论文

巴山西段米仓山北坡近地面气温垂直变化特征

  • 戴进 ,
  • 赵奎锋 ,
  • 董自鹏 ,
  • 彭艳 ,
  • 徐小红 ,
  • 陈闯
展开
  • 1. 陕西省气象科学研究所,陕西 西安 710014
    2. 陕西省气象台,陕西 西安 710016
    3. 秦岭和黄土高原生态环境气象重点实验室,陕西 西安 710014

戴进(1966 -), 男, 江苏泰兴人, 正高级工程师, 主要从事云降水和气候研究.E -mail:

收稿日期: 2022-02-15

  修回日期: 2022-06-12

  网络出版日期: 2023-07-18

基金资助

国家自然科学基金项目(41905016); 陕西重点产业创新链(群)项目(2020ZDLSF06-02)

Vertical Variation of Near Surface Temperature on the Northern Slope of Micang Mountain in the Western Bashan Mountain

  • Jin DAI ,
  • Kuifeng ZHOU ,
  • Zipeng DONG ,
  • Yan PENG ,
  • Xiaohong XU ,
  • Chuang CHEN
Expand
  • 1. Meteorological Institute of Shaanxi Province,Xi’an 710014,Shaanxi,China
    2. Shaanxi Meteorological Observatory,Xi’an 710016,Shaanxi,China
    3. Key Laboratory of Eco-Environment and Meteorology for The Qinling Mountains and Loess Plateau,Shaanxi Meteorological Bureau,Xi’an 710014,Shaanxi,China

Received date: 2022-02-15

  Revised date: 2022-06-12

  Online published: 2023-07-18

本文引用格式

戴进 , 赵奎锋 , 董自鹏 , 彭艳 , 徐小红 , 陈闯 . 巴山西段米仓山北坡近地面气温垂直变化特征[J]. 高原气象, 2023 , 42(4) : 1055 -1068 . DOI: 10.7522/j.issn.1000-0534.2022.00061

1 引言

大巴山位于陕西、 重庆、 四川、 湖北四省交界, 为汉江与嘉陵江的分水岭, 是中国中亚热带气候和北亚热带气候的分界线, 是秦巴山区的重要组成部分。秦巴山区在中国气候、 地理和水文等领域具有举足轻重的地位。在秦巴山区复杂地形条件下, 山地气候及其变化对植被、 环境、 水文、 生态等系统过程及其变化具有重要影响, 对评估各系统对气候变化的响应具有重要意义(Becker and Bugmann, 2001)。
温度是许多陆面及环境过程的控制因子(Blandford et al, 2008Rolland, 2003), 也是气候的一个重要表征因子(Gardner et al, 2009), 是气候变化的重要组成部分。近地面温度递减率(γ)是一个重要的气候参量, 对于了解山地温度随高度的变化有着重要作用(翁笃鸣和孙治安, 1984Rolland, 2003Pepin and Kidd, 2006), 对于深入分析山地气候的垂直变化特征(Blandford et al, 2008Cullen and Marshall, 2011)和山地垂直气候带、 植被带的分布(刘华训, 1981Fang et al, 2002)、 对气候变化的响应等具有重要意义(Becker and Bugmann, 2001陈超男等, 2019)。
野外观测是获取山地近地面气温变化特征的主要手段之一。我国先后在秦岭山脉的太白山(傅抱璞等, 1982Tang and Fang, 2006)、 巴山(李兆元等, 1990)、 武夷山脉的黄岗山(林之光等, 1983郑成洋和方精云, 2004)、 横断山脉的高黎贡山(黄大华和傅绍铭, 1985)和哀牢山(刘玉洪等, 1996)、 大娄山脉的金佛山(周礼华等, 2019)、 祁连山(张虎等, 2001)、 长白山(田杰等, 2013)和青藏高原(杨兴国等, 2012秦翔等, 2013罗伦等, 2021)等山脉开展山地小气候野外观测, 研究了我国不同区域山地气温的变化特征及其递减率, 在亚热带丘陵山区开展了大量不同时空尺度的农业气候观测和考察, 在山地农业气候资源研究方面取得了大量研究成果(Zhang, 1992)。这对于深入了解不同气候带下的山地气候垂直变化特征及气温递减率(γ)具有重要意义。但野外观测以短期气候考察为主, 时间代表性不足。
近20多年来, 基于垂直递减率, 利用地理信息网格化方法, 形成格点数据, 研究山地近地面气温及其变化已成为另外的重要手段(傅抱璞, 1988李军和黄敬峰, 2004陆福志和鹿化煜, 2019)。所形成的高空间分辨率格点资料, 被广泛应用于气象、 水文、 生态等领域。但其所用的垂直递减率也是由周围气象台站气象要素随高度的变化计算得到。尽管时间代表性高, 但低海拔台站(1000 m以下)居多, 高海拔台站较少, 高度代表性比野外观测低。
山地气候特征主要由所处区域的天气气候所决定, 叠加山地地形影响, 局地性较平原地区大, 不同气候带下的山地气候特征及其垂直变化差异明显。另一方面, 山地气候要素尤其是温度垂直变化的时空变率较大, 影响因素较多(Blandford et al, 2008Cullen and Marshall, 2011)。在复杂山地, 需要设立较高密度和高时间分辨率的观测台站网才能获得更为完整的气候要素变化特征(Lundquist and Cayan, 2007Minder et al, 2010Rolland, 2003)。
随着自动气象观测设备的发展应用, 气象要素观测的时空密度有较大提高, 能更加客观地反映局地小气候特征。国内外许多学者, 利用布设在青藏高原和秦岭的剖面站(杨兴国等, 2012秦翔等, 2013罗伦等, 2021翟丹平等, 2016), 以及阿尔卑斯山脉(Rolland, 2003)、 美国喀斯喀特山脉(Minder et al, 2010)和落基山脉(Cullen and Marshall, 2011)等地的中尺度气象观测网多年的观测资料, 详细分析了山地温度的垂直变化及递减率。结果表明受气候和天气影响, 不同区域的γ存在明显的月季变化, 区域之间的差异也较大。在实际应用中, 需要通过较长时间的观测获得具有区域代表性的月、 季和年均γ值。
本研究基于陕西省气象局建立的秦巴剖面观测系统, 利用位于巴山西段米仓山北坡的6要素自动气象站2013 -2019年共7年的每日实测气温资料, 结合周围3个气象站资料, 分析不同高度上各站近地面气温的时空变化, 探讨巴山山地垂直气候带, 有助于深入了解复杂地形下气温垂直变化特征, 为气候变化、 生态监测和生态环境保护提供依据。

2 资料来源与处理

2.1 资料来源

秦巴山区原有气象站网中海拔1 km以上观测站点明显不足, 不利于详细了解区域内1 km以上气象要素分布特征。陕西省气象局从2011年开始, 建设了秦岭太白剖面观测系统。系统由19个6要素自动气象站组成, 2012年开始观测, 可为业务发展和科研提供基础观测数据, 为深化复杂地形下天气气候形成机理及提高人工影响天气作业科学性提供技术支撑。

