论文

高寒山区固态降水观测对比研究

  • 陈普晨 ,
  • 李忠勤 ,
  • 王璞玉 ,
  • 贾玉峰 ,
  • 金爽
展开
  • 1. 西北师范大学地理与环境科学学院,甘肃 兰州 730070
    2. 中国科学院西北生态环境资源研究院冰冻圈科学国家重点实验室/天山冰川站,甘肃 兰州 730000
    3. 石河子大学理学院,新疆 石河子 832003

陈普晨(1997 -), 男, 甘肃靖远人, 硕士研究生, 主要从事寒旱区生态水文过程研究. E-mail:

收稿日期: 2021-09-14

  修回日期: 2022-03-07

  网络出版日期: 2023-01-13

基金资助

第二次青藏高原综合科学考察研究项目(2019QZKK0201); 中国科学院战略性先导科技专项(XDA20060201); 国家自然科学基金项目(41471058); 第三次新疆综合科学考察项目(2021xjkk0801)

Comparative Study of Solid Precipitation Observation in Alpine Mountains

  • Puchen CHEN ,
  • Zhongqin LI ,
  • Puyu WANG ,
  • Yufeng JIA ,
  • Shuang JIN
Expand
  • 1. College of Geography and Environment Science,Northwest Normal University,Lanzhou 730070,Gansu,China
    2. State Key Laboratory of Cryospheric Science/Tianshan Glaciological Station,Northwest Institute of Eco-Environment and Resources,CAS,Lanzhou 730000,Gansu,China
    3. College of Sciences,Shihezi University,Shihezi 832003,Xinjiang,China

Received date: 2021-09-14

  Revised date: 2022-03-07

  Online published: 2023-01-13

本文引用格式

陈普晨 , 李忠勤 , 王璞玉 , 贾玉峰 , 金爽 . 高寒山区固态降水观测对比研究[J]. 高原气象, 2023 , 42(1) : 116 -127 . DOI: 10.7522/j.issn.1000-0534.2022.00021

1 引言

降水是大气中最活跃的要素, 在各种大气过程中发挥着重要作用(刘奇和傅云飞, 2007), 同时, 降水量作为最重要的气象要素, 对一个地区或流域的水热状况起决定性作用, 也是气候分析、 水资源评价、 水分循环、 水量平衡、 水文模型等研究中必不可少的输入参数(杨大庆等, 1992a; 刘俊峰等, 2011)。高寒山区降水是区域水文循环中最重要的环节之一, 其变化可直接影响河川径流变化, 对陆面水文过程产生重要影响。然而, 受复杂地形和高寒条件的限制, 我国气象观测站点主要分布在海拔相对较低的平坦地区, 在高山区极为稀少, 造成高海拔地区降水监测数据匮乏(Zhang et al, 2014aCheval et al, 2014陈仁升等, 2014王磊等, 2017张正勇等, 2015刘燕等, 2019)。因此, 高寒山区固态降水观测研究一直是国内外学者关注的热点和难点问题, 尤其是不同降雨观测设备的涌现和对比研究, 为高精度降雨观测提出了新的机遇和挑战。
1985年世界气象组织开展了固态降水观测国际合作项目, 以双层垂直八角防风栅内放置的Tretyakov雨量筒为参考雨量筒, 于1986 -1993年期间对包括中国标准雨量筒(CSPG)在内的13个国家的雨量计在20个观测场内进行了对比观测(Goodison et al, 1998)。Smith et al(2020)通过比较Geonor T-200B3和OTT Pluvio2在不同防风配置下的测量值与WMO双防风圈(DFIR)的降水测量参考值来评估传递函数, 结果表明不同地点该函数的性能有很大差异, 而且降水相态、 仪器配置等都会对结果产生较大的影响。郑勤等(2018)在祁连山地区对TRwS204与中国标准雨量筒(CSGP)的降水观测比较得出, 造成仪器间观测差异的主要原因与雨量筒的形状有关, 而且在风速大于2 m·s-1时, 雨量筒的捕捉效率明显降低。徐洪雄等(2010)对PWS100、 VPF-730、 OWI-430、 凯迈四种天气现象仪进行对比得出: PWS100激光雨滴谱仪实际判断出的天气现象种类最多且累计降雨量与人工记录最为接近。
然而, 不同类型的雨量计由于其外形、 工作原理等差异, 受气流影响的程度也不尽相同, 甚至在同一地点的同一类型仪器之间也会存在差异。因此, 非常有必要开展高寒山区固态降水不同观测设备方法的对比研究。鉴于此, 本研究选择在乌鲁木齐河源区开展此项工作。Yang et al(1988, 1991), Goodison and Metcalfe(1992)在1985 -1991年间对乌鲁木齐河源区已经开展过系统的降水误差观测对比试验, 根据风速、 气温、 降水等气象要素的逐日观测资料对日降水进行修正, 在不同国家的应用均显示, 降水量有显著增加(降水量全球平均增加了11%)(Metcalfe et al, 1944; Yang et al, 1998aYe et al, 2004)。为了进一步推动该项工作, 天山冰川站在乌鲁木齐河源1号冰川末端架设了T-200B和PWS100两套仪器开展同步降水观测对比试验, 目前为止已经积累了丰富的数据资料, 可以为高寒山区固态降水观测对比研究工作的开展提供可靠支持。因此, 本研究拟通过对2018-2020年这两套仪器观测数据进行详细的对比分析, 一方面利用不同降水类型阈值温度对降水量进行修正, 另一方面从不同尺度开展降水量和降水日数对比研究, 并深入分析造成观测差异的可能原因, 评估优缺点, 从而为相关研究和在其他区域的应用提供科学参考。

2 研究区概况

乌鲁木齐河源区(43°05′N -43°09′N, 86°47′E -86°53′E, 3405~4486 m)位于亚洲中部中心地带天山东南部最高峰天格尔Ⅱ峰(Li et al, 2010)(图1)。该区共分布有7条冰川, 总面积为5.2 km2 Sun et al, 2015), 冰川作用区流域面积28.9 km2。乌鲁木齐河源1号冰川(43°06'N, 86°49'E)是其中面积最大的一条冰川, 2017年面积为1.54 km2, 是世界冰川监测服务处(WGMS)在中亚内陆干旱区的“参照冰川”和全球重点监测的十大现代冰川之一。本研究试验观测场便位于乌鲁木齐河源1号冰川末端基岩区(图2)。
图1 研究区位置与地形(等高线, 单位: m)

