal variability of permafrost degradation on the Qinghai-Tibet Plateau[J].Sciences in Cold and Arid Regions3(4): 281-305.DOI: 10.3724/SP.J.1226.2011.00281 .
null
Liu X D Chen B D2000.Climatic warming in the Tibetan Plateau during recent decades[J].International Journal of Climatology20(14): 1729-1742.DOI: 10.1002/1097-0088(20001130)20: 14<1729:: aid-joc556>3.0.co; 2-y .
null
Luo S Q Fang X W Lyu S H al et2016.Frozen ground temperature trends associated with climate change in the Tibetan Plateau Three River Source Region from 1980 to 2014[J].Climate Research67(3): 241-255.DOI: 10.3354/cr01371 .
null
Luo S Q Wang J Y Pomeroy J W al et2020.Freeze-haw changes of seasonally frozen ground on the Tibetan Plateau from 1960 to 2014[J].Journal of Climate33(21): 9427-9446.DOI: 10.1175/jcli-d-19-0923.1 .
null
Stocker T Qin D Plattner G al et2013.IPCC, 2013: Summary for policymakers[M].Climate Change 2013: The Physical Science Basis.Contribution of Working Group I to the Fifth Assessment Report of the Intergovernmental Panel on Climate Change.Cambridge, United Kingdom and New York, NY, USA: Cambridge University Press.
null
Trenberth K E1998.Atmospheric moisture residence times and cycling: Implications for rainfall rates and climate change[J].Climatic Change39(4): 667-694.DOI: 10.1023/a: 1005319109110 .
null
Wan G N Yang M X Liu Z C al et2017.The precipitation variations in the Qinghai-Xizang (Tibetan) Plateau during 1961-2015[J].Atmosphere8(5): 80.DOI: 10.3390/atmos8050080 .
null
Wang X J Pang G J Yang M X2018.Precipitation over the Tibetan Plateau during recent decades: A review based on observations and simulations[J].International Journal of Climatology38(3): 1116-1131.DOI: 10.1002/joc.5246 .
null
Wu Q B Hou Y D Yun H B al et2015.Changes in active-layer thickness and near-surface permafrost between 2002 and 2012 in alpine ecosystems, Qinghai-Xizang (Tibet) Plateau, China[J].Global and Planetary Change, 124: 149-155.DOI: 10.1016/j.gloplacha.2014.09.002 .
null
Yang K Ye B S Zhou D G al et2011.Response of hydrological cycle to recent climate changes in the Tibetan Plateau[J].Climatic Change109(3/4): 517-534.DOI: 10.1007/s10584-011-0099-4 .
null
蔡汉成, 金兰, 李勇, 等, 2018.降水对青藏高原风火山地区多年冻土的影响[J].铁道学报40(9): 109-115.DOI: 10.3969/j.issn.1001-8360.2018.09.015 .
null
车涛, 郝晓华, 戴礼云, 等, 2019.青藏高原积雪变化及其影响[J].中国科学院院刊34(11): 1247-1253.DOI: 10.16418/j.issn. 1000-3045.2019.11.007 .
null
陈德亮, 徐柏青, 姚檀栋, 等, 2015.青藏高原环境变化科学评估: 过去、 现在与未来[J].科学通报60(32): 3025-3035.DOI: 10.1360/N972014-01370 .
null
邓明枫, 陈宁生, 王涛, 等, 2017.藏东南地区日降雨极值的波动变化[J].自然灾害学报26(2): 154-161.DOI: 10.13577/j.jnd. 2017.0218 .
null
高登义, 2008.雅鲁藏布江水汽通道[J].自然杂志30(5): 301-303.
null
高坛光, 2020.多年冻土退化, 会是下一个"后天"吗?[J].自然杂志42(5): 421-424.DOI: 10.3969/j.issn.0253-9608.2020. 05.010 .
null
高由禧, 蒋世逵, 张谊光, 等, 1984.西藏气候[M].北京: 科学出版社.
null
蒋靖海, 王澄海, 2020.北半球季节性冻融区与北半球夏季降水关系的研究[J].冰川冻土42(1): 53-61.DOI: 10.7522/j.issn. 1000-0240.2020.015 .