2.2 资料处理

分析所用资料为秦岭太白剖面上位于米仓山北坡的黎坪1号、 黎坪2号、 五棵树、 双地沟等4个剖面站及周围汉中、 城固、 洋县等3个气象站(图1), 各站点的海拔依次为1876, 1567, 1280, 992, 509, 487和470 m。数据来自中国气象局CIMISS系统。温度资料包括日均气温、 日最高和日最低气温。由于剖面站布设在野外, 易受到雷电、 大风、 暴雨等恶劣天气影响, 时常出现缺测。在资料处理中, 根据剖面站和气象站温度的高相关性(参见3.1), 利用汉中气象站资料插补剖面站缺测的日均气温资料。
图1 站点空间分布(圆点)及其地形地势(彩色区, 单位: m)

Fig.1 Topography (color area, unit: m) and the geographic location of the meteorological stations (dot)

γ计算: 通常情况下, 温度随高度降低。利用温度和高度的回归统计即可求得γ。常见的方法有两种: 一是通过一天中各高度上的平均气温, 和高度建立回归关系, 计算每日γ, 再平均求得月、 季、 年的γBlandford et al, 2008Rolland, 2003); 二是先计算月、 季、 年的平均气温, 再和高度回归求γTang and Fang, 2006翟丹平等, 2016)。两种计算方法的结果比较表明, 所求得的γ相差无几。
环境大气γ计算: 剔除不多的过顶丢球资料外, 2017 -2019年汉中探空共有1075份和1081份(分别占3年资料的98.2%和98.7%)08:00和20:00的可用资料。鉴于秒级探空资料垂直分辨率为6 m左右, 对每份探空, 从550~7030 m每隔20 m取值, 获得325个高度上的气温值。同一高度上各日气温平均得到月平均气温。鉴于不同高度上气温递减率差异可能较大, 每隔100 m通过线性回归求得该高度上的γ

3 结果与分析

3.1 气象站和剖面站气温相关性分析

气象站资料经过严格的质量控制。图2给出了2013 -2019年双地沟站及黎坪1号站日平均气温与汉中气象站日平均气温的相关结果。结果表明, 4个剖面站和汉中气象站各日平均气温相关系数均大于0.97, 表明剖面站和气象站资料显著相关。
图2 2013 -2019年双地沟站及黎坪1号站剖面站与汉中气象站日均气温的相关

Fig.2 Correlation of daily average temperature between Hanzhong meteorological station and Shuangdigou as well as Liping No.1 profile stations from 2013 to 2019

3.2 近地面气温及其垂直变化

3.2.1 年平均气温

2013 -2019年, 米仓山北坡年均气温随高度增加而降低(表1), 在500 m、 1000 m、 1500 m和1800 m处分别为15 ℃、 12 ℃、 9 ℃和7 ℃左右, 总体呈线性下降趋势(图3中黑色线)。同一高度上年均气温相差不超过1 ℃。相对而言, 7年中年均气温在2014年较低, 2016年较高。
表1 米仓山北坡不同海拔高度的月平均气温和年平均气温

Table 1 Monthly average temperature and annual average temperature at different altitudes on the northern slope of Micang Mountain

海拔 /m 春季气温/℃ 夏季气温/℃ 秋季气温/℃ 冬季气温/℃

年均

气温 /℃

3月 4月 5月 平均 6月 7月 8月 平均 9月 10月 11月 平均 12月 1月 2月 平均
1876 3.27 8.15 10.69 7.37 14.65 16.82 16.35 15.96 11.95 7.25 2.20 7.13 -2.50 -3.85 -2.02 -2.81 6.96
1567 5.08 9.76 12.56 9.13 16.42 18.81 18.28 17.85 13.94 9.14 4.03 9.04 -0.71 -2.13 -0.18 -1.03 8.80
1280 7.87 12.86 15.35 12.02 19.12 21.21 20.96 20.44 15.96 11.36 5.99 11.10 1.66 0.47 1.88 1.32 11.27
992 8.49 13.41 16.09 12.66 19.93 22.20 21.97 21.38 16.98 12.15 6.72 11.95 2.12 1.02 2.73 1.93 12.03
509 12.28 17.45 20.53 16.74 24.41 26.91 26.92 26.10 21.15 15.95 9.96 15.69 4.81 3.79 5.99 4.83 15.90
487 11.71 16.84 20.04 16.19 24.15 26.73 26.50 25.81 20.81 15.49 9.46 15.26 3.93 2.98 5.41 4.07 15.39
470 11.64 16.64 19.99 16.09 24.09 26.73 26.53 25.80 20.90 15.55 9.46 15.31 3.81 2.94 5.34 3.99 15.35
图3 米仓山北坡年均气温、 年均最高气温、 年均最低气温、 积温和等效积温递减率

Fig.3 Temperature lapse rate of annual average temperature, maximum temperature, minimum temperature, active accumulated temperature and its equivalent accumulated temperature on the north slope of Micang Mountain

7年间, 年均γ为0.624±0.136 ℃·(100m)-1图3中黑线), 比较接近通常所认为的自由大气γ[0.60~0.65 ℃·(100m)-1], 但显著大于周边区域的已有研究结果。基于气象站资料计算的年均γ显示, 1951 -1980年, 巴山山北和山南分别为0.50 ℃·(100m)-1和0.62 ℃·(100m)-1李兆元等, 1990), 1962—2011年陕西区域处于0.4~0.5 ℃·(100m)-1Li et al, 2013), 1981 -2010年秦岭-大巴山为0.51 ℃·(100m)-1陆福志和鹿化煜, 2019), 2000 -2013年秦岭、 大巴山北亚热带混交林区为0.46 ℃·(100m)-1江净超等, 2016)。基于剖面梯度观测资料计算的年均γ显示, 1981年巴山北坡为0.56 ℃·(100m)-1李兆元等, 1990), 2013 -2015年秦岭太白山南、 北坡分别为0.513 ℃·(100m)-1和0.499 ℃·(100m)-1翟丹平等, 2016)。基于剖面站和气象站资料得到的γ均表现出一定的下降趋势, 但前者的γ值明显大于后者同期结果。
利用剖面观测资料得到的年均γ显著大于基于气象站资料的研究结果, 与剖面站观测结果大于气象站结果一致。这可能与剖面观测点设置在坡面上, 而气象站设置在比较开旷的平地或高地上有关(李兆元等, 1990)。剖面站所测的近地面要素, 应该更贴近实际状况, 所给出的γ对于所在区域具有更好的代表性。若要获取所在区域更具代表性的γ并应用形成格点气象数据, 空间分辨率较高的区域站资料将会发挥积极作用, 需要加以充分利用。
值得注意的是, 本文结果也大于邻近区域剖面观测结果, 表明近年来区域内γ下降趋势可能已经发生了逆转。过去几十年中, 尽管我国绝大多数地区年均γ随温度增加而增加, 但高原东侧的气温变化难以解释年均γ的变化, 两者呈现出反相关关系(Li et al, 2013)。Li et al(2015)分析了不同时间尺度气候因子对γ的影响, 发现海拔500 m以上气象站的年均γ随温度、 降水和云量的增加而降低, 三者的贡献率分别为36%、 22%和25%。实际上, 云量的增加表征了辐射的下降。图4给出了1961 -2018年陕西段秦巴山区海拔1000 m以上3个气象站(太白、 留坝和华山)与1000 m以下29个气象站日照时数差值随时间的变化。1961 -2008年, 高海拔地区与低海拔地区日照时数差值呈上升趋势, 和年均γ下降相对应, 而2008年后, 这一趋势明显改变, 日照时数差值呈下降趋势, 表明高低海拔处的辐射差异快速缩小, 造成γ上升。气溶胶的变化也能够部分解释γ的变化, 1980年以来, 秦岭及其周边地区边界层以上气溶胶减少, 而近地层气溶胶增加, 引起山上辐射增加、 山麓辐射减少(Dong et al, 2017), 导致γ下降。而2008年以后, 气溶胶出现与前期相反的垂直变化趋势, 也会引起γ的较快增加。以上分析表明, 近年来γ下降趋势发生逆转, 很大程度上是和高低海拔处的辐射差异快速缩小以及气溶胶与前期相反的垂直变化趋势相关。
图4 陕西段秦巴山区1961 -2018年海拔1000 m以上与1000 m以下气象站点日照时数差值随时间的变化

