干湿对流大气边界层大涡模拟及模式收敛性分析

  • 张艺馨 ,
  • 彭新东
展开
  • 1. 中国气象科学研究院灾害天气国家重点实验室,北京 100081
    2. 中国气象局地球系统数值预报中心模式技术室,北京 100081

张艺馨(1999 -), 女, 山东人, 硕士研究生, 主要从事数值预报研究. E-mail:

收稿日期: 2023-11-24

  修回日期: 2024-03-15

  网络出版日期: 2024-03-15

基金资助

国家自然科学基金项目(42075151)

Large-Eddy Simulation of Dry and Moist Atmospheric Boundary Layers and Analysis of the Model Convergence

  • Yixin ZHANG ,
  • Xindong PENG
Expand
  • 1. State Key Laboratory of Sever Weather,Chinese Academy of Meteorological Sciences,Beijing 100081,China
    2. Division of Numerical Model Techniques,China Meteorological Administration Earth System Modeling and Prediction Centre,Beijing 100081,China

Received date: 2023-11-24

  Revised date: 2024-03-15

  Online published: 2024-03-15

摘要

利用中尺度天气研究预报模式WRF中的大涡模拟(LES)版本对理想干对流边界层和浅对流云覆盖的海洋性大气边界层结构和湍流输送特征进行大涡模拟, 并通过不同水平分辨率大涡模拟结果分析了大涡模式的收敛性。结果表明: 不同分辨率大涡模式模拟的干对流边界层高度约为1.15 km, 位温、 水汽混合比和水平风速等平均变量在边界层内均匀分布, 但在近地层和边界层顶垂直梯度较大。随模式分辨率的提高, 可分辨出更精细的对流泡结构, 夹卷层的位温方差增大, 模拟的混合层平均物理量均匀分布更接近地面, 与粗分辨率下大涡模拟的偏差主要集中在边界层下层和逆温层附近, 解析热通量增加, 但总热通量保持不变。不同于干对流边界层, 在有浅对流云覆盖的边界层内, 混合层高度较低, 混合层内平均气象要素垂直廓线和方差或通量廓线与干对流边界层内相似, 低层混合层内平均气象要素呈垂直均匀分布, 但由于混合层以上存在条件不稳定云层, 云层内有正热通量和正垂直湍流动能, 而混合层顶到浅对流云底部为负热通量, 反映了混合层顶夹卷过程作用。较粗分辨率的大涡模式增加了逆温层顶、 近地层平均风速和通量的模拟偏差。湍流发展旺盛的干对流边界层, 大涡模式在约40 m的水平分辨率上收敛, 而对混合层高度较低的浅积云覆盖边界层, 模式则在约30 m水平分辨率上收敛, 具有较低混合层高度的大气边界层需要更高分辨率的大涡模式描述。

本文引用格式

张艺馨 , 彭新东 . 干湿对流大气边界层大涡模拟及模式收敛性分析[J]. 高原气象, 2024 , 43(6) : 1559 -1572 . DOI: 10.7522/j.issn.1000-0534.2024.00039

Abstract

By using the large eddy simulation (LES) version of the Weather Research and Forecasting (WRF) model, vertical structure and the feature of turbulent transportation of shallow-convective-cloud-topped atmospheric convective boundary layer was simulated in addition to the idealized dry convective boundary layer on oceanic surface.Numerical convergence of LES model was analyzed with the model results in different resolutions.The results showed that the dry convective boundary layer was vigorous.Approximately 1.15 km of the planetary boundary layer height was simulated with the LES in different resolutions.Vertical uniform structure of the averaged potential temperature (θ), mixing ratio of water vapor ( q v) and horizontal wind (u and v) were shown in the idealized dry convective boundary layer but with large vertical gradients in the near surface layer and the top of the boundary layer.Higher resolution model resolved more detailed structure of convective bubbles within the dry convective boundary layer, larger variance of potential temperature in the entrainment layer, vertical uniform distribution of the averaged quantities within the simulated mixed layer extending more closing to the surface, and the errors in LES model under coarse resolution were mainly concentrated in the lower boundary layer and near the inversion layer.The higher resolution LES model showed larger resolved sensible heat flux while the total flux remained.In the case of shallow-convective-cloud-topped boundary layer, obvious different boundary layer structure was displayed in comparison with that of the dry convective boundary layer.Conditionally unstable layer existed over the mixing layer, and mixing layer height dropped.Vertical profiles of averaged θ q vu and v showed similar structure in the mixing layer as that in the convective boundary layer.The averaged meteorological quantities in the lower mixing layer were uniformly distributed in vertical direction.In the cloudy layer, however, positive heat flux and vertical turbulent kinetic energy appeared.Negative heat flux was observed from the top of mixing layer to the lower cloudy layer, which reflected the weak inverse temperature and entrainment at top of mixing layer.Lower-resolution model simulated more deviations of the top of temperature inversion, and mean wind velocity and fluxes near surface.The large eddy simulation model tended to converge at 40 m resolution in the vigorously developing dry convective boundary layer case while it converged at 30 m resolution in the shallow-convective-cloud-topped boundary layer.The atmospheric boundary layer with lower mixing layer height needs to be simulated using a higher resolution LES model.