Fig.1 Sketch map showing of study area and the terrain (coutour, unit: m)

图2 气象观测场中的仪器配置

(a)PWS100, (b)T-200B, (c)自动气象站

Fig.2 The observation equipment of the observation field including PWS100, T-200B and automatic weather station

乌鲁木齐河源区地表覆盖除冰川区外, 以裸露基岩和广泛发育的鼓丘和羊背石等冰缘地貌为主(孙美平等, 2014)。夏季受西风环流的强烈影响, 降水主要集中在5 -9月(Zhang et al, 2014b), 以雪、 雹、 霰等固态降水为主, 冬季受西伯利亚反气旋环流控制, 使得冬季极寒且降水量小(Li et al, 2007), 多年平均降水量468 mm、 多年平均气温约为-5.1 ℃。

3 数据来源和方法介绍

3.1 观测数据

本研究采用的观测数据包括2018年5月1日至2020年4月30日PWS100和T-200B的日降水数据, 以及自动气象站内气温、 相对湿度和风速数据。两套仪器均位于1号冰川末端平坦冰碛垄上的气象观测场内(海拔3835 m), 相距约4 m(图2)。该处三面环山, 受强风影响小。PWS100数据包括日尺度连续降水、 粒子下落速度、 粒径、 降水类型等; T-200B数据包括日尺度连续降水。气温和相对湿度数据由HC2-S3仪[图2(c)]观测得到, 风速数据由Young 05103超声波风速仪[图2(c)]得出, 其分辨率为0.01 m·s-1, 精度为2%。

3.2 观测方法

3.2.1  PWS100降水观测

PWS100激光雨滴谱仪观测是基于激光多普勒测量原理(图3), 能够自动对降水量和可见气象因素进行测量。它由四张深度为0.4 mm、 间距0.4 mm的光片组成的结构化检测体构成, 探测面积约40 cm2。利用先进的探测技术和模糊运算法则, PWS100激光雨滴谱仪能够准确测量雨滴的尺寸和降水速度, 降雨总分辨率为0.0001 mm, 精度在10%以内。连接空气温湿度传感器后, 该传感器还可对气温及相对湿度进行测量, 使测量更加精确(Ellis et al, 2006刘胜男和王改利, 2020)。在自然降雨条件下, 激光雨滴谱仪的测量会受到多种因素的影响, 风可以改变激光束的方向、 速度和下落轨迹, 落在激光束边缘的液滴及其尺寸未被完全测量可能导致对其进行错误分类, 两个雨滴同时穿过激光束被检测为一个, 从而高估液滴尺寸(王俊等, 2021)。PWS100在其内置算法中假设雨滴在下降时会发生类似的扭曲, 并对降雨测量进行了某种校正且能同时输出错误粒子数和未知粒子数。先前的研究表明, PWS100观测到的直径在0.8 mm以下的雨滴数量较少, 而对较大的雨滴表现出更高的敏感性(Montero-Martínez et al, 2016Jia et al, 2020Campbell Scientific, 2015)。
图3 PWS100观测原理

Fig.3 Operating principle of measuring instrument PWS100

3.2.2  T-200B降水观测

T-200B称重式雨雪量计是由挪威气象科学研究院和挪威勘测设计院共同研制、 Geonor公司生产的雨雪量计(图4)。其口径为20 cm, 总容量为600 mm, 灵敏度为0.1 mm, 测量温度范围在-25~60 ℃, 适用于全年自动雨量测量。雨量筒外部配备有一个符合世界气象组织(WMO)的面积为200 cm2的承雨口采集桶。T-200B雨雪量计采用振弦式称重原理, 最多可同时配备3个传感器, 通过弦振荷载传感器称重, 基本可以忽略湿润损失, 此外在降水观测场的T-200B储集器中添加了防冻液及机油, 并加装防风护栏, 既可以防止水分蒸发对测量数据产生的影响, 亦可降低能源消耗。T-200B在全世界安装超过2000台。在SPICE项目中, T-200B被WMO广泛应用于液体和固体降水测量(Agenew and Space, 2013; Pierre et al, 2019)。
图4 T-200B观测原理

Fig.4 Operating principle of measuring instrument T-200B

研究表明, PWS100与传统的雨量计相比, 最大的优点是不仅可以分辨降水类型, 还可以提供降水粒子的大小和下落速度(Gires et al, 2016)。而在以往的研究中发现, T-200B在测量冬季降水时效果更好, PWS100则主要用于降雨的测量(Agnew and Space, 2013Gires et al, 2016Wauben et al, 2016Fortin et al, 2008)。

3.2.3 分析方法

T-200B的相对捕获率可基于其与风速之间的关系获得, Smith(2006)已采用DFIR和T-200B称重式雨雪量计的降水观测资料进行过对比分析, 具体可根据:
C E = T D F I R = e x p - 0.20 U a
式中: CE为相对捕获率(单位: %); T为T-200B实际观测值(单位: mm); D F I R为双栅栏参照雨量计降水量值(单位: mm); U a为雨量计器口高度日平均风速(单位: m·s-1)。
器口高度风速可根据已有研究(Goodison, 1998)计算得到:
U a = l g h / z 0 / l g H / z 0 × U H
式中: U a为雨量计器口高度风速(单位: m·s-1); h为器口距地面高度(单位: m); z 0 = 0.01为粗糙长度; H为测量高度风速(单位: m·s-1); U H为风速仪距地面的高度(单位: m)。
不同类型降水的相对捕获率与风速之间的关系(杨大庆等, 1988)如下:
C E s n o w = e x p - 0.056 U 10 × 100      0 < U 10 < 6.2
C E r a i n = e x p - 0.040 U 10 × 100      0 < U 10 < 7.3
C E m i x e d = C E s n o w - C E s n o w - C E r a i n × T d + 2 / 4
式中: C E s n o w C E r a i n C E m i x e d分别为降雪、 降雨和混合降水时的相对捕获率(单位: %); U 10为10 m标准高度风速(单位: m·s-1); T d为日平均温度(单位: ℃)。

