40年青藏高原雪深变化及对气候变化的响应分析

  • 曹晓云 , 1, 2 ,
  • 张娟 , 1, 2, 3 ,
  • 王镜 2, 4 ,
  • 史飞飞 1, 2 ,
  • 刘致远 1, 2 ,
  • 孙子婷 5
展开
  • 1. 青海省气象科学研究所,青海 西宁 810001
  • 2. 青海省防灾减灾重点实验室,青海 西宁 810001
  • 3. 中国科学院西北生态环境资源研究院,甘肃 兰州 730099
  • 4. 西宁市气象局,青海 西宁 810001
  • 5. 青海师范大学地理科学学院,青海 西宁 810001
张娟(1979 -), 女, 河北保定人, 正研级高工, 主要从事青藏高原积雪遥感监测研究. E-mail:

曹晓云(1993 -), 女, 青海湟中人, 工程师, 主要从事青藏高原气候与环境研究. E-mail:

收稿日期: 2024-12-02

  修回日期: 2025-03-03

  网络出版日期: 2025-04-11

基金资助

青海省科技计划项目(2024-ZJ-740)

国家自然科学基金项目(U22A20556)

国家自然科学基金项目(U21A2021)

Snow Depth and its Response to Climate Change over the Qinghai-XizangTibetanPlateau in Recent 40 Years

  • Xiaoyun CAO , 1, 2 ,
  • Juan ZHANG , 1, 2, 3 ,
  • Jing WANG 2, 4 ,
  • Feifei SHI 1, 2 ,
  • Zhiyuan LIU 1, 2 ,
  • Ziting SUN 5
Expand
  • 1. Institute of Qinghai Meteorological Science Research,Xining 810001,Qinghai,China
  • 2. Key Laboratory of Disaster Prevention and Mitigation of Qinghai Province,Xining 810001,Qinghai,China
  • 3. Chinese Academy of Sciences Northwest Institute of Ecological Environment and resources,Lanzhou 730099,Gansu,China
  • 4. Xining Meteorological Bureau,Xining 810001,Qinghai,China
  • 5. College of Qinghai Normal University Geography Sciences,Xining 810001,Qinghai,China

Received date: 2024-12-02

  Revised date: 2025-03-03

  Online published: 2025-04-11

Copyright

© Editorial Department of Plateau Meteorology (CC BY-NC-ND)

摘要

基于中国雪深长时间序列数据集和高分辨率地面气象要素驱动数据集, 分流域和海拔梯度分析了1980 -2020年积雪季青藏高原雪深的时空变化规律, 并结合水热因子探究了雪深对气候变化的响应。结果表明: (1)1980 -2020年积雪季青藏高原雪深空间差异明显, 呈西高东低、 高海拔山脉地区大于盆地平原的分布格局, 高海拔山脉地区平均雪深普遍大于10 cm, 64.74%的区域平均雪深呈波动减小趋势, 显著减小区域占比为29.09%, 高原雪深平均减小速率为0.25 cm·(10a)-1。(2)雪深及其变化趋势受海拔影响存在明显的垂直地带性, 平均雪深随海拔上升先增大后减小再增大, 4.2 km和4.8 km的海拔是分界线; 不同海拔区域的雪深均呈减小趋势, 雪深减小速率随海拔上升先增大后减小, 5.0 km的海拔是分界线, 5.0~5.2 km海拔的平均雪深减小速率最快, 达3.36 cm·(10a)-1, 平均雪深年际变化存在明显的“海拔依赖性”, 高海拔地区的雪深减小速率明显高于低海拔地区, 尤其是4.8~5.5 km地区的雪深。(3)1980 -2020年积雪季青藏高原气候变化表现出整体“暖湿化”、 但西北部和南部“暖干化”的态势, 但雪深对气候变化的响应具有流域差异和海拔差异, 其中, 怒江、 恒河、 阿姆河和印度河流域暖干化的气候条件导致雪深减少; 雅鲁藏布江、 高原内陆、 长江流域、 柴达木和塔里木盆地气温对雪深的影响更显著; 而黄河、 黑河流域降水对雪深的影响更显著。小于3.5 km的地区暖干化的气候条件导致雪深减小, 而大于3.5 km的地区气温对雪深的影响更显著, 气温的海拔依赖性增暖现象解释了雪深的海拔依赖性减小现象。

本文引用格式

曹晓云 , 张娟 , 王镜 , 史飞飞 , 刘致远 , 孙子婷 . 近40年青藏高原雪深变化及对气候变化的响应分析[J]. 高原气象, 2025 , 44(5) : 1133 -1145 . DOI: 10.7522/j.issn.1000-0534.2025.00024

Abstract

Based on the China snow depth time series data set and high resolution ground meteorological element driven dataset, this study analyzes the spatial and temporal variation of snow depth on the Qinghai-Xizang (Tibetan) Plateau by watershed and elevation gradient during the 1980 -2020 snow season considering different river basins and elevation gradients.Additionally, the study investigates the response of snow depth to climate change in the context of hydrothermal factors.The results show that: (1) Spatial difference in snow depth on the Qinghai-Xizang (Tibetan) Plateau was obvious, showing a distribution pattern of high in the west and low in the east, and greater in the high-altitude mountain areas than in the basin plains, with the average snow depth in the high-altitude mountain areas generally greater than 10 cm.The average snow depth decreased at a rate of 0.25 cm/decade, 64.74% of the regions showed a declining trend, with statistically significant decreases in 29.09% on the Qinghai-Xizang (Tibetan) Plateau during the snow season from 1980 to 2020.(2) There is a clear vertical zonation of snow depth and its trend as influenced by altitude.Below an altitude of 4.2 km, average snow depth increased with elevation.Between 4.2 km and 4.8 km, average snow depth decreased as elevation rises.Above 4.8 km, average snow depth again increased with elevation.A decreasing trend in snow depth was observed across all elevation bands, with the rate of decrease initially increasing and then decreasing with elevation, exhibiting a threshold at approximately 5.0 km.The most rapid decrease in mean snow depth [3.36 cm·(10a)-1]occurred in the 5.0~5.2 km elevation band.The interannual variation of mean snow depth exhibited a pronounced altitude-dependent pattern, the rate of snow depth reduction was significantly higher at higher elevations than at lower elevations, especially at 4.8~5.5 km.(3) Climate change on the Qinghai-Xizang (Tibetan) Plateau is ‘warmer and wetter’ overall, but ‘warmer and drier’ in the north-west and south during the snow season from 1980 to 2020.However, there are watershed differences and elevation differences in the response of snow depth to climate change.Specifically, in the Nujiang, Ganges, Amu Darya, and Indus River basins, the warming and aridification of climate conditions have contributed to a reduction in snow depth.Conversely, temperature has a more pronounced effect on snow depth in the Yarlung Tsangpo River, the interior plateau, as well as the Yangtze River basins, the Qaidam Basin, and the Tarim Basin.Additionally, precipitation plays a more significant role in influencing snow depth in the Yellow River, Heihe River basin.In regions with altitudes below 3.5 km, climate conditions characterized by warming and aridification have led to a reduction in snow depth.However, in areas with altitudes above 3.5 km, temperature has a more pronounced influence on snow depth.The altitude-dependent warming of temperature accounts for the altitude-dependent reduction in snow depth.