1 引言

大气边界层是毗邻地面、 运动主要受地面热力与动力影响而表现为湍流的黏性大气。大气边界层内, 动量、 热量和水汽的湍流垂直通量呈现最大值(LeMone et al, 2019), 湍流过程建立起下垫面与自由大气间的能量传输通道(张强和王胜, 2008张美根等, 2008Huang and Peng, 2017)。大气边界层表现为大气运动的热量和水汽源及动量汇(Nakanishi and Niino, 2004), 大气数值模式需要反映这些重要的强迫过程(黄翊和彭新东, 2017)。
观测研究为大气边界层结构和物质、 能量垂直输送提供了基本事实(张美根等, 2008), 但由于无线电探空气球升速快, 边界层低层观测资料稀少, 传统探空观测资料无法满足对不同类型的大气边界层湍流输送认识的需求(程志刚等, 2020)。而气象铁塔梯度观测则受铁塔高度限制, 大多仅为近地面层观测, 对于大气边界层垂直湍流特性的研究, 仍然缺少高时空分辨率观测资料。大涡模拟(Large-Eddy Simulation, LES)能够模拟更加细致的湍流结构, 与直接模拟法(DNS)和雷诺平均法(RANS)相比, 大涡模拟将湍涡区分为大尺度湍涡和小尺度湍涡, 采用精细网格模式对含能最多的大尺度湍涡进行直接求解(李叶晴等, 2023), 计算量较DNS大大减小, 对小尺度湍涡进行参数化, 这主要考虑大部分能量由大尺度湍涡传输, 而小尺度湍涡通过能量串级, 耗散能量(张珊等, 2023)。自Deardorff (1972)将大涡模拟技术引入大气边界层研究后, 大涡模拟已被广泛地用于对流边界层模拟研究中(Moeng, 1984Mason and Callen, 1986Schmidt and Schumann, 1989曹帮军等, 2020李雪洮等, 2020), 为大气对流边界层结构研究和边界层参数化提供基础数据(王蓉等, 2020)。大涡模拟为大气边界层内部精细结构及湍流运动特征的研究提供了可靠方法(LeMone et al, 2019), 除了经常被用于模拟均匀平坦下垫面上对流的结构特征外, 也拓展至对复杂非均匀下垫面边界层的模拟(Hechtel et al, 1990Walko et al, 1992)。同时, 由于大涡模式极高的分辨率及其对边界层三维湍流较好的模拟能力, 包含显式微物理过程的大涡模式也被用来研究浅对流和暖云降水对流过程(Tian et al, 2002Siebesma et al, 2003Reinert and Wirth, 2009)。Siebesma et al(2003)利用大涡模式对浅积云对边界层结构以及湍流通量的影响进行研究, 了解层积云对辐射收支及湍流通量的影响, 并详细描述了海洋边界层积云的动力结构。Nuijens and Stevens(2012)通过大涡模式研究了风速对层积云对流的作用, 加深了对浅对流云覆盖的边界层结构和湍流场的理解, 明确对流边界层和浅对流云覆盖的海洋边界层的差异。大气边界层大涡模拟结果被广泛用作中尺度模式边界层湍流参数化参考解(Nakanishi and Niino, 2009张敏等, 2022), 为大气边界层尺度自适应参数化提供湍流通量随模式分辨率变化的定量描述(卢绪兰和彭新东, 2021Wei et al, 2022)。
湍涡尺度的大跨度范围给大涡模拟模式分辨率的选择带来了困难, 因为不同的模式分辨率会显著影响边界层结构和湍流输送的模拟结果(Moeng et al, 2007Mirocha et al, 2010Kirkil et al, 2012), 高分辨率模式可以提供更详细、 更准确的结果。Zhu(2008)利用WRF-LES(Weather Research and Forecasting LES model)利用300 m和100 m分辨率大涡模式研究了垂直湍流输送的模拟特征, 发现水平分辨率的选择对边界层湍流过程模拟非常重要。受计算条件限制, 早期的大涡模拟水平分辨率都在150 m左右(蔡旭晖和陈家宜, 1997Zhu, 2008苗世光等, 2001), 模拟结果仍然存在较大误差。Mirocha et al(2010)发现, 对于平坦地面的中性大气, 模式水平网格距与垂直网格距之比在2⁓4之间最优, 平均风速廓线更加接近指数律。Zheng et al(2015)研究了对流边界层大涡模拟结果对模式水平分辨率的敏感性, 发现网格距对湍流强度影响明显, 在60 m的水平网格模拟中尚未得到收敛解。对建立在数学基础上的数值模拟研究而言, 收敛的数值结果才有物理意义, 才能真正反映模式动力和物理过程的本质。可见, 针对不同类型边界层来研究大涡模式收敛性, 不仅是衡量大涡模拟结果质量的关键, 也是认识各类大气边界层精细模拟特征的重要环节。
本文采用WRF-LES模式, 对干对流边界层以及浅对流云覆盖的对流边界层进行大涡模拟研究, 利用不同水平分辨率模式进行系列敏感性数值试验, 研究干、 湿大气中无云和浅对流云覆盖的干湿两种对流边界层在不同分辨率条件下的结构及通量等二阶量廓线特征, 为大气边界层参数化及大气边界层-浅对流协同参数化提供依据。在此基础上, 进一步探讨大涡模式在不同边界层情况下的收敛性, 分析大气边界层大涡模拟的合理分辨率要求。

2 数值模式及试验设计

2.1 数值模式

大涡模式已经成功耦合到新一代中尺度预报模式(Weather Research and Forecasting Model, WRF)中, 可以在WRF模式的三维动力框架下进行模拟, 模式对大涡进行显式处理, 对小涡采用湍流动能方案来计算湍流混合(杨玉华等, 2016)。本研究选用的大涡模式为WRF-LES v3.9.1版本, 采用完全可压缩、 非静力大气动力方程, 包含完整的惯性力和曲率项。模式离散采用水平Arakawa C网格和垂直地形追随的Lorenz网格, 时间离散采用3阶Runge-Kutta方法。模式包含完整的多套物理过程参数化方案, 供选择使用。在本研究LES模式配置中, 由于积分时间短, 且对流可分辨, 长短波辐射和积云对流参数化方案关闭, 近地层湍流参数化选择Monin-Obukhov方案, 次网格湍流采用三维1.5阶湍流动能(TKE)闭合方案, 云微物理过程方案采用了WSM6单参数方案。

2.2 试验设计

为研究干大气对流边界层和湿大气中有浅对流云发展的边界层发展和大涡模式的收敛性, 参考Zhang et al (2018)Augstein et al (1974)中所描述的初始场, 分别设计干对流边界层和有浅积云覆盖的对流边界层情况下的两组数值试验, 通过提高分辨率分别研究大涡模式的数值收敛性质和边界层结构, 两组试验都采用地形平坦的均匀下垫面、 周期侧边界条件和刚性(气压不变)上、 下边界条件。本文从低到高选定了几种水平分辨率对两类边界层进行敏感性试验, 比较不同分辨率下WRF-LES对两类大气边界层的模拟能力和大涡模式收敛性。对于干对流边界层, 设计水平网格距分别为10 m(试验C10)、 20 m(试验C20)、 40 m(试验C40)、 80 m(试验C80)和160 m(试验C160)的数值试验。对于浅对流云覆盖的边界层, 设计水平网格距分别为15 m(试验S15)、 30 m(试验S30)、 60 m(试验S60)、 120 m(试验S120)的数值试验。各试验所采用的云微物理方案、 地面层湍流方案以及次网格湍流方案的组合见表1。在这些试验中, 我们重点分析对比了两类边界层大涡模拟试验中较高的三种水平分辨率的数值模拟, 定量评估大涡模式的收敛性, 并讨论边界层结构和通量的大涡模拟结果。具体试验设计见表1
表1 大涡模拟试验设计

