高分辨率HighResMIP模式对青藏高原东坡暖季降水的模拟评估

  • 杨周 , 1 ,
  • 杨显玉 , 1, 2 ,
  • 吕雅琼 3, 4 ,
  • 孟宪红 2 ,
  • 文军 1
展开
  • 1. 成都信息工程大学大气科学学院,高原大气与环境四川省重点实验室,四川 成都 610225
  • 2. 中国科学院西北生态环境资源研究院,中国科学院寒旱区陆面过程与气候变化重点实验室,甘肃 兰州 730000
  • 3. 中国科学院成都山地灾害与环境研究所,四川 成都 610041
  • 4. 高原与盆地暴雨旱涝灾害四川省重点实验室,四川 成都 610041
杨显玉(1982 -), 男, 内蒙古赤峰人, 副教授, 主要从事陆面过程与大气环境方面研究. E-mail:

杨 周 (2001 -), 男, 重庆垫江人, 本科生, 主要从事大气环境方面研究. E-mail:

收稿日期: 2024-06-20

  修回日期: 2024-11-26

  网络出版日期: 2025-06-16

基金资助

国家自然科学基金项目(42475101)

中国科学院“西部之光-西部交叉团队”—“寒旱区陆面过程与气候变化研究”(xbzg-zdsys-202215)

甘肃省科技领军人才(24RCKB009)

高原与盆地暴雨旱涝灾害四川省重点实验室开放研究基金项目(SZKT202303)

Evaluation of the HighResMIP Model Simulations for Warm Season Precipitation on the Eastern Slope of the Qinghai-Xizang Plateau

  • Zhou YANG , 1 ,
  • Xianyu YANG , 1, 2 ,
  • Yaqiong LÜ 3, 4 ,
  • Xianhong MENG 2 ,
  • Jun WEN 1
Expand
  • 1. Plateau Atmosphere and Environment Key Laboratory of Sichuan Province,School of Atmospheric Sciences,Chengdu University of Information Technology,Chengdu 610225,Sichuan,China
  • 2. Key Laboratory of Land Surface Process and Climate Change in Cold and Arid Regions,Northwest Institute of Eco-Environment and Resources,Chinese Academy of Sciences,Lanzhou 730000,Gansu,China
  • 3. Institute of Mountain Hazards and Environment,Chinese Academy of Sciences,Chengdu 610041,Sichuan,China
  • 4. Heavy Rain and Drought-Flood Disasters in Plateau and Basin Key Laboratory of Sichuan Province,Chengdu 610041,Sichuan,China

Received date: 2024-06-20

  Revised date: 2024-11-26

  Online published: 2025-06-16

Copyright

© Editorial Department of Plateau Meteorology (CC BY-NC-ND)

摘要

为了评估高分辨率模式间比较计划(HighResMIP)中的模式对青藏高原东坡暖季降水的模拟能力, 本文选取了其中16个具有不同分辨率的模式, 并结合CN05.1数据集, 对青藏高原东坡暖季(5 -9月)降水进行了全面评估。通过对比分析多个模式的输出结果与实际观测数据之间的差异, 揭示了各模式在捕捉降水时空变化特征、 降水强度以及与地形相关的降水机制等方面的优势和不足。研究发现, 高分辨率气候模式在模拟青藏高原东坡全年及暖季降水空间分布方面表现出较高的准确性, 但不同模式之间的模拟结果存在显著差异。部分模式(CMCC-CM2-HR4、 CMCC-CM2-VHR4、 FGOAL-f3-H)的年平均降水呈增长趋势, 与观测结果一致, 而其余模式则表现出稳定或减少趋势。此外, 模式在降水频率和强度的模拟上仍存在明显不足。对比高分辨率组和中低分辨率组, 所有模式均系统性低估弱降水事件(<1 mm∙d-1), 同时高估强降水事件(>4 mm∙d-1)发生频率。中低分辨率组模拟的青藏高原东坡降相位模拟相较观测结果存在约30天的系统性偏差。相比之下, 高分辨率组在降水频率的模拟表现优于中低分辨率组。综合降水的时间分布、 频率及模式评分, ECWMF模式的模拟效果较好, 而FGOAL-f3-H模式存在显著的负偏差。

本文引用格式

杨周 , 杨显玉 , 吕雅琼 , 孟宪红 , 文军 . 高分辨率HighResMIP模式对青藏高原东坡暖季降水的模拟评估[J]. 高原气象, 2025 , 44(4) : 877 -891 . DOI: 10.7522/j.issn.1000-0534.2024.00112

Abstract

This study evaluates the simulation capabilities of 16 models with varying resolutions from the High-Resolution Model Intercomparison Project (HighResMIP) in reproducing warm-season (May to September) precipitation over the eastern slope of the Qinghai-Xizang Plateau, using the CN05.1 dataset as observational reference.Through comparative analysis of outputs from multiple models against observational data, this study elucidates model strengths and limitations in capturing spatiotemporal variability, precipitation intensity, and terrain-related mechanisms.Results indicate that high-resolution climate models demonstrate reasonable accuracy in simulating annual and warm-season precipitation spatial patterns, though notable inter-model discrepancies persist.Three models (CMCC-CM2-HR4, CMCC-CM2-VHR4, FGOAL-f3-H) successfully replicate the observed increasing trend in annual precipitation, while others exhibit stable or decreasing trends.Persistent model deficiencies emerge in simulating precipitation frequency and intensity: all models systematically underestimate light precipitation events (<1 mm∙d-1) while overestimating heavy precipitation frequency (>4 mm∙d-1).Medium-to-low-resolution models show a systematic phase lag of approximately 30 days in diurnal precipitation cycles compared to observations.In contrast, the high-resolution models performed better in simulating precipitation frequency than the medium low resolution group.Based on comprehensive evaluation of temporal distribution, frequency characteristics, and model skill scores, the ECWMF model demonstrates superior performance, whereas the FGOAL-f3-H model exhibits significant negative biases.

