青藏高原巴木错季风期水量收支变化特征及成因分析

  • 石乐乐 , 1, 2 ,
  • 马伟强 , 2, 1, 4 ,
  • 马卫垚 2, 3, 4 ,
  • 马耀明 2, 1, 4 ,
  • 左洪超 1 ,
  • 王宾宾 2 ,
  • 谢志鹏 2 ,
  • 苏荣明珠 5 ,
  • 柏灵 6 ,
  • 马龙腾飞 2, 3, 4 ,
  • 陈霆炜 1, 2 ,
  • 陈映怡 1, 2
展开
  • 1. 兰州大学大气科学学院,甘肃 兰州 730000
  • 2. 中国科学院青藏高原研究所青藏高原地球系统与资源环境全国重点实验室地气作用与气候效应团队,北京 100101
  • 3. 中国科学院大学,北京 100101
  • 4. 西藏珠穆朗玛特殊大气过程与环境变化国家野外科学观测研究站,西藏 定日 858200
  • 5. 华润电力技术研究院有限公司,广东 深圳 518001
  • 6. 中国气象局气候资源经济转化重点开放实验室,重庆市梁平区气象局,重庆 405200
马伟强(1975 -), 男, 甘肃甘谷人, 研究员, 主要从事青藏高原高原地-气相互作用观测、 遥感应用和与数值模拟研究.E-mail:

石乐乐(2000 -), 女, 陕西榆林人, 硕士研究生, 主要从事青藏高原高原地-气相互作用观测. E-mail:

收稿日期: 2025-02-20

  修回日期: 2025-03-25

  网络出版日期: 2025-06-04

基金资助

国家自然科学基金项目(U2242208)

西藏科技厅项目(XZ202402ZD006)

西藏科技厅项目(XZ202401JD0004)

Characteristics and Causes of Water Balance Variations during the Monsoon Period in Bamu Co on Qinghai-Xizang Plateau

  • Lele SHI , 1, 2 ,
  • Weiqiang MA , 2, 1, 4 ,
  • Weiyao MA 2, 3, 4 ,
  • Yaoming MA 2, 1, 4 ,
  • HongChao ZUO 1 ,
  • Binbin WANG 2 ,
  • Zhipeng XIE 2 ,
  • Rongmingzhu SU 5 ,
  • Ling BAI 6 ,
  • Longtengfei MA 2, 3, 4 ,
  • Tingwei CHEN 1, 2 ,
  • Yingyi CHEN 1, 2
Expand
  • 1. College of Atmospheric Sciences,Lanzhou University,Lanzhou 730000,Gansu,China
  • 2. Land-Atmosphere Interaction and its Climatic Effects Group,State Key Laboratory of Tibetan Plateau Earth System,Environment and Resources (TPESER),Institute of Tibetan Plateau Research,Chinese Academy of Sciences,Beijing 100101,China
  • 3. University of Chinese Academy of Sciences,Beijing 100101,China
  • 4. National Observation and Research Station for Qomolongma Special Atmospheric Processes and Environmental Changes,Dingri 858200,Xizang,China
  • 5. China Resources Power Technology Research Institute Co. ,Ltd. ,Shenzhen 518001,China
  • 6. CMA Key Open Laboratory of Transforming Climate Resources to Economy,Liangping Meteorological Bureau,Chongqing 405200,China

Received date: 2025-02-20

  Revised date: 2025-03-25

  Online published: 2025-06-04

Copyright

© Editorial Department of Plateau Meteorology (CC BY-NC-ND)

摘要

封闭性湖泊水量收支变化是研究湖泊对气候变化响应的理想研究对象, 但现有研究多关注青藏高原湖泊的长期水量变化。由于数据稀缺, 青藏高原湖泊水量年内动态变化及平衡要素的贡献尚不明确, 制约了青藏高原湖泊水量收支和对气候变化响应的研究。本文基于巴木错水文气象观测数据、 再分析资料以及水量平衡方程和入湖径流量计算方法, 分析了巴木错2021 -2023年季风期水量平衡方程各要素——湖面降水P、 入湖径流 R s、 湖面蒸发E、 水位H和水位差值ΔH的动态变化特征; 不同月份、 年份的水量平衡因子相对贡献率; 以及水文要素和气象要素——气温、 向下辐射和相对湿度的年际变化。研究结果表明: (1)巴木错水量收支具有显著年际差异, 其中2021年充沛的P R s驱动H上升, 2022年P R s骤减导致H下降, 2023年P R s的增强抵消E的增强使得H再次上升; (2)ΔH R sE主导调控, 月尺度上 R s贡献率呈“V”型波动、 E贡献率反向变化, 年际尺度上 R s主导正向波动(2021年和2023年)、 E主导负向波动(2022年); (3)气象要素通过调节P-E动态平衡影响ΔH, 2021年中等气温、 高湿度和中等辐射条件下, E/P比值相对中等, ΔH正向波动(+231 mm); 2022年, 气温升高、 湿度降低、 辐射增强导致E/P值上升, 叠加P R s减少, 引发ΔH负向波动(-75 mm); 2023年, 气象条件改善, E/P比值下降, 水热条件的恢复驱动ΔH正向变化(+350.6 mm)。本研究揭示了典型季风区湖泊水循环的特征, 对支撑“亚洲水塔”生态安全屏障建设和推动高原可持续发展有重要意义。

本文引用格式

石乐乐 , 马伟强 , 马卫垚 , 马耀明 , 左洪超 , 王宾宾 , 谢志鹏 , 苏荣明珠 , 柏灵 , 马龙腾飞 , 陈霆炜 , 陈映怡 . 青藏高原巴木错季风期水量收支变化特征及成因分析[J]. 高原气象, 2025 , 44(6) : 1441 -1451 . DOI: 10.7522/j.issn.1000-0534.2025.00041