4 结果与分析

4.1 降水类型的判断和特征

4.1.1 降水类型的判断

不同降水类型与气温存在密切的关系。表1为在研究时段内(2018年5月1日至2020年4月30日)PWS100数据显示的不同类型降水粒子随气温变化所占比重情况。从表1中可以看出, 降雪的温度阈值为-2.0 ℃, 在-2.0 ℃以下雪粒子占比达99.5%。但是, 从液态降水到固态降雪这一连续过程中并不存在一个台阶式的变化点来准确划分各种降水类型(Kochendorfer et al, 2017a)。乌鲁木齐河源区降水集中在夏季, 降水量年内变化呈单峰型(杨大庆等, 1992b)。夏季降水的特点是降水类型较多, 从持续时间较短的毛毛雨到大雨或阵雨, 强度和数量变化较大(Wolff et al, 2015), 会干扰降水类型的准确划分。通过对不同类型降水粒子在各温度段所占比重分析显示, 当气温大于6.5 ℃时, 降雨粒子占总量的85.3%, 所占比重大, 因此将6.5 ℃定为降雨的温度阈值。而在-2.0~6.5 ℃, 降雨粒子占50.6%, 降雪粒子占49.4%, 在该温度区间即为混合降水。
表1 不同类型降水粒子随气温变化所占比重

Table 1 The proportion of different types of precipitation particles along with the changing temperature

气温 毛毛雨/% 冻毛毛雨/% 雨/% 冻雨/% 总计/% 雪/% 雪花/% 冰丸/% 冰雹/% 雪丸/% 总计/%
<-2.0 ℃ 0 0.4 0 0.1 0.5 56.5 43.0 0 0 0 99.5
>2.0 ℃ 7.3 0.2 53.0 0 60.5 12.9 23.8 2.7 0.1 0 39.5
>2.5 ℃ 7.2 0.2 52.9 0 60.3 13.0 24.0 2.6 0.1 0 37.7
>3.5 ℃ 7.3 0.2 57.5 0 65.0 11.2 21.0 2.7 0.1 0 35.0
>4.5 ℃ 7.1 0.1 64.5 0 71.7 8.7 17.2 2.2 0.2 0 28.3
>5.5 ℃ 7.1 0.1 72.0 0 79.2 6.1 12.5 2.0 0.2 0 20.8
>6.5 ℃ 7.1 0.2 78.0 0 85.3 4.3 8.6 1.7 0 0.1 14.7
-2.0~6.5 ℃ 7.5 0.2 42.9 0 50.6 16.3 29.8 3.2 0.1 0 49.4
选取2018年6月14日至7月27日和2019年6月10日至7月24日共88天的数据(PWS100)对雨雪粒子比例与气温的关系进行研究。如图5所示, 气温与雨雪粒子比例之间存在明显的正相关性(R 2=0.51, n=88, p<0.01), 而且粒子比例对气温变化极为敏感, 当气温靠近雨粒子的阈值温度(6.5 ℃)时, 雪粒子数量急剧减少; 而当气温降低至雪粒子的阈值温度(-2.0 ℃)时, 雪粒子的数量又占据绝对优势。此外, 除雨雪粒子, 其他类型的粒子, 包括毛毛雨、 冻雨、 冰丸、 冰雹和霰, 在4 -8月间也明显增加, 特别是在6 -8月增加幅度更为明显。随着相对湿度的增加, 水滴在潮湿环境中出现雨夹雪的概率比在干燥环境中高(Kang and Ohmura, 1994), 所以其他类型粒子数量(即雨夹雪)的增加不仅与气温上升有关, 也与空气相对湿度有一定的关系。
图5 雨雪粒子比例与日平均气温差异

Fig.5 The difference between the proportion of rain and snow particles and the daily mean temperature

不同地区的降雨和降雪阈值存在较大差异。本文研究时段内, 降雪温度阈值-2.0 ℃, 与之前的研究结果相似, 但降雨的阈值温度为6.5 ℃, 稍高于以往的研究结果。以往在高寒山区的研究表明, 降雪温度阈值在-5.0~2.8 ℃, 降雨温度阈值在0~5.5 ℃(Kang and Ohmura, 1994Ding et al, 2014Kang et al, 1999)。本研究降雨温度阈值与以往有所差别, 可能是由于两方面的原因。首先, 在高海拔地区, 区分雨雪需要较高的阈值温度, 因为在高海拔地区气压低、 空气稀薄, 对雪粒的阻力较小。所以在这种环境条件下, 雪粒可以更快地降落到地面而不至于在落地前融化(Ding et al, 2014); 其次, 不同于以往研究采用的经验方法, 本研究中PWS100当前气象仪所测定的降雨和降雪阈值温度是基于单个降水粒子的数量, 更加准确和客观。

4.1.2 降水类型特征

降水类型对地表径流和能量平衡有较大的影响。如表2所示, PWS100不仅记录了降雨量, 而且区分了降水类型。按物理性质把降水分为9种类型: 毛毛雨、 冰毛毛雨、 雨、 冰雨、 雪粒、 雪、 雪花、 冰丸、 冰雹、 雪丸, 同时细分了不同类型的颗粒数。根据PWS100的观测结果, 研究时段内, 降水粒子以雪花粒子为主, 占总量的33%; 其次为雨粒子和雪粒子, 分别占总量的32%和28%; 液态粒子(毛毛雨、 冰毛毛雨、 雨、 冰雨)占总量的37%; 固态粒子(雪粒、 雪、 雪花、 冰丸、 冰雹、 雪丸)占总量的63%, 观测场以固态降水为主。
表2 不同类型降水粒子数量(PWS100

