青藏高原多年冻土冻融参量时空变化特征及影响因子研究

  • 李博渊 , 1 ,
  • 赖欣 , 1 ,
  • 刘康 2 ,
  • 何佩鸿 1 ,
  • 张淏然 1 ,
  • 张戈 1
展开
  • 1. 成都信息工程大学大气科学学院/高原大气与环境四川省重点实验室/成都平原城市气象与环境四川省 野外科学观测研究站/四川省气象灾害预测预警工程实验室,四川 成都 610225
  • 2. 中国民用航空飞行学院遂宁分院,四川 遂宁 629000
赖欣(1984 -), 女, 四川南充人, 副教授, 主要从事陆面过程与气候变化研究. E-mail:

李博渊(1999 -), 男, 新疆克拉玛依人, 硕士研究生, 主要从事气候变化研究. E-mail:

收稿日期: 2024-07-23

  修回日期: 2025-01-09

  网络出版日期: 2025-04-29

基金资助

国家自然科学基金项目(42075081)

四川省自然科学基金青年项目(2023NSFSC0748)

成都信息工程大学科技创新能力提升计划项目(KYQN202319)

成都信息工程大学科技创新能力提升计划项目(KYQN202325)

Spatiotemporal Variation Characteristics of Freezing and Thawing Parameters in Permafrost over the Qinghai-XizangTibetanPlateau and Their Influencing Factors

  • Boyuan LI , 1 ,
  • Xin LAI , 1 ,
  • Kang LIU 2 ,
  • Peihong HE 1 ,
  • Haoran ZHANG 1 ,
  • Ge ZHANG 1
Expand
  • 1. School of Atmospheric Sciences,Plateau Atmosphere and Environment Key Laboratory of Sichuan Province,Chengdu Plain Urban Meteorology and Environment Observation and Research Station of Sichuan Province,Sichuan Meteorological Disaster Prediction and Early Warning Engineering Laborato,Chengdu University of Information Technology,Chengdu 610225,Sichuan,China
  • 2. Suining Branch of Civil Aviation Flight Academy of China,Suining 629000,Sichuan,China

Received date: 2024-07-23

  Revised date: 2025-01-09

  Online published: 2025-04-29

Copyright

© Editorial Department of Plateau Meteorology (CC BY-NC-ND)

摘要

青藏高原多年冻土近地表土壤冻融循环会影响土壤和大气之间的水分与能量交换, 研究其时空变化特征及对气候变化的响应对理解高原气候变化机制具有重要意义。本文基于通用陆面模式(Community Land Model 5.0, CLM5.0)计算1980 -2017年高原多年冻土区近地表冻融参量, 即土壤冻结开始时间、 冻结结束时间、 融化持续时间和冻结持续时间, 并分析其时空变化及与近地表温度、 降水量、 积雪厚度和植被指数的相关性。结果表明: (1)高原多年冻土近地表土壤冻结开始时间集中于9月到10月中下旬, 结束时间集中于2 -5月。半湿润区土壤融化时间最长而半干旱区最短, 平均相差15 d。高原多年冻土土壤冻融状态变化显著, 除喀喇昆仑山脉附近外, 大部分多年冻土地区显示冻结、 融化持续时间分别具有缩短和增长趋势。高原平均土壤融化持续时间增长速率为2 d·(10a)-1, 其中半湿润区增长趋势最为显著, 达4 d·(10a)-1。(2)高原多年冻土冻融参量与地理因子具有联系。在29°N -36°N和82.5°E -103°E融化持续时间呈增长趋势, 但速率分别降低和增加。随着海拔升高, 融化持续时间增长率降低。(3)高原多年冻土融化持续时间与积雪厚度、 近地表温度、 降水量以及植被指数均具有相关性且不同气候区域相关性不同。近地表温度在所有区域正相关性显著, 是影响土壤冻融变化的主要因素。降水量与积雪厚度分别呈现正相关和负相关且均在半湿润区显著相关。植被指数全区基本呈现正相关, 且半干旱区最显著, 具有较强相关性。(4)高原多年冻土融化持续时间与不同季节气候因子相关性不同。近地表温度在季节尺度同样显著影响土壤冻融过程, 其中春季最为显著。降水量在夏季为显著正相关, 而冬季为负相关。积雪厚度和植被指数均在春季的半干旱和半湿润区存在显著相关性, 分别呈负相关和正相关。(5)近地表温度在干湿季对高原多年冻土区域土壤冻融均有影响, 而积雪深度、 降水量和植被指数仅在湿季有较大影响。

本文引用格式

李博渊 , 赖欣 , 刘康 , 何佩鸿 , 张淏然 , 张戈 . 青藏高原多年冻土冻融参量时空变化特征及影响因子研究[J]. 高原气象, 2025 , 44(5) : 1157 -1173 . DOI: 10.7522/j.issn.1000-0534.2025.00008

Abstract

The freeze-thaw cycle of near-surface soil in the perennial permafrost region of the Qinghai-Xizang (Tibetan) Plateau plays a crucial role in regulating water and energy exchange between the soil and the atmosphere.Investigating its spatiotemporal characteristics and response to climate change is essential for understanding the mechanisms driving climate change on the plateau.In this study, we calculated near-surface freeze-thaw parameters-including the start and end times of soil freezing, thawing duration, and freezing duration-across the perennial permafrost region of the plateau from 1980 to 2017 using the Common Land Model 5.0 (CLM5.0).We further analyzed their spatiotemporal variations and correlations with temperature, precipitation, snow depth, and vegetation index.The results show that: (1) The onset of near-surface soil freezing in the plateau’s permafrost region occurs between September and mid-to-late October, while the thawing period ends between February and May.Semi-humid regions have the longest thawing duration, whereas semi-arid regions have the shortest, with an average difference of 15 days.The freeze-thaw status of permafrost soil on the plateau exhibits significant changes.Except for areas near the Karakoram Mountains, most permafrost regions show a decreasing trend in freezing duration and an increasing trend in thawing duration.The average growth rate of soil thawing duration across the plateau is 2 d·(10a)⁻¹, with the most significant increase observed in semi-humid regions, reaching 4 d·(10a)⁻¹.(2) The freeze-thaw parameters of the plateau's permafrost are associated with geographical factors.In the latitude range of 29°N -36°N and longitude range of 82.5°E -103°E, the thawing duration shows an increasing trend; however, the rate of change decreases in some areas while increasing in others.Additionally, as elevation increases, the growth rate of thawing duration declines.(3) The duration of permafrost thawing is significantly correlated with snow depth, near-surface temperature, precipitation, and vegetation index, though these relationships vary across different climatic regions.Near-surface temperature exhibits a strong positive correlation across all regions, making it the primary driver of freeze-thaw changes.Precipitation and snow depth show positive and negative correlations, respectively, with particularly strong correlations in semi-humid areas.The vegetation index is positively correlated with thaw duration in all regions, with the strongest correlation observed in semi-arid areas.(4) The relationship between thawing duration and seasonal climatic factors varies.Near-surface air temperature exerts a significant influence on the freeze-thaw process at seasonal scales, with the most pronounced impact occurring in spring.Precipitation is positively correlated in summer but negatively correlated in winter.Both snow depth and vegetation index are significantly correlated with thawing duration in semi-arid and semi-humid regions during spring, exhibiting negative and positive correlations, respectively.(5) Near-surface temperature influences the freeze-thaw cycle in the plateau’s perennial permafrost region during both dry and wet seasons.However, the effects of snow depth, precipitation, and vegetation index are more pronounced during the wet season.