Table 1 LES experiments design

数值试验 干对流边界层 浅对流云覆盖的边界层
试验代码 C160 C80 C40 C20 C10 S120 S60 S30 S15
时间步长/s 0.2 0.2 0.1 0.1 0.1 0.2 0.1 0.1 0.1
水平分辨率/m 160 80 40 20 10 120 60 30 15
垂直分辨率/m 10 10
模拟区域/ k m 2 8×8 3×3
模式顶高/km 3 3
积分时长/h 5 5
云微物理方案 WSM6单参方案
地面层湍流方案 Monin-Obukhov方案 Monin-Obukhov方案
次网格湍流方案 3D 1.5阶TKE 3D 1.5阶TKE
干对流边界层的试验设计采用Zhang et al(2018)的理想个例, 在均匀地表上, 给定模式大气位温初始廓线:
θ = 300   K 0   m < z 925   m 300   K + ( z - 925 ) × 0.0536   K 925   m < z 1075   m 308.05   K + ( z - 1075 ) × 0.003   K z > 1075   m
式中: θ表示位温; z设为高度。地面均匀加热增湿, 地面热通量设为0.2 K·m·s-1, 水汽通量0.2 g·m-2·s-1, 地面粗糙度取0.1 m, 环境风为纬向10 m·s-1的三维均匀初始场, 初始水汽混合比为0 g·kg-1。简单在最低三层位温上增加[-0.01, 0.01] K的随机位温扰动, 启动湍流运动。我们设计了五种不同分辨率的大涡模拟试验, 用于检验模式的收敛性。
对浅积云覆盖的对流边界层认识最初是基于外场试验, 如巴巴多斯海洋和气象学试验(BOMEX)、 大西洋信风试验(ATEX), 对浅积云覆盖的对流边界层的多层结构有了一定的认知。我们使用大西洋信风试验(ATEX)期间1969年2月7 -12日的位温、 水汽混合比和平均风速廓线作为模式初始基本环境场(图1)。700 m以下为混合层, 位温不随高度变化, 为295.7 K, 水汽混合比在混合层低层150 m内随高度的增加从13 g·kg-1减小到12.5 g·kg-1, 之后在混合层内保持不变。700~1400 m为条件不稳定层, 水汽混合比随高度的增加而减小, 在该层中形成的云为海洋信风积云。边界层顶高度约1400 m, 边界层顶之上为信风逆温层。地转风为偏东风, 模式底层由实测的海表面感热通量0.007 K·m·s-1驱动。
图1 水汽混合比 q v(a, 单位: g·kg-1)、 位温θ (a, 单位: K)和水平风分量uv (b, 单位: m·s-1)的初始廓线

Fig.1 Initial profiles of vapor mixing ratio q v (a, unit: g·kg-1), potential temperature θ (a, unit: K) and horizontal wind components u and v (b, unit: m·s-1

3 模拟结果及分析

3.1 湍流发展与干对流边界层结构

取模式达到准定常态后的结果进行分析, 图2给出了C20、 C40、 C80三个不同分辨率大涡模式模拟2 h、 3 h、 4 h位于x=4 km处Y-Z(经向-垂直)剖面上的垂直速度分布, 由于C10结果和C20极为相似而省略。不同分辨率的试验均模拟出了近似泡状对流, 边界层顶对流泡消失, 混合层内上升和下沉气流相间分布, 部分对流泡相连。对流泡随时间不断向上发展, 边界层顶逐渐抬高, 对流边界层高度从第2 h的1 km发展到第4 h的1.1 km左右。试验C40与试验C20模拟的边界层垂直速度分布特征相似, 对流泡的水平尺度和强度差距较小, 而试验C80模拟的间隔分布对流泡更加粗壮, 较C40和C20试验中对流泡水平尺度更大、 个数更少, C160结果(图略)也证实这一现象。这种现象一方面表现出粗分辨率模式可分辨的含能湍涡尺度较大, 另一方面在粗分辨率模拟中可能存在次网格湍涡能量向可分辨湍涡的混淆迁移。可见, 在其他条件相同的情况下, 大涡模式分辨率越高, 边界层对流泡结构越精细。C40和C20试验模拟出较相似的对流泡, 说明了对边界层高度为1 km左右的对流边界层, 水平40 m网格大涡模式能分辨绝大部分20 m分辨率模式可分辨的含能湍涡。
图2 各试验第2~4 h模拟的垂直速度(单位: m·s-1)沿经向的垂直剖面

(a~c)试验C20的结果; (d~f)试验C40的结果; (g~i)试验C80的结果

Fig.2 Vertical cross sections of the vertical velocity in meridional direction simulated at hours 2 to 4 in C20 (a~c), C40 (d~f), and C80 (g~i).Unit: m·s-1

图3中给出了700 m高度上模拟第4 h的垂直速度水平分布。模拟上升区和下沉区在水平方向上交替分布, 上升区较下沉区窄, 上升速度则较下沉速度的极值更大(张璐等, 2021)。在C80中, 垂直速度分布更平滑, 显示出较C40和C20大的对流泡, 无法描述较小尺度湍涡结构。在C40和C20中, 对流泡更加细致, 且具有更强的垂直速度, 与C10结果(图略)相似。从湍流结构特征来看, WRF-LES模式在40 m分辨率上基本收敛。
图3 垂直速度(单位: m·s-1)水平分布

(a)试验C20, (b)试验C40, (c) 试验C80

Fig.3 Horizontal distribution of vertical velocity (unit: m·s-1) in C20 (a), C40 (b) and C80 (c)

边界层中的对流型可分为地面加热的浮力作用决定的网状对流和由风切变动力作用决定的卷轴对流两种(Shin and Hong, 2013Wei et al, 2022苏爱芳等, 2022)。该试验中地面热通量对应的浮力强迫定常存在, 虽然初始时刻没有环境地转风动力强迫, 但在模式积分过程中产生环境风切变, 因此对流泡的组织结构介于标准的网格状和卷轴状对流之间。图3中三种分辨率大涡模拟结果都给出了与理论分析吻合的无序对流泡分布。
在了解大涡模拟中湍流发展的基础上, 我们分析边界层平均变量垂直廓线和边界层结构。五个分辨率试验模拟的第4 h全域(8 km×8 km)对流边界层平均位温、 水汽混合比和水平风速廓线如图4所示, 各一阶平均量很好地显示了对流边界层结构特征, 即明显的近地面层变化、 混合层垂直均匀分布和边界层顶平均变量大梯度分布, 与Schmidt and Schumann(1989)蔡旭晖和陈家宜(1997)的大涡模拟结果一致, 具有对流边界层典型特征。但40 m及以上分辨率(C20、 C10)模拟展现出更加精细的近地面层结构。试验中设定了定常的地面热通量和水汽通量, 边界层湍流自下而上进行地表热量和水汽输送(王冠添等, 2023), 从试验C20的位温廓线[图4(a)]可看出, 地表温度比初始时刻升高了3 K, 边界层内增暖增湿, 第4 h大气混合层水汽混合比[图4(b)]达到2.3 g·kg-1, 混合层位温、 水汽和风场的垂直分布近似均匀, 这正是图1所示对流泡对应的上升、 下沉运动充分混合的结果。地面不断加热使地面层呈现明显的平均变量垂直梯度, 也使混合层向上发展, 在1.15 km高度(即对流边界层顶)附近位温梯度明显不连续(伏薇等, 2022), 位温快速升高。水平风速[图4(c), (d)]也在混合层均匀分布, 呈现出对流边界层的典型特征。在近地面附近, 由于水汽源和地面摩擦作用, 水汽混合比急剧升高, 水平风速显著减小。
图4 不同分辨率大涡模拟的对流边界层平均位温(a, 单位: K)、 水汽混合比 q v(b, 单位: g·kg-1)和水平风速u分量(c, 单位: m·s-1)、 水平风速v分量(d, 单位: m·s-1)垂直廓线

Fig.4 Averaged vertical profiles of potential temperature (a, unit: K), water vapor mixing ratio q v(b, unit: g·kg-1), horizontal velocity u component (c, unit: m·s-1) and horizontal velocity v component (d, unit: m·s-1) in the LES with different resolutions