Fig.4 Temporal variation of sunshine hours difference between meteorological stations above 1000 m and below 1000 m at Qinba Mountain in Shaanxi Province from 1961 to 2018

巴山区域不同时期γ的对比表明, γ会随时间发生较大变化。如果趋势发生改变, 对于推算长时间序列格点气候资料时, 采用单一γ可能会导致精度的下降, 针对不同时期采用分段式的γ应该是比较合理的选择。
2013 -2019年各年的年均γ分别为0.625 ℃·(100m)-1、 0.634 ℃·(100m)-1、 0.608 ℃·(100m)-1、 0.635 ℃·(100m)-1、 0.614 ℃·(100m)-1、 0.633 ℃·(100m)-1和0.617 ℃·(100m)-1表2), 与7年年均γ相比变化较小, 相差-2.56%~1.76%, 表明各年年均γ变化比较稳定。
表2 米仓山北坡2013-2019年各月和年均近地面气温递减率

Table 2 Monthly and average annual lapse rate of near surface temperature on the north slope of Micang Mountain from 2013 to 2019

时间

平均值

/[℃·(100m)-1

标准差

/[℃·(100m)-1

气温递减率/[℃·(100m)-1
2013年 2014年 2015年 2016年 2017年 2018年 2019年
1月 0.506 0.121 0.500 0.468 0.455 0.518 0.506 0.509 0.589
2月 0.542 0.112 0.503 0.604 0.534 0.522 0.514 0.549 0.568
3月 0.617 0.099 0.569 0.660 0.587 0.611 0.674 0.582 0.633
4月 0.640 0.098 0.669 0.668 0.632 0.607 0.670 0.619 0.614
5月 0.685 0.087 0.693 0.682 0.669 0.669 0.706 0.689 0.689
6月 0.703 0.100 0.718 0.734 0.639 0.699 0.741 0.719 0.672
7月 0.736 0.100 0.665 0.804 0.779 0.749 0.769 0.729 0.657
8月 0.757 0.104 0.723 0.768 0.739 0.798 0.727 0.819 0.726
9月 0.654 0.101 0.702 0.602 0.643 0.694 0.602 0.670 0.665
10月 0.617 0.108 0.684 0.611 0.644 0.627 0.530 0.631 0.594
11月 0.543 0.100 0.547 0.564 0.471 0.607 0.519 0.545 0.546
12月 0.478 0.118 0.524 0.441 0.492 0.509 0.407 0.526 0.449
春季 0.647 0.099 0.644 0.670 0.629 0.630 0.683 0.630 0.646
夏季 0.732 0.103 0.702 0.769 0.720 0.749 0.745 0.756 0.685
秋季 0.605 0.113 0.645 0.592 0.587 0.643 0.550 0.615 0.601
冬季 0.508 0.120 0.509 0.501 0.493 0.516 0.474 0.527 0.534
0.624 0.136 0.625 0.634 0.608 0.635 0.614 0.633 0.617

粗体表示气温递减率的最大值

3.2.2 月平均气温

图5表1给出了米仓山北坡月均气温的时空变化, 由图5可知: (1)随高度增加, 月平均气温逐渐降低, 低层的降低幅度比高层大, 500~1000 m之间春夏季和秋冬季的月均气温的降幅为4~5 ℃和3~4 ℃, 1000~1800 m之间的降幅与500~1000 m之间的相当。(2)各高度上的月均气温在7月中旬达到最高, 1月最低; 气温年较差随高度降低, 低处为25 ℃, 高处为21 ℃左右。(3)比较而言, 春夏升温较慢, 秋冬降温快。(4)1000 m以下, 月均气温都高于0 ℃, 1500 m以上只有冬季气温在0 ℃以下, 其他月份在0 ℃以上。
图5 米仓山北坡月均气温(a)、 最高气温(b)、 最低气温(c)和日较差(d)随高度的变化

Fig.5 Variation of monthly average temperature (a), maximum temperature (b), minimum temperature (c) and daily range (d) with height on the north slope of Micang Mountain

表2给出了2013 -2019年米仓山北坡月、 季均γ。从表2中可以看出, 四季中夏季γ最高, 春季次之, 秋季再次, 冬季最小, 分别为0.732±0.103 ℃·(100m)-1、 0.647±0.099 ℃·(100m)-1、 0.605±0.113 ℃·(100m)-1和0.508±0.120 ℃·(100m)-1γ季节变化明显, 暖季(4 -9月)较高, 冷季(10月至次年2月)较低。这和国内外的大量研究结果一致(Pepin and Kidd, 2006Rolland, 2003Tang and Fang, 2006Blandford et al, 2008Gardner et al, 2009Minder et al, 2010Li et al, 20132015)。这一变化的主要原因之一是其由太阳辐射的强弱所决定的(Li et al, 2013), 辐射增加会使下垫面对大气的加热作用加强, 低层比高层加热更明显会造成春夏季的递减率比秋冬季大。另外一个原因可能是研究区域处于米仓山背风坡有关, 暖季北坡气流下沉增温的焚风效应使γ增加。月均γ在12月最小, 随月份逐步增加, 8月达0.757 ℃·(100m)-1最大后, 再逐步减小。4 -9月的月均γ接近或超过自由大气γ, 这比距离较近的秦岭南北坡、 金佛山西坡剖面观测的月均γ大(傅抱璞等, 1982Tang and Fang, 2006翟丹平等, 2016周礼华等, 2019)。与利用气象站资料所计算的秦岭 -大巴山的γ相比(陆福志和鹿化煜, 2019), 各月和季均γ都要大, 也反映了剖面站资料计算的γ大于气象站资料计算结果。
各年月均γ的变化(表2)稍有不同, 7年中分别有3年(4年)的月均γ在7月(8月)达最大, 有3年(4年)的月均γ在1月(12月)达最小。同一月份γ有一定差异, 标准差为0.09~0.13 ℃·(100m)-1
为了解逐日γ变化, 绘制了其箱形图(图6)。日均气温γ的变化幅度较大, 暖季和冷季分别在0.4~1.0 ℃·(100m)-1和0.2~0.9 ℃·(100m)-1。各月其四分位距(IQR)介于0.10~0.16之间, 表明绝大多数都在中位数±0.1 ℃·(100m)-1之间变化[图6(a)], 和各月标准差一致。异常值占比为0.5%~3.3%, 且处于温和异常值范围。
图6 米仓山北坡日均气温(a)、 最高气温(b)和最低气温(c)递减率箱形图