1 引言

青藏高原(以下简称高原), 被称为世界“第三极”(Qiu, 2008), 是地球上海拔最高、 面积最广阔的高原之一, 其独特的地理环境和地表特征造就了多变而复杂的气候条件, 并通过动力作用和热强迫机制对区域内以及全球气候产生巨大影响, 是中国气候变化的“敏感区”和“启动区”以及全球变化的“驱动机”和“放大器”(Cheng et al, 2007)。冻土包括多年冻土和季节性冻土, 季节冻土是指冻结时间在半个月至数个月之间的土壤; 多年冻土又称永久冻土, 指土壤温度至少连续两年保持在0 ℃或以下的土壤。中国被认为是全球高海拔多年冻土面积最大的国家, 多年冻土主要分布在高原地区, 同时这也是低纬度地区中多年冻土分布最广、 最厚的区域(Yang et al, 2019)。研究表明, 多年冻土和季节冻土的面积分别为1.06×106和1.45×106 km2, 分别占高原总面积的40%和56%(秦大河等, 2014)。冻土通过影响地表能量、 水和碳循环, 对局地和全球气候、 水文和生态系统产生重要作用(Derksen et al, 2012Schmidt et al, 2011)。冻土的年冻融循环改变了土壤的水文和热学性质, 增强了陆面与大气的能量交换, 影响南亚高压和东亚地区气候。冻土是冰冻圈的重要组成部分, 冻土变化是气候变化的重要指标(秦大河等, 2020Wang et al, 2019Chen et al, 2014)。近年来高原不断增暖, 增暖发生时间早, 增暖速率大, 是全球平均水平的两倍多, 类似于北极增暖(Yang et al, 2019杨耀先等, 2022), 导致高原多年冻土面积减少4.3%, 而季节冻土面积增加(胡桃等, 2022Yang et al, 2010张国胜等, 2007)。冻土融化增加寒区灾害发生次数, 对水文过程、 碳循环、 气候变化及冷区基础设施产生重要影响(Hjort et al, 2018Guo and Wang, 2016Wu and Zhang, 2010)。土壤冻融过程与地表能量平衡、 生态系统和水的传导过程密切相关(Wu et al, 2017), 由于陆地与大气之间的能量和水分交换主要发生在近地表(杨梅学等, 2006), 近地表土壤冻融循环对气候变化极为敏感(Guo et al, 2013Li et al, 2012Yang et al, 2007)。在气候变暖背景下, 土壤冻融过程发生了显著变化, 准确量化高原近地表土壤冻融状态的时空分布特征, 找到土壤冻融变化的影响因子, 将为探讨区域气候变化机制提供科学依据。
目前的研究主要利用遥感、 模式模拟、 再分析及站点观测数据研究土壤冻融变化(刘闻慧等, 2022徐洪亮等, 2021Luo et al, 2020杨淑华等, 2019Zhao et al, 2017Wang et al, 2015Li et al, 2012)。由于高原多年冻土观测数据较少, 利用陆面过程模式(LSM)结合各种观测进行模拟是研究多年冻土冻融状态在大尺度空间和时间上变化的重要方式。CLM是国际上发展最成熟、 应用最广泛的陆面模型之一, 已有很多研究利用CLM围绕冻土展开研究, 包括冻土模拟性能评估及参数化方案改进、 冻土冻融状态变化及其与地表非绝热加热的关系等。研究结果表明CLM能够较好地模拟出土壤的冻融变化特征(Lai et al, 2024Guo et al, 2014夏坤等, 2011)。Yang et al(20232018)修改了 CLM4.5 中的冻融参数化方案, 结果表明在冻融参数化中采用虚温代替常量冰点温度参数化相变判断条件、 考虑土壤冻融过程与热传导之间的相互作用等, 能够改进土壤冻融过程的模拟结果。CLM是研究不同深度土壤冻融状态变化的有效方法(Peng et al, 2023Guo et al, 2018Guo and Wang, 20132014)。如Lai et al(2024)Peng et al(2023)利用CLM5.0模拟研究了高原土壤冻融状态的变化, 发现高原近几十年土壤冻结持续时间缩短了13 d。冻融过程中土壤湿度和土壤温度能够影响地表能量平衡, 改变能量在感热、 潜热、 土壤热通量和净辐射之间的分配。地表能量通量在冻土和未冻土中有明显差异(张戈等, 2023)。目前利用陆面模式模拟高原冻融过程的研究较少、 分辨率较低且大多为单点模拟(Yang et al, 2018Guo et al, 2018李时越等, 2018Luo et al, 2017Guo and Wang, 2014)。此外, 较多的研究集中在高原气温变化对土壤冻融状态的影响上(刘闻慧等, 2022蔡林彤等, 2021杨淑华等, 2019Guo and Wang, 2014), 而对于土壤冻融状态与积雪厚度、 降水量和植被指数在高原不同气候区域下的相关性研究较少, 需要进一步地探究。
本研究采用高分辨率大气强迫数据集驱动 CLM5.0模拟并验证了1980 -2017年高原近地表0.09 m深度的土壤温度数据。计算分析高原多年冻土近地表土壤冻结开始时间、 冻结结束时间、 冻结持续时间和融化持续时间的时空分布特征, 使用积雪厚度、 近地表温度、 降水量以及植被指数与土壤融化持续时间进行相关分析。该研究为理解气候变化下高原复杂的冻融循环变化提供一定的依据。

2 研究区域、 数据和方法介绍

2.1 研究区域概况

青藏高原平均海拔在4000 m以上, 地形复杂, 光照和地热资源充足, 具有全世界中低纬度地区海拔最高、 面积最大的多年冻土分布区, 约1.06×106 m2, 占高原总面积的40%(Zou et al, 2017), 大片区域最暖月平均温度不足10 ℃, 为冻土的形成提供了先决条件。本文选取在高原(25°N -43°N, 73°E - 105°E)多年冻土区域作为研究区域, 并且按照气候湿润条件将多年冻土区域分为三类: 干旱区、 半干旱区和半湿润区(Deng et al, 2020)。

2.2 数据介绍

(1) CLM5.0大气强迫场及地表数据
美国国家大气研究中心发布的CLM属于地球系统模式(Community Earth System Model, CESM) 的陆面模块(Dickinson et al, 2006Swenson et al, 2012), 目前已经发展到CLM5.0的最新版本。本文使用中国区域地面气象要素驱动数据集(China meteorological forcing dataset, CMFD)(阳坤等, 2019)驱动CLM5.0模式, 数据包括近地面气温、 近地面气压、 近地面空气比湿、 近地面全风速、 地面向下短波辐射、 地面向下长波辐射和地面降水率7种要素, 时间分辨率为3 h, 水平空间分辨率为0.1°×0.1°, 时间范围为1979 -2018年。该数据集精度介于气象局观测数据和卫星遥感数据之间, 精度高于国际上已有再分析数据的精度(He et al, 2020)。
由于土壤质地数据在土壤水热传输模拟中起着重要作用, 对土壤温度的模拟影响较大(Deng et al, 2020), 故使用中国土壤特征数据集(Wei et al, 2013)中的土壤质地(沙土、 黏土和泥沙)数据替换模式地表数据中的默认土壤质地。地表数据中土壤质地的土壤层分为10层(0.01~1.36 m), 更深层土壤质地数据在模式运行时使用第十层数据。由于中国土壤特征数据集中土壤各层厚度与地表数据中土壤层厚度不相同, 故分别用中国土壤特性数据集中0~0.045 m 数据替换模式0.01 m及0.04 m的土壤质地数据、 0.045~0.091 m替换0.09 m、 0.091~0.166 m替换0.16 m、 0.166~0.289 m替换0.26 m、 0.289~0.493 m替换0.4 m、 0.493~0.829 m替换0.58 m和0.8 m, 0.829~1.383 m替换1.06 m和1.36 m的土壤质地数据(张戈等, 2023)。
(2) 降水量、 积雪厚度、 近地面温度、 植被指数及干燥度指数数据
本文采用欧洲中期天气预报中心(European Centre for Medium-range Weather Forecasts, ECMWF)推出的第五代再分析数据(the 5th ECMWF Re-Analysis data, ERA5), ERA5-Land是通过ERA5再分析模型生成的再分析数据集, 该模型通过物理法则将来自世界各地的观测数据结合到一个全球完整且一致的数据集中(黄建平等, 2020)。目前ERA5-Land已发布1981年至今的逐小时及逐月全球数据, 空间分辨率达0.1°×0.1°。本文选用1980年1月至2017年12月ERA5-Land逐月积雪厚度数据, ERA5-land积雪厚度在描述年际变化上相较于被动微波遥感和其他再分析数据具有优势(Chen, 2022), 可用于本文研究。
降水数据使用中国逐日降水数据集(缪驰远等, 2023), 空间分辨率为0.1°×0.1°, 经评估认为该数据集可以较好地表征降水的空间变异性, 其日值时间序列与高密度站点日值降水观测结果之间的相关系数中位数为0.78, 均方根误差中位数为8.8 mm·d-1, KGE(Kling-Gupta efficiency coefficient)值中位数为0.69, 并且与目前常用的降水数据集(CGDPA、 CN05.1、 CMAV2.0)有很好的一致性(Han et al, 2023)。近地面温度来源于CMFD数据集。
干燥度指数(AI)采用中国1 km逐年干燥度数据集(彭守璋, 2023), 基于中国1 km逐月潜在蒸散发(PET)和降水量(PRE), 采用比值法计算得到(AI=PET/PRE)。
归一化植被指数(NDVI)作为植被生长状况和植被覆盖度的最佳指示指标, 与植被密度分布呈线性相关, 被认为是生物量和植被监测的指标(Xu and Wu, 2021)。NDVI被定义为:
N D V I = N + R N - R
式中: N和R分别代表光谱的可见光和近红外区域的表面反射率平均值(Jiang et al, 2006)。本文所采用NDVI数据为基于GIMMS AVHRR传感器计算的NDVI 3g数据, 空间分辨率为8 km, 时间尺度为1982 -2015年(刘焱序, 2020)。
(3) 地形数据ETOPO2v2及地理信息数据
图1(a)源于美国国家海洋和大气管理局下属的美国地球物理中心NGDC(U.S.National Geophysical Data Center)开发的全球地形模型ETOPO2v2, 截取高原冻土部分使用。高原边界地理信息来源于《论青藏高原范围与面积》一文数据的发表(张镱锂等, 2014), 多年冻土分布地理信息源于青藏高原新绘制冻土分布图, 数据通过野外地面观测、 土壤含水率和容重等各种调查验证, 证实可用性(赵林, 2019)。
图1 高原海拔(单位: m)及站点分布(a)及高原多年冻土区域气候带分区(b)