水平分辨率160 m和80 m的大涡模拟垂直廓线基本刻画了对流边界层内物理量平均分布特征, 反映了对流边界层的基本结构, 但与C40、 C20和C10相比, 在近地面层和边界层顶上方深厚的逆温层中存在较大偏差, 尤其是水平风速表现更为明显。以C20模拟结果为参考值, C40和C80中平均θ相对误差分别为0.01%和0.023%, q v相对误差分别为1.6%和2.8%, u分量相对误差分别为0.38%和1.13%, v分量相对误差分别为2.79%和8.56%。C40和C20、 C10的风速廓线基本重合, 仅在近地面层稍有偏差, 而C80水平风速相对误差较大, 平均θ q v廓线(图4)也有类似表现。因此对于该对流边界层发展的个例模拟, 从平均物理量相对误差小于3%来判断, WRF-LES模式在40 m水平分辨率上收敛。
二阶量(包括物理量方差和协方差)用于表征湍流强度。我们用模式输出第4 h的结果计算物理量 φ的区域平均 ϕ ¯和距平 ϕ ', 进而计算∆t(1h)内二阶量时间平均值
φ ' 2 ¯ Δ t = 1 Δ t t 0 t 0 + Δ t φ ' 2 ¯ d t
w ' φ ' ¯ Δ t = 1 Δ t t 0 t 0 + Δ t w ' φ ' ¯ d t
图5给出平均位温方差[图5(a)]、 水平风速uv分量方差[图5(b), (c)]及垂直速度w方差[图5(d)]结果。边界层低层位温方差较小, 随高度增加而减小; 混合层中部位温方差接近0; 在边界层顶的夹卷层中, 上冲的低位温空气和向下卷入的高位温空气的存在使位温方差增大, 并出现位温方差极大值。图5(a)可见, 无论是位温方差廓线形状还是位温方差极大值出现高度, 五个试验的模拟结果均较为相似, 但C160和C80在混合层顶有偏离。
图5 各试验的平均位温方差(a)、 水平风速u分量方差(b)、 水平风速v分量方差(c)和垂直风速方差(d)垂直廓线

Fig.5 Averaged variances of potential temperature (a), u component (b), v component (c) and vertical velocity (d)

由于地表摩擦作用, 近地面风切变较大, 水平风速方差在近地面有极大值[图5(b), (c)]。由于混合层内湍流混合作用, 水平风速方差随高度递减, 在混合层中部出现水平速度方差极小值; 在边界层顶附近, 由于对流泡的上升运动受逆温层的限制, 水平速度方差增大, 并在边界层顶部出现峰值, 进入自由大气则随高度增加逐渐减小为0。受到地面和逆温层的抑制作用, 在地面和边界层顶逆温层附近垂直上升和下沉速度较弱, 垂直速度方差出现极小值, 在边界层中部则出现极大值。综合来看, 水平分辨率较高的C10、 C20和C40试验能更加精确计算小尺度湍涡运动, 三者结果更加一致, 相比之下C160和C80试验模拟的三维风速方差偏离较大。以C10为参考解, C20三维风速平均方差( u ' 2 ¯ , v ' 2 ¯ , w ' 2 ¯)的相对误差为2.47%、 3.44%和1.72%, C40的三维风速平均方差的相对误差为2.46%、 4.09%和3.98%, C80的三维风速平均方差的相对误差为12.85%、 34.66%和14.88%。可见, 与C40、 C20和C10结果相比, C80的三维方向风速平均方差的误差急剧增大, 显示出C40与C20、 C10结果较好的一致性。
上述分析可见, C20和C10结果非常一致。下面重点分析C20、 C40和C80的平均热通量随分辨率的变化。第4 h的区域平均热通量廓线(图6)也可以发现, 虽然不同试验的总热通量模拟结果比较接近, 但C80试验模式解析热通量与其他两个试验差异明显。浮力项的热通量极小值出现在边界层顶, 是由边界层内空气与上部逆温层较暖空气的夹卷混合引起的(张强等, 2017), 反映了热量从逆温层到混合层的向下传输过程。从图6(b)中可看出, 模式分辨率越高, 边界层顶夹卷层负热通量越显著, C20和C40解析热通量的结果比较一致, 极小值均为-0.035 K·m·s-1, 极大值分别为0.088 K·m·s-1和0.086 K·m·s-1, 而试验C80的极大值和极小值分别为0.070 K·m·s-1和-0.03 K·m·s-1, 与C40和C20试验偏差较大。总体来说, 网格越粗, 模式可分辨热通量减少[图6(b)], 次网格热通量增加[图6(a)], 但总热通量在不同分辨率模式间保持一致[图6(c)], 从地面向上呈线性减小, 在边界层顶附近出现极小值。这里也注意到, C80可分辨的近地面热通量较C40和C20差异明显, 而C40和C20结果相近。
图6 模拟第4 h归一化时间平均垂直热通量

(a)次网格热通量, (b)解析热通量, (c)总热通量

Fig.6 Normalized time-area average subgrid-scale (a), grid-scale (b) and total (c) vertical sensible heat flux at hour 4 of the simulations

对于边界层高度约1.2 km的对流边界层, 40 m水平分辨率的WRF-LES模式可以模拟出与20 m分辨率模式基本一致的对流泡、 一阶平均量和二阶量平均垂直分布, 判断WRF-LES模式在40 m分辨率上可获得收敛的模拟结果, 大涡模式使用80 m以上水平网格距模拟的近地层和混合层顶的垂直通量存在较大误差。

3.2 浅对流云覆盖的对流边界层发展

区别于干对流边界层, 浅对流云覆盖的湿对流边界层也是一种典型的大气边界层形态。边界层内浅积云对流虽然不产生降水, 但在决定边界层垂直热力结构方面发挥着重要作用(熊洁等, 2021), 并影响热带和中纬度大规模环流。浅积云对流增强了热量、 水汽和动量的垂直湍流输送, 并显著增强了地表蒸发。虽然它也是一种典型的对流形式, 但仍缺少广泛和深入研究, 尤其是在海洋上方的浅层积云对流。Stevens et al(2001)采用相同的初始廓线, 通过大涡模式模拟层积云条件下边界层的湍流结构以及层状云的发展, 得出了与实测一致的结果。我们首先给出四种分辨率模式模拟浅对流云覆盖边界层的第5 h平均位温、 水汽混合比和水平风速平均廓线(图7)。在边界层内, 模拟位温[图7(a)]、 水汽混合比[图7(b)]表现出明显的混合层垂直均匀分布、 条件不稳定层小变率递增[递减]和强逆温层递增[递减]特征, 与Stevens et al(2001)的模拟变量结构较为一致(图3), 这种垂直分布特征与干对流边界层(图4)有明显不同。模拟逆温层高度相对初始时刻抬升约200 m, 云区表现为条件不稳定层, 水汽混合比在近海面处有极大值。云水混合比[图7(c)]表征了边界层内层积云的形成, 尽管初始条件没有云存在, 大涡模拟在第5 h都给出了云底高度约700 m, 云顶位于约1700 m高度的云区, 云区条件不稳定层的存在正是有云覆盖边界层与干对流边界层区别的关键。模拟云底高度与实测高度[图7(c)、 见Augstein et al, 1973]基本一致, 但云顶模拟高度较实测稍高。从位温、 水汽混合比和云水混合比平均廓线看, S30与S15的模拟廓线基本重合, 以S15结果为参考计算的S30模拟位温、 水汽和云水混合比相对误差分别为0.021%、 0.535%和2.74%, 而S60的结果误差为0.168%、 3.657%和25.29%, 差异显著。试验S60与S120的逆温层高度和边界层位温明显偏高, 可以判断: 对于本次浅对流云覆盖的边界层发展模拟, WRF-LES模式在30 m分辨率上基本收敛, 结果趋于稳定。平均纬向风速[图7(d)]在近地层内随高度迅速增大, 混合层内保持准均匀分布, 条件不稳定层则随高度减小; 到逆温层顶, 平均纬向风速垂直切变陡然增大, 表现出与位温类似的垂直分布。平均经向风速[图7(e)]则具有不同的垂直结构, 近地层内向上迅速增大达到极值后, 随高度递减。以S15结果为参考解, S30和S60模拟的纬(经)向风的平均相对误差分别为0.576%(1.71%)和1.369%(18.45%), 反映出S30与S15模拟结果相近, 且远优于S60与S120模拟结果。
图 7 不同分辨率模式模拟的浅对流云发展的大气边界层平均位温(a)、 水汽混合比(b)、 云水混合比(c)、 水平速度u分量(d)和v分量(e)廓线与大西洋信风试验1969年2月7 -12日的对应观测平均值(圆点)对比