Abstract

The variation in water budget of closed lakes serves as an ideal research subject for studying lake responses to climate change.However, most existing studies focus on the long-term water volume changes of lakes on Qinghai-Xizang Plateau.Due to data scarcity, the intra-annual dynamics of water budgets and the contributions of balance components in these lakes remain unclear, hindering research on water budget dynamics and climate change responses.Base on hydrological-meteorological observation data, reanalysis datasets, water balance equations, and inflow runoff calculation methods, this study analyzes the dynamic characteristics of water balance components [lake surface precipitation (P), inflow runoff ( R s), lake surface evaporation (E)], lake level (H) and lake level difference(ΔH)) in Bamu Co during the 2021 -2023 monsoon periods; the relative contributions rates of water balance factors in different months and years; along with the interannual variations in meteorological elements including air temperature, downward radiation, and relative humidity.The results show that: (1) The water budget of Bamu Co exhibits significant interannual variation.In 2021, abundant P and R s drove in H.In 2022, sharp declines in P and R s led to a drop in H.In 2023, increases in P and R s offset the intensified E, resulting in another rise in H.(2) ΔH is mainly regulated by R s and E.On the monthly scale, the contribution of R s displays a “V”-shaped, while E shows an opposite trend.On the interannual scale, R s plays a dominant role in positive variations (2021 and 2023), whereas E dominates negative variations (2022).(3) Meteorological elements influenced ΔH through P-E balance adjustments: moderate temperature, high humidity, and medium radiation in 2021 maintained medium E/P ratio with positive ΔH (+231 mm); elevated temperature, reduced humidity, and enhanced radiation in 2022 increased E/P ratio alongside decreased P and R s, resulting in negative ΔH (-75 mm); improved meteorological conditions in 2023 reduced E/P ratio and restored hydrothermal conditions, driving positive ΔH (+350.6 mm).This study provides crucial insights into unique hydrological mechanisms of monsoon-influenced lakes, supports ecological security barrier construction for the "Asian Water Tower", and promotes sustainable development on the Qinghai-Xizang Plateau.

1 引言

青藏高原是长江、 黄河等亚洲主要河流的发源地, 素有“亚洲水塔”之称(Immerzeel et al, 2010)。在气候变暖背景下, 高原湖泊系统经历了显著水文调整, 截至2014年, 青藏高原的面积大于 1 km² 的高山湖泊数量已经增加到1400多个(Zhang et al, 2019), 平均水位上升了约4 m, 面积扩张到5万平方公里(张国庆等, 2022)。作为高原水循环的关键枢纽, 其中封闭湖泊通过“降水-蒸发-径流”系统维持动态平衡, 其水量波动已成为表征区域气候变化的灵敏指示器(Biskop et al, 2016Zhang et al, 2014Zhu et al, 2020Song et al, 2019Yao et al, 2015)。
湖泊水量变化主要表现为水位和面积的动态演变, 主要受湖面降水(P)、 入湖径流( R S)和湖面蒸发(E)影响(王欣语和高冰, 2021)。其中, P是湖泊年际水位变化的主要驱动力(Zhang et al, 2020Liu et al, 2021Ma et al, 2022), R s通常被认为是湖泊水量增加的主要贡献来源(Zhou et al, 2013Zheng et al, 2023), E是湖泊水量损失的关键因素(Zhao et al, 2022Wang et al, 2020Li et al, 2020), 例如, 青海湖水位变化的70%由入湖径流主导, 且1956 -2020年间水位演变呈现先降后升的阶段性特征(王梦晓和文莉娟, 2024)。在青藏高原, 湖泊水量变化并非由单一气候要素控制, 而是由气候变化所引起的水热组合条件共同作用的结果(Liu et al, 2021Lei et al, 2014丁永建等, 2006朱立平等, 2020)。具体而言, 降水变化是湖泊水量波动的直接驱动因素(Wu et al, 2014Zhang et al, 2020黄卫东等, 2012), 湖泊水位上升的区域主要分布在降水量增加的地区, 降水量变化决定了地表径流补给型湖泊的水量变化(Biskop et al, 2016); 而气温对湖泊水位的影响则更为复杂: 一方面, 气温升高促进冰雪融化, 增加 R s, 推动湖泊水位上升(Zhu et al, 2020朱立平等, 2010); 另一方面, 气温升高也会加剧E, 如果E增加超过P R s, 湖泊水位可能下降(Wang et al, 2017Tan et al, 2017Meng et al, 2019)。近年来青藏高原气候逐渐由暖干向暖湿化转变, 气温升高和降水增加逐渐成为高原湖泊面积扩张的重要驱动因素(Yan and Zheng, 2015Liao et al, 2013), 在变暖的气候背景下, 青海湖作为高原典型封闭湖泊, 其结冰期长度以1.02 d·a⁻¹的速率显著缩短, 冰厚变化与向下长波辐射和气温呈显著负相关(唐鸿等, 2024)。此外, 青藏高原湖泊水量变化的空间特征与西风和印度季风区降水变化趋势一致, 这种变化协同促进了湖泊水文特征的复杂性(Lei et al, 2017朱立平等, 2019), 气候要素的协同作用在甘肃省湖泊演变中同样显著, 如尕海面积变化主要受蒸发和温度驱动, 而青土湖扩张则与降水增加密切相关(程玉菲等, 2023)。
尽管已有研究揭示了青藏高原湖泊水量变化的总体趋势, 但由于高原地区湖泊观测资料匮乏, 湖泊水量年内动态变化特征以及水量平衡要素贡献率尚不明晰。本文以青藏高原封闭内流区的巴木错为研究对象, 基于2021 -2023年季风期(6 -9月)的观测数据, 系统分析其水量平衡特征及气候驱动因子的贡献。首先, 利用观测数据计算 R s, 并通过水量平衡方程估算E, 揭示P R s和E的时间变化规律; 其次, 量化不同年份和月份水位变化与P R s和E的具体贡献; 最后, 探究气温、 相对湿度和辐射等气象要素对水位变化的驱动机制。本研究旨在为理解青藏高原湖泊对气候变化的响应提供科学依据, 并为区域水资源管理提供理论支撑。