Fig.6 Box-plot of lapse rate for daily average temperature (a), maximum temperature (b) and minimum temperature (c) on the north slope of Micang Mountain

3.3 近地面日最高/最低气温及其垂直变化

3.3.1 日最高/最低气温

年均日最高/最低气温也是随高度增加而降低[图5(b), (c)]。年均最高气温在500 m、 1000 m和1800 m分别为21 ℃、 15 ℃和12 ℃左右。月均最高气温在7月达到最高, 从500 m的32 ℃下降到1800 m的22 ℃, 1月最低, 从500 m的8 ℃下降到1800 m的1 ℃[图5(b)]。最高气温年均γ为0.646±0.185 ℃·(100m)-1图3中红色线)), 春、 夏、 秋、 冬季均γ分别为0.691±0.146 ℃·(100m)-1、 0.759±0.150 ℃·(100m)-1、 0.587±0.167 ℃·(100m)-1和0.542±0.191 ℃·(100m)-1。月均γ在12月最小, 随月份逐步增加, 8月达最大, 随后减小(图6b)。全国年均最高气温γ绝大部分在0.4~ 0.7 ℃·(100m)-1, 高于0.7 ℃·(100m)-1的区域位于华北平原的西北部、 大兴安岭、 青藏高原和云贵高原, 而西南区域(如四川)为低值区之一, 只有0.5 ℃·(100m)-1Li et al, 2013)。
逐日最高气温γ比日均气温γ的变化幅度大, 暖季和冷季分别在0.3~1.1 ℃·(100m)-1和0.1~1.0 ℃·(100m)-1。各月IQR处于0.16~0.23, 表明绝大多数都在中位数±0.2 ℃·(100m)-1之间变化[图6(b)]。温和异常值占比为1.0%~3.7%。
年均最低气温在500 m、 1000 m和1800 m分别为12 ℃、 9 ℃和4 ℃左右。月均最低气温在7月中旬达到最高, 从500 m的23 ℃左右下降到1800 m的13 ℃左右, 1月最低, 从500 m的0 ℃左右下降到1800 m的-7 ℃左右[图5(c)]。日最低气温年均γ为0.606 ℃±0.166 ℃·(100m)-1图3中绿色线), 春、 夏、 秋、 冬各季节的平均γ分别为0.626±0.122 ℃·(100m)-1、 0.708±0.136 ℃·(100m)-1、 0.601 ±0.142 ℃·(100m)-1和0.486±0.179 ℃·(100m)-1。12月最小, 8月最大[图6(c)]。
逐日最低气温γ与日均气温γ的变化幅度相当, 暖季和冷季分别在0.3~1.0 ℃·(100m)-1和0.10~1.00 ℃·(100m)-1。各月IQR处于0.13~0.20, 表明绝大多数都在中位数±0.15 ℃·(100m)-1之间变化[图6(c)]。温和异常值占比为1.0%~2.3%。
年均而言, 日最高气温γ最大, 平均气温γ其次, 日最低气温γ最小。由标准差可见三者的变化幅度, 也是日最高气温γ大于平均气温γ大于日最低气温γ。季节变化明显, 皆以夏季最大, 春季次之, 秋季再次, 冬季最小。这些也与国内外大量研究结果吻合(Pepin and Kidd, 2006Rolland, 2003Tang and Fang, 2006Blandford et al, 2008Gardner et al, 2009Minder et al, 2010Li et al, 20132015)。

3.3.2 日较差

年均日较差在各高度上的差异不明显, 在7~10 ℃, 1280 m附近最小, 为7.1 ℃, 1567 m和470 m处相当, 为9.6 ℃和9.8 ℃。与秦岭南北坡相似, 日较差和高度之间并不存在显著的线性统计相关(Tang and Fang, 2006), 可能和最高气温与最低气温的递减率同步有关[图6(b), (c)]。月均日较差[图5(d)]在早春达到最大, 然后逐渐下降, 夏季基本稳定, 秋季再下降, 仲秋稳定后增加。年较差随高度增加呈线性下降(其拟合式为T 年较差=-0.00255x+25.305, R 2 =0.9291)。

3.4 积温及其垂直变化

积温对于确定气候带、 植被生态系统的生长期具有重要意义, 如1月0 ℃等温线、 日平均气温稳定≥10 ℃的天数是划分气候带的重要指标(郑景云等, 2013李双双等, 2018), 也是研究气候变化的主要参数之一。
随高度增加, 米仓山北坡稳定通过0 ℃、 5 ℃和10 ℃等温度阈值的初日推后, 终日提早, 间隔日数缩短, 对应的积温值也不断下降(表3)。
表3 米仓山北坡不同海拔日平均气温≥0 ℃5 ℃10 ℃的有效积温及持续天数

Table 3 Duration and accumulated temperature for daily mean temperature0 ℃5 ℃ and 10 ℃ on the north slope of Micang Mountain

海拔/m 日平均气温≥0 ℃ 日平均气温≥5 ℃ 日平均气温≥10 ℃

初日

(月-日)

终日

(月-日)

持续天数/d

积温

/℃

初日

(月-日)

终日

(月-日)

持续天数/d

积温

/℃

初日

(月-日)

终日

(月-日)

持续日数/d

积温

/℃

1876 02-22 12-03 288 2789.4 03-05 11-10 233 2742.3 05-04 10-09 160 2256.6
1567 01-28 12-09 313 3306.9 03-13 11-16 247 3247.1 04-15 10-15 183 2792.8
1280 01-10 11-22 323 3790.4 02-26 11-17 271 3770.3 03-28 10-30 209 3416.3
992 01-01 12-01 331 4343.4 02-23 12-01 284 4270.3 03-23 11-04 228 3912.9
509 01-01 12-20 343 5712.2 01-21 12-20 323 5651.2 02-28 11-21 260 5281.2
487 01-01 12-20 341 5545.7 01-30 12-10 314 5468.9 03-01 11-19 259 5157.9
470 01-01 12-20 341 5532.1 01-29 12-10 314 5457.8 03-01 11-18 258 5144.0