Fig.1 Altitude (unit: m) and station distribution on the plateau (a), and climate zone division of permafrost regions on the plateau (b)

(4) 站点观测数据
为了检验模式适用性, 本文选用青藏高原土壤温湿度观测网的长时序土壤温湿度廓线数据集(张佩等, 2023)以及帕里土壤温湿度观测网数据(阳坤等, 2022)。选用Naqu(那曲, 31.37°N, 91.89°E)、 Pali(帕里, 28.08°N, 89.27°E)、 Maqu(玛曲, 34.00°N, 102.28°E)、 SQ(狮泉河, 32.68°N, 79.92°E)4个站点10 cm土壤温度观测, 用于计算观测土壤冻融参量及与模式模拟土壤温度对比, 时段分别为2012年、 2016 -2017年、 2009 - 2010年和2017年。

2.3 研究方法

2.3.1 模式及实验设计

CLM5.0在上一版本的基础上更新了土地覆盖、 土地利用和土壤厚度数据, 改进了主要部分中大部分的过程和参数化, 包括土壤结构、 积雪密度、 植被水文、 碳氮循环等, 模型包括了详尽的生物地球物理过程和生物地球化学过程, 考虑了不同土壤类型水力学和热力学特征差异(Lawrence et al, 2019)。此外有研究指出CLM5.0能够有效捕捉青藏高原多年冻土区土壤湿度和热量的动态变化(Yang et al, 2022), 模式模拟的土壤温度与观测值较为吻合(Lai et al, 2024Wang et al, 2022), 并且土壤温湿度的模拟结果比CLM4.5更接近高原观测值(Deng et al, 2020)。
本文使用CMFD驱动CLM5.0模式对高原区域进行模拟, 模拟的经纬度范围为25°N -43°N, 73°E -105°E[图1(a)], 模拟空间分辨率为0.1°×0.1°。在替换了地表数据的情况下, 首先使用CMFD驱动模式运行40年以消除初始状态的影响, 以所得结果作为初始场, 再次使用CMFD强迫场驱动模式运行40 年, 得到1979 -2018年土壤温度数据。

2.3.2 冻融参量的计算

基于以往对土壤冻融过程的研究(Guo et al, 2018Guo and Wang, 2014Peng et al, 2023), 本文以日土壤温度从0 ℃以上变化到0 ℃以下的日期定义为冻结开始时间, 土壤冻结结束时间定义为日土壤温度从0 ℃以下变化到0 ℃以上的日期, 为了避免不稳定小扰动和随机天气变化对土壤温度造成影响, 过程判断都需满足持续3 d的条件, 才把满足条件的第一天记为这一过程的起始时间(杨淑华等, 2018)。冻结持续时间为冻结开始时间到冻结结束时间之间的天数, 融化持续时间定义为冻结结束时间到冻结开始时间的天数。在本次研究中, 将当年冻结持续时间定义为当年的冻结开始时间到次年的冻结结束时间, 将当年融化持续时间定义为当年冻结结束时间到当年冻结开始时间。以上过程中使用CLM5.0模拟0.09 m深度层的土壤温度, 计算得到1980 -2017年高原土壤近地表冻融参量。

2.3.3 高原气候分区

高原不同区域气候条件也不相同, 为了研究不同气候区域下高原多年冻土区冻融参量及其影响因子, 根据由联合国环境规划署定义的干燥度指数(AI)将高原多年冻土区域分为三个气候区: 干旱地区、 半干旱地区和半湿润地区[图1(b)](Deng et al, 2020)。

2.3.4 高原干湿季划分

使用张仪辉等(2022)对干湿季划分的方法, 定义月降水强度指数:
I = R m - R m
式中: R m表示逐月降水量; R m表示年平均月降水量。如果I0, 说明该月实际降水强度大于平均降水强度, 该月降水偏多; 反之偏少。通过计算可得, 高原多年冻土区域5 -9月降水偏多, 10月至次年4月降水偏少。因此选取10 -12月和次年1 -4月为干季, 5-9月为湿季。

3 研究结果

3.1 模拟结果的检验

本文使用CLM5.0模拟土壤温度深度为0.09 m, 因此将其线性插值到0.1 m以便于比较(Guo and Wang, 2014)。由图2(a)~(f), 观测土壤温度和模拟土壤温度基本接近且土壤冻融参量均分布于y=x, 说明模拟结果与观测结果接近。利用泰勒图综合评价模型的相关性, 发现4个冻融参量的相关系数均大于0.9且通过检验, 标准化的中心化均方根误差与模式和观测标准差之比接近REF。表1显示4个冻融参量平均偏差分别为0.68、 6.53、 2.18、 -2.68。总体来看, 利用CLM5.0模式可以捕捉到高原土壤冻融循环的时间变化, 可用于高原近地表土壤冻融特征研究。
图2 2012年Naqu (a)、 2016 -2017年Pali (b)、 2009 -2010年Maqu (c)、 2017年SQ(d)的模拟和观测的土壤温度变化以及模拟冻结开始时间、 冻结结束时间、 冻结持续时间、 融化持续时间与0.1 m土壤深度原位观测分析(e)和泰勒图(f)

(f)泰勒图中灰色虚线为标准化的中心化均方根误差

Fig.2 Simulated and observed soil temperature variations at Naqu in 2012 (a), Pali from 2016 to 2017 (b), Maqu from 2009 to 2010 (c), and SQ in 2017 (d), along with the analysis of simulated freeze start time, freeze end time, freeze duration, thaw duration, and in-situ observations at 0.1 m soil depth (e), and Taylor diagram (f).In the Taylor diagram (f), the gray dashed line represents the normalized centered root-mean-square error

表1 冻融参量检验统计结果

Table 1 Statistical results of freeze-thaw parameter validation

冻结开始时间 冻结结束时间 冻结持续时间 融化持续时间
R 0.98** 0.94* 0.97* 0.97*
MBE/d 0.68 6.53 2.18 -2.68

*代表通过 90%的信度检验, **代表通过 99%的信度检验(*represents passing the 90% confidence level test, and **represents passing the 99% confidence level test)

3.2 冻融时间参量时空分布特征

图3显示冻融参量1980 -2017年的平均空间分布, 高原近地表冻结开始时间集中于9月到10月中下旬, 并且由东南向西北递减, 昆仑山脉附近冻结开始早, 高原南部和东部湖区处于半湿润区及海拔较低的区域开始较晚, 这里海拔相较周边地区低1000~2000 m, 温度较高, 造成冻结开始时间推迟。高原冻结结束时间与冻结持续时间具有相似的分布特征并且由东南向西北递增, 结束日期集中于2 -5月, 结束较晚地区主要分布于昆仑山脉与祁连山周边, 该地区具有较低的温度, 解冻较晚, 冻结时间长而融化期短。
图3 1980 -2017年高原多年冻土区域冻结开始时间(a)、 冻结结束时间(b)、 冻结持续时间(c)和融化持续时间(d)平均分布

Fig.3 Average distribution of freeze start time (a), freeze end time (b), freeze duration (c), and thaw duration (d) in the permafrost regions of the plateau from 1980 to 2017

表2为不同气候区域1980 -2017年平均土壤冻融时间参量, 半湿润区冻结开始时间最晚, 干旱区最早, 时间相差10 d。半湿润区冻结结束时间最早, 半干旱区最晚, 相差6 d, 此外, 对于土壤融化和冻结持续时间, 半湿润区融化持续时间最长, 冻结时间最短而半干旱区相反。
表2 1980 -2017年高原多年冻土不同气候区域年平均土壤冻融时间参量

Table 2 Annual average soil freeze-thaw time parameters in different climatic regions of the plateau permafrost from 1980 to 2017