1 引言

积雪是冰冻圈的重要组成部分, 也是地球表面最为活跃的自然要素之一, 显著影响地表能量收支平衡、 水文循环过程、 大气环流等, 被认为是气候系统变化的重要指示器, 也是影响全球气候系统的关键因素之一(王建等, 2018王宁练等, 2023曹晓云等, 2022雷润芝等, 2023史飞飞等, 2024周秉荣等, 2024)。雪深是流域水量平衡、 融雪径流模拟等模型的重要输入参数(徐帆等, 2024), 它对淡水资源供应、 冻土保持和植被生长有着重要影响(Kang et al, 2010刘杰等, 2024刘一静等, 2020)。青藏高原被誉为“地球第三极”和“亚洲水塔”, 拥有除南北极以外最丰富的冰雪资源, 是亚洲众多大江大河的发源地(Immerzeel et al, 2019)。 因此, 开展青藏高原雪深变化及对气候变化响应的研究对雪水资源管理、 生态环境保护和气候变化预测具有重要意义。
在过去的40年里, 全球经历了快速变暖, 变暖具有显著的季节差异且非生长季的增温速率明显高于生长季增温, 这种现象在青藏高原地区尤为明显(Bibi et al, 2018Ma et al, 2023a; You et al, 2020)。研究表明, 青藏高原地区在过去40年的全年、 夏季和冬季平均增暖速率分别为0.36 ℃·(10a)-1、 0.35 ℃·(10a)-1和0.41℃·(10a)-1魏莹, 2020张霞等, 2023), 远高于同纬度区域。此外, 在青藏高原地区, 海拔依赖性变暖尤为显著, 高海拔地区的变暖速率明显高于低海拔地区(Guo et al, 2021), 这会进一步加剧冰冻圈的退缩。研究表明, 近40年来青藏高原积雪范围、 积雪日数、 积雪深度、 雪水当量总体均呈减小趋势, 融雪首日有所提前, 且存在较大的时空差异性, 气温和降水量是主导积雪变化的气候因子(Gao et al, 2023a; Ma et al, 2023a, 2023b; 魏莹, 2020保云涛, 2019沈鎏澄, 2020曹晓云等, 2022车涛等, 2019黄晓东等, 2023史飞飞等, 2024王芝兰等, 2022周秉荣等, 2024)。尽管许多研究已经证实了气候变化对青藏高原积雪影响的时空异质性并探讨了其影响因素, 但仍然存在诸多不确定性和局限性, 一方面, 多数研究倾向于将高原积雪视为一个整体来探讨其对气候变化的响应, 却忽视了积雪变化的空间差异; 另一方面, 青藏高原气候变暖存在海拔越高、 升温越快的“海拔依赖现象”(Guo et al, 2019You et al, 2020), 海拔依赖性变暖会加速青藏高原高海拔地区积雪的消融, 这对周边地区水资源的可持续供给构成严重威胁, 然而, 由于缺乏高精度的气象观测数据, 青藏高原地区积雪的变化是否与海拔相关尚不清楚, 积雪变化是否对海拔依赖性变暖有明显的响应也是未知的。
遥感技术凭借其在多尺度观测、 多时相监测、 多谱段分析以及多层次展现等方面的优势, 为深入研究复杂地形山区的积雪特征提供了高质量的数据资源(曹晓云等, 2022黄晓东等, 2023), 其中, 被动微波遥感因其长时序, 高时间分辨率和覆盖范围广等特点, 逐渐发展成为主要的雪深监测手段, 弥补了站点观测的不足(王静等, 2023)。其中, 最具代表性之一的积雪产品是中国雪深长时间序列数据集(车涛等, 2015), 评估结果显示该产品对高原积雪的显著季节性特征及气候尺度的年际变化特征与台站观测资料具有很好的一致性(王静等, 2023王芝兰等, 2022徐帆等, 2024), 已被广泛应用于青藏高原气候分析、 水文模拟和水资源管理等研究领域。第三极地面气象要素驱动数据集(阳坤等, 2023)于2023年11月发布, 较目前主流的再分析数据具有更高的精度(张群慧等, 2024), 可用于第三极地区气候分析和陆面、 水文、 生态相关的模型输入, 可以更精准地揭示积雪变化是否对海拔依赖性变暖有明显响应这一科学问题。
因此, 本文基于中国雪深长时间序列数据集和第三极地面气象要素驱动数据集资料, 分流域和海拔梯度探究了1980 -2020年青藏高原雪深变化及其对气候变化的响应, 以期为青藏高原积雪水资源管理、 生态环境保护和气候变化预测提供科学依据。

2 研究区、 数据来源与方法介绍

2.1 研究区概况

青藏高原被称为“地球第三极”, 位于欧亚大陆中心, 其范围北起西昆仑山与祁连山北麓, 南至喜马拉雅山等山脉南麓, 南北最宽达1560 km; 西起兴都库什山脉和帕米尔高原西缘, 东至横断山等山脉东缘, 东西最长约3360 km, 总面积约为308.34×104 km2, 海拔范围为100~8848 m, 平均海拔约4320 m(张镱锂, 2019; 张镱锂等, 2021)。青藏高原地形复杂, 地势总体呈西北高、 东南低的态势, 喜马拉雅山脉、 喀喇昆仑山脉、 冈底斯山脉、 昆仑山脉、 念青唐古拉山脉、 唐古拉山脉、 巴颜喀拉山、 阿尔金山脉、 祁连山脉海拔均4500 m以上, 高大山脉的雪线以上有终年不化的积雪, 雪山冰川广布, 雅鲁藏布江、 恒河、 长江、 黄河、 湄公河等均发源于此, 按流域可以划分为长江、 黄河等12个流域(张国庆, 2019)(图1表1)。
图1 青藏高原海拔和流域分布

Fig.1 Elevation and watershed distribution on the Qinghai-Xizang (Tibetan) Plateau

表1 青藏高原流域信息

Table 1 The Information of the Qinghai-XizangTibetanPlateau Basin

序号 代码 流域
1 YZ 长江流域
2 YE 黄河流域
3 HX 黑河流域
4 QD 柴达木盆地
5 MK 湄公河流域
6 SW 怒江流域
7 BM 雅鲁藏布江流域
8 GA 恒河流域
9 AD 阿姆河流域
10 ID 印度河流域
11 TR 塔里木盆地
12 IP 高原内陆流域

2.2 研究数据

(1) 中国雪深长时间序列数据集
本文所用到的被动微波遥感反演雪深数据是“中国雪深长时间序列数据集(1979 -2020年)”(车涛等, 2015)。该产品在被动微波反演雪深产品的基础上针对中国积雪特性及气象站点雪深观测数据做了差异化处理, 首先, 考虑到不同传感器之间的系统差异, 在进行雪深反演前, 对来自多个传感器的星载被动微波亮度温度数据进行了交叉订正。之后, 对交叉定标后具有时间一致性的SMMR(1979 -1988年)、 SSMI(1988 -2008年)和SSMI/S(2009 -2020年)逐日被动微波亮度温度数据采用Che算法进行雪深反演。反演得到的中国雪深长时间序列数据集以ASCII 格式存储, 采用WGS84投影, 空间分辨率为25 km, 时间分辨率为1日。本文选取1979 -2020年每年10月至次年5月逐日雪深数据进行分析, 可从时空三极环境大数据平台可免费获得(https: //poles.tpdc.ac.cn/zh-hans/data/df40346a-0202-4ed2-bb07-b65dfcda9368/), 精度满足科学研究需求。
(2) 第三极地面气象要素驱动数据集
本文所用到的气象要素数据来自“第三极地区长时间序列高分辨率地面气象要素驱动数据集(TPMFD, 1979 -2022年)”(阳坤等, 2023)。该数据包含月、 日、 小时尺度的降水、 2 m气温、 2 m比湿、 10 m风速、 近地面气压、 向下长波辐射和向下短波辐射7个变量, 空间分辨率为1/30°。由于该数据集在研制过程中融合了可靠的站点观测数据、 高分辨率模型模拟结果、 再分析数据等, 相比于目前主流的再分析数据具有更高的精度, 因此被广泛应用于第三极地区气候分析和陆面、 水文、 生态相关的模型输入(张群慧等, 2024)。本文选取1979 - 2020年每年10月至次年5月逐日的降水、 2 m气温数据进行分析, 从国家青藏高原科学数据中心可免费获得(https: //data.tpdc.ac.cn/zh-hans/data/44a449ce-e660-44c3-bbf2-31ef7d716ec7), 精度满足科学研究需求。
(3) DEM数据
DEM采用SRTM 90 m空间分辨率的数据, 从地理空间数据云可免费获得(https: //www.gscloud.cn/)。通过预处理, 重采样和重投影成与雪深数据一致的空间分辨率和投影, 之后, 将海拔从0~8.8 km按2 km、 2.5 km、 3 km、 3.5 km、 4 km、 4.2 km、 4.4 km、 4.6 km、 4.8 km、 5.0 km、 5.2 km、 5.5 km、 6.0 km、 6.0 km划分为14级(图1), 用来精细化探究不同海拔梯度和平均雪深时空变化特征之间的关系。