初日和终日为7年初日和终日的中值, 持续天数和积温为7年平均

≥10 ℃积温在500 m、 1000 m、 1500 m和1800 m分别为5100 ℃、 3900 ℃、 2800 ℃和2200 ℃左右, 各高度积温递减率十分接近, 约213 ℃·(100m)-1图3中橘色线)。等效积温递减率为188 ℃·(100m)-1图3中紫色线)。在500 m高度上, 日平均气温≥0 ℃、 5 ℃和10 ℃的积温值分别约为5500 ℃、 5400 ℃和5100 ℃, 通过对应温度阈值的初日为1月初、 1月底和3月初, 相差1个月, 通过对应温度阈值的终日为12月中旬、 12月上旬和11月中旬, 相差不足1个月。在1000 m高度上, ≥0 ℃、 5 ℃和10 ℃的积温值分别约为4300 ℃、 4200 ℃和3900 ℃, 初日为1月上旬、 2月下旬和3月下旬, 终日为12月下旬、 11月下旬和11月初。在1500 m高度上, ≥0 ℃、 5 ℃和10 ℃的积温值分别约为3300 ℃、 3200 ℃和2700 ℃, 初日为2月初、 3月中旬和4月中旬, 终日为12月上旬、 11月下旬和10月中旬。高度愈高, 稳定通过温度阈值的持续天数愈短, 每升高100 m, ≥0 ℃、 5℃ 和10 ℃的积温持续天数分别减少3.4, 6.1和7.0天。

3.5 环境大气气温递减率

探空可以反映环境大气气温随高度的变化(Blandford et al, 2008Pepin and Seidel, 2005)。为了比较近地面和环境大气γ的差异, 分析了与剖面站相邻的汉中探空站气温随高度的变化及其γ
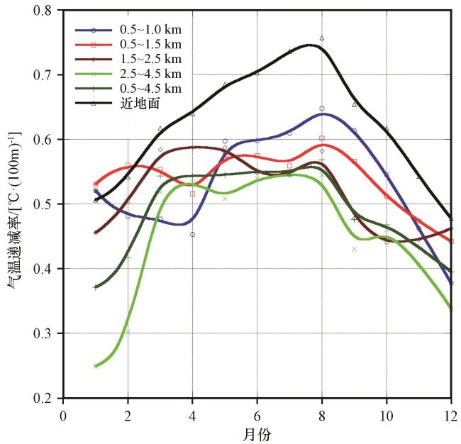
图7(a)和图7(b)分别给出了2017 -2019年汉中探空站08:00和20:00的月平均气温廓线, 从中可以看出: (1)气温随高度的变化呈现出明晰的层次性, 特别是4.0~4.5 km上下的气温变化存在明显差异, 从上到下可以分为4.5 km以上、 2.5~4.5 km, 1.0~2.5 km和0.5~1.0 km等4个层次。(2)总体上, 气温随高度增加而降低, 不同高度上降幅有所不同。(3)逆温对于气温随高度分布的影响明显, 冬春季在近地面层和2.5~4.5 km高度层能够明显看到边界层逆温和青藏高原东侧对流层中层逆温(Li et al, 2012)所形成的“双重”逆温[图7(c), (d)]。大量探空分析表明边界层逆温在各地是普遍存在的(卢萍等, 2017), 主要由辐射逆温所致。青藏高原东侧对流层中层逆温是中国中部区域对流层中层(4.0 km上下)气温的典型特征, 除夏季外, 其他几个季节均可出现, 取决于其地理位置及冷锋系统, 主要是由中国北方低层的冷平流和中国西部(青藏高原为主)和南方高层的暖平流沿高原地形相向运动所致(Li et al, 2012)。(4)08:00和20:00的气温有一定差异, 边界层下层20:00比08:00高4~5 ℃, 再向上两个时次的温差逐渐减少直至接近。08:00冬季存在明显的逆温, 而20:00较少。(5)季均气温中夏季最高, 秋季次之, 春季再次之, 冬季最低。各月气温中8月、 7月、 6月、 9月和5月依次较大, 10月和4月相差不大, 11月和3月相当, 12月和2月接近, 1月最小。(6)除气温的自然变化外, 各层次内气温变化体现了不同影响因素的作用。0.5~1.0 km边界层下层主要体现了下垫面对气温的影响; 2.5 km以下主要体现了本地地形(米仓山陕西段主峰高2543 m)和下垫面对气温的影响; 4.5 km以下反映了秦岭地形(秦岭西段的太白山高达3767 m)、 本地地形和下垫面对气温变化影响的综合作用。通常周围无较大地形的平原, 近地面向上几百米后气温变化就基本稳定。但汉中尽管处于江汉平原, 在4.5 km以上气温变化才基本平稳, 说明环境大气气温受高原大地形和周围局部地形的影响较大。类似地, 高原东侧的四川境内不同海拔台站的探空资料分析也表明, 高海拔测站(2~3 km)离地面2.0 km上方气温随高度的变化才较为一致(卢萍等, 2017), 周围大地形对环境大气气温有较大影响。
图7 2017 -2019年汉中探空获得的08:00和20:00各月平均气温廓线(a, b)及其递减率(c, d)

Fig.7 Monthly average temperature profiles (a, b) and their lapse rates (c, d) from sounding at Hanzhong at 08:00 and 20:00 during 2017 -2019

4.5 km以上, 冷季γ大于0.6 ℃·(100m)-1, 暖季小于0.6 ℃·(100m)-1, 年平均为0.621 ℃·(100m)-1, 春、 夏、 秋和冬季平均为0.636 ℃·(100m)-1、 0.526 ℃·(100m)-1、 0.612 ℃·(100m)-1和0.715 ℃·(100m)-1表4图7(c), (d)]。冷季受西北风控制, 大气中水汽含量少, 倾向于干绝热降温为主[γ为0.98 ℃·(100m)-1左右], 整体γ偏大, 如1月份20:00在5900 m附近γ最大达到0.825 ℃·(100m)-1。暖季受西南风控制, 大气中水汽含量多, 易形成降水, 倾向于湿绝热降温, 湿绝热γ为0.42℃·(100m)-1Dodson and Marks, 1997), 使得递减率变小, 如8月份08:00在5100 m为0.352 ℃·(100m)-1, 20:00在5300 m为0.35 ℃·(100m)-1。这两点也是干冷地区递减率偏大、 暖湿地区递减率偏小的主要原因(Tang and Fang, 2006Blandford et al, 2008Minder et al, 2010Li et al, 20132015)。4.5 km以上气温γ反映了对流层中层以上气温随高度的变化, 主要由大气中的水汽多寡决定, 基本上不受低层下垫面和地形的影响。
表4 不同高度层之间的月平均气温递减率

Table 4 Monthly average temperature lapse rate between different altitudes from sounding