冻融时间参量 多年冻土全域 干旱区 半干旱区 半湿润区
冻结开始时间/(d) 294 290 292 300
冻结结束时间/(d) 99 98 101 95
冻结持续时间/(d) 169 172 175 160
融化持续时间/(d) 195 192 189 204
图4(a)~(d)显示了1980 -2017年高原多年冻土区域冻融时间参量空间变化趋势, 总体来看高原大部分区域冻结开始时间显示出推迟的趋势, 部分达到5 d·(10a)-1以上, 高原干旱区小部分高海拔地区存在未通过显著性检验的提前趋势。大部分多年冻土地区呈现冻结结束时间显著提前趋势, 而喀喇昆仑山附近冻结结束时间呈显著推迟趋势, 最大推迟趋势可达15 d·(10a)-1以上。除西北部分区域, 高原大部分地区冻结和融化持续时间分别呈缩短和增长趋势, 这与Guo et al (2018)的研究结果一致。图4(e)~(h)和表3显示, 冻结开始时间从1980 -2017年为推迟趋势, 半湿润区推迟速率最快为2.4 d·(10a)-1, 干旱区速率最慢为0.77 d·(10a)-1。半湿润区的冻结结束时间呈显著提前趋势, 而干旱区及半干旱区冻结结束时间趋势为正值且未通过显著性检验, 这是由于高原西部小部分结束时间推迟区域平均后的结果。对于冻结持续时间, 3种气候分区均有缩短趋势并以半湿润区最为显著, 在整个研究时段内可达-0.42 d·(10a)-1, 融化持续时间与之相反。
图4 1980 -2017年高原多年冻土区域冻结开始时间(a)、 冻结结束时间(b)、 冻结持续时间(c)、 融化持续时间(d)变化趋势空间分布(左)以及冻结开始时间(e)、 冻结结束时间(f)、 冻结持续时间(g)、 融化持续时间(h)时间序列及变化趋势(右)

打点区域为通过90%信度检验

Fig.4 Spatial distribution of trends(left) in freeze start time (a), freeze end time (b), freeze duration (c), and thaw duration (d) in the permafrost regions of the plateau from 1980 to 2017, as well as time series and trends (right)of freeze start time (e), freeze end time (f), freeze duration (g), and thaw duration (h).Dotted areas indicate regions that passed the 90% confidence level test

表3 高原多年冻土土壤冻融时间参量在不同气候区域的变化趋势

Table 3 Trends of soil freeze-thaw time parameters in different climatic regions of the plateau permafrost

冻融参量变化趋势/[d·(10a)-1 多年冻土全域 干旱区 半干旱区 半湿润区
冻结开始时间 1.7** 0.77* 1.8** 2.4**
冻结结束时间 -0.5 0.2 0.01 -1.8**
冻结持续时间 -2.2** -0.5 -1.8** -4.2**
融化持续时间 2** 0.3 1.6* 4**

*代表通过 90%的信度检验, **代表通过99%的信度检验(*represents passing the 90% confidence level test, and **represents passing the 99% confidence level test)

3.3 高原土壤冻融时间参量影响因子研究

3.3.1 高原土壤冻融时间参量与地理因子的关系

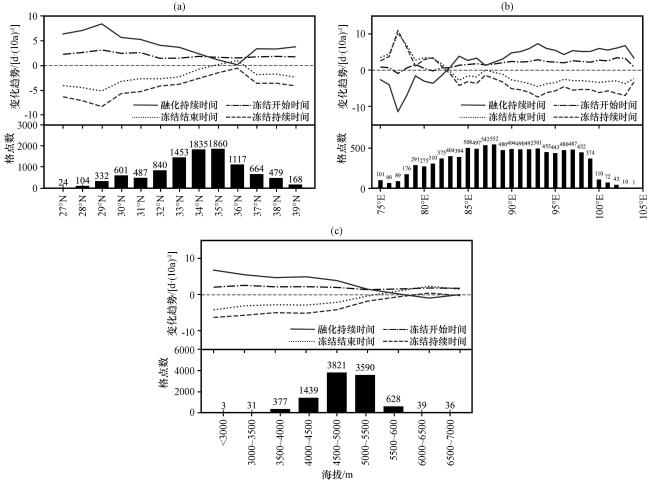
为探究高原冻融参量与地理因子的关系, 本文对融化持续时间与纬度、 经度和海拔进行相关分析。由图5(a)~(b)可知, 在29°N -36°N融化持续时间增长率明显减缓, 36°N -39°N增长率增加, 同时冻结持续时间变化趋势呈现相反态势。在77°E -82.5°E, 融化持续时间呈现缩短趋势且速率逐渐降低, 随后在82.5°E -103°E融化持续时间增长率呈现上升趋势, 冻结结束和冻结持续时间变化趋势相反。冻结开始时间推迟速率随经度增加, 并无明显速率正负变化的转折点。
图5 冻结开始时间(点实线)、 冻结结束时间(点线)、 冻结持续时间(虚线)、 融化持续时间(实线)与地理因子的关系

黑色柱状为格点数量(单位: 个)

Fig.5 Relationships between freeze start time (dotted solid line), freeze end time (dotted line), freeze duration (dashed line), thaw duration (solid line), and geographic factors.The black bars represent the number of grid points (unit: count)

冻融时间参量与海拔的关系如图5(c)所示, 在3000~6000 m, 海拔每上升500 m, 冻结持续时间缩短速率变慢0.9 d·(10a)-1且在6000 m以上由时间缩短转为增加, 这与Guo and Wang(2014)基于CLM4.0在高原上数值模拟的研究结果相似, 但其冻结持续时间结果并未出现正负变化的转折点, 这是由于研究数据、 时段和研究区域的不同所造成的。海拔是决定高原气温垂直分布的主要因素, Guo et al(2019)基于卫星数据2 m气温研究发现高原海拔在3500~6000 m气温增温率下降, 自6000 m以上缓慢上升, 而温度变化会导致近地表土壤冻融过程发生改变, 对应本文融化持续时间增长率自3000 m开始随海拔升高不断下降, 每500 m速率降低0.97 d·(10a)-1, 而6000 m以上变为持续时间缩短。

3.3.2 多年冻土土壤融化持续时间与气候因子相关性研究

为了更好地理解气候因子对高原多年冻土近地表土壤冻融循环的影响, 本文研究了近地表土壤融化时间与气温、 降水量、 积雪厚度和植被指数之间的关系。
图6(b)、 图7(c)可发现, 近地表温度与融化持续时间呈显著正相关并且相关系数在高原不同区域均可达0.75以上, 决定系数为0.56, 具有良好的相关性, 与前人研究一致(Guo and Wang, 2014)。这表明有56%的土壤冻融变化可以用近地表温度解释, 冻融不仅取决于温度变化, 还受到其他相关因素的影响。
图6 1980 -2017年高原多年冻土区降水量(a)、 近地表温度(b)、 植被指数(1982 -2015年)(c)、 积雪厚度(d)与融化持续时间相关系数分布

打点区为通过 90%信度检验

Fig.6 Distribution of correlation coefficients between thaw duration and precipitation (a), near-surface temperature (b), vegetation index (1982 -2015) (c), and snow depth (d) in the plateau permafrost region from 1980 to 2017.Dotted areas indicate regions that passed the 90% confidence level test

图7 1980 -2017年高原多年冻土不同气候分区土壤融化持续时间与积雪厚度(a)、 降水量(b)、 近地表温度(c)和植被指数(1982 -2015年)(d)的时间序列

所有变量均进行标准化处理, 粗线条为滑动平均序列, R为相关系数, 其中*为通过90%的信度检验, **为通过99%的信度检验

Fig.7 Time series of soil thaw duration and snow depth (a), precipitation (b), near-surface temperature (c), and vegetation index (1982-2015) (d) in different climatic subregions of the plateau permafrost from 1980 to 2017.All variables are standardized, and the thick lines represent the moving average sequences.R is the correlation coefficient, where * indicates passing the 90% confidence level test, and ** indicates passing the 99% confidence level test

高原不同气候区的降水量与土壤冻融状态的相关性存在差异, 如图6(a)和图7(b)所示, 降水量与融化持续时间在空间上基本呈正相关关系, 相关系数在全域、 干旱区、 半干旱区和半湿润区分别为0.32、 -0.05、 0.33和0.4, 其中全域和半湿润区通过显著性检验。降水量增加会导致土壤水分增加, 湿土的导热系数较大, 可以让更多的表面能渗透到土壤中(Xu and Wu, 2021), 随着高原气温的升高, 最终会导致融化持续时间增加, 因此降水与融化持续时间在半湿润区相关性显著。除此之外, 有研究显示高原冻土冻结期长, 随着近60年降水增加, 降水对土壤主要起增温作用(Luo et al, 2016), 影响土壤冻融循环。
图6(c)和图7(d)发现植被指数与融化持续时间在高原大部分区域呈正相关关系。其中高原全域相关系数为0.56, 半干旱区相对于干旱区和半湿润区相关性较强, 相关系数为0.462。地表植被特征影响地表辐射平衡和水热状态, 进而影响地表和土壤热状态, 并且能够降低地表附近的风速, 减少土层热量蒸发(Zhang, 2005), 有助于近地表土壤热量维持。有研究显示, 温度与植被指数在不同海拔高度呈正相关关系(Li et al, 2016)且植物覆盖有效地截留了更多的积雪, 导致更高的土壤温度和更早的融化(Sharratt et al, 1998)。土壤水分为植物生长的限制因素, 更早地解冻有利于减轻植被返青时的水分胁迫, 有利于植被生长(Chen et al, 2023Wang and Liu, 2021)。
积雪的高反照率和低导热率等特性导致陆面辐射平衡和能量分配发生变化, 会进一步影响土壤冻融状态。图6(d)和图7(a)所示积雪厚度与融化持续时间空间上为负相关, 有研究表明, 对于高原整体而言, 积雪厚度与地表热状况呈负相关关系(王婷等, 2019张海宏等, 2020), 说明积雪厚度变浅会导致土壤增暖及融化时间的增长。相关系数在全域、 干旱区、 半干旱区和半湿润区上分别为-0.25、 -0.43、 -0.2和-0.5, 其中在干旱区和半湿润区显著相关, 全域负相关性弱的原因可能与高原积雪厚度较薄及具有显著年际变化的区域较少有关(马丽娟和秦大河, 2012)。
为探究不同季节气候因子在3种气候区内的变化对高原多年冻土土壤冻融状态的影响, 对近地表温度、 降水量、 积雪厚度和植被指数4种因子与土壤融化持续时间进行季节尺度的相关性分析。图8显示了四季不同气候区域因子与融化持续时间之间的相关性, 其中春季为3 -5月, 夏季为6 -8月, 秋季为9 -11月, 冬季为12月至次年2月。近地表温度和土壤融化持续时间四季均呈正相关, 其中春季相关关系最为显著, 其半湿润区相关系数达0.82, 平均温度每升高1 ℃, 融化持续时间延长8.5 d。因此, 近地表温度在季节尺度上同样显著影响土壤冻融循环, 并且这种影响存在较小的季节性差异。
图8 1980 -2017年高原多年冻土区域不同季节和气候区融化持续时间与近地表温度(a~d)、 降水量(e~h)、 积雪厚度(i~l)、 植被指数(m~p)的相关性分析