1 引言

青藏高原平均海拔在4000 m以上, 有“地球第三极”之称(Qiu, 2008), 是世界上海拔最高、 地形最复杂的高原, 具有独特的地理和气候特征。青藏冬季处于西风带, 夏季处于东、 西风带交界处(Yao et al, 2012Yang et al, 2014)。青藏高原作为“热力泵”(吴国雄等, 2018), 夏季为相对热源, 冬季为相对冷源, 其独特的热力和动力强迫机制为全球大气环流提供了驱动力, 深刻影响着区域乃至全球的气候变化。青藏高原孕育了众多亚洲河流水系, 这些河流是下游地区重要的水资源来源。徐祥德等(20142019)分析了青藏高原的大气水分循环特征, 提出了青藏高原水循环体系的概念。高原丰富的水资源主要依赖于降水, 降水在维持生态系统平衡和物种繁衍方面至关重要, 也是自然界循环和生命活动的重要驱动力。
由于青藏高原极端的地理环境和复杂的气候系统, 准确地模拟和预测其降水状况一直是气候学研究领域的一个重大挑战。尽管全球气候模式能够再现全球和半球尺度的平均降水气候态特征, 但由于全球模式分辨率较低, 通常难以准确再现区域尺度的降水特征, 特别是在南北美洲西部、 非洲南部以及青藏高原等复杂地形区域, 气候模式通常表现出较大的湿偏差(黄子立等, 2021Cui et al, 2021)。此外, 模式模拟结果依赖于参数化方案的选取, 不同的参数化方案对模拟结果影响较大(陈颖等, 2023)。
Yu et al(2000)在早期使用CCM3模式模拟我国夏季降水时, 发现了青藏高原东坡虚假的降水中心。Xu et al(2010)评估了第三次国际耦合模式比较计划(CMIP3)的18个模式对青藏高原降水的模拟, 结果存在显著的湿偏差。随后, 胡芩等(2014)评估了国际耦合模式比较计划第五阶段(CMIP5)中的44个全球气候模式, 结果表明CMIP5模式虽然可以很好地再现高原降水自西北向东南逐渐增加的分布特征, 但依然存在降水高估的问题。随着CMIP发展到第六阶段, 青藏高原降水模拟中的湿偏差依旧存在(陈炜等, 2021陈荣等, 2023李博渊和胡芩, 2024)。CMIP6首次提供了高分辨率模式间比较计划(HighResMIP)模式数据, 相较于以往的全球气候模式的低分辨率, 此计划模式在一定程度上提升了气温和降水的模拟能力(Li et al, 2022肖雨佳等, 2022)。这一改进使青藏高原降水的西北至东南递增的模态得以更好地再现(Chen et al, 2022), 并且显著较少青藏高原上降水的湿偏差, 为评估和改进高分辨率气候模式在复杂地形区域的模拟能力提供了新的契机。有研究发现, CMIP6模式对青藏高原模拟的是偏差是源于对降水频率的低估与降水强度的高估(张歆然和陈昊明, 2022)。然而, 目前针对青藏高原暖季(5 -9月)降水, 特别是东坡地区的研究相对有限。同时, 准确模拟复杂地形区的降水状况仍是气候系统模式模拟方面亟待解决的问题。
在此背景下, 本研究评估HighResMIP模式对青藏高原东坡暖季降水的模拟能力, 通过多模式输出与观测数据的对比, 揭示模式在捕捉降水时空变化特征、 降水强度分布以及与地形相关的降水机制等方面的优势和不足。本研究进一步探讨了青藏高原东坡降水频率的分布, 并评估了高分辨率模式对该地区极端降水的模拟能力。

2 资料来源与方法介绍

2.1 区域概况

图1所示, 研究区域(99°E -107°E, 29°N - 36°N)位于青藏高原东坡, 包含青藏高原东部和四川盆地西部部分地区及其交界处, 地形高程数据来源于GEBCO(GEBCO Compilation Group 2023 Grid doi: 10.5285/f98b053b-0cbc-6c23-e053-6c86abc0af7b.), 青藏高原2500 m等高线来源于国家青藏高原科学数据中心, 青藏高原边界数据总集(数据网址: https: //doi.org/10.11888/Geogra.tpdc.270099.)。高原区平均海拔高于4000 m, 而四川盆地部分海拔低于500 m, 海拔落差大。由于青藏高原东坡独特的地形, 是评估气候模式在复杂地形下模拟能力的主要研究区域之一。
图1 青藏高原东坡范围和地形高度图

红色框区域为青藏高原东坡(下同), 黑色等值线区域为青藏高原2500 m等高线

Fig.1 Terrain and elevation of the eastern slope of the Qinghai-Xizang Plateau.The red box area represents the eastern slope of the Qinghai-Xizang Plateau (the same as after), while the black contour line indicates the 2500-meter elevation contour of the Qinghai-Xizang Plateau