Fig.7 Averaged vertical profiles of potential temperature (a), water vapor mixing ratio (b), cloud water mixing ratio (c), and u component (d) and v component (e) of horizontal velocities in the simulations of shallow-convective-cloud-topped boundary layer in comparison with the observations (dots) in the Atlantic trade wind experiment during February 7 -12, 1969

在了解平均量廓线的特征后, 我们聚焦大涡模拟的边界层对流泡发展及对应的水平结构特征, 选取试验S15、 S30、 S60进行分析。为了解云层的对流发展, 这里选择位于条件不稳定层内的1100 m高度做变量水平剖面。图8给出了不同分辨率模式模拟5 h后的垂直速度和云水混合比水平分布, S15和S30较高分辨率模式模拟的对流泡更加精细, 尺度较小[图8(a), (c), (e)], 且两个分辨率模拟的对流泡分布和尺度比较一致; S60模拟的对流泡则尺度较大, 更加平滑, 没有模拟出部分较小上升区, 结果与高分辨率模拟结果差异较大。云水混合比[图8(b), (d), (f)]表征的浅对流云单体水平分布与垂直上升区对应较好, S15和S30模拟的云单体尺度较小、 边缘结构复杂, 具有较大的云水混合比(最大值分别为0.356 g·kg-1和0.352 g·kg-1); S60 [图8(f)]模拟的云单体则尺度较大、 边缘较光滑、 云水混合比略小(最大值为0.315 g·kg-1), 正是粗分辨率模式模拟边界层对流泡被平滑的结果。
图8 垂直速度(a, c, e, 单位: m·s-1)和云水混合比(b, d, f, 单位: g·kg-1)水平分布

(a)、 (c)、 (e)分别表示 S15、 S30和S60的垂直速度; (b)、 (d)、 (f)分别表示S15、 S30和S60的云水混合比

Fig.8 Horizontal distributions of vertical velocity (a, c, e, unit: m·s-1) and cloud-water mixing ratio (b, d, f, unit: g·kg-1).In Fig.8, (a), (c), (e) denotes the vertical velocity of S15, S30 and S60, respectively.(b), (d), (f) denotes the cloud-water mixing ratio of of S15, S30 and S60, respectively

浅对流云覆盖的边界层模拟试验与干对流边界层试验相似, 也同时受地面热源热力和环境风切变动力两种强迫作用, 边界层对流相干结构既不是网状, 也不是滚轴状, 对流泡分布相对凌乱。另一方面, 本试验中地面感热通量远比干对流试验要小, 边界层环境风切变相对作用增强, 因此可以看到东北-西南方向分布的对流泡宏观结构[图8(a), (c)], 但60 m模式还不能分辨这样的对流组织结构[图8(e)]。
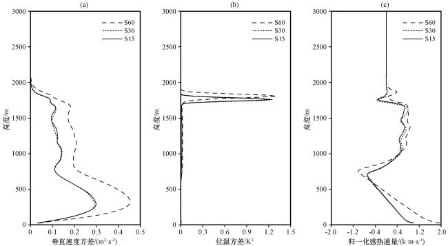
图9给出了S15, S30和S60模拟的浅对流云覆盖边界层的平均二阶量, 包括平均垂直速度方差、 平均位温方差和平均感热通量。可见, 层积云的存在明显改变了边界层内二阶量的垂直分布, 与干对流边界层内垂直速度方差和热通量分布有明显差异, 但在混合层内分布相似。在低层的混合层内, 垂直速度方差[图9(a)]首先随高度增加而增大, 在混合层中部约300 m高度处达到最大值, 然后随高度减小, 并在700 m高度的混合层顶达到极小值, 这种垂直变化与干对流边界层内的形态一致, 但不同的是层积云存在时, 混合层顶(即云底高度)及以上仍然为正的垂直湍流动能, 而晴空对流边界层顶垂直湍流动能逐渐衰减为0。在云层中部和逆温层顶分别出现两个峰值, 整体结构与Stevens et al(2001)图4(d)]结果一致。从图9(a)中可以看出, S15和S30模拟的垂直速度方差非常接近, 但S60结果则偏大, 且三个峰值出现高度偏高, 相比60 m分辨率, 30 m分辨率模式具有与更高分辨率(15 m)模式相当的垂直湍流动能的刻画能力。边界层内位温方差[图9(b)]与干对流边界层内表现相似, 在混合层内为0, 反映位温垂直均匀分布; 在云层内的条件不稳定区, 位温方差接近0。在逆温层顶部, 位温方差出现一个极大峰值, 与边界层顶较强的夹卷混合过程相关。S60位温方差峰值较S15和S30峰值出现高度偏高约100 m。
图9 三种分辨率试验的平均垂直速度方差(a)、 位温方差(b)和归一化时间平均感热通量(c)的模拟结果

Fig.9 Averaged profiles of variances of vertical velocity (a) and potential temperature (b), and normalized time-area average sensible heat flux (c)