Fig.8 Correlation analysis between thaw duration and near-surface temperature (a~d), precipitation (e~h), snow depth (i~l), and vegetation index (m~p) in different seasons and climatic regions of the plateau permafrost area from 1980 to 2017

高原上降水主要发生在夏季, 少量降水以降雪的形式出现在冬季(Wang et al, 2018)。在所有季节中, 夏季降水与土壤融化持续时间相关性最为显著, 其中半干旱区为0.38, 半湿润区为0.34, 并且降水量每增加10 mm, 在区域内融化持续时间均延长1 d。值得注意的是, 冬季在所有区域均呈现负相关性, 这是由于冬季降水呈降雪的形式, 积雪会增大地表反照率使土壤温度降低(董晴雪等, 2022), 缩短融化持续时间。
高原春季积雪厚度较深且年平均变化大, 积雪厚度与融化持续时间负相关性最显著, 其中半湿润区和半干旱区具有-0.63和-0.4的显著负相关性, 斜率分别为-11.8 d·cm-1和-6.1 d·cm-1。夏季和冬季半湿润区同样也显示出显著负相关, 但半干旱区均不显著。
高原多年冻土植被指数和土壤融化时间几乎在所有季节呈正相关关系。春季相关性最显著, 半干旱区和半湿润区的相关系数分别为0.571和0.596且显著。此外, 在不同季节内干旱区融化持续时间与植被指数的相关关系并不明显, 这可能与高原多年冻土植被覆盖度自东南向西北降低, 干旱区覆盖度较低有关(杨达等, 2021)。
表4可知, 在湿季, 土壤融化持续时间与近地表温度在各个区域相关性强且均通过显著性检验, 是主要的影响因子。此外, 植被指数和积雪厚度的影响也较大, 植被指数在半干旱区的影响最大, 相关系数为0.46, 积雪厚度在干旱区和半湿润区均呈显著负相关性, 相关系数达-0.46和-0.63。高原湿季半湿润区降水量较大, 因此降水量仅在半湿润区呈现显著正相关。在干季, 近地表温度与融化持续时间相关性强和湿季相似, 其中半湿润区相关系数可达-0.87, 但其余因子相关性均减弱。积雪厚度在各气候分区均呈负相关, 其中干旱区和半湿润区相关性更大分别为-0.36、 -0.38, 并通过90%信度检验。植被指数与降水量的相关性较低且仅有植被指数与全域相关性显著。
表4 1980 -2017年高原多年冻土干季和湿季不同气候分区土壤融化持续时间和气候因子相关系数

Table 4 Correlation coefficients between soil thaw duration and climatic factors in different climatic subregions of the plateau permafrost during the dry and wet seasons from 1980 to 2017

分区 积雪厚度 降水量 近地表温度 植被指数
湿季 多年冻土全域 -0.49** 0.3* 0.61** 0.55**
干旱区 -0.46** -0.03 0.64** 0.37**
半干旱区 -0.37* 0.25 0.68** 0.46**
半湿润区 -0.63** 0.45** 0.7** 0.42**
干季 多年冻土全域 -0.1 0.17 0.67** 0.39*
干旱区 -0.36* -0.23 0.6** 0.19
半干旱区 -0.09 -0.08 0.61** 0.34
半湿润区 -0.38* 0.16 0.87** 0.25

*代表通过 90%的信度检验, **代表通过 99%的信度检验(*represents passing the 90% confidence level test, and **represents passing the 99% confidence level test)

4 结论

本文分析了高原多年冻土土壤冻融参量在不同气候区域上时空分布特征, 探讨了不同气候区域地理、 气候因子与融化持续时间的相关性, 结论如下:
(1) 高原多年冻土区域开始冻结集中于9月到10月下旬, 冻结结束集中于2 -5月, 均具由东南向西北递减递增的变化特征。半湿润区土壤融化时间最长而半干旱区最短, 平均相差15 d, 冻结持续时间相反。高原整体土壤冻融状态变化显著, 除喀喇昆仑山附近, 高原大部分地区冻结开始时间和冻结结束时间分别呈推迟和提前趋势, 多数可达5 d·(10a)-1以上。年均融化持续时间增长趋势在半湿润区最为显著, 研究时段内达4 d·(10a)-1, 冻结持续时间结果与之相反。
(2) 高原多年冻土区域冻融时间参量与地理因子具有联系。随着纬度增加, 融化持续时间增长速率在29°N -36°N不断下降。随着经度增加, 融化持续时间增长速率在82.5°E -103°E不断增加, 冻结持续时间均表现相反趋势。海拔影响气温分布, 随着海拔的上升, 融化持续时间增长率降低, 每上升500 m速率下降0.97 d·(10a)-1, 冻结持续时间减少速率下降0.9 d·(10a)-1
(3) 高原多年冻土区域融化持续时间与近地表温度、 积雪厚度、 植被指数、 降水量均有关联, 但不同气候区域的相关性不同。近地表温度在所有区域正相关性良好, 决定系数可达0.56以上, 是影响冻融变化的主要因素。降水量在全域基本为正相关且在半湿润区最为显著, 相关系数达0.4。植被指数全区基本呈现正相关且在半干旱区最显著, 相关系数达0.46。积雪厚度基本在全域呈现负相关, 在半干旱区和半湿润区具有显著的相关性, 达0.5和0.43。
(4) 高原多年冻土不同气候区域下融化持续时间与气候因子的相关性存在季节性差异。融化持续时间与近地表温度四季相关性均较明显, 其中春季半湿润区相关系数可达0.82。融化持续时间与夏季降水量相关强且在半湿润区、 半干旱区显著。积雪厚度在半湿润区负相关性强, 其中春季达到-0.633。融化持续时间与植被指数相关性在春季相关性明显, 其中半干旱和半湿润区达到0.571、 0.596且显著。
(5) 近地表温度对干湿季高原多年冻土不同区域融化持续时间均有显著影响, 平均相关系数在0.6左右。湿季积雪深度、 降水量和植被指数对高原多年冻土区域土壤冻融的影响较大, 而在干季相关性较低, 仅积雪深度存在一定相关关系。
值得注意的是, 高原喀喇昆仑山附近较高原其他区域变化显著不同。可能原因如下, 前人由ERA5再分析资料研究得出高原西北部地表温度呈现减弱趋势(杨耀先等, 2022), 并且本研究使用CMFD近地表温度数据发现该区域年平均温度呈下降的现象, 气温作为影响土壤冻融变化的主要因子, 改变了该地区的土壤冻融过程。除气温原因外, 该地区位于高原西部印度河流域上游, 冰川化程度最高(占总面积50%)和积雪最集中的地区位于高原西部, 其中印度河流域分布的冰川数量和面积较大, 占青藏高原及周边地区冰川总数量的22.95%。近40年来, 青藏高原及周边地区冰川经历了普遍的萎缩态势(王宁练等, 2019Su et al, 2022), 冰川融化和融雪对于印度河流域上游河流水资源补给影响大, 在夏季可占河流流量50%以上(Su et al, 2022)。由于冰川萎缩、 积雪融化增多、 径流增加使得土壤含水量增加, 而当温度高于0 ℃时, 土壤湿度增加会引起地表温度下降(Jiang et al, 2023), 从而使该区域土壤更容易冻结, 冻结后的土壤更难融化, 造成冻结开始时间提前, 冻结结束时间推迟, 进而融化持续时间缩短。
Chen B L Luo S Q Lu S H, et al, 2014.Effects of the soil freeze-thaw process on the regional climate of the Qingha-Tibet Plateau[J].Climate Research59(3): 243-257.DOI: 10.3354/cr01217 .