2.2 观测和模式数据

CN05.1格点观测数据基于中国2416个气象站观测数据, 使用距平逼近法对气候场和距平场分别进行插值后叠加得到(吴佳和高学杰, 2013)。数据集中包含气温、 降水、 湿度、 风速和表面蒸发等变量, 水平分辨率为0.25°×0.25°(Wu et al, 2017), 已广泛用于气候变化和模式评估研究。本研究使用了1995 -2014年的月平均降水数据。
HighResMIP模式试验包含三个层级, 分别为第一层级历史强迫的大气模式比较计划, 时段为1950 -2014年; 第二层级为百年耦合试验, 时段为1950 -2050年; 第三层级是对第一层级的延伸, 时间为2015 -2050年(周天军等, 2019王磊等, 2019)。本文选取了HighResMIP中第一层级历史强迫试验中来自多个国家和地区的16个模式, 模式的基本信息如表1所示, 时间范围为1995 -2014年共20年, 水平分辨率在288×192~1600×800之间。
表1 16HighResMIP模式的基本信息

Table 1 Basic information of 16 CMIP6 HighResMIP models

单位(所属国家/地区) 模式名称 分辨率(格点数)
BCC(中国) CSM2-HR 800×400
CMCC(意大利) CMCC-CM2-HR4 288×192
CMCC(意大利) CMCC-CM2-VHR4 1152×768
ECMWF(欧洲中心) ECMWF-IFS-HR 1600 ×800
ECMWF(欧洲中心) ECMWF-IFS-LR 800×400
ECMWF(欧洲中心) ECMWF-IFS-MR 800×400
CAS(中国) FGOAL-f3-H 1440×720
GFDL(美国) GFDL-CM4C192 720×360
MOHC(英国) HadGEM3-GC31-HH 1024×768
MOHC(英国) HadGEM3-GC31-HM 1024×768
MOHC(英国) HadGEM3-GC31-LL 192×144
MOHC(英国) HadGEM3-GC31-MM 432×324
HiRAM(中国台湾) HiRAM-SIT-HR 1536×768
HiRAM(中国台湾) HiRAM-SIT-LR 768×384
INM(俄罗斯) INM-CM5-H 540×360
MPI(德国) MPI-ESM1-2-HR 384×192

2.3 研究方法

泰勒图由Taylor(2001)提出, 可以在二维空间上展示三个统计指标: 相关系数、 中心均方根误差和标准差, 以直观反映模拟与观测之间的匹配程度。泰勒图在本质上是巧妙的将模式的三个评价指标整合在一张极坐标图上, 三者存在余弦关系, 即:
E ' 2 = σ f 2 + σ r 2 - 2 σ f σ r R
式中: E为观测和模式模拟的均方根误差; σ为标准差; R为观测和模式模拟的相关系数。
在气候模拟分析和评估以及相关的科学研究中, 经常需要比较和评估不同的模式的模拟结果。然而, 由于各种模式在设计和运行时采用不同的分辨率, 导致直接比较时产生的困难。为了解决这一问题, 研究者们采用了一系列的技术手段, 其中插值方法就是一种非常有效的解决方案。在本研究中为了比较HighResMIP中各模式的模拟效果, 插值方法采取双线性插值, 将各模式分辨率统一在0.5°×0.5°的网格中。
模式技巧评分作为一种综合评估模式模拟效果的方法, 在气候模拟和评估领域得到了广泛的应用。Chen et al(2013)参考以往的模式评分公式(Taylor, 2001Hirota et al, 2011), 并给出评分公式如下:
S = ( 1 + R ) 2 ( S D R + 1 S D R ) 2
式中: R为模式和观测的相关系数; SDR为模式模拟结果的标准差与观测数据标准差之间的比值。SDR用于衡量模式模拟结果的离散程度与观测数据的离散程度之间的相对关系。模式技巧评分正是基于这两个指标的综合考虑。本文采用模式技巧评分来评估各模式在模拟降水的性能, 旨在更直观地了解模式的模拟能力(赵丹等, 2022)。
对于降水频率的计算, 本文将降水量从0 mm到最大降水量以0.5 mm为间隔划分降水量区间, 分别统计各范围内的降水量数量并除以样本个数得到频率的百分比。公式如下:
F ( P ) = 1 n i = 1 n g ( P , P + k ) ( P i )
式中: g(p, p+k)(x)为判断函数, 若x落在[PP+K]函数值为1, 否则为0。

3 结果与分析

3.1 青藏高原东坡降水时间变化特征

图2是1995 -2014年青藏高原东坡观测数据的月平均降水变化。从图2中可以看出, 青藏高原东坡降水具有显著季节性变化特征, 7月盛夏时为降水峰值, 月平均降水量超过4 mm∙d-1。暖季降水量持续高于2 mm∙d-1, 而其他月份均低于2 mm∙d-1。因此, 研究暖季降水能够更好地评估HighResMIP模式在较大降水情境下的模拟性能。
图2 1995 -2014年观测数据CN05.1月平均降水量

灰色虚线为2 mm∙d-1降水量

Fig.2 The monthly mean precipitation from CN05.1 observations for 1995 -2014.The gray dashed line represents the 2 mm∙d-1 precipitation contour

图3显示了青藏高原东坡区域单模式、 观测数据以及等权多模式集合平均(MME)在1995 -2014年间的年平均降水变化及趋势。观测数据[图3(q)]表明, 暖季平均降水在1995 -2014年间有增加的趋势, 尤其在2011 -2013年年平均降水量由3.9 mm∙d-1增加至超过5 mm∙d-1; 1997 -1998年, 平均降水量从约3.3 mm∙d-1增加至4.5 mm∙d-1。全年平均降水变化趋势与暖季基本一致。总体而言, 1995 -2014年降水总量呈现增长趋势。许建伟等(2020)指出, 水汽输送是降水增长的重要原因之一。从降水组成来看, 暖季降水占年总降水的79.12%, 表明暖季在全年降水中的重要性。模式在青藏高原东坡的降水模拟年平均变化如图3(a)~(p)所示。CMCC-CM2-VHR4、 FGOAL-f3-H两个模式表现出明显的增长趋势, 多数模式呈现减少或稳定的趋势。特别是INM-CM5-H模式, 虽然模拟表现出明显的减少趋势, 但其初期表现出异常高值(暖季平均降水量大于8 mm∙d-1), 后期逐渐接近观测的降水量。MME如图3(r)所示, 表现更加平滑, 因为它降低了各个模式的偏差和不确定性, 提供了一个更加稳定的降水变化模拟, 未显示出显著的增长或减少趋势。MME暖季降水贡献率(70.78%)较观测值低8.34%。
图3 1995 -2014年 HighResMIP模式(a~p)、 观测数据CN05.1(q)以及多模式集合平均(r)年平均降水量序列