2 研究区域、 数据和方法

2.1 研究区域

巴木错(31.25°N, 90.58°E)位于西藏那曲市班戈县境内, 地处羌塘高原腹地, 是青藏高原中部典型的封闭内流盐湖系统(图1)。湖泊呈南北向延伸, 湖泊面积为242.05 km², 流域面积达4839.2 km²(王苏民等, 1998), 湖体平均海拔4566 m, 最大长度24.0 km, 平均宽度7.95 km。流域内无冰川分布(巴桑赤烈等, 2012), 水文系统由9条季节性河流构成, 其中白桑曲为主要补给河流。巴木错属于青藏高原亚寒带季风气候, 年均降水量为300~400 mm, 86%的降水集中在夏季(6 -9月), 年均气温为1.2 °C, 结冰期主要集中在每年12月至次年4月。该地区的气候特征和环境特征导致湖泊水位的变化对降水和蒸发的非常敏感, 这种特性使其成为研究青藏高原气候变化与湖泊动态关系的理想研究对象。
图1 巴木错流域水系分布及周围观测点的地理位置分布

Fig.1 Distribution of the hydrological network and surrounding observation points in the Bam Co Basin

2.2 研究数据

2.2.1 野外观测数据

本研究使用的观测数据来自于湖泊水位观测、 降雨观测、 河流流量观测、 涡动观测, 不同观测点设置的观测仪器如表1所示, 湖泊水位观测使用自动水位计(HOBO-U20)测量, 自动水位计可以观测到湖泊水位的微小变化(1 mm)。在巴木错不同方位放置了四个HOBO-U20自记水位计观测逐时的水位过程, 获取逐半小时/日平均湖泊水位; 降水观测由自记翻斗式雨量筒(HOBO RG3-M)观测, 可以记录每次降水过程, 获取逐半小时累计降水。雨量筒放置位置与水位计相近, 利用不同位置雨量筒同期数据的平均值代表湖面降水量, 进一步保证观测降水结果的代表性和可靠性; 河流流量观测采用雷达流量计和人工测流两种方式, 雷达流量计(300W-QX系列)可以利用雷达波以非接触方式同步测量断面水位和水体表面流速, 结合断面数据计算出动态过水面积, 根据测量的表面流速和过水面积计算出瞬时流量; 人工测流使用LCY-001型便携式流速仪, 主要于每年夏季7 -8月在各湖最大补给河流入湖口水文断面观测水深、 流速各12~15次。河流横截面的几何形状(近似为梯形), 通过水位数据和流速观测, 可以估算该横截面内的水流量(即瞬时流量), 用以矫正雷达流量计的观测数据。涡动观测表征湖气交换的感热和潜热通量, 具体包括一个三维超声风速仪CSAT3和一个开路红外气体分析仪LI7500, 使用CR3000进行现场和远程数据采集, 使用EddyPro对10 Hz原始高频数据进行处理。数据处理过程中包括野点剔除、 坐标旋转校正、 频谱分析校正和WPL校正等, 最后输出30 min平均感热和潜热通量结果。
表1 巴木错观测点观测内容及所用仪器

Table 1 Observation contents and instruments used in Bamu Co

观测点 观测要素 仪器型号 制造商 数据时段 分辨率 单位
1 自动水位计 HOBO-U20 Onset HOBO
自记翻斗式雨量筒 HOBO RG3-M Onset HOBO 2022 -2023年 30 min mm
2 自动水位计 HOBO-U20 Onset HOBO 2022 -2023年 30 min cm
自记翻斗式雨量筒 HOBO RG3-M Onset HOBO 2021年 30 min mm
涡动观测 CSAT3 Campbell 2021年 30 min
3 自动水位计 HOBO-U20 Onset HOBO 2023年 30 min cm
自记翻斗式雨量筒 HOBO RG3-M Onset HOBO
4 自动水位计 HOBO-U20 Onset HOBO 2022年 30 min cm
自记翻斗式雨量筒 HOBO RG3-M Onset HOBO 2021年、 2023年 30 min mm
人工测流 LCY-001型便携式流速仪 重庆华正 2021年8月16日、 2022年7月19日、 2023年7月20 -23日、 2023年10月26日 2 h m·s-1
雷达流量计 300W-QX 系列 西安鹰格 2021 -2023年 30 min m3·s-1

2.2.2 气象要素数据

由于巴木错缺乏直接气象要素观测数据, 本研究选取纳木错站与班戈站(邻近巴木错的两个气象站)2021 -2023年10 min分辨率观测数据作为巴木错流域气象要素数据集, 对于缺失数据利用线性插值方法进行插补, 主要包含四类核心气象要素: 2 m气温、 2 m相对湿度、 向下长波辐射及向下短波辐射。通过与第三极地区高分辨率地面气象要素驱动数据集(TPMFD, 1979 -2022年)的相关性分析, 发现两者在10 m风速、 2 m气温及辐射分量等关键参数上具有显著一致性(附录含对比分析以及相关统计分析结果), 证实该站点组合数据对巴木错区域的表征有效性。

2.2.3 第三极地区高分辨率地面气象要素驱动数据集(TPMFD

TPMFD数据集基于WRF模型模拟与机器学习方法, 对ERA5再分析资料进行降尺度(空间分辨率1/30°)并融合站点观测生成, 为第三极地区提供较高精度、 较高分辨率的气象信息(Zhou et al, 2021Yang et al, 2023)。由于该数据集尚未更新至2023年, 故本研究所用气象要素数据采用上述站点融合方案获取。

2.3 研究方法

2.3.1 水量平衡方程

水量平衡法, 即根据降水、 径流、 区域蓄水量变化等资料估算总蒸发量。对于任一自然水体, 在某一时间段内, 其蓄水量变化是补给与消耗共同作用的结果。水量平衡法测定蒸发的面积范围可大到一个中小流域, 只要明确计算区域边界范围内外的水分交换量和取得足够精确的水量平衡各分量的测定值, 就可以得到比较可信的时段总蒸发值。据水量平衡可建立如下水量变化与各变量之间的关系:
Δ H = P + R s - E
式中: Δ H > 0表示水量增加, 反之表示水位下降; P为湖面降水量; R s为湖泊主要径流的入湖补给量; E为湖面蒸发量, 均为每月累积数据, 为了方便计算, 所有变量的单位均换算为mm。2021年湖面蒸发量的计算值与涡动相关观测值差异可控(MAE=16.66, RMSE=20.8), 趋势一致(均逐月下降, 降幅50%~57%), 且差异在数据量级中占比10%~20%(如6月差异仅2.2%), 可证明计算得到湖面蒸发量的可用性。
将2021年5月末的水位作为参考点, 设定其为0 mm, 从2021年6月起, 采用逐月累积变化量的方法计算每个月的相对水位, 即: 参考月后的每个月水位通过累积其与上一个月水位的变化量来确定。