Table 2 The number of precipitation particles of different types by PWS100

月份 气温/℃ 湿度/% 毛毛雨 冻毛毛雨 冻雨 雪粒 雪花 冰丸 冰雹 雪丸
合计 -5.2 54 299431 29730 2055638 1829 1766214 2099073 113090 4665 2752
1月 -16.8 41 0 0 0 0 15253 3121 0 0 21
2月 -13.18 37 0 0 0 0 8583 1266 0 0 13.5
3月 -9.83 41 0 2 0 1 45863 25400 11 4 68
4月 -3.4 62 150 4096 10 273 210246 209998 301 138 203
5月 -1.74 58 287 1898 183 203 150091 136383 294 78 459
6月 2.26 75 38768 3665 223633 156 141914 246962 15161 475 128
7月 4.46 71 56374 704 384738 35 71847 143519 24458 989 71
8月 5.48 67 48146 2475 392144 117 75622 130409 12063 416 117
9月 1.03 56 5722 1219 2978 81 64230 85851 4244 220 122
10月 -5.12 53 0 828 0 49 46575 39963 12 16 45
11月 -11.06 46 0 9 0 1 45933 24764 0 0 123
12月 -15.32 42 0 0 0 0 6954 1904 3 0 9
月尺度上, 6 -8月粒子数量最多, 液态粒子占总粒子数的57%, 固态粒子占43%。其余月份以固态粒子为主, 占总量的96%。对比表2的月平均气温可以发现, 雨粒子从4月份以后开始出现, 但由于气温低(-3.4 ℃), 其数量远低于雪粒子的数量。6 -8月, 气温上升为正值, 平均温度为4.0 ℃, 雨粒子数量增加并超过雪粒子的数量。10月, 气温再次下降至零下(-5.1 ℃), 毛毛雨和雨粒子数量为0, 雪粒子数量增加。从粒子的分布来看, 每个月都能观测到的粒子为雪粒、 雪花和雪丸粒子。由于气温和相对湿度的影响, 其他6种粒子年内分布不均。

4.2  T-200B降水修正

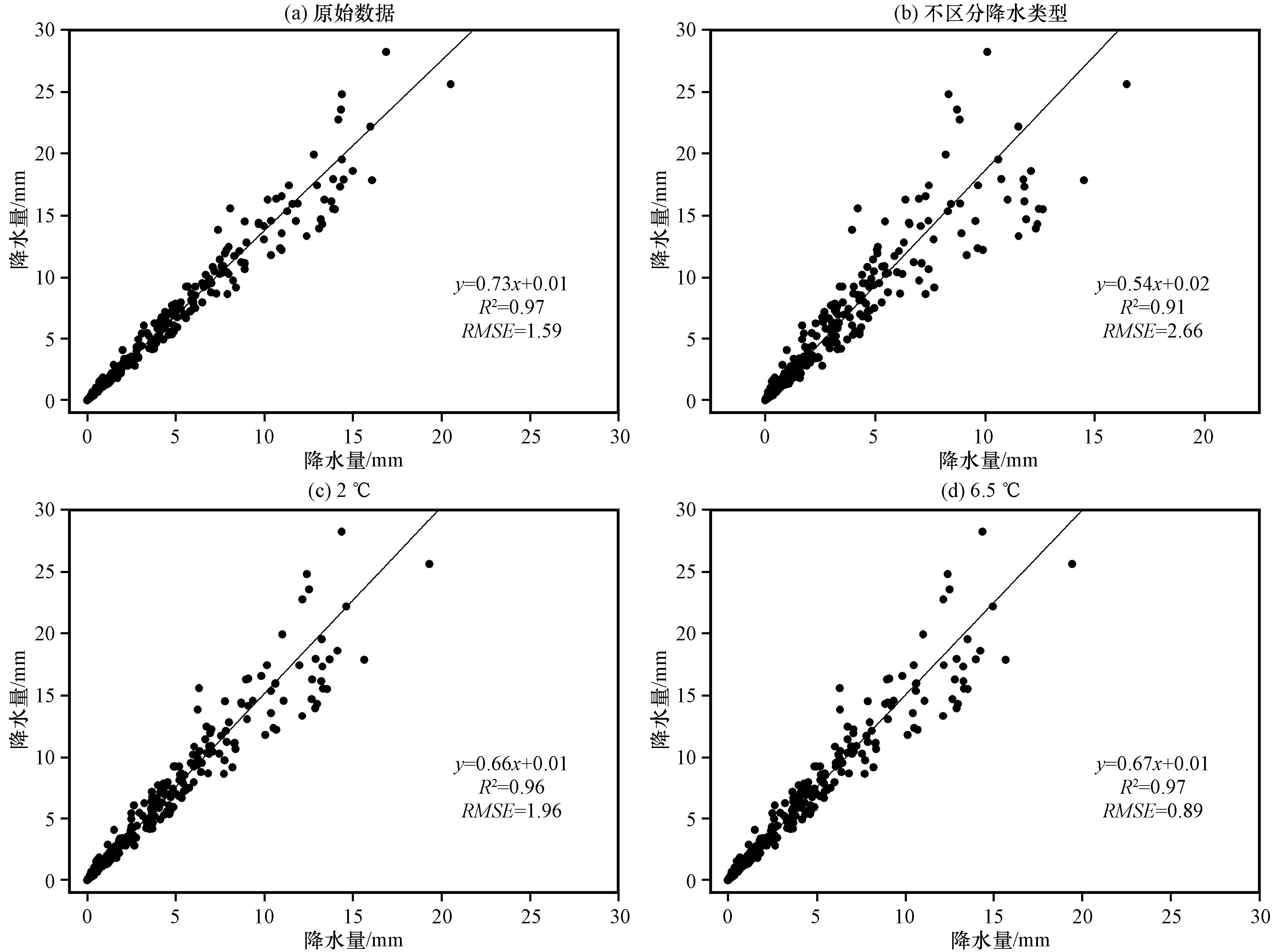
在上述降水类型判断的基础上, 采用式(3)对T-200B观测的降水量值进行修正。修正结果如图6所示, T-200B降水总积累量修正后为1202 mm, 占DFIR(总累积量1783 mm)的67%, 而未修正时降水总累积量为1376 mm。研究表明, T-200B低估了降水量, 但平均相对捕获率达到了87%。而不区分降水量时, 修正后的结果仅占DFIR的55%。1月、 3月和6月修正后降水量相较于原始值有所增加, 其余月份降水量减少, 7月减少量最多, 减少了47 mm。分析发现, 由于高寒山区特殊的地理位置与环境, 其降水类型、 结晶习性和气温之间的独特关系会导致校正后的测量误差。时间尺度引起的降水测量的差异远小于空间位置不同引起的差异。相比之下, 将修正方法应用到新地点时, 由于气候学变化而产生的误差将大于较长的测量频率所造成的误差(Kochendorfer et al, 2017b)。T-200B修正前后与PWS100观测结果的RMSE分别为6.01 mm和5.82 mm, 在一定程度上减小了两台仪器观测数据间的差异。如图7所示, 以往的降水观测和降水修正中提出了-2.0~2.0 ℃的划分方法用于区分降水类型(Smith, 20062007Wolff et al, 2015Smith et al, 2020)。应用此阈值修正的降水量与DFIR比较, RMSE为1.96 mm, 而应用6.5 ℃阈值, 修正后RMSE为0.89 mm。就本区域而言, 应用-2.0~6.5 ℃较为合理。
图6 不同温度阈值修正后的降水量