2.3 研究方法

(1) Theil-Sen Median趋势分析
本文中定义每年积雪季为上年10月1日至当年5月31日。对积雪季的雪深、 气温和降水利用Theil-Sen Median方法进行趋势分析(黄嘉佑等, 2015)。Sen斜率计算公式如下:
S e n = M e d i a n x i - x j i - j , i j
式中: x i x j为时间序列数据; Median()表示序列中位数; Sen0表示随时间呈增大趋势; Sen0表示随时间呈减小趋势。
(2) Mann-Kendall检验
基于Mann-Kendall(M-K)非参数检验法(黄嘉佑等, 2015)对积雪季的雪深、 气温和降水趋势进行显著性检验, 并对1980 -2020年积雪季青藏高原平均雪深的突变情况进行了检验, 分析平均雪深发生的变化趋势, 给定显著性水平0.01, 即 u 0.05 = 1.96。M-K非参数检验的计算公式为:
S = i = 1 n - 1 j = i + 1 n s g n ( x i - x j )
式中:
s g n ( x j - x i ) = + 1 , x j - x i 0 0 , x j - x i = 0 - 1 , x j - x i 0
S为正态分布, 其均值为0, 方差 V a r ( S )计算公式为:
V a r ( S ) = n ( n - 1 ) ( 2 n + 5 ) 18
n 10时, 标准的正态统计变量通过式(5)计算:
Z = S - 1 V a r ( S ) , S 0 0 , S = 0 S + 1 V a r ( S ) , S 0
Z值用于衡量时间序列的变化趋势及其是否显著。在给定的 α置信水平上, 如果 Z Z 1 - α / 2, 表明时间序列数据存在明显趋势变化。 Z 1 - α / 2为在 α置信水平上, 标准正态函数分布表对应的值, 当 Z的绝对值大于1.65、 1.96和2.58时, 表示趋势分别通过了信度为90%、 95%和99%的显著性检验。
(3) 偏相关分析
利用偏相关系数(黄嘉佑等, 2015)来准确衡量平均雪深与同期气温和降水量之间的直接关系。其计算公式为:
R 12,3 = R 12 - R 13 R 23 1 - R 12 2 1 - R 23 2
式中: R 12,3表示降水量不变, 平均雪深和气温间净相关的强弱程度, 在分析平均雪深和气温的相关性中排除了降水量的影响; R 12 R 13 R 23分别表示平均雪深和气温、 平均雪深和降水量、 气温和降水量的相关系数; 之后, 采用t检验法进行显著性检验。

3 结果与分析

3.1 雪深时空变化特征

1980 -2020年积雪季青藏高原年均雪深为3.15 cm, 积雪分布广泛, 但空间差异明显, 呈西高东低、 高海拔山脉地区大于盆地平原的分布格局。其中, 柴达木盆地(QD)、 黄河流域(YE)中部以及高原内陆流域(IP)南部等地区平均雪深较低, 不到1 cm, 而喜马拉雅山脉、 喀喇昆仑山脉、 念青唐古山脉、 横断山脉等高海拔山区平均雪深普遍大于10 cm, 部分山区甚至超过16 cm[图2(a)]。不同流域年均雪深也差异明显, 柴达木盆地(QD)是青藏高原雪深最小的区域, 年均雪深仅1.2 cm, 高原内陆流域(IP)虽然平均海拔最高(4960 m), 但雪深仅为1.3 cm。而高原西北部的阿姆河流域(AD)、 塔里木盆地(TR)、 印度河流域(ID)、 恒河流域(GA)和湄公河流域(MK), 南部的怒江流域(SW)、 雅鲁藏布江流域(BM)平均雪深较厚, 均超过3.0 cm, 特别是阿姆河流域(AD), 平均雪深达10.3 cm[图2(b)、 图2(c)]。这可能是由于青藏高原积雪主要为季节性积雪, 在积雪季, 高海拔山区特殊的地理地形使得北方冷空气与印度洋暖湿气流在此交汇, 易产生降雪, 同时高海拔引起的低温环境有利于积雪的补给和保持(沈鎏澄, 2020黄晓东等, 2023), 雪深较厚; 柴达木盆地(QD)深居高原内陆, 加之产生降雪的水汽条件较差, 同时气候较为干旱, 气温较高, 蒸发快, 不利于积雪维持(史飞飞等, 2024黄晓东等, 2023), 因此雪深较小; 高原内陆流域(IP)虽然海拔较高, 但由于周围山脉的阻挡, 水汽输送较差, 产生的降雪较少, 加之风力较大, 不易形成积雪(Gao et al, 2023a黄晓东等, 2023), 因此雪深较小。
图2 1980 -2020年积雪季青藏高原年均雪深空间分布(a)、 不同流域的平均雪深(b)及海拔(c)对比

Fig.2 Spatial distribution of mean annual snow depth (a), mean snow depth (b) and elevation (c) in different basins on the Qinghai-Xizang (Tibetan) Plateau during the snow season from 1980 to 2020

从时间序列上看, 1980 -2020年积雪季青藏高原平均雪深总体呈波动减小趋势, 年际变化速率为-0.25 cm·(10a)-1P0.05), 表明近41年积雪季青藏高原每经过10年平均雪深变浅0.25 cm。其中1998年出现最大值, 为5.21 cm, 2018年出现最小值, 为1.93 cm, 这与王芝兰等(2022)李延等(2024)的结论一致, 大气环流异常导致高原雪深的异常, 说明青藏高原雪深仍不稳定, 易受气候等因素的扰动[图3(a)]。进一步用M-K法对1980 -2020年积雪季青藏高原平均雪深进行突变检验, 结果表明, 除1982 -1984年、 1986 -1987年外, 其余年份UF值均小于0, 且1988 -2020年, UF值均小于0, 青藏高原平均雪深呈持续减小趋势。UF和UB曲线在1991年、 1993年、 1996年和1998年存在交点, 且在置信区间内, 表明青藏高原平均雪深变化趋势在这4个年份出现突变, 但并不显著。UF曲线在2004年超过0.05显著性水平, 说明2004年后青藏高原平均雪深减小趋势达到显著水平, 2018年后减小幅度变小, 但减小趋势仍然显著, 综上所述, 1980 -2020年积雪季青藏高原平均雪深呈“减少-增加-减少-增加-减少”的变化[图3(b)]。
图3 1980 -2020年积雪季青藏高原年均雪深年际变化(a)和年际变化的显著性检验(b)