2.3.2 入湖径流量计算方法

入湖径流主要通过对主要河流流量观测数据的计算, 河流流量观测采用雷达流量计和人工测流两种方式, 300W-QX系列雷达明渠流量计基于多普勒频移原理工作: 水流与仪器相对运动引发雷达波频率偏移(与流速成正比), 结合雷达水位测量与断面数据计算过水面积, 通过连续性方程Q=V×A求得瞬时流量(V=表面流速 v×转换系数KA为过水面积), 由于雷达流速仪设置位置不变, 瞬时流量取决于表面流速和水位测量(即水深 h)。
为了修正不同观测年份数据的系统性偏差用2023年调整仪器后的水深数据进行修正, 其次利用人工测量数据水深对第一次修正的水深进行二次调整, 确保水深数据的可靠性, 并基于表面流速和修正后的水深建立水深-瞬时流速-瞬时流量拟合关系, 最终恢复准确的瞬时流量数据。
首先用2023年雷达流量计水深数据修正2021 - 2022年水深:
h x c o r 1 = h x - h x ¯ - h 2023 ¯
式中 : h x c o r 1 x年第一次修正后的水深; h x x年初始水深; h x ¯ x年水深平均值; h 2023 ¯为2023年水深平均值。
其次用 x年人工测流水深数据修正 x年水深:
h x c o r 2 = h x c o r 1 - h x c o r 1 ¯ - h x m a n u a l ¯
式中: h x c o r 2 x年第二次修正后的水深; h x c o r 1 x年第一次修正后的水深; h x c o r 1 ¯ x年第一次修正后的水深; h x m a n u a l ¯ x年人工测流水深的平均值。2023年数据修正时, h x c o r 1 ¯ h 2023 ¯ h x c o r 1 h 2023
利用2023年雷达流量计数据建立水深-瞬时流速-瞬时流量拟合关系, 关系如下:
F = a · h · v
式中: F为瞬时流量; h为水深; v为表面流速; a为拟合参数。
使用最佳拟合模型, 将修正后的水深数据代入模型, 并用二分法调整模型参数, 直到预测出的流量的均值与给定的目标均值相匹配, 得到2021年和2022年的瞬时流量:
F x = a ' · h x c o r 2 · v x + b '
式中: F x为最终 x年的瞬时流量; h x c o r 2 x年第二次修正后的水深; v x年的瞬时流速; a ' b '为调整之后的拟合参数。
F x乘以数据时间分辨率30 min, 即30 min内的平均流量, 仅对一条主要河流的径流量进行测量, 并且经过野外实地勘测巴木错总入湖径流量近似为其4倍。

2.3.3 水量平衡因子贡献量化法

为了分析水量平衡因子对湖泊水位变化的影响, 并定量评估每个因子在水量平衡中的贡献, 本研究采用了水量平衡因子贡献归一化的方法。贡献率计算公式如下:
C o n X = X H
式中: C o n X表示 X因子(P R sE)的贡献率; X X因子选定年份或月份的总量; H是选定年份或月份水位变化的总量。
考虑到不同水量因子对水位变化的贡献方向存在正负不同情况, 将每个因子的贡献率进行归一化处理。归一化后的贡献率表示每个因子对水位变化的相对贡献, 公式如下:
C o n X n o r m a l i z e d = C o n X j = 1 n | C o n j |
式中: C o n X n o r m a l i z e d表示归一化之后 X因子(P R sE)的贡献率; C o n X表示 X因子的原始贡献率; n是水量因子总数。

3 结果分析

3.1 水量收支变化特征

3.1.1 湖面降水的时序特征

2021-2023年巴木错P在6 -9月表现出显著的年际差异(图2)。2021年P水量较为均匀且充足, 各月份P均保持稳定状态, 9月达到最高值88 mm, 为湖泊水量平衡提供了稳定水量补给。2022年P锐减至三年最低值, 6月仅为14.6 mm, 这种降水不足可能会对湖泊水位平衡产生负面影响。2023年P较2022年增加, 但波动较大, 虽然7月和8月降水量较高, 分别为97.8 mm和74.8 mm, 但6月降水量较低, 可能导致湖泊水位的不稳定。
图2 2021 -2023年6 -9月巴木错湖面降水P的月变化

Fig.2 Monthly variation of precipitation P in Bamu Co from June to September during 2021 -2023

3.1.2 入湖径流的动态特征

图3表明, 2021年 R s快速增加, R s持续处于较大且增加, 提供了较大的水量补给。2022年 R s整体较低, 且极低值出现在8月, 表明这一年夏秋季湖泊的径流补给会受到限制。2023年 R s较为稳定, 6 -9月的 R s稳步增加。
图3 2021 -2023年6 -9月巴木错入湖径流 R s的月变化

Fig.3 Monthly variation of runoff R s in Bamu Co from June to September during 2021 -2023

3.1.3 湖面蒸发的变化特征

2021 -2023年E呈现出明显的季节性波动和年际变化(图4)。2021年P充足, E较高, 尤其在6月和9月, 表现出较大的季节性波动, 9月E达到最高值309.35 mm。2022年E最大值出现在夏季7月, 且秋季9月蒸发相对较弱。2023年E整体与2022年接近, 但夏季6 -8月波动较小, 峰值再次出现在秋季9月。2021年和2023年的峰值均出现在秋季9月, 而2022年峰值出现在夏季, 表明不同年份间的蒸发峰值出现时段存在差异。
图4 2021 -2023年6 -9月巴木错湖面蒸发E的月变化

Fig.4 Monthly variation of evaporation E in Bamu Co from June to September during 2021 -2023