Fig.6 Precipitation corrected by different temperature thresholds

图7 不同温度阈值修正降水量结果对比

Fig.7 Comparison of corrected results by different temperature thresholds

4.3  T-200BPWS100降水观测对比

4.3.1 日尺度变化

研究时段内, T-200B测得总降水量为1202 mm, PWS观测降水量为1273 mm。相比之下, 两台仪器观测的降水量值较为一致(图8R 2=0.80, n=731, p<0.01)。由研究时段内降水量的差值随时间变化曲线(图9)可以看出, 两种仪器观测的降水量存在较小的季节差异, 其中6 -8月波动较大, PWS100比T-200B观测的降水量多出73 mm, 9月至次年5月少37 mm。造成这种波动的原因有: (1)不同仪器对于数据的存档及清空时间存在差异; (2)当降水粒子经过仪器时会受到仪器本身产生的气流畸变的影响, 导致粒子偏离而无法被测量到; (3)T-200B雨雪量计的周围布设了挡风板, 能够减弱仪器周围的气流畸变, 而PWS100周围未布设挡风圈, 会引起仪器捕获不足。
图8 PWS100与T-200B观测的日降水量相关性

Fig.8 Correlation of measured daily precipitation between PWS100 and T-200B

图9 研究时段内降水量差值变化

Fig.9 Variation of daily precipitation difference between PWS100 and T-200B

在研究时段内, T-200B与PWS100记录的降水总日数分别为366天和330天(图10), 这与T-200B观测到的降水量大于同期PWS100的降水量是相一致的。2套仪器同时记录的降水日数为307天, T-200B单独记录降水65天, 主要集中在冬季, PWS100单独记录降水67天, 分散比较均匀。造成两者差异的原因, 可能是由于T-200B会受到周围诸如风吹雪或矿物质粉尘的影响, 进而影响其精确性; 另一方面, PWS100对直径小于0.8 mm的雨雪颗粒敏感性较低, 而对大雨滴敏感性高(Fortin et al, 2008)。
图10 PWS100和T-200B测量的降水日数

Fig.10 Precipitation days measured by PWS100 and T-200B

4.3.2 月尺度变化

表3可以看出, T-200B和PWS100均显示该区降水量与降水日数主要集中在4 -9月。PWS100雨季观测到降水260天, 干季(10月至次年3月)降水70天, 雨季降水量1219 mm, 占降水总量的95%; T-200B雨季观测到降水272天, 干季降水94天, 雨季降水量1073 mm, 占降水总量的89%。T-200B观测的最大降水量在6月, 为142 mm; PWS100观测的最大降水量在7月, 为188 mm, 降水26天(2年平均)。与PWS100相比, T-200B在冬季记录的降水量和降水日数都较多, 其中, 1月(8.5 mm)和2月(5.5 mm)尤为明显。综合两年的数据可以看出PWS100在夏季测得降水较多, 而T-200B在冬季测得降水较多。
表3 T-200BPWS100观测降水量与降水日数比较

Table 3 Comparison of precipitation and precipitation days between T-200B and PWS100

月份 T-200B PWS100 气温 /℃ 风速 /(m·s-1
降水量 /mm 降水 天数 降水量 /mm 降水 日数
合计 1202.00 366 1273.30 330 -5.20 1.90
1月 9.11 7 0.58 7 -16.08 1.80
2月 5.70 5 0.25 2 -13.18 2.22
3月 16.10 11 7.13 9 -9.83 2.00
4月 73.25 18 73.53 19 -3.40 1.79
5月 54.15 21 46.62 19 -1.74 1.95
6月 141.73 26 132.53 26 2.26 1.25
7月 134.26 26 188.20 26 4.46 1.62
8月 95.84 27 124.20 26 5.48 1.63
9月 37.06 18 39.18 14 1.03 1.94
10月 22.25 12 17.10 14 -5.12 2.07
11月 5.92 7 6.78 6 -11.06 2.37
12月 5.48 6 0.43 3 -15.32 2.16