Fig.3 Annual average precipitation time series for 1995 -2014 for HighResMIP models(a~p), CN05.1 observations(q), and the multi-model ensemble mean(r)

综上所述, 1995 -2014年, 青藏高原东坡区域观测年平均降水量呈现上升趋势, 且暖季降水占全年降水的绝大部分。不同模式对该区域的降水模拟存在差异, 其中不仅有表现出增长趋势的模式, 还有稳定或减少的模式。MME提供了一个更加稳定的降水趋势, 但在暖季降水量的全年占比数值与观测数据存在偏差。

3.2 模式平均降水空间分布和偏差

根据CMIP6 HighResMIP中的16个模式绘制了单模式、 多模式等权集合平均(MME)以及观测的暖季降水多年平均分布(图4)。在塔克拉玛干沙漠附近, 降水量小于0.1 mm∙d-1, 而青藏高原南坡为降水大值区, 部分模式(如HadGEM3-GC31)的极端最大值甚至超过50 mm∙d-1, BCC-CSM2-HR模式显示最低值(17 mm∙d-1)。相比之下, 青藏高原东坡的降水量相对较少, 各模式的降水量在8~15 mm∙d-1, 个别模式如ECMWF-IFS-LR和FGOAL-f3-H平均降水量约为6 mm∙d-1。从空间分布而言, 暖季降水呈现出自东南向西北递减的模态。因此相较于单模式结果, MME有效收敛极端值分布, 可以更好地再现东坡的降水分布特征。多年平均空间分布(图5)与暖季平均降水分布相似, 但全年平均的降水量显著小于暖季的降水量。喜马拉雅山脉南部是模式降水的大值区域, 各模式间最大值差异较大, 部分模式的最大值超过14 mm∙d-1, 另一些模式最大值则低于10 mm∙d-1。在东坡区域, 模式年平均降水最大值约为8 mm∙d-1。全年平均降水的空间分布与暖季基本一致, 均表现出自东南向西北递减的模态, 这与孙婵(2022)的研究结果一致。模式模拟的青藏高原东坡降水量呈现明显的空间差异, 呈现出东南向西北递减的模态, 且与观测相比, 各模式可以很好地再现青藏高原东坡的降水空间分布, MME最接近观测值。
图4 HighResMIP模式(a)~(p)、 观测数据(q)以及多模式集合平均(r)1995 -2014年暖季平均降水分布(单位: mm·d-1

Fig.4 The warm-season monthly mean precipitation distribution from HighResMIP models (a)~(p), observational data (q), and the multi-model ensemble mean (r) over 1995 -2014.Unit: mm·d-1

图5 HighResMIP模式(a)~(p)、 观测数据(q)以及多模式集合平均(r)1995 -2014年年平均降水量分布

Fig.5 The annual mean precipitation distribution from HighResMIP models (a~p), observational data (q), and the multi-model ensemble mean (r) over 1995 -2014

图6是青藏高原东坡暖季降水偏差分布, 揭示了不同气候模式在暖季模拟的降水量与实际观测数据之间的差异, 直观反映不同模式对降水模拟的性能。多数模式对青藏高原东坡降水的模拟偏大, 尤其是在高原和盆地的交界处, 而在盆地内降水模拟的结果偏小。FGOAL-f3-H模式在研究区域呈显著的负偏差, 而ECMWF-IFS-HR、 ECMWF-IFS-MR和ECMWF-IFS-LR三个模式的偏差最小, 模拟效果最佳。BCC-CSM2-HR 、 CMCC-CM2-HR4、 CMCC-CM2-VHR4和INM-CM5-H模式的正偏差最为明显, INM-CM5-H模式的正偏差最为显著, 其高原-盆地过渡带的偏差值尤为突出。大部分模式模拟的暖季降水相较于观测存在正偏差, ECWMF(以下简称EC)中的三个模式依然表现较好, 而CMCC的两个模式在降水的最大值上表现出较大的正偏差。年平均降水偏差(图7)与暖季降水偏差分布模态较为一致, 但年平均降水正偏差幅度相对较小, 这可能与暖季(夏季)降水量占全年降水主导地位有关。
图6 1995 -2014年青藏高原东坡暖季平均降水的HighResMIP模式(a~p)以及多模式集合平均(q)相较于观测偏差(单位: mm·d-1

Fig.6 Warm-season mean precipitation biases relative to observations during 1995 -2014 over the eastern slope of the Qinghai-Xizang Plateau from HighResMIP models (a~p) and multi-model ensemble mean (q).Unit: mm·d-1

图7 1995 -2014年青藏高原东坡年平均降水的HighResMIP模式(a~p)以及多模式集合平均(q)相较于观测偏差(单位: mm·d-1

Fig.7 Annual mean precipitation biases relative to observations during 1995 -2014 over the eastern slope of the Qinghai-Xizang Plateau from HighResMIP models (a~p) and multi-model ensemble mean (q).Unit: mm·d-1