null
姜琪, 罗斯琼, 文小航, 等, 2020.1961-2014年青藏高原积雪时空特征及其影响因子[J].高原气象39(1): 24-36.DOI: 10. 7522/j.issn.1000-0534.2019.00022 .
null
李娟, 李跃清, 蒋兴文, 等, 2016.青藏高原东南部复杂地形区不同天气状况下陆气能量交换特征分析[J].大气科学40(4): 777-791.DOI: 10.3878/j.issn.1006-9895.1509.15197 .
null
李林, 陈晓光, 王振宇, 等, 2010.青藏高原区域气候变化及其差异性研究[J].气候变化研究进展6(3): 181-186.DOI: 10. 3969/j.issn.1673-1719.2010.03.005 .
null
李林, 王振宇, 汪青春, 等, 2008.青海季节冻土退化的成因及其对气候变化的响应[J].地理研究27(1): 162-170.DOI: 10. 3321/j.issn: 1000-0585.2008.01.018 .
null
刘晓琼, 吴泽洲, 刘彦随, 等, 2019.1960-2015年青海三江源地区降水时空特征[J].地理学报74(9): 1803-1820.DOI: 10. 11821/dlxb201909008 .
null
李文静, 罗斯琼, 郝晓华, 等, 2021.青藏高原东部不同季节积雪过程对地表能量和土壤水热影响的观测研究[J].高原气象40(3): 455-471.DOI: 10.7522/j.issn.1000-0534.2020.00001 .
null
马伟东, 刘峰贵, 周强, 等, 2020.1961—2017年青藏高原极端降水特征分析[J].自然资源学报35(12): 221-232.DOI: 10. 31497/zrzyxb.20201218 .
null
尼玛旦增, 2018.1980-2013年雅鲁藏布江流域气候要素时空特征[J].高原科学研究2(1): 38-45.
null
石磊, 杜军, 周刊社, 等, 2016.1980-2012年青藏高原土壤湿度时空演变特征[J].冰川冻土38(5): 1241-1248.DOI: 10.7522/j.issn.1000-0240.2016.0145 .
null
王绍令, 赵秀锋, 郭东信, 等, 1996.青藏高原冻土对气候变化的响应[J].冰川冻土18(S1): 157-165.
null
王顺久, 唐信英, 王鸽, 等, 2018.藏东南地区复杂下垫面地气交换观测试验研究[J].干旱区资源与环境32(2): 149-154.
null
吴小丽, 刘桂民, 李新星, 等, 2021.青藏高原多年冻土和季节性冻土区土壤水分变化及其与降水的关系[J].水文41(1): 73-78.DOI: 10.19797/j.cnki.1000-0852.20190430 .
null
许建伟, 高艳红, 彭保发, 等, 2020.1979-2016年青藏高原降水的变化特征及成因分析[J].高原气象39(2): 234-244.DOI: 10.7522/j.issn.1000-0534.2019.00029 .
null
杨逸畴, 高登义, 李渤生, 1987.雅鲁藏布江下游河谷水汽通道初探[J].中国科学(B辑)8(8): 97-106.
null
张宏文, 高艳红, 2020.基于动力降尺度方法预估的青藏高原降水变化[J].高原气象39(3): 477-485.DOI: 10.7522/j.issn. 1000-0534.2019.00125 .
null
张明礼, 温智, 薛珂, 等, 2016.降水对北麓河地区多年冻土活动层水热影响分析[J].干旱区资源与环境30(4): 159-164.
null
张文纲, 李述训, 庞强强, 2008.近45年青藏高原土壤温度的变化特征分析[J].地理学报63(11): 1151-1159.DOI: 10.3321/j.issn: 0375-5444.2008.11.004 .
null
周天军, 张文霞, 陈晓龙, 等, 2020.青藏高原气温和降水近期, 中期与长期变化的预估及其不确定性来源[J].气象科学40(5): 697-710.DOI: 10.3969/2020jms.0076 .
文章导航

/