5 讨论

5.1 降水类型对降水观测的影响

降水类型对降水观测有着直接的影响, 无论是T-200B还是PWS100。上述研究表明, 在研究时段内, PWS100夏季(6 -8月, 2年平均)捕获的降水比T-200B高6 mm。而在其余月份, PWS100观测的降水量较T-200B少109 mm, 降水日数减少24天。同时由表3可以看出, PWS100记录的降水量越大, 相应的气温值也越高。冬季气温和降水量均低, T-200B测得的降水量及天数都要高于PWS100, 因此, 在降水量相对较小的月份, T-200B对降水的捕捉更有效。相应地, 同时段雨粒子数比雪粒子数多574, 150个。这就意味着当降水类型以降雨为主时, PWS100的观测值大于T-200B的观测值, 相反, 当以降雪为主时(冬季几乎无雨粒子), T-200B的观测值要大于PWS100。
液态降水占比重较大时, 仪器的捕获效率通常情况下不受风或其他气象因素的影响, 而当以固态降水为主时, 易受风等气候因素的影响(Wolff et al, 2015)。已有研究表明T-200B更适合于固态降水的测量(Campbell Scientific, 2015Michaelides et al, 2009), 这与本文的研究结果一致。由于全球气候变暖导致固态降水比例下降, 液态降水增多, 普通雨量计的观测值也有相应的增加。在研究时段内, 毛毛雨粒子占降雨总粒子数的14%, 而PWS100根据粒子直径划分降水类型, 其对于直径小于0.8 mm的粒子极不敏感, 降水量的估算以大雨滴为主。两种仪器在不同季节所表现出的差异主要是由雨雪比例不同造成的。但在现有的精度配置下, 两套仪器在观测高寒山区的降水时均有较好的表现。

5.2 风速对降水观测的影响

强风会影响仪器对降水的捕捉效率, 风会扰动PWS100的激光束, 从而对其测量精度产生影响, 并且会强烈干扰T-200B对固体降水的测量。Smith(2007)依据小时数据计算Geonor-DF的捕获效率, 并以此作为参考计算Geonor-Alt的捕获效率。研究发现, 在风速为1.2 m·s-1时, Geonor-Alt的捕获效率为100%。杨大庆等(1991)对乌鲁木齐河源区的固体降水进行了对比研究, 发现中国标准雨量计(类似于T-200B但无防风圈)的捕获率高达86.2%。降水研究时段内, 自动气象站平均风速1.9 m·s-1, 最大风速4.9 m·s-1, 最小风速0.08 m·s-1。风速在3~4.9 m·s-1之间共出现48天, 但绝大部分出现在干季(10 -12月, 1 -3月)。Smith et al(2017)利用世界气象组织(WMO)固体降水相互比较实验(SPICE)最近开发的传递函数, 可将T-200B由风引起的误差减小到3%, 并且可以作为真实降水的一个独立的、 有代表性的参考。研究表明, 乌鲁木齐河源区降水主要集中在风速较低的雨季(4 -9月)(Li et al, 2010Zhang et al, 2014bHagg et al, 2006), 平均风速为1.7 m·s-1, 捕获率(Catch Efficiency)在90%以上。而冬季降水少, 高降水量与强风在时间尺度上错开分布, 且风速小于6 m·s-1对雨量计测量几乎无影响(Fortin et al, 2008)。因此, 风对2套仪器的观测结果影响较小。

5.3 温度阈值对降水观测的影响

在全球变暖的背景下, 由于温度的升高导致固态降水的比例下降, 液态降水增多, 而液态降水的相对观测误差要小于固态降水, 因为雪花的观测误差范围随雪的形态和风速的影响变化较大。降水类型划分对于降水观测的修正就变得尤为重要。众多研究表明大气温度是决定降水类型的最为关键的因素(Wagner, 1957Bocchieri, 1980Fassnacht, 2004)。Yang et al(1998b)通过对不同区域和环境下的降水类型研究表明, 降水类型和气温存在明显的区域差异, 降雪发生的最高气温范围是 -4.1~2.5 ℃; 降雨的最低气温为-1.6 ℃; 而混合降水气温范围是-8.6~7.3 ℃。Upadhyay(1995)分析认为气温<0 ℃时98%的降水类型为固态降水。赵求东等(2014)对青藏高原中部唐古拉山多年冻土区进行降水修正时提出-2.5~4.0 ℃的温度阈值来划分降水类型, 与何晓波等(2009)的研究结果基本一致。而以往的降水观测和降水修正中多应用 -2.0~2.0 ℃的划分方法区分降水类型。本文所提出的-2.0 ℃最低降雨气温阈值与以往的研究结果类似, 而降雪的最高温度阈值(6.5 ℃)略高于其他人的研究结果。因此, 温度阈值的应用存在较大的时空变异性, 我们建议在天山等高寒山区划分降水类型时可以参考本研究结论。

6 结论

2018年5月1日至2020年4月30日在乌鲁木齐河源1号冰川末端自动气象站进行了PWS100当前气象仪和Geonor T-200B称重式雨雪量计的同步观测试验, 本文对取得的观测数据进行对比分析, 得出以下结论:
(1) T-200B降水总积累量修正后为1202 mm, 占DFIR(总累积量1783 mm)的67%, 低估了降水量, 但平均相对捕获率达到了87%。T-200B修正前后与PWS100观测结果的RMSE分别为6.01 mm和5.82 mm, 以往的降水观测和降水修正中提出了 -2.0~2.0 ℃的划分方法用于区分降水类型。应用此阈值修正的降水量与DFIR比较, RMSE为1.96 mm, 而应用6.5 ℃阈值, 修正后RMSE为0.89 mm。就本区域而言, 应用-2.0~6.5 ℃较为合理。
(2)在研究时段内, 两台仪器记录的降水较为一致大致相同(R 2=0.80, n=731, p<0.01)。PWS100共记录降水日数330天, 总降水量1273 mm; T-200B共记录降水日数366天, 总降水量1202 mm。但观测结果存在季节性差异, PWS100夏季(6 -8月, 2年平均)捕获的降水比T-200B高73 mm。而在其余月份, PWS100测得的降水量较T-200B少37 mm, 降水日数少24天。两台仪器在夏季观测得到的降水量差异较小, 而PWS100激光雨滴谱仪能够对降水类型进行划分, 且不同的降水类型对地表能量会产生深刻的影响, 因此在夏季降水量大、 降水类型复杂时, 应用PWS100较为合理; 而冬季降水量较少, 且PWS100对小雨滴并不敏感, 会导致捕获量的不足, T-200B更适用于观测固态降水。综合来看, 两套仪器在现有的精度配置下, 均可应用在高寒山区的降水观测研究中。
(3) PWS100的观测数据表明, 试验场以固态降水为主, 固体颗粒物(雪粒、 雪、 雪花、 冰丸、 冰雹、 雪丸)占总颗粒物的63%, 液体颗粒物(毛毛雨、 冰毛毛雨、 雨、 冰雨)占总量的37%。月尺度上, 6 -8月粒子数量最多, 液态粒子占总粒子数的57%, 固态粒子占总数的43%, 其余月份以固态粒子为主, 占总量的96%。