青藏高原东坡显著的垂直梯度特征使得研究降水与地形的空间关系具有重要科学价值。本文通过对区域经向平均降水数据进行分析, 得到了青藏高原东坡的降水剖面图(图8)。观测降水在海拔约2500 m处出现极大值, 而低于2500 m的高原边缘带则为降水相对低值区。暖季观测降水量空间分布格局与年尺度基本吻合, 但降水强度增强。无论是全年还是暖季平均, 模式所模拟的降水剖面分布与观测有较大差距, 尤其是在高原与盆地的过渡带(102°E -104°E的范围内), 大多数模式模拟的降水偏大, 且正偏差显著。FGOAL-f3-H是唯一呈现系统性低估的模式, 其年/暖季模拟值均低于观测, 该结论与其空间分布中的负偏差一致。CMCC-CM2-HR4模式无论在全年还是暖季的降水剖面中, 均在102°E -104°E范围内正偏差最大, 且暖季偏差更显著。HadGEM3-GC31-MM模式的降水高值偏向盆地, 位于103°E -105°E内。MME降雨量存在显著高估, 高原与盆地的过渡带为降水高值区。暖季MME最接近观测, 但仍然存在正偏差, 这可能与地形抬升效应引发的虚假降水有关。
图8 1995 -2014年青藏高原东坡年平均降水(a)和暖季降水(b)经向平均剖面图(单位: mm·d-1

灰色实线为区域的经向平均海拔

Fig.8 Meridional mean profiles of annual mean precipitation (a) and warm season precipitation (b)over the eastern slope of the Qinghai-Xizang Plateau for 1995 -2014.The gray solid line represents the zonal average elevation of the region.Unit: mm·d-1

3.3 不同分辨率降水时间变化和频率分析

为了探究分辨率对模式模拟性能的影响, 本文将所选的16个模式按800×400的格点分辨率为界, 划分为中低分辨率组和高分辨率组, 两组分别使用等权重平均法构建中低分辨率集合平均(MME-LR)和高分辨率集合平均(MME-HR)。
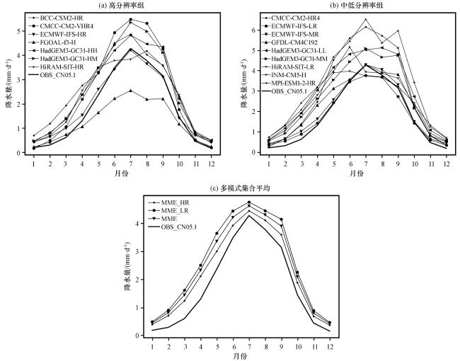
图9为各组内单模式和集合平均的月平均降水变化图。从图9中可以看出, 各组模式的降水量变化均表现出全年降水量的季节性变化特征。两组模式对降水的模拟均呈现系统性高估, 部分模式如CMCC-CM2-HR4和HadGEM3-GC31-MM在某些月份显著高于其他模式, FGOAL-f3-H仍为唯一的降水低估模式。尽管各模式之间的降水量模拟存在差异, 但与观测呈现一致的季节变化特征, 表明这些模式在一定程度上能够捕捉到降水量的变化。相较于低分辨率组, 高分辨率组的降水变化与观测更为接近, 最高值达到5.5 mm∙d-1, 而中低分辨率组的部分模式在6月和8月达到最大值, 最大值为6.5 mm∙d-1, 与观测的相关度不如高分辨率组。MME-LR与MME-HR有一致的变化, 但MME-LR的平均偏差大于MME-HR, 且MME-HR的结果最接近观测。这源于高分辨率模式中存在的补偿效应: 多数模式高估降水与FGOAL-f3-H模式的持续低估形成偏差抵消。
图9 青藏高原东坡月平均降水量高分辨率组(a), 中低分辨率组(b)以及多模式集合平均(c)

Fig.9 Monthly average precipitation over the eastern slope of the Qinghai-Xizang Plateau: (a) high-resolution group, (b) medium to low-resolution group, and (c) mutli-model ensemble mean

近年来, 极端降水事件的频发对社会和生态环境造成巨大危害(李双行等, 2024)。图10是高分辨率组、 中低分辨率组和各组集合平均在东坡不同强度降水发生频率的分布。观测数据显示, 青藏高原东坡小雨的频率较高, 强度小于1 mm∙d-1的小雨频率超过30%。随着降水强度增加, 频率逐渐减小, 但在3~4 mm∙d-1的降水强度下有一个小的峰值, 而超过10 mm∙d-1的降水几乎不存在。
图10 青藏高原东坡各降水强度发生频率

(a)高分辨率组, (b)中低分辨率组, (c)多模式集合平均

Fig.10 Precipitation intensity occurrence frequency over the eastern slope of the Qinghai-Xizang Plateau.(a) high-resolution group, (b) medium to low-resolution group, (c) multi-model ensemble mean

高分辨率组在强度小于1 mm∙d-1的弱降水模拟上与观测差距较大, 呈现较明显的低估。而对于强度大于4 mm∙d-1的降水频率, 几乎所有模式均呈现系统性高估。而强度在1~4 mm∙d-1范围内的降水, 尽管模式间模拟差异较大, 但大多数模式能够较好地再现观测数据中的频率中心, 但在强度位置上存在一定偏差。在高分辨率组中, FGOAL-f3-H的模拟结果显示, 强度小于3 mm∙d-1的降水频率高于观测, 而强度大于3 mm∙d-1的降水频率显著低于观测, 表明该模式对青藏高原东坡降水模拟的负偏差主要来源于对较强降水模拟欠佳。中低分辨率组中的降水频率分布和高分辨率组大致相同, 但强降水的频率明显高于高分辨率组。这可能是由于低分辨率模式受限于地形平滑效应, 难以解析局地环流与地形强迫的耦合过程, 高分辨率模式更精细的地形表征能力有助于约束中小尺度动力过程。