时间 气温递减率/[℃·(100m)-1
0.5~1.0 km 1.0~2.5 km 2.5~4.5km 4.5 km以上 0.5~2.5 km 0.5~4.5 km 0.5~7.0 km
1月 0.521 0.484 0.249 0.727 0.493 0.371 0.508
2月 0.481 0.548 0.302 0.714 0.532 0.417 0.531
3月 0.477 0.600 0.518 0.684 0.569 0.544 0.598
4月 0.453 0.585 0.534 0.646 0.552 0.543 0.583
5月 0.597 0.576 0.508 0.578 0.581 0.545 0.557
6月 0.598 0.549 0.539 0.531 0.561 0.550 0.543
7月 0.609 0.532 0.545 0.531 0.552 0.548 0.542
8月 0.648 0.573 0.545 0.517 0.592 0.568 0.548
9月 0.614 0.491 0.430 0.540 0.522 0.476 0.501
10月 0.545 0.453 0.460 0.601 0.476 0.468 0.519
11月 0.462 0.458 0.407 0.695 0.459 0.433 0.534
12月 0.377 0.478 0.338 0.703 0.452 0.395 0.513
春季 0.509 0.587 0.520 0.636 0.567 0.544 0.579
夏季 0.618 0.551 0.543 0.526 0.568 0.555 0.544
秋季 0.540 0.467 0.432 0.612 0.486 0.459 0.518
冬季 0.460 0.503 0.296 0.715 0.492 0.394 0.517
0.533 0.527 0.449 0.621 0.528 0.488 0.539

加粗字体表示不同高度层上季均γ的最大值

0.5~1.0 km边界层下层γ主要受太阳辐射加热和逆温的影响。春、 夏、 秋和冬季平均为0.509 ℃·(100m)-1、 0.618 ℃·(100m)-1、 0.540 ℃·(100m)-1和0.460 ℃·(100m)-1表4), 夏秋季逆温较冬春季少很多, 即使有逆温存在, 强度也较弱, 主要由太阳辐射加热所决定, 导致夏秋季的γ比春冬季大, 春季次之, 冬季最小。1.0~2.5 km这一层, 边界层下层的影响逐渐减小, 春夏季γ变化不大, 处于0.50~0.60 ℃·(100m)-1, 冬季次之, 秋季最小。2.5~4.5 km这一层, 受到对流层中层逆温的影响, 冬季γ明显偏小, 秋季次小, 春夏季相当, 为0.50~0.55 ℃·(100m)-1。这两个层次上秋季γ偏小的原因可能还和华西秋雨有关。
对比探空所给出的环境大气γ和近地面γ, 近地面各月γ图8中黑线)比环境大气γ要大。由于频繁的逆温弱化了温度和高度之间的关系(Marshall et al, 2007), 1 -4月近地面γ与0.5~1.0 km高度层γ图8中蓝线)反位相, 5月后与0.5~1.0 km高度层γ的变化位相类似。总体上近地面γ和环境大气γ有较大差异。而Minder et al(2010)的研究认为沿海丘陵地形下两者之间的变化位相高度相似, 数值接近, 近地面γ总体上受环境大气气温γ所控制。但由于本研究区域复杂的地形条件和冬春季频繁的逆温, 使得这一控制关系变得更为复杂。
图8 近地面各月气温递减率和不同高度间环境大气气温递减率的对比

Fig.8 Comparison of monthly temperature lapse rate of near the surface temperature with that of ambient atmospheric temperature at different altitudes from sounding

3.6 垂直气候带

山区气温垂直变化决定了山区的垂直气候带。区域所处的温度带常被用来概括区域的主要气候特征。这些温度带是基于影响区域的主要气候因子, 通过气候指标对气候实行分区(郑景云等, 2013李双双等, 2018陈明荣, 1990)。实际温度带是受影响温度的水平或纬向因素(如太阳高度)和垂直或经向因素(如地形)的共同作用所形成。当水平或垂直因素起决定性作用时, 气候带由水平或垂直温度带主导。以往气候区划中, 气候带划分大部分是以水平温度带的一级指标为主, 当碰到如青藏高原、 秦岭、 横断山脉等大地形时, 采用一个考虑了大地形的垂直气候带二级指标(郑景云等, 2013), 用于划分大范围如中国区域的气候带。但这些指标在划分省级或更小尺度区域的气候带时, 尤其像从大巴山、 汉江谷地到秦岭这样地形起伏大、 范围较小的区域, 气候分区就会出现同一个气温值会对应不同的生态或气候含义, 或者按水平和垂直温度带指标会划出不重合的气候带界限(陈明荣, 1992)。
等效积温 T e f f概念的提出, 较好解决了水平温度带和垂直温度带划分指标不统一的问题, 较好兼顾了气候带的水平因素和垂直因素。基于它的气候带划分指标列于表5陈明荣, 19901992)。
表5 温度带划分指标(陈明荣, 1990

Table 5 The indexes of climate regionalizationfrom Chen Mingrong1990

温度带 主要指标 T e f f/℃ 辅助指标
南亚热带 6500~8000
中亚热带 5400~6500
北亚热带 4500~5400 1月平均气温0~5℃
暖温带 3500~4500 1月平均气温<0 ℃, 年极端最低气温<-28 ℃
中温带 1700~3500 年极端最低气温-48 ℃~-28 ℃
冷温带 <1600 年极端最低气温<-48 ℃, 7月平均气温≥10 ℃
由等效积温回归方程(图3)可推知: 汉中、 城固和洋县所处的500 m附近, 等效积温比5400 ℃稍高一点, 应该是北亚热带的下限。4500, 4000, 3500, 2600和1700 ℃等效积温的下限分别处于996 m, 1260 m, 1526 m, 2000 m和2482 m。根据表5的温度带指标, 米仓山北坡的垂直气候带可分为北亚热带、 暖温带和中温带, 分别处于500~1000 m、 1000~1500 m和1500~2500 m, 与米仓山北坡3个垂直植被带(薛智龙和王俊明, 2010)相对应。
米仓山北坡的第一个垂直气候带为北亚热带, 常称为基带, 处于北坡下部, 其下限在500 m 附近, 上限为1000 m附近。在500 m和1000 m处, 年平均温度分别为16 ℃和12 ℃, 1月平均温度分别为4 ℃和1 ℃, 年平均降水量分别为830 mm和1100 mm。这一基带和秦岭南坡基本处于同一区域, 分布高度也非常接近(陈明荣, 1992)。北亚热带常绿阔叶林是该气候带内的主导植被类型。据2003 -2018年卫星资料分析, 在巴山不同植被类型中, 常绿阔叶林占总面积的21.75%左右, 500~1000 m的高度内, 常绿阔叶林占总面积的10.9%左右(邵周玲等, 2021), 占常绿阔叶林的50%。根据野外调查结果(薛智龙和王俊明, 2010), 米仓山北坡与这一气候垂直带所对应的植被带, 处于山脚到1200 m之间, 为低山森林、 灌丛与农垦带, 是北亚热带常绿阔叶林被破坏后形成的植被景观。
第二个带为暖温带, 处于1000~1500 m, 相应高度上的年平均温度分别为12 ℃和9 ℃, 1月平均温度分别为1 ℃和-2 ℃, 年平均降水量1000 m处为1100 mm, 1300 m达到最大1230 mm后随高度降低, 1500 m处为940 mm左右。该气候带内的典型植被为针阔混交林。针阔混交林占巴山不同类型植被面积的3.48%, 1000~1500 m高度内, 针阔混交林占15%左右(邵周玲等, 2021)。参考秦岭植物分布和农作物种植熟制, 这一气候带的下限可升高到1100~1300 m(陈明荣, 1992)。在米仓山北坡所对应的植被带为山地针阔叶混交林带, 分布于海拔1200~1500 m, 为由马尾松、 巴山松与栓皮栎等落叶阔叶树种组成的针阔叶混交林植被景观(薛智龙和王俊明, 2010)。
第三个带为中温带, 处于1500~2500 m, 覆盖到山顶。在1500 m和2500 m处, 年平均温度分别为9 ℃和3 ℃, 1月平均温度分别为-2 ℃和-7 ℃, 年平均降水量不超过940 mm。该气候带内的典型植被为落叶阔叶林。2003 -2018年, 落叶阔叶林面积占巴山不同类型植被面积的18.90%, 在此高度内落叶阔叶林占比20%左右。在米昌山北坡所对应的植被带为山地落叶阔叶林带, 分布于海拔1500 m到山顶, 是以落叶阔叶林为主的植被景观(薛智龙和王俊明, 2010)。
从气候区划角度所提出的垂直气候带, 可为气候分区、 植被分区以及评估植被生态系统对气候变化的响应研究提供参考。