3.1.4 水位变化的时序差异

2021 -2023年巴木错的H呈现出显著的年际差异, 受P R sE等水文因素的影响。2021年, 6月和7月H分别下降了27 mm和12 mm, 但在8月和9月H大幅回升, 分别上升了177 mm和93 mm, 尤其是在9月, P R s的增加对 H的补充发挥了重要作用, 即使在湖面蒸发较高的条件下, 湖泊水位仍显著上升, 表明充足的输入抵消E的影响。2022年, H整体呈下降趋势, 变化幅度较小, 6月H稍微上升44 mm, 但7月和8月H分别下降了82 mm和47 mm, 9月略微回升10 mm, 反映出P R s的匮乏, 尤其是6月和9月的P较少, 导致EH的影响更加显著, H未能有效恢复。2023年虽然E波动较大, 但由于P R s的增加, H呈现出较强的回升趋势, 尤其在7月和8月H分别上升了123.5 mm和128 mm, 9月H继续上升, 显示出P R sH的直接影响。
图5 2021 -2023年6 -9月巴木错湖泊水位H(b)和水位差值∆H(a)的月变化

Fig.5 Monthly variation of lake water level H (b) and water level change ∆H (a) in Bamu Co from June to September during 2021 -2023

3.2 水量平衡要素对水位变化的贡献

巴木错水位变化由P R sE的水量收支动态平衡驱动。其中P R s为正向输入项, E为负向输出项。巴木错湖泊∆H的月贡献率[图6(a)]和年贡献率[图6(b)]存在显著的月际分异和年际波动特征, 且 R sE的贡献强度普遍高于P, 体现了二者在湖泊水量平衡中的主导作用。
图6 水量平衡要素对水位差值ΔH的贡献

(a)6 -9月P R SE对ΔH的贡献率; (b)2021 -2023年P R SE对ΔH的年贡献率

Fig.6 Contribution of water balance components to ∆H.(a) Contribution rates of P R s and E to ∆H from June to September; (b) Contribution rates of P R s and E to ∆H during 2021 -2023

月际尺度上[图6(a)], 6 -9月水量平衡要素贡献率差异明显: P的贡献率在6月为16.4%, 随后7 -8月增加至20%~22%, 9月随雨季结束降至15.3%; R s贡献率呈现“V”型变化, 6月(38.2%)、 7月(30.7%)处于年内低值, 8月贡献跃升至43.6%, 9月仍维持41.2%的高贡献水平; E贡献率则与 R s波动方向相反, 6月达到峰值45.4%后逐月递减至8月谷值34.5%, 9月因E增强回升至43.5%。这种相位相反的动态特征表明, 当夏季 R s增加时, E对水位的抑制作用被部分抵消, 而秋季 R s减少与E增强的叠加效应则加剧了湖泊水量的消耗。
年际变化方面[图6(b)], 水文要素的贡献呈现显著差异: 2021年表现为典型的输入主导型(P: 18.8%, 而 R s: 38.2%, E: 42.9%), 正平衡驱动ΔH上升; 2022年则突变为蒸发主导型(E: 54.8%), 其贡献率首超50%导致ΔH转为负值; 至2023年, R s贡献率回升至43.6%并协同P(20.4%)共同作用, 使E贡献率降至36%, 系统恢复为正平衡状态。这种年际转型揭示出E在干旱年份对水位下降的放大效应, 和 R s在降水相对较充沛年份的关键补给作用。

3.3 气象要素对巴木错水位变化的影响

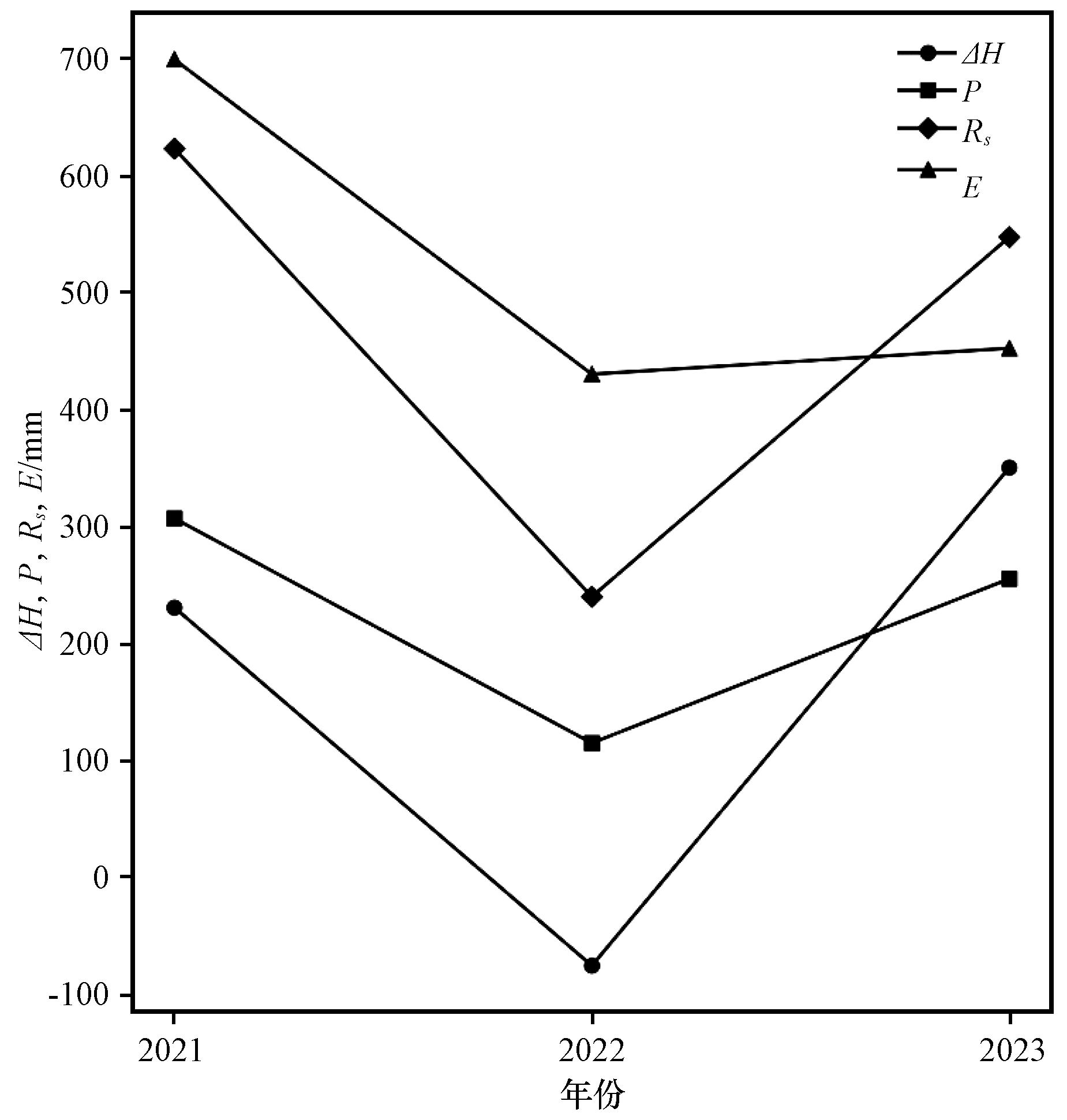
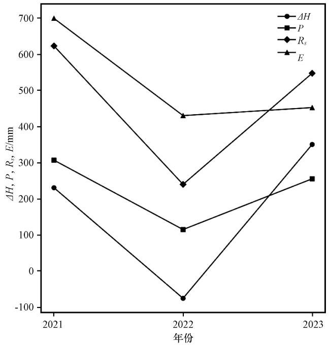
巴木错∆HP R sE直接决定, 气象要素通过调控PE的动态平衡间接影响ΔH方向。巴木错不同年份水文和气象要素(气温Ta、 向下辐射R、 相对湿度RH)呈现显著的年际分异特征(图8和图9)。
图7 巴木错湖泊∆H和水量平衡要素的年际变化