Fig.3 Interannual variation in mean annual snow depth (a) and significance test for interannual variation (b) on the Qinghai-Xizang (Tibetan) Plateau during the snow season from 1980 to 2020

1980 -2020年积雪季青藏高原平均雪深的变化趋势也呈明显的空间差异, 其中, 64.74%的区域平均雪深年际变化速率小于0, 显著减小区域面积占比29.09%, 表明近41年来青藏高原积雪季雪深以减小趋势为主, 怒江流域(SW)平均雪深减小速率最快, 平均减小速率为0.53 cm·(10a)-1, 其次是恒河流域(GA)、 湄公河流域(MK)、 雅鲁藏布江流域(BM)和高原内陆流域(IP), 平均雪深减小速率均超过0.26 cm·(10a)-1。其中, 高原内陆流域(IP)大部、 雅鲁藏布江流域(BM)大部、 怒江流域(SW)西北部和恒河流域(GA)大部等地区平均雪深减小趋势最为显著, 喜马拉雅山脉、 念青唐古拉山脉、 唐古拉山脉等地区平均雪深减小速率甚至超过1.5 cm·(10a)-1, 而28.21%的区域平均雪深年际变化呈增加趋势, 主要分布在黄河流域(YE)南部、 黑河流域(HX)西部、 长江流域(YZ)东部、 柴达木盆地(QD)西南部、 塔里木盆地(TR)东南部以及印度河流域(IP)等地区, 这些区域的局部地区平均雪深呈显著增加趋势, 显著增加区域面积占比5.34%, 部分地区平均雪深增加速率超过0.5 cm·(10a)-1。此外, 7.05%的区域平均雪深维持不变, 主要分布在柴达木盆地(QD)中部、 长江流域(YZ)南部、 湄公河流域(MK)南部和怒江流域(SW)南部等地区, 可能跟这些地区降雪稀少有关[图4(a), (b)、 表2]。
图4 1980 -2020年积雪季青藏高原年均雪深变化趋势(a)及其显著性检验(b)空间分布

Fig.4 Spatial distribution of trends in mean annual snow depth (a) and its significance test (b) on the Qinghai-Xizang (Tibetan) Plateau during the snow season from 1980 to 2020

表2 1980 -2020年积雪季青藏高原平均雪深年际变化速率及其显著性检验统计

Table 2 Interannual variation rate of average snow depth and its significance test statistics on the Qinghai-XizangTibetanPlateau during the snow season from 1980 to 2020

流域 平均年际变化速率/[cm·(10a)-1 面积百分比/%
不显著减小 显著减小 不显著增加 显著增加 不变
AD -0.04 55.87 2.02 40.87 1.24 0.00
BM -0.26 31.72 41.24 11.31 5.81 9.92
GA -0.41 33.63 43.98 7.23 6.96 8.21
HX 0.13 31.03 0.00 49.22 19.75 0.00
ID -0.10 51.05 13.48 32.49 2.91 0.06
IP -0.26 21.61 56.37 11.58 4.88 5.56
MK -0.39 52.34 24.77 11.21 2.45 9.23
QD -0.03 33.02 24.28 22.88 4.62 15.19
SW -0.53 26.16 47.20 9.99 4.06 12.59
TR -0.06 41.84 11.20 33.75 12.60 0.62
YE 0.02 40.52 8.44 37.76 7.17 6.11
YZ -0.06 40.19 15.61 29.38 3.35 11.47
TP -0.25 35.66 29.09 22.87 5.34 7.05

3.2 雪深海拔分异

青藏高原积雪季平均雪深在不同海拔高度上具有较大的差异性。平均雪深随海拔上升呈先增大后减小再增大的分布格局, 海拔3.5 km以上地区为青藏高原雪深主要分布区, 面积占比为89.51%, 3.5 km以下地区平均雪深不足2.3 cm; 3.5~4.4 km地区平均雪深随海拔上升而增大, 其中, 4.2~4.4 km的平均雪深为4.15 cm; 4.2~5.0 km地区平均雪深随海拔上升而减小, 其中, 4.8~5.0 km地区平均雪深为2.88 cm; 而大于4.8 km的地区平均雪深随海拔上升而增大, 其中大于6.0 km的地区平均雪深最高, 为5.39 cm[图5(a), (b)]。这主要是由于低海拔区域降雪少, 加之气温较高, 不利于积雪的累积(曹晓云等, 2022); 4.0~4.4 km地区受高大山脉的地形抬升作用、 局地环流影响, 有利于降雪的发生, 高海拔导致的低温环境有利于积雪的保存(沈鎏澄, 2020黄晓东等, 2023); 而4.4~5.2 km多分布在高原内陆流域(ID), 这些地区深居内陆, 周边众多高大山脉阻挡了水汽输送, 季风影响减弱(李双行等, 2024), 不利于降雪, 加之风力大, 不易形成积雪(Gao et al, 2023b黄晓东等, 2023), 因此雪深较小; 海拔5.2 km区域多雪山冰川, 平均雪深最高(曹晓云等, 2022黄晓东等, 2023)。
图5 1980 -2020年积雪季青藏高原不同海拔多年平均雪深(a)及面积占比(b)

Fig.5 Multi-year average snow depth (a) and area share (b) at different altitudes on the Qinghai-Xizang (Tibetan) Plateau during the snow season from 1980 to 2020

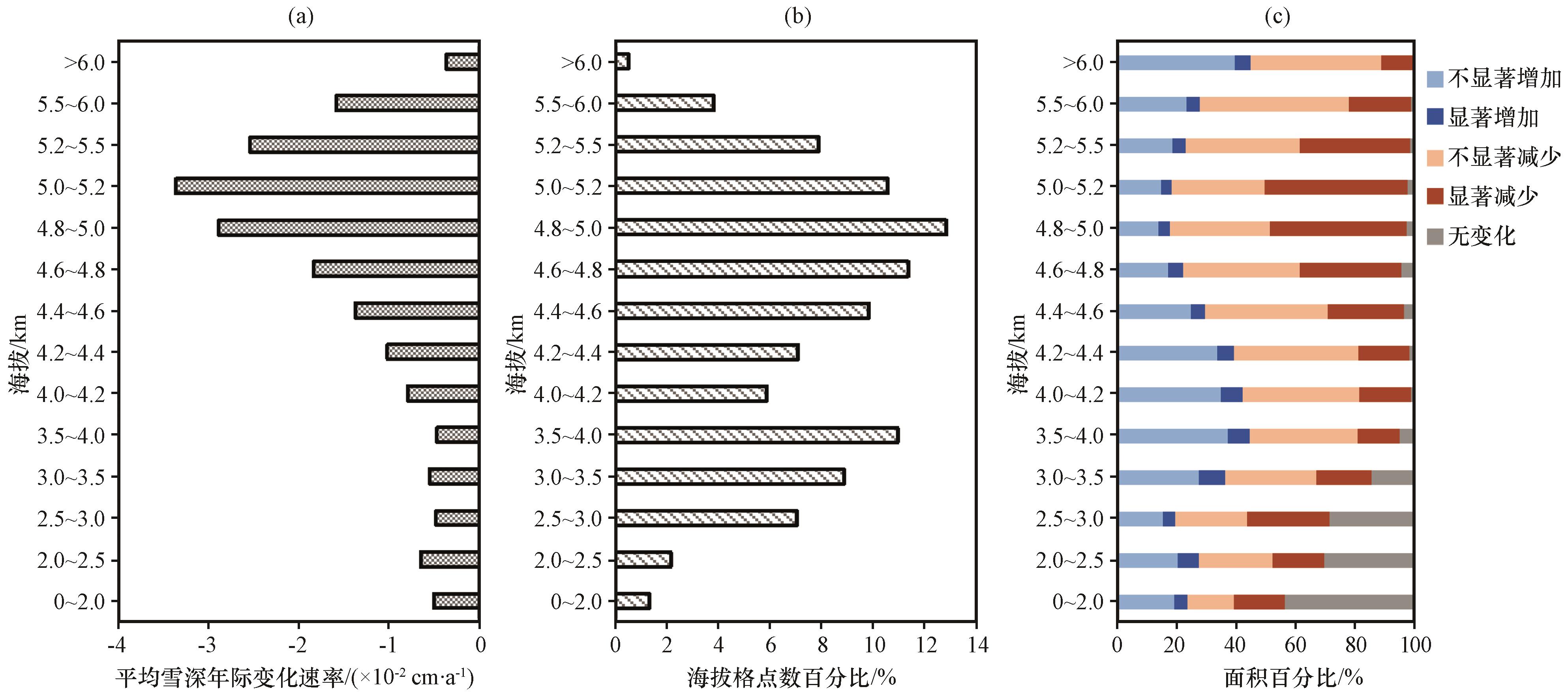
图6可以看出, 1980 -2020年积雪季青藏高原不同海拔区域的平均雪深均呈减小趋势, 减小速率随海拔上升呈先增大后减小的态势, 小于5.2 km的地区平均雪深减小速率随海拔上升而增大, 大于5.2 km的地区平均雪深减小速率随海拔上升而减小。其中, 小于4.2 km的地区平均雪深减小速率均不足1.0 cm·(10a)-1, 4.2~5.2 km的地区平均雪深减小速率随海拔上升指数型增加, 4.8~5.5 km地区平均雪深减小速率最快, 均超过2.50 cm·(10a)-1, 显著减小的区域面积占比最大, 均超过36.93%, 5.0~5.2 km地区平均雪深减小速率最快, 甚至达3.36 cm·(10a)-1, 显著减小的区域面积占比高达48.26%; 5.5~6.0 km和大于6 km地区平均雪深减小速率分别为1.58 cm·(10a)-1和0.36 cm·(10a)-1图6(a)~(c)]。表明青藏高原平均雪深年际变化存在明显的“海拔依赖性”, 高海拔地区的雪深减小速率明显高于低海拔地区, 尤其是4.8~5.5 km地区的雪深减小速率明显高。
图6 1980 -2020年积雪季青藏高原不同海拔平均雪深年际变化速率(a)、 面积占比(b)和显著性检验面积占比(c)