边界层内感热通量[图9(c)]也可分为两层结构, 即混合层和条件不稳定层。700 m以下的混合层, 感热通量垂直分布与干对流边界层内特征类似, 从海表面正热通量向上线性递减, 到混合层顶由于夹卷过程和上部云层中弱逆温而表现为负热通量, 向下输送热量。在层积云底部, 负热通量向上呈线性减弱, 并迅速在云层下部转变为正热通量, 一直维持到云顶附近。受边界层顶逆温层影响, 云顶表现为较弱的负热通量, 向下输送热量。模拟热通量也表现出60 m分辨率S60模拟与S30和S15结果显著不同, 而S30和S15结果一致。在这次浅对流云覆盖的边界层发展模拟中, 大涡模式在30 m分辨率上趋于收敛。
湍流动能e是衡量湍流混合扩散能力的重要指标, 也关系到边界层的发展高度, 可定义(Stull, 1988)为
e = 1 2 ( u ' 2 ¯ + v ' 2 ¯ + w ' 2 ¯ )
作为湍能垂直方向表征, 垂直速度方差已在图9(a)中给出。为了进一步了解浅对流云覆盖大气边界层中总湍流动能的分布及其对模式分辨率的敏感性, 图10给出了三种分辨率模式的平均次网格湍流动能和总湍流动能廓线。总体上, 不同分辨率模式次网格湍流动能的差异并不大, S60在混合层下部和地面层有过高估计, 但总湍流动能间的差异较大, 60 m模式显著过高估计了网格可分辨湍流过程。总湍流动能的垂直分布表现出从海表向上随高度减小, 到混合层顶附近出现极小值; 进入云层后, 湍流动能有所增大, 云层中间出现弱极大值, 在云层的中高层随高度减少, 到云顶逆温层底部有湍流动能极小值。在逆温层随高度明显增大, 逆温层顶出现一个极大值。边界层内湍流动能总体呈现地面和逆温层顶双峰、 层积云底一谷的结构, 双峰的形成是较大局地垂直温度梯度的结果。
图10 三种分辨率大涡模拟试验的平均次网格湍流动能和总湍流动能垂直廓线

Fig.10 Vertical profiles of averaged subgrid-scale and total turbulent kinetic energies

通过S120、 S60、 S30和S15试验可见, 随着模式分辨率的提高, 30 m和15 m分辨率模式模拟的一阶要素廓线、 二阶方差、 湍流动能和感热通量廓线等结果趋于一致, 在本次浅对流云发展的边界层大涡模拟中, WRF-LES模式在30 m水平分辨率上趋于收敛。由于本个例中混合层高度约为干对流边界层混合层高度的一半, 含能湍涡尺度较干对流边界层个例中湍涡尺度小, 因此大涡模式趋于收敛的网格尺度也更小。

4 结论

大涡模拟被广泛应用于边界层湍流的模拟研究中, 并在一定程度上可替代观测结果作为中尺度模式中大气边界层参数化的依据, 在边界层研究应用中具有独特优势。但由于大涡模拟结果对模式分辨率极其敏感, 合理的模式水平分辨率选择对于大气边界层湍流过程的模拟十分重要。本研究利用WRF-LES模式对干对流边界层和浅对流云覆盖的湿对流边界层等两类大气边界层进行模拟研究, 分析两类大气边界层湍流特征和边界层结构的基础上, 也分析了大涡模式的收敛性, 得出如下结论:
(1) 对垂直混合充分的干对流边界层, 垂直结构较为简单, 平均变量(包括θ q vuv)在混合层内垂直均匀分布, 但在近地层和边界层顶逆温层内出现大梯度变化。位温方差在逆温层突然增大, 并出现极大值; 垂直速度方差在混合层中部最大, 近地面和边界层顶趋于消失, 而水平风速方差则在近地面和逆温层底部出现极大值。模式水平分辨率越高, 边界层对流泡结构越清晰, 模拟的混合层垂直均匀结构越接近地面。粗分辨率大涡模拟偏差主要集中在边界层下层和逆温层附近, 可能存在次网格湍涡向可分辨湍涡的能量混淆过程。证实了提高模式水平分辨率可分辨更多热通量、 而总热通量不变的理论分析。
(2) 对ATEX试验期间2月7 -12日有层积云覆盖的湿边界层大涡模拟发现, 云层的存在对边界层结构发展影响明显, 和干对流边界层的主要区别在于云层内要素廓线和二阶量差异, 对边界层低层混合层内各物理量分布特征影响较小。低层混合层要素平均呈垂直均匀分布, 垂直湍流动能呈“抛物线”型分布, 混合层中部存在极大值; 云层内呈现弱逆温、 减湿特征, 维持一定的垂直速度正方差, 并在云顶有弱极值存在。60 m以上网格距的低分辨率模式模拟的逆温层顶和混合层高度偏高, 湍流动能和垂直通量都有较大偏差。随着模式分辨率提高到30 m和15 m, 大涡模拟结果趋于一致。
(3) 对于混合层高度约1.15 km的对流边界层而言, 40 m和20 m水平分辨率的WRF-LES模式结果已经趋于一致, 能较准确模拟干对流边界层结构和湍流特征; 对于混合层高度约700 m的浅积云覆盖的边界层而言, 水平分辨率30 m和15 m模式的模拟结果基本一致, WRF-LES在30 m分辨率上收敛。未收敛模拟相比于收敛的大涡模拟平均廓线在近地层和逆温层有较大的差异。大涡模式获得收敛模拟结果的分辨率随大气混合层高度的降低而升高, 混合层越低, 所需模式分辨率越高。
对干对流边界层的大涡模拟已经较多, 增加与有浅对流云覆盖的边界层大涡模拟对比研究, 有助于认识两类不同条件下大气边界层结构和湍流特征的差异, 通过不同分辨率大涡模拟二阶量的廓线特点, 为尺度自适应边界层参数化和边界层-浅对流过程统一参数化方案设计提供参考依据。