3.4 模式的泰勒图分析和模式评分

图11展示了基于HighResMIP中16个模式与CN05.1观测数据的泰勒图。由图11(a)可以看出, 各模式在青藏高原东坡的降水分布的模拟差异较大。多数模式的相关系数分布在0.3~0.9, HiRAM-SIT-LR模式的相关系数最低, 约为0.1, 未能通过α=0.05显著性检验。EC的三个模式相关系数接近, 约为0.85, 且无论在相关系数、 均方根误差还是标准差都最接近观测数值, 表现出最佳的模拟效果。HadGEM3系列模式虽然在均方根误差和相关系数相对较接近观测数值, 但是标准差与观测差距较大。大部分模式的标准差低于观测, 表明在模拟青藏高原东坡降水空间模态方面表现不佳。
图11 青藏高原东坡 HighResMIP各模式和CN05.1观测数据年平均(a)和暖季降水(b)空间分布泰勒图

*表示相关系数通过了95%显著性检验

Fig.11 Taylor diagrams for the spatial distribution of precipitation over the eastern slope of the Qinghai-Xizang Plateau comparing HighResMIP models with CN05.1 observations for annual mean(a) and warm season precipitation(b).An asterisk (*) indicates that the correlation coefficient has passed the 95% significance test

在暖季降水泰勒图中[图11(b)], 模式间差异大于年平均降水。相关系数仍在0.3~0.9范围内, HiRAM-SIT-LR模式的相关系数虽然最小, 但相较于年平均有所提升。ECMWF-IFS-HR模式是所有模式中表现最佳, 但其相关系数略小于年平均降水。大部分模式的标准差仍然小于观测, FGOAL-f3-H的标准差最大, 约为观测的1.26倍。
为了定量地评估模式的模拟效果, 本文使用模式评分方法计算了各模式及分组集合平均的模式评分(图12)。结果显示, 各模式的年平均评分均高于暖季平均, 这可能是因为模式在模拟暖季降水频率时存在高估, 且降水峰值的出现时间相对于观测存在偏差, 未能准确与观测的7月峰值相一致。总体而言, EC中心的三个模式是所有模式中表现最好的, 全年评分最高可达0.79, 暖季评分可达0.54。FGOAL-f3-H模式的全年评分最低, 这也与前文结果相一致。其余模式在全年的评分在0.56~0.7之间, 而暖季的评分在0.3~0.45之间。各模式和各分组的集合平均的评分则超过了所有单模式, 并且高分辨率组的集合平均评分略高于中低分辨率组的集合平均评分。
图12 青藏高原东坡参与比较的单模式和多模式平均的降水评分

Fig.12 Precipitation skill scores for individual models and the multi-model ensemble mean over the eastern slope of the Qinghai-Xizang Plateau

4 结论

本研究基于高分辨率模式间比较计划HighResMIP中的16个气候模式与CN05.1观测数据, 深入评估了这些模式对青藏高原东坡暖季降水的模拟能力。研究结果如下:
(1) 尽管高分辨率气候模式能够较好地再现青藏高原东坡年平均及暖季降水的空间分布, 但在极端降水事件、 降水频率和强度的模拟仍存在不足。
(2) HighResMIP模式总体上能够较好地再现青藏高原东坡年平均和暖季平均降水的梯度分布特征, 但是模式间存在较显著的差异, 单个模式基本存在高估或低估。观测数据显示, 1995-2014年间青藏高原东坡区域的年平均降水量呈现上升趋势, 但这一趋势未在所有模式中得到一致的反映。
(3)模式在青藏高原东坡降水模拟中普遍存在正偏差, 尤其是在高原与盆地的过渡带。但也有个别模式如FGOAL-f3-H表现出明显的负偏差。无论高分辨率模式组还是中低分辨率模式组在模拟不同降水强度的频率分布时, 对于弱降水事件的频率存在低估, 而对于强降水事件频率则普遍高估, 这可能与模式对地形影响的模拟能力不足有关。
(4) 泰勒图分析结果显示, ECMWF模式在降水空间分布的模拟中表现最佳。此外, 模式评分结果表明, ECMWF的三个模式评分最高, FGOAL-f3-H模式评分最低, 符合其降水低估的模拟表现。所有模式的集合平均评分均高于单模式评分, 其中高分辨率组的集合平均评分略高于中低分辨率组。

感谢国家青藏高原科学数据中心(https: //data.tpdc.ac.cn/zh-hans/data/61701a2b-31e5-41bf-b0a3-607c2a9bd3b3)提供的高原边界数据。感谢国家重大科技基础设施项目“地球系统数值模拟装置” 提供支持。

Chen L Yu Y Q, Sun, et al, 2013.Cloud and water vapor feedbacks to the El Nino warming: are they still biased in CMIP5 models?[J].Journal of Climate26(14): 4947-4961.DOI: 10.1175/JCLI-D-12-00575.1 .

Chen Q L Ge F Jin Z G2022.How well do the CMIP6 HighResMIP models simulate precipitation over the Tibetan Plateau[J].Atmospheric Research, 279.DOI: 10.1016/j.atmosres.2022. 106393 .

Cui T Li C Tian F Q2021.Evaluation of temperature and precipitation simulations in CMIP6 models over the Tibetan Plateau[J].Earth and Space Science8(7).DOI: 10.1029/2020EA001620 .