参考文献

null
Agnew J Space R A L2013.Final report on the operation of a campbell scientific PWS100 present weather sensor at Chilbolton Observatory[J].Science and Technology Facility Council: Swindon, UK, p.12.
null
Bocchieri J R1980.The objective use of upper air soundings to specify precipitation type[J].Monthly Weather Review108(5): 596-603.
null
Scientific Campbell, Inc, 2015.PWS100 present weather sensor; instruction manual[M].Revision 9/15; Campbell Scientific, Inc: Logan, UT, USA.
null
Cheval S Birsan M V DumitrescuDumit R A2014.Climate variability in the Carpathian Mountains region over 1961-2010[J].Global and Planetary Change, 118: 85-96.
null
Ding B H Yang K Qin J, et al, 2014.The dependence of precipitation types on surface elevation and meteorological conditions and its parameterization[J].Journal of Hydrology, 513: 154-163.
null
Ellis R A Sandford A P Jones G E, et al, 2006.New laser technology to determine present weather parameters[J].Measurement Science and Technology17(7): 1715-1722.
null
Fassnacht S R2004.Estimating Alter-shielded gauge snowfall undercatch, snowpack sublimation, and blowing snow transport at six sites in the coterminous USA[J].Hydrological Processes18(18): 3481-3492.
null
Fortin V Therrien C Anctil F2008.Correcting wind-induced bias in solid precipitation measurements in case of limited and uncertain data[J].Hydrological Processes: An International Journal22(17): 3393-3402.
null
Gires A Tchiguirinskaia I Schertzer D2016.Multifractal comparison of the outputs of two optical disdrometers[J].Hydrological Sciences Journal61(9): 1641-1651.
null
Goodison B E1992.The WMO solid precipitation intercomparison, Canadian Assessment[J].CIMO, International Organization Committee for the WMO Solid Precipitation Measurement Intercomparison.Sixth session.Final Rep, 5.Goodison B E, Metcalfe J R, 1992.The WMO solid precipitation inter-comparison: Canadian assessment[R].WMO/TD No.462, WMO, Geneva, 221-225.
null
Goodison B E1998.WMO solid precipitation measurement intercomparison, Final report[J].WMO Instruments and Observing Method Report, 67: 212.GoodisonB E, LouieP Y T, YangD Q, 1998.WMO solid precipitation measurement intercomparison: Final Report[R].WMO/TD-No.872, WMO, Geneva, 1-212.
null
Hagg W Braun L Weber M, et al, 2006.Runoff modelling in glacierized Central Asian catchments for present-day and future climate[J].Hydrology Research37(2): 93-105.
null
Jia Y F Li Zhong Z Q Xu C H, et al, 2020.A comparison of precipitation measurements with a PWS100 Laser sensor and a geonor T-200B precipitation gauge at a Nival Glacial Zone in Eastern Tianshan, Central Asia[J].Atmosphere11(10): 1079.
null
Kang E S Cheng G D Lan Y C, et al, 1999.A model for simulating the response of runoff from the mountainous watersheds of inland river basins in the arid area of northwest China to climatic changes[J].Science in China Series D42(1): 52-63.
null
Kang E S Ohmura A1994.Energy, water and mass balance, and discharge modeling in the Tianshan Glaciated Basin[J].Science in China Series B24(9): 983-991.
null
Kochendorfer J Nitu R Wolff M, et al, 2017b.Analysis of single-Alter-shielded and unshielded measurements of mixed and solid precipitation from WMO-SPICE[J].Hydrology and Earth System Sciences21(7): 3525-3542.
null
Kochendorfer J Rasmussen R Wolff M, et al, 2017a.The quantification and correction of wind-induced precipitation measurement errors[J].Hydrology and Earth System Sciences21(4): 1973-1989.
null
Li Z Q Li C J Li Y F, et al, 2007.Preliminary results from measurements of selected trace metals in the snow-firn pack on Urumqi glacier No.1, eastern Tien Shan, China[J].Journal of Glaciology53(182): 368-373.
null
Li Z Q Wang W B Zhang M J, et al, 2010.Observed changes in streamflow at the headwaters of the Urumqi River, eastern Tianshan, central Asia[J].Hydrological Processes: An International Journal24(2): 217-224.
null
Metcalfe J R Ishida S Goodison B E1994.A corrected precipitation archive for the Northwest Territorie[C]//Cohen S, editor.Proceedings of Sixth Biennial AES/DIAND Meeting on Northern Climate[C].Yellowknife: Environment Canada, 110-117.
null
Michaelides S Levizzani V Anagnostou E, et al, 2009.Precipitation Measurement, remote sensing, climatology and modeling[J].Atmospheric Research94(4): 512-533.
null
Montero-Martínez, Torres-Pérez E F García-García F2016.A comparison of two optical precipitation sensors with different operating principles: The PWS100 and the OAP-2DP[J].Atmospheric Research, 178: 550-558.
null
Pierre A Jutras S Smith C, et al, 2019.Evaluation of catch efficiency transfer functions for unshielded and single-Alter-shielded solid precipitation measurements[J].Journal of Atmospheric and Oceanic Technology36(5): 865-881.