Chen T Gao G Chen D L, et al, 2022.Comprehensive applicability evaluation of multi-source snow depth datasets over the Tibetan Plateau[J].Journal of Glaciology and Geocryology44(3): 795-809.DOI: 10.7522/j.issn.1000-0240.2022.0078 .

Chen X Jeong S2023, Asymmetric impacts of surface thaw onset change on seasonal vegetation growth in arctic permafrost[J].Global Ecology and Biogeography33(1): 131-140.DOI: /10.1111/geb.13769 .

Cheng G D Wu T H2007.Responses of permafrost to climate change and their environmental significance, Qinghai-Tibet Plateau[J].Journal of Geophysical Research Earth Surface112(F2): F02S03.DOI: 10.1029/2006JF000631 .

Deng M Meng X Lyv Y, et al, 2020.Comparison of soil water and heat transfer modeling over the Tibetan Plateau using two community land surface model (CLM) versions[J].Journal of Advances in Modeling Earth Systems12(10): e2020MS002189.DOI: 10.1029/2020MS002189 .

Derksen, C, Coauthors, 2012.Variability and change in the Canadian cryosphere[J].Climatic Change, 115: 59-88.DOI: 10.1007/s10584-012-0470-0 .

Dickinson R E Oleson K W Bonan G, et al, 2006.The community land model and its climate statistics as a component of the community climate system model[J].Journal of Climate19(11): 2302-2324.DOI: 10.1175/JCLI3742.1 .

Guo D L Sun J Q Yang K, et al, 2019.Revisiting recent elevation-dependent warming on the Tibetan Plateau using satellite-based data sets[J].Journal of Geophysical Research: Atmospheres124(15): 8511-8521.DOI: 10.1029/2019JD030666 .

Guo D L Wang A Li D, et al, 2018.Simulation of changes in the near‐surface soil freeze/thaw cycle using CLM4.5 with four atmospheric forcing data sets[J].Journal of Geophysical Research: Atmospheres123(5): 2509-2523.DOI: 10.1002/2017JD028097 .

Guo D L Wang H J2013.Simulation of permafrost and seasonally frozen ground conditions on the Tibetan Plateau, 1981-2010[J].Journal of Geophysical Research118(11): 5216-5230.DOI: 10.1002/jgrd.50457 .

Guo D L Wang H J2016.Permafrost degradation and associated ground settlement estimation under 2 ℃ global warming[J].Climate Dynamics, 49: 2569-2583.DOI: /10.1007/s00382-016-3469-9 .

Guo D L Wang H2014.Simulated change in the near-surface soil freeze/thaw cycle on the Tibetan Plateau from 1981 to 2010[J].Chinese Science Bulletin59(20): 2439-2448.DOI: 10.1007/s11434-014-0347-x .

Han J Y Miao C Y Gou J J, et al, 2023.A new daily gridded precipitation dataset for the Chinese mainland based on gauge observations[J].Earth System Science Data15(7): 3147-3161.DOI: 10.5194/essd-15-3147-2023 .

He J Yang K Tang W J, et al, 2020.The first high-resolution meteorological forcing dataset for land process studies over China[J].Scientific Data7(1): 25.DOI: /10.1038/s41597-020-0369-y .

Hjort J Karjalainen O Aalto J, et al, 2018.Degrading permafrost puts arctic infrastructure at risk by mid-century[J].Nature Communications9(1): 5147.DOI: 10.1038/s41467-018-07557-4 .

Jiang K Pan Z H Pan F F, et al, 2023.Combined influence of soil moisture and atmospheric humidity on land surface temperature under different climatic background[J].iScience26(6): 106837.DOI: 10.1016/j.isci.2023.106837 .

Jiang Z Y Huete A R Chen J, et al, 2006.Analysis of NDVI and scaled difference vegetation index retrievals of vegetation fraction[J].Remote Sensing of Environment101(3): 366-378.DOI: 10.1016/j.rse.2006.01.003 .

Lai X Yao S Y Cen S X, et al, 2024.Changes in the spatiotemporal distribution of the timing and duration of the soil freeze-thaw status from 1979 to 2018 over the Tibetan Plateau[J].International Journal of Climatology44(14): 4963-4983.DOI: 10.1002/joc.8617 .

Lawrence D M Fisher R A Koven C D, et al, 2019.The community land model version 5: description of new features, benchmarking, and impact of forcing uncertainty[J].Journal of Advances in Modeling Earth Systems11(12): 4245-4287.DOI: 10.1029/2018MS001583 .

Li H D Jiang J Chen B, et al, 2016.Pattern of NDVI-based vegetation greening along an altitudinal gradient in the eastern himalayas and its response to global warming[J].Environmental Monitoring and Assessment, 188: 186.DOI: 10.1007/s10661-016-5196-4 .

Li X Jin R Pan X D, et al, 2012, Changes in the near-surface soil freeze-thaw cycle on theTibetan Plateau[J].International Journal of Applied Earth Observation and Geoinformation17(1): 33-42.DOI: 10.1016/j.jag.2011.12.002 .

Luo S Q Fang X W Lyu S H, et al, 2017.Improving CLM4.5 simulations of land-atmosphere exchange during freeze-thaw processes on the Tibetan Plateau[J].Journal of Meteorological Research31(5): 916-930.DOI: org/10.1007/s13351-017-6063-0 .

Luo S Q Fang X W Lyu S H, et al, 2016.Frozen ground temperature trends associated with climate change in the Tibetan Plateau Three River Source Region from 1980 to 2014[J].Climate Research67(3): 241-255.DOI: 10.3354/cr01371 .

Luo S Q Wang J Y Pomeroy J W, et al, 2020.Freeze-thaw changes of seasonally frozen ground on the Tibetan Plateau from 1960 to 2014[J].Journal of Climate33(21): 9427-9446.DOI: 10.1175/JCLI-D-19-0923.1 .

Peng Q Jia B H Lai X, et al, 2023.Characteristics of near‐surface soil freeze-thaw status using high resolution CLM5.0 simulations on the Tibetan Plateau[J].Atmospheric Science Letters24(8): e1168.DOI: 10.1002/asl.1168 .

Qiu J2008.China: the third pole[J].Nature454(7203): 393-396.DOI: 10.1038/454393a .

Schmidt M W Torn M S Abiven S, et al, 2011.Persistence of soil organic matter as an ecosystem property[J].Nature, 478: 49-56.DOI: 10.1038/nature10386 .

Sharratt B S Benoit G R Voorhees W B1998.Winter soil microclimate altered by corn residue management in the northern corn belt of the USA[J].Soil and Tillage Research49(3): 243-248.DOI: 10.1016/s01671987(98)00181-0 .

Su F G Pritchard H Yao T D, et al, 2022.Contrasting fate of western third pole’s water resources under 21st century climate change[J].Earth’s Future10(9): e2022EF002776.DOI: 10.1029/2022EF002776 .

Swenson S C Lawrence D Lee H2012.Improved simulation of the terrestrial hydrological cycle in permafrost regions by the community land model[J].Journal of Advances in Modeling Earth Systems4(3): M08002.DOI: 10.1029/2012MS000165 .

Wang J Y Luo S Q Li Z G, et al, 2019.The freeze/thaw process and the surface energy budget of the seasonally frozen ground in the source region of the Yellow River[J].Theoretical and Applied Climatology, 138: 1631-1646.DOI: 10.1007/s00704-019-02917-6 .

Wang J Liu D S2021, Vegetation green‐up date is more sensitive to permafrost degradation than climate change in spring across the northern permafrost region[J].Global Change Biology28(4): 1569-1582.DOI: 10.1111/gcb.16011 .

Wang K Zhang T Zhong X, et al, 2015.Changes in the timing and duration of the near-surface soil freeze/thaw status from 1956 to 2006 across China[J].The Cryosphere9(3): 1321-1331.doi: 10.5194/tc-9-1321-2015 .

Wang S N Li R Wu T H, et al, 2022.Evaluating the impact of soil enthalpy upon the thawing process of the active layer in permafrost regions of the Qinghai-Tibet Plateau using CLM5.0[J].Remote Sensing15(1): 249.DOI: 10.3390/rs15010249 .

Wang X J Pang G J Yang M X2018.Precipitation over the Tibetan Plateau during recent decades: a review based on observations and simulations[J].International Journal of Climatology38(3): 1116-1131.DOI: 10.1002/joc.5246 .

Wei S G Dai Y J Liu B Y, et al, 2013.A China dataset of soil properties for land surface modeling[J].Journal of Advances in Modeling Earth Systems5(2): 212-224.DOI: 10.1002/jame. 20026 .

Wu Q B Zhang T J2010.Changes in active layer thickness over the Qinghai-Tibet Plateau from 1995 to 2007[J].Geophysical Research Letters115(D09): 107.DOI: 10.1029/2009JD012974 .