Fig.6 Rate of interannual change in mean snow depth (a), area share (b) and significance test area share (c) at different altitudes on the Qinghai-Xizang (Tibetan) Plateau during the snow season from 1980 to 2020

3.3 雪深对气候变化的响应

由1980 -2020年积雪季青藏高原气温、 降水量的年际变化速率空间分布(图7)可以看出, 近41年来, 青藏高原积雪季平均气温整体显著上升, 其中柴达木盆地(QD)中部、 黄河流域(YE)大部、 长江流域(YZ)北部和中西部、 湄公河流域(MK)大部、 怒江流域(SW)中北部、 高原内陆流域(IP)东部、 雅鲁藏布江流域(BM)北部和西部、 印度河流域(ID)大部、 塔里木盆地(TR)西北部、 阿姆河流域(AD)南部地区升温最明显, 平均气温年际变化速率超过0.5 ℃·(10a)-1图7(a)]。青藏高原积雪季累积降水量除了高原南部和西北部减少外, 其余地区均呈增多趋势, 其中长江流域(YZ)北部、 黄河流域(YE)南部、 湄公河流域(MK)北部、 怒江流域(SW)北部、 雅鲁藏布江流域(BM)中部、 恒河流域(GA)东部地区降水量增多最明显, 累计降水量年际变化速率超过2 mm·a-1, 而雅鲁藏布江流域(BM)东部、 怒江流域(SW)南部地区降水量减少最明显, 累计降水量年际变化速率超过-4 mm·a-1, 阿姆河流域(AD)大部、 印度河流域(ID)西部、 恒河流域(GA)西北部、 长江流域(YZ)南部地区累计降水量年际变化速率为-4~-0.5 mm·a-1图7(b)]。总体而言, 近41年积雪季青藏高原气候变化表现出整体“暖湿化”, 但西北部和南部“暖干化”的态势。
图7 1980 -2020年积雪季青藏高原平均气温(a)、 累积降水量(b)的年际变化速率空间分布

Fig.7 Spatial distribution of interannual variation rates of mean temperature (a) and cumulative precipitation (b) on the Qinghai-Xizang (Tibetan) Plateau during the snow season from 1980 to 2020

从时间序列上来看, 1980 -2020年积雪季青藏高原年平均气温为-6.93~-4.57 ℃, 降水量为188.96~247.13 mm; 近41年积雪季, 平均气温的升温速率为0.36 ℃·(10a)-1P0.01), 年降水量的增加速率为21.41 mm·(10a)-1P0.05)。对比年平均雪深可以发现, 通常“冷湿”年份(如1983年、 1998年和2020年等)平均雪深偏大, “暖干”年份(如1999年、 2006年和2018年等)平均雪深偏小。青藏高原平均雪深与气温的偏相关系数为-0.47, 呈极显著负相关, 与累积降水量的偏相关系数为-0.19(图8), 表明气温变化对青藏高原雪深的影响更显著, 近41年来, 积雪季气候变暖是影响青藏高原平均雪深减小的主要原因。
图8 1980 -2020年积雪季青藏高原年平均气温、 累积降水量年际变化

Fig.8 Interannual variations of annual mean temperature and cumulative precipitation on the Qinghai-Xizang (Tibetan) Plateau during the snow season from 1980 to 2020

表3给出了1980 -2020年积雪季青藏高原平均雪深、 气温、 降水量及其年际变化速率的流域差异。从表3中可以看出, 雪深对气候变化的响应具有流域差异, 怒江流域(SW)的气温以0.38 ℃·(10a)-1的速率升温, 降水量以0.94 mm·a-1的速率减少, 暖干化的气候条件共同导致雪深以0.53 cm·(10a)-1的速率减小; 恒河流域(GA)的气温以0.31 ℃·(10a)-1的速率升温, 降水量以0.15 mm·a-1的速率减少, 暖干化的气候条件共同导致雪深以0.41 cm·(10a)-1的速率减小, 此外, 阿姆河流域(AD)和印度河流域(ID)暖干化的气候条件共同导致雪深呈减小趋势。而雅鲁藏布江流域(BM)、 高原内陆流域(IP)的气温分别以0.33 ℃·(10a)-1、 0.36 ℃·(10a)-1的速率升温, 降水量分别以0.06 mm·a-1、 0.56 mm·a-1的速率增多, 雪深均以0.26 cm·(10a)-1的速率减小, 说明该流域气温对雪深的影响更显著; 相比于降水, 气温对雪深影响更显著的流域还有长江流域(YZ)、 柴达木盆地(QD)和塔里木盆地(TR)。而黑河流域(HX)、黄河流域(YE)的气温以0.29 ℃·(10a)-1和0.42 ℃·(10a)-1的速率升温, 降水量以0.32 mm·a-1和0.58 mm·a-1的速率增加, 雪深以0.13 cm·(10a)-1和0.02 cm·(10a)-1的速率增加, 说明该流域降水对雪深的影响更显著。研究表明, 大多数高海拔站点都受到降水增加的影响, 从而增加了雪量。然而, 当变暖率超过一定阈值时, 即使降水增加, 温度的升高也会抑制降水以降雪的形式发生(Gao et al, 2023a)。因此, 尽管大部分流域1980 -2020年积雪季降水量增加, 但加剧的变暖仍然导致这些区域雪深大幅减小。
表3 1980 -2020年积雪季青藏高原平均雪深、 气温、 降水量及其年际变化速率的流域差异