参考文献

null
Augstein E Riehl H Ostapoff F, et al, 1973.Mass and energy transports in an undisturbed Atlantic trade-wind flow[J].Monthly Weather Review101(2): 101-111.DOI: 10.1175/1520-0493(1973)1012.3.CO; 2 .
null
Augstein E Schmidt H Ostapoff F1974, The vertical structure of the atmospheric planetary boundary layer in undisturbed trade winds over the Atlantic Ocean[J].Boundary-Layer Meteorology, 6: 129-150.DOI: 10.1007/BF00232480 .
null
Deardorff J W1972.Numerical investigation of neutral and unstable planetary boundary layers[J].Journal of Atmospheric Sciences29(1): 91-115.DOI: 10.1175/1520-0469(1972)029<0091: NIONAU>2.0.CO; 2 .
null
Hechtel L M Stull R B Moeng C H1990.The effects of nonhomogeneous surface fluxes on the convective boundary layer: A case study using large-eddy simulation[J].Journal of the Atmospheric Sciences47(14): 1721-1741.DOI: 10.1175/1520-0469(1990)0472.0.CO; 2 .
null
Huang Y Peng X D2017.Improvement of the Mellor-Yamada-Nakanishi-Niino planetary boundary-layer scheme based on observational data in China[J].Boundary-Layer Meteorology, 162: 171-188.DOI: 10.1175/1520-0469(1990)047<1721: TEONSF>2.0.CO; 2 .
null
Kirkil G Mirocha J Bou-Zeid E, et al, 2012.Implementation and evaluation of dynamic subfilter-scale stress models for large-eddy simulation using WRF[J].Monthly Weather Review140(1): 266-284.DOI: 10.1175/MWR-D-11-00037.1 .
null
LeMone M A Angevine W M Bretherton C S, et al, 2019.100 years of progress in boundary layer meteorology[J].Meteorological Monographs, 59: 9.1-9.85.DOI: 10.1175/AMSMONOGRAPHS-D-18-0013.1 .
null
Mason P J Callen N S1986.On the magnitude of the subgrid-scale eddy coefficient in large-eddy simulations of turbulent channel flow[J].Journal of Fluid Mechanics, 162: 439-462.DOI: 10. 1017/S0022112086002112 .
null
Mirocha J D Lundquist J K Kosovi? B2010.Implementation of a nonlinear subfilter turbulence stress model for large-eddy simulation in the Advanced Research WRF model[J].Monthly Weather Review138(11): 4212-4228.DOI: 10.1175/2010MWR3286.1 .
null
Moeng C H1984.A large-eddy-simulation model for the study of planetary boundary-layer turbulence[J].Journal of Atmospheric Sciences41(13): 2052-2062.DOI: 10.1175/1520-0469(1984) 0412.0.CO; 2 .
null
Moeng C H Dudhia J Klemp J, et al, 2007.Examining two-way grid nesting for large eddy simulation of the PBL using the WRF model[J].Monthly Weather Review135(6): 2295-2311.DOI: 10.1175/MWR3406.1 .
null
Nakanishi M Niino H2004.An improved Mellor-Yamada level-3 model with condensation physics: Its design and verification[J].Boundary-Layer Meteorology, 112: 1-31.DOI: 10.1023/B: BOUN.0000020164.04146.98 .
null
Nakanishi M Niino H2009.Development of an improved turbulence closure model for the atmospheric boundary layer[J].Journal of the Meteorological Society of Japan87(5): 895-912.DOI: 10.2151/jmsj.87.895 .
null
Nuijens L Stevens B2012.The influence of wind speed on shallow marine cumulus convection[J].Journal of the Atmospheric Sciences69(1): 168-184.DOI: 10.1175/JAS-D-11-02.1 .
null
Reinert D Wirth V2009.A new large-eddy simulation model for simulating air flow and warm clouds above highly complex terrain.Part II: The moist model and its application to banner clouds[J].Boundary-Layer Meteorology, 133: 113-136.DOI: 10. 1007/s10546-009-9419-x .
null
Schmidt H Schumann U1989.Coherent structure of the convective boundary layer derived from large-eddy simulations[J].Journal of Fluid Mechanics, 200: 511-562.DOI: 10.1017/S0022112089000753 .
null
Shin H H Hong S Y2013.Analysis of resolved and parameterized vertical transports in convective boundary layers at gray-zone resolutions[J].Journal of the Atmospheric Sciences70(10): 3248-3261.DOI: 10.1175/JAS-D-12-0290.1 .
null
Siebesma A P Bretherton C S Brown A, et al, 2003.A large eddy simulation intercomparison study of shallow cumulus convection[J].Journal of the Atmospheric Sciences60(10): 1201-1219.DOI: 10.1175/1520-0469(2003)60<1201: ALESIS>2.0.CO; 2 .
null
Stevens B Ackerman A S Albrecht B A, et al, 2001.Simulations of trade wind cumuli under a strong inversion[J].Journal of the Atmospheric Sciences58(14): 1870-1891.DOI: 10.1175/1520-0469(2001)0582.0.CO; 2 .
null
Stull R B1988.An Introduction to Boundary Layer Meteorology[M].Springer Science & Business Media.
null
Tian W S Parker D J2002.Two‐dimensional simulation of orographic effects on mesoscale boundary-layer convection[J].Quarterly Journal of the Royal Meteorological Society: A journal of the atmospheric sciences, applied meteorology and physical oceanography128(584): 1929-1952.DOI: 10.1256/003590002320603476 .
null
Walko R L Cotton W R Pielke R A1992.Large-eddy simulations of the effects of hilly terrain on the convective boundary layer[J].Boundary-Layer Meteorology58(1/2): 133-150.DOI: 10.1007/BF00120755 .
null
Wei W Peng X D Lin Y L, et al, 2022.Extension and evaluation of University of Washington moist turbulence scheme to gray-zone scales[J].Journal of Advances in Modeling Earth Systems14(8): e2021MS002978.DOI: 10.1029/2021MS002978 .
null
Zhang X Bao J W Chen B, et al, 2018.A three-dimensional scale-adaptive turbulent kinetic energy scheme in the WRF-ARW model[J].Monthly Weather Review146(7): 2023-2045.DOI: 10. 1175/MWR-D-17-0356.1 .
null
Zheng Y Alapaty K Herwehe J A, et al, 2016.Improving high-resolution weather forecasts using the Weather Research and Forecasting (WRF) Model with an updated Kain-Fritsch scheme[J].Monthly Weather Review144(3): 833-860.DOI: 10.1175/MWR-D-15-0005.1 .
null
Zhu P2008.Simulation and parameterization of the turbulent transport in the hurricane boundary layer by large eddies[J].Journal of Geophysical Research: Atmospheres, 113(D17).DOI: 10. 1029/2007JD009643 .
null
蔡旭晖, 陈家宜, 1997.对流边界层中泡状结构的大涡模拟研究[J].大气科学21(2): 223-230.DOI: 10.1088/0256-307X/13/9/012.Cai X H
null
Chen J Y1997.Large eddy simulation of bubble-like structures in the convective boundary layer[J].Chinese Journal of Atmospheric Sciences21(2): 223-230.DOI: 10.1088/0256-307X/13/9/012 .
null
曹帮军, 吕世华, 张宇, 等, 2020.绿洲灌溉对垂直湍流热通量影响的大涡模拟研究[J].大气科学44(6): 1188-1202.DOI: 10.3878/j.issn.1006-9895.1912.19163.Cao B J
null