4 结论和讨论

利用陕西省气象局建立的秦巴剖面观测系统中2013 -2019年高差超过1400 m的4个区域自动气象站和周围3个气象站的气温资料, 分析和探讨了巴山西段米仓山北坡近地面气温的垂直变化特征、 气温γ及其垂直气候带。主要结论如下:
(1) 近地面气温随海拔升高而下降, 7年间年均气温γ为0.624±0.136 ℃·(100m)-1, 比较接近自由大气γ[0.6~0.65 ℃·(100m)-1]。月均气温在7月达到最高, 1月最低。月均γ在12月最小, 随月份逐步增加, 8月达到峰值0.757 ℃·(100m)-1后, 再逐步减小; 春夏秋冬四季γ分别为0.647±0.099 ℃·(100m)-1、 0.732±0.103 ℃·(100m)-1、 0.605±0.113 ℃·(100m)-1和0.508±0.120 ℃·(100m)-1, 季节变化明显, 暖季γ值较高, 冷季较低。最高/最低气温的年均γ分别为0.646±0.185 ℃·(100m)-1和0.606±0.166 ℃·(100m)-1γ的月季变化特征与平均气温的变化类似。年均日较差在各高度上的差异不明显, 在7~10 ℃之间波动, 和高度之间不存在显著的线性相关; 年较差随高度增加呈线性下降。
(2) γ随时间发生较大变化, 而2008年以来, 区域内γ下降趋势可能已经发生了改变, 很大程度上归因于高海拔地区与低海拔地区辐射差异的缩小, 以及气溶胶与前期相反的垂直变化趋势。
(3)随高度增加, 日平均气温≥0、 5和10 ℃温度阈值的初日推后, 终日提早, 间隔日数缩短; 每升高100 m, 积温持续天数分别减少3.4天、 6.1天和7.0天。通过各温度阈值的积温随高度线性下降, 递减率都约213 ℃·(100m)-1, 等效积温降低稍慢, 为188 ℃·(100m)-1
(4) 在0.5~1.0 km、 1.0~2.5 km、 2.5~4.5 km和4.5 km以上, 环境大气温度随高度的变化层次明晰, 反映了高原大地形、 秦岭地形、 本地地形和下垫面对气温变化的综合影响。对应4个高度区间内气温递减率的时间变化有明显差异, 逆温尤其是冬季逆温对递减率的影响明显。近地面各月气温递减率比环境大气气温递减率要大, 5月后与0.5~1.0 km高度层γ的变化类似。由于本研究区域复杂的地形条件和冬春季频繁的逆温, 使得近地面γ总体上受环境大气气温γ这一控制关系变得更为复杂。
(5) 巴山西段米仓山北坡垂直气候带可分为北亚热带、 暖温带和中温带, 分别处于500~1000 m、 1000~1500 m和1500~2500 m。
本文主要给出了2013 -2019年米仓山北坡不同高度上近地面气温的年、 月平均分布, 及其垂直变化特征, 没有涉及到表征气候变化的温度变化幅度、 极值等。鉴于7年相对于气候30年均值要求有较大差距, 本文得到的米仓山北坡垂直气候带高度不能充分体现气候变化的信息, 需要在今后的工作中补充。
较长时间序列的剖面近地面气温实测资料, 不仅有助于分析山地气温的时空变化, 而且可为模拟山地气温分布或建立长时间格点气候数据集(陆福志和鹿化煜, 2019)提供基础数据, 并且能够检验所用递减率的适宜程度。尽管由于受条件所限布设的剖面测站偏少, 但其高度代表性比气象站要高, 总体上对于了解区域气温递减率的变化是可靠和可行的, 另外剖面站所测的近地面要素, 应该更贴近实际状况, 月均和年均温度γ具有较高的区域代表性, 可作为观测时段内格点数据处理的参考值。
地面能量平衡是决定近地面气温的重要因子。气温一般会随高度增加而降低。但在某些情况下会出现相反的情况, 如逆温、 干热风、 山区盆地边缘冷空气的下泄等对山地温度的分布都会有明显影响。不同天气条件、 太阳辐射、 湿度、 风速、 降水及地形作用也会对温度的分布产生影响, 需要针对不同天气条件、 湿度、 风速、 降水等分类研究温度的时空分布和变化以及递减率的时间变化(Blandford et al, 2008Li et al, 2015), 这也是下步的重点研究内容, 有利于进一步了解秦巴山地气候及其变化。