Hirota N Takayabu Y N Watanabe M, et al, 2011.Precipitation reproducibility over Tropical Oceans and its relationship to the Double ITCZ Problem in CMIP3 and MIROC5 climate models[J].Climate, 24, 4859-4873, DOI: https: //doi.org/10.1175/2011JCLI4156.1 .

Li L L Li J Yu R C2022.Evaluation of CMIP6 HighResMIP models in simulating precipitation over Central Asia[J].Advances in Climate Change Research13(1): 1-13.DOI: 10.1016/j.accre.2021.09.009 .

Qiu J2008.The third pole[J].Nature454(7203): 393-396.DOI: 10.1038/454393a .

Taylor K E2001.Summarizing multiple aspects of model performance in a single diagram[J].Journal of Geophysical Research-atmospheres106(D7): 7183-7192.DOI: 10.1029/2000JD900719 .

Wu J Gao X J Giorgi F, et al, 2017.Changes of effective temperature and cold/hot days in late decades over China based on a high resolution gridded observation dataset[J].International Journal of Climatology37(S1), 788-800.DOI: 10.1002/joc.5038 .

Xu Y Gao X Giorgi F2010.Upgrades to the reliability ensemble averaging method for producing probabilistic climate-change projections[J].Climate Research41(1): 61-81.DOI: 10.3354/cr00835 .

Yang K Wu H Qin J, et al, 2014.Recent climate changes over the Tibetan Plateau and their impacts on energy and water cycle: a review[J].Global and Planetary Change, 112: 79-91.DOI: 10. 1016/j.gloplacha.2013.12.001 .

Yao T Thompson L Yang W, et al, 2012.Different glacier status with atmospheric circulations in Tibetan Plateau and surroundings[J].Nature Climate Change, 2: 663-667.DOI: 10.1038/NCLIMATE1580 .

Yu R Li W Zhang X H, et al, 2000.Climate features related to Eastern China summer rainfall in the NCAR CCM3 [J].Advances in Atmospheric Sciences, 17: 503-518.DOI: 10.1007/s00376-000-0014-9 .

陈荣, 段克勤, 尚溦, 等, 2023.基于CMIP6模式数据的1961-2099年青藏高原降水变化特征分析[J].高原气象42(2): 294-304.DOI: 10.7522/j.issn.1000-0534.2021.00084.Rong C

Duan K Q Shang W, et al, 2023.Characteristics of precipitation change over the Qinghai-Xizang Plateau from 1961 to 2099 based on CMIP6 Models[J].Plateau Meteorology42(2): 294-304.DOI: 10.7522/j.issn.1000-0534.2021.00084 .

陈炜, 姜大膀, 王晓欣, 2021.CMIP6模式对青藏高原气候的模拟能力评估与预估研究[J].高原气象40(6): 1455-1469.DOI: 10.7522/j.issn.1000-0534.2021.zk003.Chen W

Jiang D B Wang X X2021.Evaluation and projection of CMIP6 models for climate over the Qinghai-Xizang (Tibetan) Plateau[J].Plateau Meteorology40(6): 1455-1469.DOI: 10.7522/j.issn.1000-0534.2021.zk003 .

陈颖, 杨显玉, 吕雅琼, 等, 2023.对流解析与对流参数化方案模拟青藏高原夏季降水对比研究[J].高原气象42(6): 1429-1443.DOI: 10.7522/j.issn.1000-0534.2023.00016.Chen Y

Yang X Y Y Q, et al, 2023.Comparative analysis of convection permitting model and cumulus parameterization for simulation of summer precipitation over Qinghai-Xizang (Tibetan) Plateau[J].Plateau Meteorology42(6): 1429-1443.DOI: 10.7522/j.issn.1000-0534.2023.00016 .

胡芩, 姜大膀, 范广洲, 2014.CMIP5全球气候模式对青藏高原地区气候模拟能力评估[J].大气科学38(5): 924-938.DOI: 10.3878/j.issn.1006-9895.2013.13197.Hu Q

Jiang D B Fan G Z2014.Evaluation of CMIP5 models over the Qinghai-Tibetan Plateau[J].Chinese Journal of Atmospheric Sciences38(5): 924-938.DOI: 10.3878/j.issn.1006-9895.2013.13197 .

黄子立, 吴小飞, 毛江玉, 2021.CMIP6模式水平分辨率对模拟我国西南地区夏季极端降水的影响评估[J].高原气象40(6): 1470-1483.DOI: 10.7522/j.issn.1000-0534.2021.zk010.Huang Z L

Wu X F Mao J Y2021.An evaluation for impacts of the horizontal resolution of CMIP6 models on simulating extreme summer rainfall over Southwest China[J].Plateau Meteorology40(6): 1470-1483.DOI: 10.7522/j.issn.1000-0534.2021.zk010 .

李博渊, 胡芩, 2024.基于CMIP6模式评估结果对未来青藏高原降水多情景预估[J].高原气象43(1): 59-72.DOI: 10.7522/j.issn.1000-0534.2023.00029.Li B Y

Hu Q2024.Multi-scenario projection of future precipitation over the Qinghai-Xizang (Tibetan) Plateau based on CMIP6 model assessment results[J].Plateau Meteorology43(1): 59-72.DOI: 10.7522/j.issn.1000-0534.2023.00029 .