Fig.7 Interannual variation of water level change (∆H) and water balance components (P R sE) in Bamu Co

图8 巴木错流域向下辐射R、 气温Ta和相对湿度RH的年际变化

Fig.8 Interannual Variation of Downward Radiation R, Air Temperature Ta, and Relative Humidity RH in Bamu Co Basin

2021年, 相对中等气温、 高湿度和中等辐射条件下, 尽管E相对较高且E/P比值处于相对中等程度, 但是充足的P R s支持水位形成ΔH=+231 mm的正平衡。2022年, 气象条件显著变化(表2): Ta升高0.88 K、 RH降低6.5%、 R增强2.3%, 导致E/P比值增至3.74; 且叠加P R s的锐减, 即使E的绝对值减小, 仍引发∆H的负向波动(-75 mm)。2023年, 气象条件改善(Ta微降0.52 K、 RH回升5.5%、 R减弱1.5%), E/P比值降至1.77, 配合 R s增加至478.60 mm, 总输入量显著超过输出量, 驱动∆H的正向变化(+350.6 mm)。总之, 气象要素对水位变化的影响通过调节PE动态平衡来实现, 通过调节水热条件改变两者的相互作用强度, 控制∆H变化方向。
表2 巴木错 E/P 比值和流域气象要素的年际变化

Table 2 Interannual variability of the E/P ratio and basin meteorological elements in Bamu Co

年份 H/mm E/P 气象要素变化
2021 +231 2.28 Ta: 中等; RH: 高; R: 中等
2022 -75 3.74 Ta: +0.88 K; RH: -6.5%; R: +2.3%
2023 +350.6 1.77 Ta: -0.52 K; RH: +5.5%; R: -1.5%

4 讨论

青藏高原湖泊占全国湖泊总面积的57.6%, 其动态变化直接关系长江、 黄河等大江大河的源区稳定性(Zhang et al, 2020)。针对巴木错水量收支研究表明, 该湖泊水量收支变化具有典型的年内和年际变化特征, 其研究成果可为评估高原水资源承载力、 预测极端水文事件(如洪涝或干旱)提供科学依据, 服务于国家生态安全战略。
研究揭示巴木错水量变化主要受气温和降水驱动, 在季风期呈现季节性扩张特征。与西风区降水主导的湖泊扩张模式不同, 为理解不同气候区湖泊响应气候变化的差异性提供了关键案例。例如, 气温升高通过加速冻土融化和增加冰川融水(尽管巴木错无冰川, 但周边冻土区融水可能通过径流补给湖泊)与降水协同作用, 共同促进湖泊扩张。此外, 高原湖泊变化对下游南亚、 东南亚国家的水资源安全具有跨境影响。例如, 季风期水量激增可能加剧跨境河流的洪涝风险, 而萎缩趋势则威胁干旱区供水。
在生态经济层面, 高原牧区生计高度依赖湖泊生态系统。巴木错流域的冻土融化与水位波动可能影响草场生产力, 进而威胁畜牧业发展, 针对巴木错水量变化的研究成果可为生态补偿机制设计、 脆弱区产业转型提供决策参考。此外, 巴木错水量变化研究不仅是区域水文学的理论突破, 更是国家生态文明建设与全球气候治理的重要抓手。其成果将直接服务于高原生态安全评估、 跨境水资源谈判、 气候变化适应规划等国家重大需求。未来需进一步融合遥感监测、 模型模拟与实地观测, 构建高原湖泊动态预警系统, 以科技支撑“绿水青山”向“金山银山”的转化。

5 结论

本研究基于气象、 水文资料研究了2021 -2023年季风期巴木错水量收支的变化特征, 定量计算了湖面降水、 入湖径流、 湖面蒸发, 并解释了巴木错水量收支和水位变化的原因, 得到以下主要结论:
(1) 巴木错水位年际变化与降水及径流输入量正相关(输入多则水位升, 少则降), 蒸发量波动扩大水位升降幅度(高蒸发加剧下降或抑制上升)。
(2) 巴木错水位变化呈现径流与蒸发主导的调控机制, 其中夏季入湖径流的关键补给作用与湖面蒸发在干旱年份的放大效应共同决定了系统的年际平衡状态转换。
(3) 巴木错水位变化由气象要素通过协同调控降水与蒸发的动态平衡实现, 水热条件变化通过改变二者相互作用强度影响水位变化方向。

感谢韩熠哲、 胡伟、 何佳男等所有在青藏高原巴木错等湖泊野外工作参与者的辛勤付出。

Biskop S Maussion F Krause P, et al, 2016.Differences in the water-balance components of four lakes in the southern-central Tibetan Plateau[J].Hydrology and Earth System Sciences20(1): 209-225.DOI: 10.5194/hess-20-209-2016 .