Table 3 Basin differences in average snow depthtemperatureprecipitationand their interannual variation rates on the Qinghai-XizangTibetanPlateau during the snow season from 1980 to 2020

流域 流域名称 雪深 气温 降水
平均雪深/cm 雪深变化趋势/[cm·(10a)-1 平均气温/℃ 气温变化趋势/[℃·(10a)-1 平均降水量/mm 降水量变化趋势/(mm·a-1
AD 阿姆河流域 10.29 -0.04 -8.52 0.33 242.12 -2.06
BM 雅鲁藏布江流域 3.44 -0.26 -1.84 0.33 339.30 0.06
GA 恒河流域 4.37 -0.41 -1.77 0.31 348.29 -0.15
HX 黑河流域 2.42 0.13 -7.68 0.29 117.71 0.32
ID 印度河流域 6.85 -0.10 -9.16 0.38 384.09 -0.45
IP 高原内陆流域 1.29 -0.26 -8.92 0.36 76.58 0.56
MK 湄公河流域 3.83 -0.39 -2.29 0.43 232.86 0.51
QD 柴达木盆地 1.22 -0.03 -4.38 0.37 68.53 0.26
SW 怒江流域 5.25 -0.53 -2.82 0.38 406.21 -0.94
TR 塔里木盆地 3.24 -0.06 -10.80 0.29 105.00 0.34
YE 黄河流域 1.62 0.02 -4.26 0.42 208.26 0.58
YZ 长江流域 2.24 -0.06 -2.15 0.36 263.12 0.83

红色表示气候暖干化导致雪深减小, 蓝色表示气候暖湿化导致雪深减小, 绿色表示气候暖湿化导致雪深增加 (The red font indicates that the warm and dry climate leads to the decrease of snow depth, the blue indicates that the warm and wet climate leads to the decrease of snow depth, and the green indicates that the warm and wet climate leads to the increase of snow depth)

进一步分析1980 -2020年积雪季青藏高原平均雪深对气候变化响应的海拔差异, 可以发现, 雪深对气候变化的响应具有海拔差异, 小于3.5 km的地区气温以0.29~0.37 ℃·(10a)-1的速率升温, 降水量以0.36~1.55 mm·a-1的速率减少, 暖干化的气候条件共同导致这些地区雪深以大约0.05 cm·(10a)-1的速率减小。大于3.5 km的地区气温以0.33~0.41 ℃·(10a)-1的速率升温, 降水量以0.11~0.50 mm·a-1的速率增多, 雪深以0.04~0.34 cm·(10a)-1的速率减小, 尤其是4.8~5.5 km地区, 虽然降水量增多速率达0.36~0.50 mm·a-1, 但雪深减小速率超过0.25 cm·(10a)-1, 可能主要是由于这些地区气温升温速率较高, 均超过0.37 ℃·(10a)-1表4), 说明近41 a来青藏高原雪深变化存在明显的“海拔依赖现象”, 小于3.5 km的地区暖干化的气候条件共同导致雪深减小, 而大于3.5 km的地区气温对雪深的影响更显著, 气温的海拔依赖性增暖现象解释了雪深的海拔依赖性减小现象。
表4 1980 -2020年积雪季青藏高原平均雪深、 气温、 降水量及其年际变化速率的海拔差异

Table 4 Elevation differences in average snow depthtemperatureprecipitationand their interannual variation rates on the Tibetan Plateau during the snow season from 1980 to 2020

海拔/km 雪深 气温 降水
平均雪深/cm 雪深变化趋势/[cm·(10a)-1 平均气温/℃ 气温变化趋势/[℃·(10a)-1 平均降水量/mm 降水量变化趋势/(mm·a-1
0~2 1.69 -0.05 8.79 0.29 650.27 -1.55
2~2.5 2.24 -0.06 5.96 0.30 528.09 -1.18
2.5~3 1.58 -0.05 1.28 0.37 249.71 -0.36
3~3.5 2.46 -0.05 -0.85 0.34 284.12 -0.18
3.5~4 3.30 -0.05 -2.85 0.33 289.42 0.11
4.0~4.2 4.04 -0.08 -4.48 0.33 263.32 0.20
4.2~4.4 4.15 -0.10 -5.54 0.35 237.87 0.31
4.4~4.6 3.58 -0.14 -5.99 0.37 196.51 0.41
4.6~4.8 3.21 -0.18 -6.45 0.38 160.58 0.44
4.8~5.0 2.88 -0.29 -8.45 0.37 133.75 0.50
5.0~5.2 3.06 -0.34 -10.16 0.37 132.09 0.47
5.2~5.5 3.50 -0.25 -11.62 0.40 139.83 0.36
5.5~6.0 3.94 -0.16 -14.46 0.41 150.32 0.18
6.0 5.39 -0.04 -19.12 0.38 241.53 0.14

红色表示气候暖干化导致雪深减小, 蓝色表示气候暖湿化导致雪深减小, 蓝色越深表明受气温影响越大(The red font signifies a warm and dry climate, leading to decreased snow depth.The blue font signifies a warm and humid climate, also resulting in reduced snow depth.Darker shades of blue indicate a more pronounced impact of temperature on these conditions)

4 结 论

基于中国雪深长时间序列数据集和第三极地区地面气象要素驱动数据集资料, 分析了1980-2020年积雪季青藏高原雪深的时空变化规律, 并结合水热因子分析了雪深对气候变化的响应, 主要结论如下:
(1) 1980 -2020年积雪季青藏高原雪深空间差异明显, 呈西高东低、 高海拔山脉地区大于盆地平原的分布格局。平均雪深高值区主要集中在喜马拉雅山脉、 喀喇昆仑山、 念青唐古拉山、 横断山脉等高海拔地区, 平均雪深普遍大于10 cm, 而柴达木盆地、 黄河流域中部以及高原内陆流域南部等地区平均雪深不到1 cm。近41年, 高原积雪季平均雪深呈“减少-增加-减少-增加-减少”的变化, 但总体呈显著减小趋势, 年际变化速率为-0.25 cm·(10a)-1, 其中, 64.74%的区域平均雪深呈减小趋势, 显著减小区域面积占比为29.09%, 高原内陆流域大部、 雅鲁藏布江流域大部、 怒江流域西北部和恒河流域大部等地区平均雪深减小趋势最为显著, 喜马拉雅山脉、 念青唐古拉山脉等地区平均雪深减小速率甚至超过1.5 cm·(10a)-1, 平均雪深年际变化呈增加趋势和维持不变的面积占比分别为28.21%、 7.05%。
(2) 1980 -2020年积雪季青藏高原雪深及其变化趋势受海拔影响存在明显的垂直地带性。平均雪深随海拔上升呈先增大后减小再增大的分布格局, 3.5 km以下地区平均雪深不足2.3 cm; 3.5~4.4 km地区平均雪深随海拔上升而增大, 其中, 4.2~4.4 km的平均雪深为4.15 cm; 4.2~5.0 km地区平均雪深随海拔上升而减小, 其中, 4.8~5.0 km地区平均雪深为2.88 cm; 而大于4.8 km的地区平均雪深随海拔上升而增大, 其中大于6.0 km的地区平均雪深最高, 为5.39 cm。不同海拔区域的平均雪深均呈减小趋势, 减小速率随海拔上升呈先增大后减小的态势, 5.0~5.2 km的海拔是分界线, 平均雪深减小速率最快, 达3.36 cm·(10a)-1, 4.8~5.5 km地区平均雪深减小速率均超过2.50 cm·(10a)-1, 表明青藏高原平均雪深年际变化存在明显的“海拔依赖性”, 高海拔地区的雪深减小速率明显高于低海拔地区, 尤其是4.8~5.5 km地区的雪深减小速率明显高。
(3) 1980 -2020年积雪季青藏高原气候变化表现出整体“暖湿化”, 但西北部和南部“暖干化”的态势, 就高原整体, 气候变暖是影响青藏高原平均雪深减小的主要原因。雪深对气候变化的响应具有流域差异和海拔差异, 怒江流域、 恒河流域、 阿姆河流域和印度河流域暖干化的气候条件共同导致雪深呈减小趋势; 雅鲁藏布江流域、 高原内陆流域、 长江流域、 柴达木盆地和塔里木盆地气温对雪深的影响更显著; 而黄河流域、 黑河流域降水对雪深的影响更显著。小于3.5 km的地区暖干化的气候条件共同导致雪深减小, 而大于3.5 km的地区气温对雪深的影响更显著, 气温的海拔依赖性增暖现象解释了雪深的海拔依赖性减小现象。
Bibi S D Wang L Li X P, et al, 2018.Climatic and associated cryospheric, biospheric, and hydrological changes on the Tibetan Plateau: a review[J].International Journal of Climatology38(S1): e1-e17.DOI: 10.1002/joc.5411 .