null
Smith C D2006.Correcting the wind bias in snowfall measurements made with a GEONOR T-200B percipation gauge and alter wind shield[C/OL].//
null
Smith C D Amber R John K, et al, 2020.Evaluation of the WMO Solid Precipitation Intercomparison Experiment (SPICE) transfer functions for adjusting the wind bias in solid precipitation measurements[J].Hydrology and Earth System Sciences24(8): 4025-4043.
null
Smith C D Garth V K Lauren A, et al, 2017.Measuring precipitation with a geolysimeter[J].Hydrology and Earth System Sciences Discussions21(10): 5263-5272.
null
Smith C D2007.Correcting the wind bias in snowfall measurements made with a Geonor T-200B precipitation gauge and alter wind shield[J].Proceedings of the 14th SMOI, San Antonio, 20.
null
Sun M P Li Z Q Yao X J, et al, 2015.Modeling the hydrological response to climate change in a glacierized high mountain region, northwest China[J].Journal of Glaciology61(225): 127-136.
null
Upadhyay D S1995.Cold climate hydrometeorology[M].New York: John Wiley and Sons Inc, 105-111.
null
Wagner A J1957.Mean temperature from 1000 mb to 500 mb as a predictor of precipitation type[J].Bulletin of the American Meteorological Society38(10): 584-590.
null
Wauben W Mathijssen T Oudshoorn C2016.Field evaluation of sensors for precipitation type discrimination[C].In Proceedings of the WMO Technical Conference on Meteorological and Environmental Instruments and Methods of Observation (CIMO TECO 2016), Madrid, Spain, 27-30.
null
Wolff M A Isaksen K Petersen-?verleir A, et al, 2015.Derivation of a new continuous adjustment function for correcting wind-induced loss of solid precipitation: results of a Norwegian field study[J].Hydrology and Earth System Sciences19(2): 951-967.
null
Yang D Q1988.Research on analysis and correction of systematic errors in precipitation measurement in Urumqi River Basin, Tianshan[D].Thesis, Lanzhou Institute of Glaciology and Geocryology, Chinese Academy of Sciences, Lanzhou, China, 169.
null
Yang D Q Goodison B E Benson C, et al, 1998a.Adjustment of daily precipitation at 10 climate stations in Alaska: application of WMO Intercomparison results[J].Water Resources Research34(2): 241-256.
null
Yang D Q Goodison B E Metcalfe J R, et al, 1998b.Accuracy of NWS 8" standard nonrecording precipitation gauge: results and application of WMO intercomparison[J].Journal of Atmospheric and Oceanic Technology15(1): 54-68.
null
Ye B S Yang D Q Ding Y Z, et al, 2004.Abias-corrected precipitation climatology for China[J].Hydrometeor, 5: 1147-1160.
null
Zhang G F Li Z Q Wang W B, et al, 2014b.Rapid decrease of observed mass balance in the Urumqi Glacier No.1, Tianshan Mountains, central Asia[J].Quaternary International, 349: 135-141.
null
Zhang K X Pan S M Cao L G, et al, 2014a.Spatial distribution and temporal trends in precipitation extremes over the Hengduan Mountains region, China, from 1961 to 2012[J].Quaternary International, 349: 346-356.
null
陈仁升, 康尔泗, 丁永建, 2014.中国高寒区水文学中的一些认识和参数[J].水科学进展25(3): 307-317.
null
何晓波, 叶柏生, 丁永建, 2009.青藏高原唐古拉山区降水观测误差修正分析[J].水科学进展20(3): 403-408.
null
李忠勤, 2011.天山乌鲁木齐河源1号冰川近期研究与应用[M].北京: 气象出版社, 58-60.
null
刘俊峰, 陈仁升, 卿文武, 等, 2011.基于TRMM降水数据的山区降水垂直分布特征[J].水科学进展22(4): 447-454.
null
刘奇, 傅云飞, 2007.基于TRMM/TMI的亚洲夏季降水研究[J].中国科学D辑: 地球科学37(1): 111-122.
null
刘胜男, 王改利, 2020.DSD参数对双频雷达估测降水的影响研究[J].高原气象39(3): 570-580.DOI: 10.7522/j.issn.1000-0534.2019.00092 .
null
刘燕, 刘友存, 焦克勤, 等, 2019.1990年以来天山乌鲁木齐河上游水资源研究进展[J].冰川冻土41(4): 958-967.
null
孙美平, 姚晓军, 李忠勤, 等, 2014.天山东段冰雪消融与产汇流水文过程——以乌鲁木齐河源区为例[J].地理学报69(7): 945-957.
null
王俊, 王文青, 王洪, 等, 2021.短时强降水和冰雹云降水个例雨滴谱特征分析[J].高原气象40(5): 1071-1086.DOI: 10.7522/j.issn.1000-0534.2020.00091 .
null
王磊, 陈仁升, 宋耀选, 2017.高寒山区面降水量获取方法及影响因素研究进展[J].高原气象36(6): 1546-1556.DOI: 10. 7522/j.issn.1000-0534.2017.00007 .
null
徐洪雄, 陈渭民, 杜波, 2010.4种当代天气现象仪自动观测分析的比较研究[J].农技服务27(11): 1489-1492.
null
杨大庆, 姜彤, 张寅生, 等, 1988.天山乌鲁木齐河源降水观测误差分析及其改正[J].冰川冻土10(4): 384-399.
null
杨大庆, 康尔泗, Felix B1992b.天山乌鲁木齐河源高山区的降水特征[J].冰川冻土14(3): 258-266.
null
杨大庆, 施雅风, 康尔泗, 等, 1991.Results of Solid Precipitation Measurement Intercomparison in the Alpine Area of Rumqi River Basin[J].中国科学通报(英文版)36(13): 1105-1109.
null
杨大庆, 施雅风, 康尔泗, 等, 1992a.天山乌鲁木齐河流域降水观测系统误差分析和修正[C]//乌鲁木齐河山区水资源形成和估算[M].北京: 科学出版社, 14-40.
null
张正勇, 何新林, 刘琳, 等, 2015.中国天山山区降水空间分布模拟及成因分析[J].水科学进展26(4): 500-508.
null
赵求东, 叶柏生, 何晓波, 等, 2014.唐古拉山区Geonor T-200B雨雪量计日降水观测误差修正[J].高原气象33(2), 452-459.DOI: 10.7522/j.issn.1000-0534.2013.00013 .
null
郑勤, 陈仁升, 韩春坛, 等, 2018.祁连山TRwS204与中国标准雨量筒降水观测对比研究[J].高原气象37(3): 747-756.DOI: 10.7522/j.issn.1000-0534.2018.00039 .
文章导航

/