S H Zhang Y, et al, 2020.Impact of irrigation in the oasis in northwestern China on vertical turbulent heat flux using large-eddy simulation[J].Chinese Journal of Atmospheric Sciences44(6): 1188-1202.DOI: 10.3878/j.issn.1006-9895.1912.19163 .
null
程志刚, 李炬, 张鑫宇, 等, 2020.基于三台测风激光雷达的大气湍流和三维风场研究[J].气象学报78(6): 1021-1036.DOI: 10.11676/qxxb2020.070.Cheng Z G
null
Li J Zhang X Y, et al, 2020.A study on turbulence and three-dimensional wind field based on observations of three wind lidars[J].Acta Meteorologica Sinica78(6): 1021-1036.DOI: 10.11676/qxxb2020.070 .
null
伏薇, 李茂善, 阴蜀城, 等, 2022.西风南支与高原季风环流场下青藏高原大气边界层结构研究[J].高原气象41(1): 190-203.DOI: 10.7522/j.issn.1000-0534.2021.00016.Fu W
null
Li M S Yin S C, et al, 2022.Study on the atmospheric boundary layer structure of the Qinghai-Xizang Plateau under the south branch of the westerly wind and the plateau monsoon circulation field[J].Plateau Meteorology41(1): 190-203.DOI: 10.7522/j.issn.1000-0534.2021.00016 .
null
黄翊, 彭新东, 2017.边界层湍流参数化改进对雾的模拟影响[J].大气科学41 (3): 533-543.DOI: 10.3878/j.issn.1006-9895.1606.16152.Huang Y
null
Peng X D2017.The impact of an improved planetary boundary layer parameterization scheme on the simulation of fog[J].Chinese Journal of Atmospheric Sciences41(3): 533-543.DOI: 10.3878/j.issn.1006-9895.1606.16152 .
null
李雪洮, 梁捷宁, 郭琪, 等, 2020.利用大涡模式模拟黄土高原地区对流边界层特征[J].高原气象39(3): 523-531.DOI: 10.7522/j.issn.1000-0534.2019.00050.Li X T
null
Liang J N Guo Q, et al, 2020.Simulate of convective boundary layer characteristics in the Loess Plateau by WRF large-eddy[J].Plateau Meteorology39(3): 523-531.DOI: 10.7522/j.issn.1000-0534.2019.00050 .
null
李叶晴, 师春香, 沈润平, 等, 2023.基于WRF-LES的门头沟地区近地面风场模拟与边界层方案敏感性研究[J].高原气象42(3): 758-770.DOI: 10.7522/j.issn.1000-0534.2022.00084.Li Y Q
null
Shi C X Shen R P, et al, 2023.Simulation of near-surface wind over Mentougou with WRF-LES and sensitivity study of planetary boundary layer schemes[J].Plateau Meteorology42(3): 758-770.DOI: 10.7522/j.issn.1000-0534.2022.00084 .
null
卢绪兰, 彭新东, 2021.尺度自适应大气边界层参数化改进及其对一次海雾的数值模拟研究[J].气象学报79(1): 119-131.DOI: 10.11676/qxxb2021.003.Lu X L
null
Peng X D2021.Scale-aware parameterization of atmospheric planetary boundary layer and its application to sea fog simulation[J].Acta Meteorologica Sinica79(1): 119-131.DOI: 10.11676/qxxb2021.003 .
null
苗世光, 蒋维楣, 李昕, 等, 2001.对流边界层大涡模式的改进及对夹卷速度的研究[J].大气科学25(1): 25-37.DOI: 10.3878/j.issn.1006-9895.2001.01.03.Miao S G
null
Jiang W M Li X, et al, 2001.Improvements of the large eddy simulation models and a study of the entrainment rate[J].Chinese Journal of Atmospheric Sciences25(1): 25-37.DOI: 10.3878/j.issn.1006-9895.2001.01.03 .
null
苏爱芳, 郑永光, 张宁, 等, 2022.边界层辐合线触发深厚湿对流研究进展[J].气象学报80(2): 177-189.DOI: 10.11676/qxxb2022.013.Su A F
null
Zheng Y G Zhang N, et al, 2022.A review of research on boundary convergence lines triggering of deep and moist convection[J].Acta Meteorologica Sinica80(2): 177-189.DOI: 10.11676/qxxb2022.013 .
null
王冠添, 胡泽勇, 孙根厚, 等, 2023.那曲地区不同季节陆面过程与大气边界层演变耦合关系的对比分析[J].高原气象42(1): 197-209.DOI: 10.7522/j.issn.1000-0534.2022.00011.Wang G T
null
Hu T Y Sun G H, et al, 2023.Comparative analysis of coupling relationship between land surface processes and atmospheric boundary layer evolution in Nagqu Area in different seasons[J].Plateau Meteorology42(1): 197-209.DOI: 10.7522/j.issn.1000-0534.2022.00011 .
null
王蓉, 张强, 岳平, 等, 2020.大气边界层数值模拟研究与未来展望[J].地球科学进展35(4): 331.DOI: 10.11867/j.issn.1001-8166.2020.036.Wang R
null
Zhang Q Yue P, et al, 2020.Summary and prospects of numerical simulation research of the atmospheric boundary layer[J].Advances in Earth Science35(4): 331.DOI: 10.11867/j.issn.1001-8166.2020.036 .
null
熊洁, 李俊, 王明欢, 2021.随机参数扰动在一次山地暴雨集合预报中的对比研究[J].气象47(8): 953-965.DOI: 10.7519/j.issn.1000-0526.2021.08.004.Xiong J
null
Li J Wang M H2021.Comparative study of stochastically perturbed parameterization in ensemble forecast of a mountain rainstorm event [J].Meteorological Monthly47(8): 953-965.DOI: 10.7519/j.issn.1000-0526.2021.08.004 .
null
杨玉华, 刘长海, Jimy D, 等, 2016.基于大涡模拟对两类典型边界层参数化方案的评估分析[J].高原气象35(1): 172-180.DOI: 10.7522/j.issn.1000-0534.2014.00138.Yang Y H
null
Liu C H Jimy D, et al, 2016.Evaluation of two typical PBL parameterization schemes based on large-eddy simulation result[J].Plateau Meteorology35(1): 172-180.DOI: 10.7522/j.issn.1000-0534.2014.00138 .
null
张璐, 黄倩, 张宏昇, 等, 2021.干湿地表的湍流特征及其对深对流影响的大涡模拟[J].气象学报79(4): 659-673.DOI: 10.11676/qxxb2021.037.Zhang L
null
Huang Q Zhang H S, et al, 2021.Large eddy simulation of turbulence effects on deep-convection triggering over dry and wet surfaces[J].Acta Meteorologica Sinica79(4): 659-673.DOI: 10.11676/qxxb2021.037 .
null
张美根, 胡非, 邹捍, 等, 2008.大气边界层物理与大气环境过程研究进展[J].大气科学32(4): 923-934.
null
Zhang L Huang Q Zhang H S, et al, 2008.An overview of recent studies on atmospheric boundary layer physics and atmospheric environment in LAPC[J].Chinese Journal of Atmospheric Sciences32(4): 923-934.
null
张强, 王蓉, 岳平, 等, 2017.复杂条件陆-气相互作用研究领域有关科学问题探讨[J].气象学报75(1): 39-56.DOI: 10.11676/qxxb2017.003.Zhang Q
null
Wang R Yue P, et al, 2017.Several scientific issues about the land-atmosphere interaction under complicated conditions[J].Acta Meteorologica Sinica75(1): 39-56.DOI: 10.11676/qxxb2017.003 .
null
张强, 王胜, 2008.西北干旱区夏季大气边界层结构及其陆面过程特征[J].气象学报66(4): 599-608.DOI: 10.3321/j.issn: 0577-6619.2008.04.013.Zhang Q
null
Wang S2008.Several scientific issues about the land-atmosphere interaction under complicated conditions[J].Acta Meteorologica Sinica66(4): 599-608.DOI: 10.3321/j.issn: 0577-6619.2008.04.013 .
null
张敏, 梁捷宁, 张志达, 等, 2022.利用大涡模拟分析地表加热和动力作用对边界层结构的影响[J].高原气象41(5): 1232-1241.DOI: 10.7522/j.issn.1000-0534.2021.00046.Zhang M
null
Liang J N Zhang Z D, et al, 2022.Analyze the surface thermodynamic and dynamic effects on the atmospheric boundary layer structure by large eddy simulation[J].Plateau Meteorology41(5): 1232-1241.DOI: 10.7522/j.issn.1000-0534.2021.00046 .
null
张珊, 王宗敏, 黄刚, 等, 2023.基于WRF-LES的崇礼复杂地形局地风场模拟研究[J].高原气象42(1): 197-209.DOI: 10.7522/j.issn.1000-0534.2022.00011.Zhang S
null
Wang Z M Huang G, et al, 2023.Local wind simulation over complex terrain of Chongli using WRF-LES[J].Plateau Meteorology42(1): 197-209.DOI: 10.7522/j.issn.1000-0534.2022.00011 .
文章导航

/