参考文献

null
Becker A Bugmann H2001.Global change and mountain regions: the mountain research initiative[M].IGBP, Stockholm, Sweden.[2022-01-12].
null
Blandford T Humes K Harshburger B, et al, 2008.Seasonal and synoptic variations in near-surface air temperature lapse rates in a mountainous basin[J].Journal of Applied Meteorology and Climatology47(1): 249-261.DOI: 10.1175/2007JAMC1565.1 .
null
Cullen R M Marshall S J2011.Mesoscale temperature patterns in the Rocky Mountains and foothills region of Southern Alberta[J].Atmosphere-Ocean, 49: (3), 189-205.DOI: 10.1080/07055900.2011.592130 .
null
Dodson R Marks D1997.Daily air temperature interpolated at high spatial resolution over a large mountainous region[J].Climate Research8(1): 1-20.
null
Dong Z P Li Z Q Yu X, et al, 2017.Opposite long-term trends in aerosols between lower and higher altitudes: a testimony to the aerosol-PBL feedback[J].Atmospheric Chemistry and Physics17(12): 7997-8009.DOI: 10.5194/acp-17-7997-2017 .
null
Fang J Y Song Y C Liu H Y, et al, 2002.Vegetation climate relationship and its application in the division of vegetation zone in China[J].Acta Botanica Sinica44(9): 1105-1122.
null
Gardner A S Sharp M J Koerner R M, et al, 2009.Near surface temperature lapse rates over arctic glaciers and their implications for temperature downscaling[J].Journal of Climate22(16): 4281-4298.DOI: 10.1175/2009JCLI2845.1 .
null
Li X P Wang L Chen D L, et al, 2013.Near-surface air temperature lapse rates in the mainland China during 1962-2011[J].Journal of Geophysical Research: Atmospheres118(14): 7505-7515.DOI: 10.1002/jgrd.50553 .
null
Li Y Zeng Z Zhao L, et al, 2015.Spatial patterns of climatological temperature lapse rate in mainland China: a multi-time scale investigation[J].Journal of Geophysical Research: Atmospheres120(7): 2661-2675.DOI: 10.1002/2014JD022978 .
null
Li Y Y Yan J P Sui X B2012.Tropospheric temperature inversion over central China[J].Atmospheric Research, 116: 105-115.DOI: 10.1016/j.atmosres.2012.03.009 .
null
Lundquist J D Cayan D R2007.Surface temperature patterns in complex terrain: Daily variations and long‐term change in the central Sierra Nevada, California[J].Journal of Geophysical Research: Atmospheres, 112: D11124.DOI: 10.1029/2006JD007561 .
null
Marshall S J Sharp M J Burgess D O, et al, 2007.Near-surface-temperature lapse rates on the Prince of Wales Icefield, Ellesmere Island, Canada: implications for regional downscaling of temperature[J].International Journal of Climatology27(3): 385-398.DOI: 10.1002/joc.1396 .
null
Minder J R Mote P W Lundquist J D2010.Surface temperature lapse rates over complex terrain: lessons from the Cascade Mountains[J].Journal of Geophysical Research: Atmospheres, 115: D14122.DOI: 10.1029/2009JD013493 .
null
Pepin C Seidel D2005.A global comparison of surface and free-air temperatures at high elevations[J].Journal of Geophysical Research: Atmospheres, 110: D03104.DOI: 10.1029 /2004JD005047 .
null
Pepin N Kidd D2006.Spatial temperature variation in the Eastern Pyrenees[J].Weather61 (11): 300-310.
null
Rolland C2003.Spatial and seasonal variations of air temperature lapse rates in Alpine regions[J].Journal of Climate, 16: 1032-1046.
null
Tang Z Y Fang J Y2006.Temperature variation along the northern and southern slopes of Mt.Taibai, China[J].Agricultural and Forest Meteorology139(3): 200-207.
null
Zhang Y C1992.Agroclimatic study of mountainous regions and its progress in China[J].Advances in Atmospheric Sciences9(1): 37-45.
null
陈超男, 朱连奇, 田莉, 等, 2019.秦巴山区植被覆盖变化及气候因子驱动分析[J].生态学报39(9): 3257-3266.
null
陈明荣, 1990.试论中国气候区划[J].地理科学10(4): 308-315.
null
陈明荣, 1992.试论秦岭垂直温度带的划分[J].西北大学学报(自然科学版)22(4): 465-472.
null
傅抱璞, 虞静明, 李兆元, 1982.秦岭太白山夏季的小气候特点[J].地理学报37(1): 88-97.
null
傅抱璞, 1988.山地气候要素空间分布的模拟[J].气象学报46(3): 319-326.
null
黄大华, 傅绍铭, 1985.高黎贡山地气温的分布特征[J].气象, 11: 18-21.
null
江净超, 刘军志, 秦承志, 等, 2016.中国近地表气温直减率及其季节和类型差异[J].地理科学进展35(12): 1538-1548
null
李军, 黄敬峰, 2004.山区气温空间分布推算方法评述[J].山地学报27(1): 126-132.
null
李双双, 芦佳玉, 延军平, 等, 2018.1970~2015年秦岭南北气温时空变化及其气候分界意义[J].地理学报73(1): 13-24.
null
李兆元, 董亚非, 吴素良, 等, 1990.巴山山地的气候特点[J].地理学报45(3): 311-320.
null
林之光, 安顺清, 吴其劻, 等, 1983.武夷山区气温垂直梯度的研究[J].气象9(4): 18-19.
null
刘华训, 1981.我国山地植被的垂直分布规律[J].地理学报36(3): 267-279.
null
刘玉洪, 张克映, 马友鑫, 等, 1996.哀牢山气温时空分布特征[J].山地研究(现山地学报)14(4): 230-234.
null
陆福志, 鹿化煜, 2019.秦岭—大巴山高分辨率气温和降水格点数据集的建立及其对区域气候的指示[J].地理学报74(5): 875-888.
null
卢萍, 杨康权, 李英, 2017.基于加密探空资料对不同海拔高度台站边界层大气的对比分析 [J].大气科学41(6): 1234-1245.
null
罗伦, 旦增, 朱立平, 等, 2021.藏东南色季拉山气温和降水垂直梯度变化[J].高原气象40(1): 37-46.DOI: 10.7522/j.issn. 1000-0534.2019.00123 .
null
秦翔, 杨兴国, 李健, 等, 2013.珠穆朗玛峰北坡地区的气温分布及其垂直梯度分析[J].高原气象32(1): 1-8.DOI: 10.7522/j.issn.1000-0534.2012.00001 .
null
邵周玲, 周文佐, 李凤, 等, 2021.2003~2018年米仓山地区植被物候时空变化及对气候的响应[J].生态学报41(9): 3701-3712.
null
田杰, 王庆伟, 于大炮, 等, 2013.长白山北坡气温的垂直变化[J].干旱区资源与环境27(4): 65-69.
null
翟丹平, 白红英, 秦进, 等, 2016.秦岭太白山气温直减率时空差异性研究[J].地理学报71(9): 1587-1595.
null
张虎, 温娅丽, 马力, 等, 2001.祁连山北坡中部气候特征及垂直气候带的划分[J].山地学报19(6): 497-502.
null
郑成洋, 方精云, 2004.福建黄岗山东南坡气温的垂直变化[J].气象学报62(2): 251-255.
null
郑景云, 卞娟娟, 葛全胜, 等, 2013.1981~2010年中国气候区划[J].科学通报58(30): 3088-3099.
null
周礼华, 黄力, 钱深华, 等, 2019.金佛山西坡气温的垂直变化特征[J].山地学报37(6): 818-827.
null
杨兴国, 秦大河, 张廷军, 等, 2012.珠穆朗玛峰北坡地区气温和湿度变化特征[J].气象学报70(4): 855-866.
null
薛智龙, 王俊明, 2010.大巴山西段陕西米仓山自然保护区的植被及分布[J].陕西林业科技38(6): 27-31.
null
翁笃鸣, 孙治安, 1984.我国山地气温直减率的初步研究[J].地理研究3(2): 24-34.
文章导航

/