李双行, 王慧, 李栋梁, 等, 2024.青藏高原中东部暖季极端降水的区域特征及其典型环流[J].高原气象43(6): 1364-1379.DOI: 10.7522/j.issn.1000-0534.2024.00030.Li S X

Wang H Li D L, et al, 2024.Regional characteristics and typical circulation of extreme precipitation in the warm season over the central and Eastern Qinghai-Xizang Plateau[J].Plateau Meteorology43(6): 1364-1379.DOI: 10.7522/j.issn.1000-0534.2024.00030 .

孙婵, 2022.气候变化背景下青藏高原降水时空变化及其影响[D].南京: 南京信息工程大学.DOI: 10.27248/d.cnki.gnjqc. 2022.000007.Sun C, 2022.Under the background of climate change, the spatial and temporal changes in precipitation on the Qinghai-Tibet Plateau and their impacts[D].NanJing: Nanjing University of Information Science and Technology.DOI: 10. 27248/d.cnki.gnjqc.2022.000007 .

王磊, 包庆, 何 编, 2019.CMIP6高分辨率模式比较计划(HighResMIP)概况与评述[J].气候变化研究进展15(5): 498-502.DOI: 10.12006/j.issn.1673-1719.2019.077.Wang L

Bao Q He B2019.Short commentary on CMIP6 High Resolution Model Intercomparison Project (HighResMIP)[J].Climate Change Research15(5): 498-502.DOI: 10.12006/j.issn.1673-1719.2019.077 .

吴国雄, 刘屹岷, 何编, 等, 2018.青藏高原感热气泵影响亚洲夏季风的机制[J].大气科学42(3): 488-504.DOI: 10.3878/j.issn.1006-9895.1801.17279.Wu G X

Liu Y M He B, et al, 2018.Review of the impact of the Tibetan Plateau sensible heat driven air-pump on the Asian Summer Monsoon[J].Chinese Journal of Atmospheric Sciences42(3): 488-504.DOI: 10.3878/j.issn.1006-9895.1801.17279 .

吴佳, 高学杰, 2013.一套格点化的中国区域逐日观测资料及与其它资料的对比[J].地球物理学报56(4): 1102-1111.DOI: 10.6038/cjg20130406.Wu J

Gao X J2013.A gridded daily observation dataset over China region and comparison with the other datasets[J].Chinese Journal of Geophysics56(4): 1102-1111, DOI: 10.6038/cjg20130406 .

肖雨佳, 李建, 李妮娜, 2022.CMIP6 HighResMIP高分辨率气候模式对青藏高原降水模拟的评估[J].暴雨灾害41(2): 215-223.DOI: 10.3969/j.issn.1004-9045.2022.02.012.Xiao Y J

Li J Li N N2022.Evaluation of CMIP6 HighResMIP models in simulating precipitation over Tibetan Plateau[J].Torrential Rain and Disasters41(2): 215-223.DOI: 10.3969/j.issn.1004-9045.2022.02.012 .

徐祥德, 董李丽, 赵阳, 等, 2019.青藏高原“亚洲水塔”效应和大气水分循环特征[J].科学通报64(27): 2830-2841.DOI: 10.1360/TB-2019-0203.Xu X D

Dong L L Zhao Y, et al, 2019.Effect of the Asian Water Tower over the Qinghai-Tibet Plateau and the characteristics of atmospheric water circulation[J].Chinese Science Bulletin64(27): 2830-2841.DOI: 10.1360/TB-2019-0203 .

徐祥德, 赵天良, Lu C G, 等, 2014.青藏高原大气水分循环特征[J].气象学报72(6): 1079-1095.DOI: 10.11676/qxxb2014.091.Xu X D

Zhao T L Lu C G, et al, 2014.Characteristics of the water cycle in the atmosphere over the Tibetan Plateau[J].Acta Meteorologica Sinica72(6): 1079-1095.DOI: 10.11676/qxxb2014.091 .

许建伟, 高艳红, 彭保发, 等, 2020.1979-2016年青藏高原降水的变化特征及成因分析[J].高原气象39(2): 234-244.DOI: 10.7522/j.issn.1000-0534.2019.00029.Xu J W

Gao Y H Peng B F, et al, 2020.Change characteristics of precipitation and its cause during 1979-2016 over the Qinghai-Tibetan Plateau[J].Plateau Meteorology39(2): 234-244.DOI: 10.7522/j.issn.1000-0534.2019.00029 .

张歆然, 陈昊明, 2022.CMIP6模式对青藏高原东坡暖季降水的模拟评估[J].气候变化研究进展18(2): 129-141.DOI: 10.12006/j.issn.1673-1719.2021.059.Zhang X R

Chen H M2022.Assessment of warm season precipitation in the eastern slope of the Tibetan Plateau by CMIP6 models[J].Climate Change Research18(2): 129-141.DOI: 10.12006/j.issn.1673-1719.2021.059 .

赵丹, 张丽霞, 周天军, 2022.CMIP6模式对中国东部地区水循环的模拟能力评估[J].大气科学46(3): 557-572.DOI: 10.3878/j.issn.1006-9895.2106.21030.Zhao D

Zhang L X Zhou T J2022.Performance assessment of CMIP6 model in simulating the water cycle over East China [J].Chinese Journal of Atmospheric Sciences46(3): 557-572.DOI: 10.3878/j.issn.1006-9895.2106.21030 .

周天军, 邹立维, 陈晓龙, 2019.第六次国际耦合模式比较计划(CMIP6)评述[J].气候变化研究进展15(5): 445-456.DOI: 10.12006/j.issn.1673-1719.2019.193.Zhou T J

Zou L W Chen X L2019.Commentary on the coupled model intercomparison Project Phase 6 (CMIP6) [J].Climate Change Research15(5): 445-456.DOI: 10.12006/j.issn.1673-1719.2019.193 .

文章导航

/