Immerzeel W W Van Beek L P H Bierkens M F P2010.Climate change will affect the Asian Water Towers[J].Science328(5984): 1382-1385.DOI: 10.1126/science.1183188 .

Lei Y B Yang K Wang B, et al, 2014.Response of inland lake dynamics over the Tibetan Plateau to climate change[J].Climatic Change125(2): 281-290.DOI: 10.1007/s10584-014-1175-3 .

Lei Y Yao T Yang K, et al, 2017.Lake seasonality across the Tibetan Plateau and their varying relationship with regional mass changes and local hydrology[J].Geophysical Research Letters44(2): 892-900.DOI: 10.1002/2016GL072062 .

Li D Yang K Tang W J, et al, 2020.Characterizing precipitation in high altitudes of the western Tibetan plateau with a focus on major glacier areas[J].International Journal of Climatology, 40: 5114-5127.DOI: 10.1002/joc.6509 .

Liao J J Shen G Z Li Y K2013.Lake variations in response to climate change in the Tibetan Plateau in the past 40 years[J].International Journal of Digital Earth6(6): 534-549.DOI: 10. 1080/17538947.2012.656290 .

Liu W H Xie C W Zhao L, et al, 2021.Rapid expansion of lakes in the endorheic basin on the Qinghai-Tibet Plateau since 2000 and its potential drivers[J].Catena, 197: 104942.DOI: 10.1016/j.catena.2020.104942 .

Ma W Y Bai L Ma W Q, et al, 2022.Interannual and monthly variability of typical inland lakes on the Tibetan Plateau located in three different climatic zones[J].Remote Sensing14(19): 5015.DOI: 10.3390/rs14195015 .

Meng F C Su F G Li Y, et al, 2019.Changes in terrestrial water storage during 2003-2014 and possible causes in Tibetan Plateau[J].Journal of Geophysical Research: Atmospheres124(6): 2909-2931.DOI: 10.1029/2018JD029552

Song C Q Sheng Y W Zhan S A, et al, 2019.Impact of amplified evaporation due to lake expansion on the water budget across the inner Tibetan Plateau[J].International Journal of Climatology, 40: 2091-2105.DOI: 10.1002/joc.6320 .

Tan C Ma M G Kuang H H2017.Spatial-temporal characteristics and climatic responses of water level fluctuations of global major lakes from 2002 to 2010[J].Remote Sensing10(2): 174.DOI: 10.3390/rs10020174 .

Wang B B Ma Y M Su Z B, et al, 2020.Quantifying the evaporation amounts of 75 high-elevation large dimictic lakes on the Tibetan Plateau[J].Science Advances6(26): 8558.DOI: 10. 1126/sciadv.aay8558 .

Wang B B Ma Y M Wang Y, et al, 2017.Significant differences exist in lake-atmosphere interactions and the evaporation rates of high-elevation small and large lakes[J].Hydrological Processes31(12): 2145-2157.DOI: 10.1016/j.jhydrol.2019.03.066 .

Wu H B Wang N L Jiang X, et al, 2014.Variations in water level and glacier mass balance in Nam Co lake, Nyainqentanglha range, Tibetan Plateau[J].Annals of Glaciology55(66): 239-247.DOI: 10.3189/2014AoG66A100

Yan L J Zheng M P2015.Influence of climate change on saline lakes of the Tibet Plateau, 1973-2010[J].Geomorphology, 246: 68-78.DOI: 10.1016/j.geomorph.2015.06.006 .

Yang K Jiang Y Tang W, et al, 2023.A high-resolution near-surface meteorological forcing dataset for the Third Pole region (TPMFD1979-2022)[DB].National Tibetan Plateau / Third Pole Environment Data Center.DOI: 10.11888/Atmos.tpdc.300398 .

Yao T D Wu F Y Ding L, et al, 2015.Multispherical interactions and their effects on the Tibetan Plateau's earth system: a review of the recent researches[J].National Science Review2(4): 468-488.DOI: 10.1093/nsr/nwv070 .

Zhang G Q Yao T D Chen W F, et al, 2019.Regional differences of lake evolution across China during 1960s-2015 and its natural and anthropogenic causes[J].Remote Sensing of Environment, 221: 386-404.DOI: 10.1016/j.rse.2018.11.038 .

Zhang G Q Yao T D Xie H J, et al, 2014.Lakes’ state and abundance across the Tibetan Plateau[J].Chinese Science Bulletin, 59: 3010-3021.DOI: 10.1007/s11434-014-0258-x .

Zhang G Q Yao T D Xie H J, et al, 2020.Response of Tibetan Plateau lakes to climate change: trends, patterns, and mechanisms[J].Earth-Science Reviews, 208: 103269.DOI: 10.1016/j.earscirev.2020.103269

Zhao G Li Y Zhou L M, et al, 2022.Evaporative water loss of 1.42 million global lakes[J].Nature Communications13(1): 3686.DOI: 10.1038/s41467-022-31125-6 .

Zheng J Y Wen L J Wang M X, et al, 2023.Study on characteristics of water level variations and water balance of the largest lake in the Qinghai-Tibet Plateau[J].Water15(20): 3614.DOI: 10.3390/w15203614 .

Zhou S Q Kang S C Chen F, et al, 2013.Water balance observations reveal significant subsurface water seepage from Lake Nam Co, south-central Tibetan Plateau[J].Journal of Hydrology, 491: 89-99.DOI: 10.1016/j.jhydrol.2013.03.030 .

Zhou X Yang K Ouyang L, et al, 2021.Added value of kilometer-scale modeling over the Third Pole region: a CORDEX-CPTP pilot study[J].Climate Dynamics57(7): 1673-1687.DOI: 10. 1007/s00382-021-05653-8 .