Gao Y Dai Y F Yang W, et al, 2023a.Estimation of snow bulk density and snow water equivalent on the Tibetan Plateau using snow cover duration and snow depth[J].Journal of Hydrology Regional Studies, 48: 101473.DOI: 10.1016/j.ejrh.2023.101473 .

Gao Y Lu N Dai Y F, et al, 2023b.Reversal in snow mass trends on the Tibetan Plateau and their climatic causes[J].Journal of Hydrology, 620: 129438.DOI: 10.1016/j.jhydrol.2023.129438 .

Guo D L Pepin N Yang K, et al, 2021.Local changes in snow depth dominate the evolving pattern of elevation-dependent warming on the Tibetan Plateau[J].Science Bulletin66(11): 1146-1150.DOI: 10.1016/j.scib.2021.02.013 .

Guo D L Sun J Q Yang K, et al, 2019.Revisiting recent elevation-dependent warming on the Tibetan Plateau using satellite-based data sets[J].Journal of Geophysical Research, D.Atmospheres: 124(15): 8511-8521.DOI: 10.1029/2019JD030666 .

Immerzeel W W Van Beek L P H Bierkens M F P2010.Climate change will affect the Asian water tower[J]s.Science, 328, 1382-1385.DOI: 10.1126/science.1183188 .

Kang S C Xu Y W You Q L, et al, 2010.Review of climate and cryospheric change in the Tibetan Plateau[J].Environmental Research Letters5(1): 15101.DOI: 10.1088/1748-9326/5/1/015101 .

Ma Q Q Keyimu M D Li X Y, et al, 2023.Climate and elevation control snow depth and snow phenology on the Tibetan Plateau[J].Journal of Hydrology, 617: 128938.DOI: 10.1016/j.jhydrol.2022.128938 .

Ma Y Huang X D Yang X L, et al, 2023.Mapping snow depth distribution from 1980 to 2020 on the Tibetan Plateau using multi-source remote sensing data and downscaling techniques[J].Journal of Photogrammetry and Remote Sensing, 205: 246-262.DOI: 10.1016/j.isprsjprs.2023.10.012 .

You Q L Chen D L Wu F Y, et al, 2020.Elevation dependent warming over the Tibetan Plateau: patterns, mechanisms and perspectives[J].Earth-Science Reviews, 210: 103349.DOI: 10.1016/j.earscirev.2020.103349 .

保云涛, 2019.青藏高原积雪时空变化特征及其年际变率成因探讨[D].南京: 南京信息工程大学.Bao Y T, 2019.Spatial-temporal characteristics of the snow depth over the Tibetan Plateau and the cause of its interannual variability[D].Nanjing: Nanjing University of Information Science and Technology.

曹晓云, 肖建设, 郝晓华, 等, 2022.2001-2020年三江源地区积雪日数变化及地形分异[J].干旱区地理45(5): 1370-1380.DOI: 10.12118/j.issn.1000-6060.2021.599.Cao X Y

Xiao J S Hao X H, et al, 2022.Variation of snow cover days and topographic differentiation in Sanjiangyuan area from 2001 to 2020[J].Arid Land Geography45(5): 1370-1380.DOI: 10.12118/j.issn.1000-6060.2021.599 .

车涛, 郝晓华, 戴礼云, 等, 2019.青藏高原积雪变化及其影响[J].中国科学院院刊34(11): 1247-1253.DOI: 10.16418/j.issn.1000-3045.2019.11.007.Che T

Hao X H Dai L Y, et al, 2019.Snow cover variation and its impacts over the Qinghai-Tibet Plateau[J].Bulletin of Chinese Academy of Sciences34(11): 1247-1253.DOI: 10.16418/j.issn.1000-3045.2019.11.007 .

车涛, 戴礼云, 李新, 2015.中国雪深长时间序列数据集(1979-2020)[Z].时空三极环境大数据平台.DOI: 10.11888/Geogra.tpdc.270194.Che T, Dai L Y, Li X2015.Long-term series of daily snow depth dataset in China(1979-2020)[Z].Third Pole Environment Data Center.DOI: 10.11888/Geogra.tpdc.270194.

黄嘉佑, 李庆祥, 2015.气象数据统计分析方法[M].北京: 气象出版社.Huang J Y, Li Q X, 2015.Statistical analysis methods for meteorological data[M].Beijing: China Meteorological Press.

黄晓东, 马英, 李雨馨, 等, 2023.1980-2020年青藏高原积雪时空变化特征[J].冰川冻土45(2): 423-434.DOI: 10.7522/j.issn.1000-0240.2023.0032.Huang X D

Ma Y Li Y X, et al, 2023.Spatiotemporal variation characteristics of snow cover over the Tibetan Plateau from 1980 to 2020[J].Journal of Glaciology and Geocryology45(2): 423-434.DOI: 10.7522/j.issn.1000-0240.2023.0032 .

雷润芝, 余晔, 周国兵, 等, 2023.1984-2020年青藏高原感热通量长期变化趋势分析[J].高原气象42(4): 833-847.

Lei R Z Yu Y Zhou G B, et al, 2023.Long-term variation of sensible heat flux over the Qinghai-Xizang Plateau from 1984 to 2020[J].Plateau Meteorology42(4): 833-847.DOI: 10.7522/j.issn.1000-0534.2023.00032 .

刘杰, 张丽娟, 黄玉桃, 等, 2024.1961-2020年黑龙江省最大雪深时空变化及其影响因素分析[J].冰川冻土46(3): 861-875.DOI: 10.7522/j.issn.1000-0240.2024.0069.Liu J

Zhang L J Huang Y T, et al, 2024.Spatial and temporal variation of maximum snow depth and its influencing factors in Heilongjiang Province from 1961 to 2020[J].Journal of Glaciology and Geocryology46(3): 861-875.DOI: 10.7522/j.issn.1000-0240.2024.0069 .

刘一静, 孙燕华, 钟歆玥, 等, 2020.从第三极到北极: 积雪变化研究进展[J].冰川冻土42(1): 140-156.DOI: 10.7522/j.issn.1000-0240.2020.0007.Liu Y J

Sun Y H Zhong X Y, et al, 2020.Changes of snow cover in the Third Pole and the Arctic[J].Journal of Glaciology and Geocryology42(1): 140-156.DOI: 10.7522/j.issn.1000-0240.2020.0007 .