Wu X R Jin S G Chang L2017.Monitoring bare soil freezing/thawing process using GPS-interferometric reflectometry: simulation and validation[J].Remote Sensing10(1): 14.DOI: 10.3390/rs10010014 .

Xu X M Wu Q B2021.Active layer thickness variation on the Qinghai-Tibetan Plateau: historical and projected trends[J].Journal of Geophysical Research: Atmospheres126(23): e2021JD034841.DOI: 10.1029/2021JD034841 .

Yang K Wang C H Li S Y2018.Improved simulation of frozen-thawing process in land surface model(CLM4.5)[J].Journal of Geophysical Research: Atmospheres123(23): 13238-13258.DOI: 10.1029/2017JD028260 .

Yang K Wang C H2023.Frozen soil advances the effect of spring snow cover anomalies on subsequent precipitation over the Tibetan Plateau[J].Journal of Hydrometeorology24(2): 335-350.DOI: 10.1175/JHM-D-22-0083.1 .

Yang M X Wang X J Pang G J, et al, 2019.The Tibetan Plateau cryosphere: observations and model simulations for current status and recent changes[J].Earth-Science Reviews, 190: 353-369.DOI: 10.1016/j.earscirev.2018.12.018 .

Yang M X Yao T D Gou X H, et al, 2007.Diurnal freeze/thaw cycles of the ground surface on the Tibetan Plateau[J].Chinese Science Bulletin52(1): 136-139.DOI: 10.1007/s11434-007-0004-8 .

Yang S H Li R Zhao L, et al, 2022.Evaluation of the performance of CLM5.0 in soil hydrothermal dynamics in permafrost regions on the Qinghai-Tibet Plateau[J].Remote Sensing14(24): 6228.DOI: 10.3390/rs14246228 .

Yang M X Nelson F E Shiklomanov N I, et al, 2010.Permafrost degradation and its environmental effects on the Tibetan Plateau: a review of recent research[J].Earth-Science Reviews103(1-2): 31-44.DOI: 10.1016/j.earscirev.2010.07.002 .

Zhang T J2005.Influence of the seasonal snow cover on the ground thermal regime: An overview[J].Reviews of Geophysics43(4): RG4002.DOI: 10.1029/2004rg000157 .

Zhao T J Shi J C Hu T X, et al, 2017.Estimation of high-resolution near-surface freeze/thaw state by the integration of microwave and thermal infrared remote sensing data on the Tibetan Plateau[J].Earth and Space Science4(8): 472-484.DOI: 10.1002/2017EA000277 .

Zou D F Zhao L Sheng Y, et al, 2017.A new map of the permafrost distribution on the Tibetan Plateau[J].Cryosphere Discussions11(6): 2527-2542.DOI: 10.5194/tc-11-2527-2017 .

蔡林彤, 方雪薇, 吕世华, 等, 2021.青藏高原中部冻融强度变化及其与气温的关系[J].高原气象40(2): 244-256.DOI: 10.7522/j.issn.1000-0534.2020.00073.Cai L T

Fang X W Lu S H, et al, 2021.Changes in freeze-thaw intensity in the central Qinghai-Xizang(Tibetan)Plateau and its relationship with temperature[J].Plateau Meteorology40(2): 244-256.DOI: 10.7522/j.issn.1000-0534.2020.00073 .

董晴雪, 罗斯琼, 文小航, 等, 2022.近60 年来藏东南降水变化及其对土壤温度与冻融过程的影响[J].高原气象41(2): 404-419.DOI: 10.7522/j.issn.1000-0534.2021.00065.Dong Q X

Luo S Q Wen X H, et al, 2022.Changes in precipitation in southeastern Tibet in the past 60 years and its effects on soil temperature and freeze-thaw processes[J].Plateau Meteorology41(2): 404-419.DOI: 10.7522/j.issn.1000-0534.2021.00065 .

胡桃, 吕世华, 常燕, 等, 2022.CMIP6模式对青藏高原多年冻土变化的分析预估[J].高原气象41(2): 363-375.DOI: 10.7522/j.issn.1000-0534.2022.00009.Hu T

S H Chang Y, et al, 2022.Analysis and prediction of permafrost changes in Qinghai-Xizang(Tibetan)Plateau by CMIP6 Climate Models[J].Plateau Meteorology41(2): 363-375.DOI: 10.7522/j.issn.1000-0534.2022.00009 .

黄建平, 张国龙, 于海鹏, 等, 2020.黄河流域近40年气候变化的时空特征[J].水利学报51(9): 1048-1058.DOI: 10.13243/j.cnki.slxb.20200603.Huang J P

Zhang G L Yu H P, et al, 2020.Spatiotemporal characteristics of climate change in the Yellow River Basin in the past 40 years[J].Journal of Hydraulic Engineering51(9): 1048-1058.DOI: 10.13243/j.cnki.slxb.20200603 .

李时越, 杨凯, 王澄海, 2018.陆面模式CLM4.5在青藏高原土壤冻融期的偏差特征及其原因[J].冰川冻土40(2): 322-334.DOI: 10.7522/j.issn.1000-0240.2018.0037.Li S Y

Yang K Wang C H2018.Deviation characteristics and reasons of land surface model CLM4.5 during soil freeze-thaw period in the Qinghai-Xizang(Tibetan)Plateau[J].Journal of Glaciology and Geocryology40(2): 322-334.DOI: 10.7522/j.issn.1000-0240.2018.0037 .

刘闻慧, 文军, 陈金雷, 等, 2022.青藏高原土壤冻融过程关键参量时空分布特征分析[J].高原气象41(1): 11-23.DOI: 10.7522/j.issn.1000-0534.2021.00024.Liu W H

Wen J Chen J L, et al, 2022.Analysis of spatiotemporal distribution characteristics of key parameters of soil freeze-thaw process in the Qinghai-Xizang(Tibetan)Plateau[J].Plateau Meteorology41(1): 11-23.DOI: 10.7522/j.issn.1000-0534.2021.00024

刘焱序, 2020.青藏高原归一化植被指数数据集(1982-2015)[DB/OL].国家青藏高原科学数据中心.DOI: 10.11888/Geogra.tpdc.271035.Liu Y X, 2020.Normalized vegetation index dataset of the Qinghai-Xizang(Tibetan)Plateau(1982-2015)[DB/OL].National Tibetan Plateau Data Center.DOI: 10.11888/Geogra.tpdc.271035 .

马丽娟, 秦大河, 2012.1957-2009年中国台站观测的关键积雪参数时空变化特征[J].冰川冻土34(1): 1-11.DOI: 10.7522/j.issn.1000-0240.2012.0001.Ma L J

Qin D H2012.Spatiotemporal variation characteristics of key snow cover parameters observed by Chinese stations from 1957 to 2009[J].Journal of Glaciology and Geocryology34(1): 1-11.DOI: 10.7522/j.issn.1000-0240.2012.0001 .

缪驰远, 韩静雅, 苟娇娇, 2023中国逐日降水数据集(1961-2022, 0.1°/0.25°/0.5°)[DB/OL].国家青藏高原数据中心, DOI: 10.11888/Atmos.tpdc.300523.Miao C Y, Han J Y, Gou J J, 2023, Daily precipitation dataset in China(1961-2022, 0.1°/0.25°/0.5°) [DB/OL].National Tibetan Plateau Data Center, DOI: 10.11888/Atmos.tpdc.300523 .

彭守璋, 2023.中国1 km逐年干燥度数据集(1901-2022)[DB/OL].国家青藏高原数据中心, DOI: 10.11888/Atmos.tpdc.300560.Peng S Z, 2023.China's 1 km annual dryness dataset (1901-2022) [DB/OL].National Tibetan Plateau Data Center, DOI: 10.11888/Atmos.tpdc.300560 .

秦大河, 姚檀栋, 丁永建, 等, 2020.面向可持续发展的冰冻圈科学[J].冰川冻土42(1): 1-10.DOI: 10.7522/j.issn.1000-0240.2020.0001.Qin D H

Yao T D Ding Y J, et al, 2020.Cryosphere science for sustainable development[J].Journal of Glaciology and Permafrost42(1): 1-10.DOI: 10.7522/j.issn.1000-0240.2020.0001 .

秦大河, 姚檀栋, 丁永建, 等, 2014.冰冻圈科学辞典[M].北京: 气象出版社.Qin D H, Yao T D, Ding Y J, et al, 2014.Scientific dictionary of the cryosphere[M].Beijing: China Meteorological Press.

王宁练, 姚檀栋, 徐柏青, 等, 2019.全球变暖背景下青藏高原及周边地区冰川变化的时空格局与趋势及影响[J].中国科学院院刊34(11): 1220-1232.DOI: 10.16418/j.issn.1000-3045.2019.11.005.Wang N L

Yao T D Xu B Q, et al, 2019.Spatiotemporal pattern, trend and impact of glacier change in the Qinghai-Xizang(Tibetan)Plateau and surrounding areas under the background of global warming[J].Bulletin of Chinese Academy of Sciences34(11): 1220-1232.DOI: 10.16418/j.issn.1000-3045.2019.11.005 .