Zhou Y S Hu J Li Z W, et al, 2019.Quantifying glacier mass change and its contribution to lake growths in central Kunlun during 2000-2015 from multi-source remote sensing data[J].Journal of Hydrology, 570: 38-50.DOI: 10.1016/j.jHydrol.2019. 01.007 .

Zhu L P Qiao B J Yang R M, et al, 2020.The role of lakes in water cycling on the Tibetan Plateau under warming climate[J].EGU General Assembly Conference Abstracts, 6832.

巴桑赤烈, 刘景时, 牛竟飞, 等, 2012.西藏中部巴木错湖泊面积变化及其原因分析[J].自然资源学报27(2): 302-310.DOI: 10.11849/zrzyxb.2012.02.013.Bhasang T

Liu J S Niu J F, et al, 2012.Area variation and its causes of Bamu Co Lake in the Central Tibet[J].Journal of Natural Resources27(2): 302-310.DOI: 10.11849/zrzyxb.2012.02.013 .

程玉菲, 王军德, 鱼腾飞, 等, 2023.近30 年甘肃省主要湖泊面积变化及其影响因素分析[J].高原气象42(1): 150-162.DOI: 10.7522/ j.issn.1000-0534.2022.00014.Chen Y F

Wang J D Yu T F, et al, 2023.Analysis of lakes area change and their influencing factors in Gansu Province in recent 30 years[J].Plateau Meteorology42(1): 150-162.DOI: 10.7522/ j.issn.1000-0534.2022.00014 .

丁永建, 刘时银, 叶柏生, 等, 2006.近50 a中国寒区与旱区湖泊变化的气候因素分析[J].冰川冻土28(5): 623-632.DOI: 10.3969/j.issn.1000-0240.2006.05.001.Ding Y J

Liu S Y Ye B S, et al, 2006.Climatic implications on variations of lakes in the cold and arid regions of China during the recent 50 years[J].Journal of Glaciology and Geocryology28(5): 623-632.DOI: 10.3969/j.issn.1000-0240.2006.05.001 .

黄卫东, 廖静娟, 沈国状, 2012.近40年西藏那曲南部湖泊变化及其成因探讨[J].国土资源遥感,(3): 122-128.DOI: 10.6046/gtzyyg.2012.03.22.Huang WD

Liao J J Shen G Z2012.Lake change in past 40 years in the Southern Nagqu District of Tibet and analysis of its driving forces[J].Remote Sensing for Land and Resources,(3): 122-128.DOI: 10.6046/gtzyyg.2012.03.22 .

唐鸿, 赵仪欣, 牛瑞佳, 等, 2024.基于分析模型的青海湖近 40 年湖冰演变特征研究[J].高原气象43(5): 1152-1162.DOI: 10.7522/j.issn.1000-0534.2024.00015.Tang H

Zhao Y X Niu R J, et al, 2024.A study on the evolution characteristics of Qinghai Lake Ice in recent 40 years based on an analytical mode[J].Plateau Meteorology43(5): 1152-1162.DOI: 0.7522/j.issn.1000-0534.2024.00015 .

王梦晓, 文莉娟, 2024.青海湖水位演变及其影响因子分析[J].高原气象43(3): 561-569.DOI: 10.7522/j.issn.1000-0534.2023.00092.Wang M X

Wen L J2024.Study on water level evolution of Qinghai Lake and its influencing factors[J].Plateau Meteorology43(3): 561-569.DOI: 10.7522/j.issn.1000-0534.2023.00092 .

王苏民, 窦鸿身, 陈克造, 等, 1998.中国湖泊志[M].北京: 科学出版社, 398-399.

Wang S M Dou H S Chen K Z, et al, 1998.China Lakes Record[M].Beijing: Science Press Ltd, 398-399.

王欣语, 高冰, 2021.青海湖水量平衡变化及其对湖水位的影响研究[J].水力发电学报40(10): 60-70.DOI: 10.11660/slfdxb.20211006.Wang X Y

Gao B2021.Study on the change of wa‐ ter balance and its influence on lake level in Qinghai Lake[J].Journal of Hydroelectric Engineering40(10): 60-70.DOI: 10.11660/slfdxb.20211006 .

张国庆, 王蒙蒙, 周陶, 等, 2022.青藏高原湖泊面积、 水位与水量变化遥感监测研究进展[J].遥感学报26 (1): 115-125.DOI: 1007-4619(2022)01-0115-11.Zhang G Q

Wang M M Zhou T, et al, 2022.Progress in remote sensing monitoring of lake area, water level, and volume changes on the Tibetan Plateau[J].National Remote Sensing Bulletin26 (1): 115-125.DOI: 1007-4619(2022)01-0115-11 .

朱立平, 彭萍, 张国庆, 等, 2020.全球变化下青藏高原湖泊在地表水循环中的作用[J].湖泊科学32(3): 597-608.DOI: 10.18307/2020.0301.Zhu L P

Peng P Zhang G Q, et al, 2020.The role of Tibetan Plateau lakes in surface water cycle under global changes[J].Journal of Lake Sciences32(3): 597-608.DOI: 10.18307/2020.0301 .

朱立平, 谢曼平, 吴艳红, 2010.西藏纳木错1971~2004年湖泊面积变化及其原因的定量分析[J].科学通报55(18): 1789-1798.DOI: 10.1007/s11434-010-0015-8.Zhu L P

Xie M P Wu Y H2010.Quantitative analysis of lake area variations and the influence factors from 1971 to 2004 in the Nam Co Basin of the Tibetan Plateau[J].Chinese Science Bulletin55(18): 1789-1798.DOI: 10.1007/s11434-010-0015-8 .

朱立平, 张国庆, 杨瑞敏, 等, 2019.青藏高原最近40年湖泊变化的主要表现与发展趋势[J].中国科学院院刊34(11): 1254-1263.DOI: 10.16418/j.issn.1000-3045.2019.11.008.Zhu L P

Zhang G Q Yang R M, et al, 2019.Lake variations on Tibetan Plateau of recent 40 years and future changing tendency[J].Bulletin of Chinese Academy of Sciences34 (11): 1254-1263.DOI: 10.16418/j.issn.1000-3045.2019.11.008 .

文章导航

/