李双行, 王慧, 李栋梁, 等, 2024.青藏高原中东部暖季极端降水的区域特征及其典型环流[J].高原气象43(6): 1364-1379.

Li S X Wang H Li D L, et al, 2024.Regional characteristics and typical circulation of extreme precipitation in the warm season over the central and eastern Qinghai-Xizang Plateau[J].Plateau Meteorology43(6): 1364-1379.DOI: 10.7522/j.issn.1000-0534.2024.00030 .

李延, 赵瑞瑜, 陈斌, 2024.青藏高原冬春多源积雪资料年际变化尺度上的适用性分析[J].高原气象43(2): 277-292.

Li Y Zhao R Y Chen B2024.Applicability of multi-source winter-spring snow cover data over the Qinghai-Xizang (Tibetan) Plateau on the Scale of Interannual Variation[J].Plateau Meteorology43(2): 277-292.DOI: 10.7522/j.issn.1000-0534.2023.00057 .

阳坤, 姜尧志, 唐文君, 等, 2023.第三极地区长时间序列高分辨率地面气象要素驱动数据集(TPMFD, 1979-2022)[Z].国家青藏高原科学数据中心.DOI: 10.11888/Atmos.tpdc.300398.Yang K, Jiang Y Z, Tang W J,et al, 2023.A high-resolution near-surface meteorological forcing dataset for the Third Pole region (TPMFD, 1979-2022)[Z].National Tibetan Plateau / Third Pole Environment Data Center.DOI: 10.11888/Atmos.tpdc.300398.

沈鎏澄, 2020.海拔依赖型增暖背景下青藏高原积雪深度时空变化特征及成因分析[D].金华: 浙江师范大学.Shen L C.2020.Spatial and temporal variation of snow depth over the Tibetan plateau and its causes under the background of altitude-dependent warming[D].Jinhua: Zhejiang Normal University.

史飞飞, 李晓东, 肖建设, 等, 2024.基于MOD 10A1

V6 产品下青海省各片区积雪的分布气候特征[J].生态科学43(4): 27-38.DOI: 10.14108/j.cnki.1008-8873.2024.04.004.Shi F F Li X D Xiao J S, et al, 2024.Climate characteristics of snow cover distribution in ecological function areas of Qinghai Province based on MOD10A1 V6[J].Ecological Science, 43(4): 27-38.DOI: 10.14108/j.cnki.1008-8873.2024.04.004 .

王建, 车涛, 李震, 等, 2018.中国积雪特性及分布调查[J].地球科学进展33(1): 12-26.DOI: 10.11867/j.issn.1001-8166.2018.01.0012.Wang J

Che T Li Z, et al, 2018.Investigation on snow characteristics and their distribution in China[J].Advances in Earth Science33(1): 12-26.DOI: 10.11867 /j.issn.1001-8166.2018.01.0012 .

王宁练, 盛煜, 金汇军, 等, 2023.祁连山水塔变化及其影响[M].北京: 科学出版社.Wang N L, Sheng Y, Jin H J, et al, 2023.Changes in Qilian Mountains water tower and their impacts[M].Beijing: Science Press.

王静, 车涛, 戴礼云, 等, 2023.被动微波遥感反演雪深与气象站观测雪深时空对比[J].遥感学报27(9): 2060-2071.DOI: 10.11834/jrs.20221653.Wang J

Che T Dai L Y, et al, 2023.Spatio-temporal comparison of snow depth between passive microwave remote sensing inversion data and meteorological station observation data[J].National Remote Sensing Bulletin27(9): 2060-2071.DOI: 10.11834/jrs.20221653 .

王芝兰, 张飞民, 王澄海, 等, 2022.1980-2019年青藏高原积雪深度时空差异性分析[J].冰川冻土44(3): 810-821.DOI: 10.7522/j.issn.1000-0240.2022.0079.Wang Z L

Zhang F M Wang C H, et al, 2022.Analysis on spatial and temporal difference of snow depth over the Tibetan Plateau from 1980 to 2019[J].Journal of Glaciology and Geocryology44(3): 810-821.DOI: 10.7522/j.issn.1000-0240.2022.0079 .

魏莹, 2020.1980-2018年青藏高原气温时空变化特征及其未来预估[D].咸阳: 陕西师范大学.Wei Y, 2020.Temporal and spatial variation characteristics of air temperature over the Tibetan Plateau from 1980 to 2018 and its future prediction[D].Xianyang: Shaanxi Normal University.

徐帆, 张彦丽, 李克恭, 2024.基于MODIS积雪覆盖度数据的青藏高原两套被动微波雪深产品降尺度对比研究[J].冰川冻土46(1): 65-76.DOI: 10.7522/j.issn.1000-0240.2024.0006.Xu F

Zhang Y L Li K G2024.Comparison studies of two downscaled passive microwave snow depth products over the Qinghai-Xizang Plateau based on MODIS fractional snow cover dataset[J].Journal of Glaciology and Geocryology46(1): 65-76.DOI: 10.7522/j.issn.1000-0240.2024.0006 .

周秉荣, 袁佳双, 乔斌, 等, 2024.青藏高原气候与冰冻圈变化研究进展[J].环境科学研究37(9): 1885-1896.DOI: 10.13198/j.issn.1001-6929.2024.05.02.Zhou B R

Yuan J S Qiao B, et al, 2024.Research Progress on Climate and Cryosphere Changes in the Qinghai-Tibetan Plateau[J].Research of Environmental Sciences37(9): 1885-1896.DOI: 10.13198/j.issn.1001-6929.2024.05.02 .

张霞, 段建平, 马柱国, 2023.基于日干旱指数的青藏高原 1979-2020 年干湿变化特征分析[J].高原气象42(4): 870-886.

Zhang X Duan J P Ma Z G2023.A daily drought index-based dry and wet variation analyses over the Qinghai-Xizang Plateau from 1979 to 2020[J].Plateau Meteorology42(4): 870-886.DOI: 10.7522/j.issn.1000-0534.2022.00093 .

张国庆2019.青藏高原流域边界数据集(2016)[Z]. 时空三极环境大数据平台.[2024-11-28].DOI: 10.11888/BaseGeography.tpe.249465.file.Zhang G Q, 2019.A dataset of watershed boundaries on the Tibetan Plateau (2016)[Z].

Third Pole Environment Data Center.[2024-11-28].DOI: 10.11888/BaseGeography.tpe.249465.file .

张镱锂2019.青藏高原边界数据总集[Z]. 时空三极环境大数据平台.DOI: 10.11888/Geogra.tpdc.270099.Zhang Y L, 2019.Tibetan plateau boundary dataset[Z].

Third Pole Environment Data Center.DOI: 10.11888/Geogra.tpdc.270099 .

张镱锂, 李炳元, 刘林山, 等, 2021.再论青藏高原范围[J].地理研究40(6): 1543-1553.DOI: 10.11821/dlyj020210138.Zhang Y L

Li B Y Liu L S, et al, 2021.Redetermine the region and boundaries of Tibetan Plateau[J].Geographical Research40(6): 1543-1553.DOI: 10.11821/dlyj020210138 .

张群慧, 常亮, 顾小凡, 等, 2024.1979-2020年柴达木盆地人体舒适度指数时空变化及趋势分析[J].干旱区研究41(8): 1300-1308.DOI: 10.13866/j.azr.2024.08.04.Zhang Q H

Chang L Gu X F, et al, 2024.Spatial-temporal variations and trends in the human body comfort index in the Qaidam Basin, China, during 1979-2020[J].Arid Zone Research41(8): 1300-1308.DOI: 10.13866/j.azr.2024.08.04 .

文章导航

/