王婷, 李照国, 吕世华, 等, 2019.青藏高原积雪对陆面过程热量输送的影响研究[J].高原气象38(5): 920-934.DOI: 10.7522/j.issn.1000-0534.2019.00026.Wang T

Li Z G Lyu S H, et al, 2019.Effect of snow cover on heat transport in land surface processes on the Qinghai-Xizang(Tibetan)Plateau[J].Plateau Meteorology38(5): 920-934.DOI: 10.7522/j.issn.1000-0534.2019.00026 .

夏坤, 罗勇, 李伟平, 2011.青藏高原东北部土壤冻融过程的数值模拟[J].科学通报56(22): 1828-1838.DOI: 10.1007/sl1434-011-4542-8.Xia K

Luo Y Li W P2011.Numerical simulation of soil freeze-thaw process in the northeast of the Qinghai-Xizang(Tibetan)Plateau [J].Chinese Science Bulletin56(22): 1828-1838.DOI: 10.1007/sl1434-011-4542-8 .

徐洪亮, 常娟, 郭林茂, 等, 2021.青藏高原腹地多年冻土区活动层水热过程对气候变化的响应[J].高原气象40(2): 229-243.DOI: 10.7522/j.issn.1000-0534.2020.00071.Xu H L

Chang J Guo L M, et al, 2021.Response of active layer hydrothermal processes to climate change in permafrost hinterland of the Qinghai-Xizang(Tibetan)Plateau[J].Plateau Meteorology40(2): 229-243.DOI: 10.7522/j.issn.1000-0534.2020.00071 .

阳坤, 何杰, 唐文君, 等, 2019, 中国区域地面气象要素驱动数据集(1979-2018)[DB/OL].国家青藏高原数据中心, DOI: 10. 11888/AtmosphericPhysics.tpe.249369.File.Yang K, He J, Tang W J, et al, 2019, Regional surface meteorological element-driven dataset in China (1979-2018)[DB/OL].National Tibetan Plateau Data Center, DOI: 10.11888/AtmosphericPhysics.tpe.249369.File .

阳坤, 陈莹莹, 赵龙, 等, 2022.帕里土壤温湿度观测网数据(2015-2021)[DB/OL].国家青藏高原数据中心, DOI: 10.11888/Terre.tpdc.301088.Yang K, Chen Y Y, Zhao L, et al, 2022.Data of Pali soil temperature and humidity observation network(2015-2021) [DB/OL].National Tibetan Plateau Data Center, DOI: 10.11888/Terre.tpdc.301088 .

杨达, 易桂花, 张廷斌, 等, 2021.青藏高原植被生长季NDVI 时空变化与影响因素[J].应用生态学报32(4): 1361-1372.DOI: 10.13287/j.1001-9332.202104.014.Yang D

Yi G H Zhang T B, et al, 2021.Spatiotemporal variation and influencing factors of NDVI during vegetation growth season on the Tibetan Plateaup[J].Chinese Journal of Applied Ecology32(4): 1361-1372.DOI: 10.13287/j.1001-9332.202104.014 .

杨梅学, 姚檀栋, Hirose N, 等, 2006.青藏高原表层土壤的日冻融循环[J].科学通报51(16): 1974-1976.DOI: 10.3321/j.issn: 0023-074X.2006.16.020.Yang M X

Yao T D Hirose N, et al, 2006.Daily freeze-thaw cycle of surface soil over the Tibetan Plateau[J].Chinese Science Bulletin51(16): 1974-1976.DOI: 10.3321/j.issn: 0023-074X.2006.16.020 .

杨淑华, 李韧, 吴通华, 等, 2019.青藏高原近地表土壤不同冻融状态的变化特征及其与气温的关系[J].冰川冻土41(6): 1377-1387.DOI: 10.7522/j.issn.1000-0240.2019.0536.Yang S H

Li R Wu T H, et al, 2019.Variation characteristics of different freeze-thaw states of near-surface soil in the Qinghai-Xizang(Tibetan)Plateau and their relationship with temperature[J].Journal of Glaciology and Geocryology41(6): 1377-1387.DOI: 10.7522/j.issn.1000-0240.2019.0536 .

杨淑华, 吴通华, 李韧, 等, 2018.青藏高原近地表土壤冻融状况的时空变化特征[J].高原气象37(1): 43-53.DOI: 10.7522/j.issn.1000-0534.2017.00043.Yang S H

Wu T H Li R, et al, 2018.Temporal and spatial variation characteristics of near-surface soil freeze-thaw conditions in the Qinghai-Xizang(Tibetan)Plateau[J].Plateau Meteorology37(1): 43-53.DOI: 10.7522/j.issn.1000-0534.2017.00043 .

杨耀先, 胡泽勇, 路富全, 等, 2022.青藏高原近60年来气候变化及其环境影响研究进展[J].高原气象41(1): 1-10.DOI: 10.7522/j.issn.1000-0534.2021.00117.Yang Y X

Hu Z Y Lu F Q, et al, 2022.Progress of recent 60 years’ climate change and its environmental impacts on the Qinghai-Xizang(Tibetan)Plateau[J].Plateau Meteorology41(1): 1-10.DOI: 10.7522/j.issn.1000-0534.2021.00117 .

张戈, 赖欣, 刘康, 2023.黄河源区玛曲土壤冻融过程中地表水热交换特征分析[J].高原气象42(3): 575-589.DOI: 10.7522/j.issn.1000-0534.2022.00083.Zhang G

Lai X Liu K2023.Analysis of surface water heat exchange characteristics during freezing-thawing process in Maqu soil in the source area of the Yellow River[J].Plateau Meteorology42(3): 575-589.DOI: 10.7522/j.issn.1000-0534.2022.00083 .

张国胜, 李林, 汪青春, 等, 2007.青海高原冻土退化驱动因素的定量辨识[J].地理科学27(3): 337-341.DOI: 10.3969/j.issn.1000-0690.2007.03.008.Zhang G S

Li L Wang Q C, et al, 2007.Quantitative identification of driving factors of permafrost degradation in the Qinghai-Xizang(Tibetan)Plateau[J].Chinese Journal of Geography27(3): 337-341.DOI: 10.3969/j.issn.1000-0690.2007.03.008 .

张海宏, 姜海梅, 陈奇, 等, 2020.积雪覆盖对高寒草甸土壤温湿及地表能量收支的影响[J].高原气象[J].39(4): 740-749.DOI: 10.7522/j.issn.1000-0534.2019.00072.Zhang H H

Jiang H M Chen Q, et al, 2020.Effects of snow cover on soil temperature and humidity and surface energy budget in alpine meadow.Plateau Meteorology[J].39(4): 740-749 DOI: 10.7522/j.issn.1000-0534.2019.00072 .

张佩, 郑东海, 文军, 等, 2023.基于青藏高原土壤温湿度观测网的长时序土壤温湿度廓线数据集(2009-2019)[DB/OL].国家青藏高原数据中心, DOI: 10.4121/20141567.v1.Zhang P, Zheng D H, Wen J, et al, 2023.Long-time soil temperature and humidity profile dataset based on soil temperature and humidity observation network on the Qinghai-Xizang(Tibetan)Plateau(2009-2019) [DB/OL].National Tibetan Plateau Data Center, DOI: 10.4121/20141567.v1 .

张仪辉, 刘昌明, 梁康, 等, 2022.雅鲁藏布江流域降水时空变化特征[J].地理学报77(3): 603-618.DOI: 10.11821/dlxb202203008.Zhang Y H

Liu C M Liang K, et al, 2022.Temporal and spatial variation characteristics of precipitation in the Brahmaputra River Basin[J].Acta Geographica Sinica77(3): 603-618.DOI: 10.11821/dlxb202203008 .

张镱锂, 李炳元, 郑度, 2014.《论青藏高原范围与面积》一文数据的发表--青藏高原范围界线与面积地理信息系数数据[J].地理学报69(s1): 65-68.DOI: 10.11821/dlxb2014S012.Zhang Y L

Li B Y Zheng D2014.Publication of data in the article "On the scope and area of the Qinghai-Tibet Plateau"——Geographic information coefficients of the boundary and area of the Qinghai-Tibet Plateau[J].Acta Geographica Sinica69(s1): 65-68.DOI: 10.11821/dlxb2014S012 .

赵林, 2019.青藏高原新绘制冻土分布图(2017)[DB/OL].国家青藏高原数据中心, DOI: 10.11888/Geocry.tpdc.270468.Zhao L, 2019.New permafrost distribution map of the Qinghai-Xizang(Tibetan)Plateau(2017)[DB/OL].National Tibetan Plateau Data Center, DOI: 10.11888/Geocry.tpdc.270468 .

文章导航

/