西南典型城市不同季节气溶胶光学特性及辐射效应研究

  • 张小玲 , 1, 2, 3 ,
  • 李朝阳 1, 4 ,
  • 原之荷 1 ,
  • 袁亮 1, 2 ,
  • 何雨璐 1
展开
  • 1. 成都信息工程大学大气科学学院,高原大气与环境四川省重点实验室,四川 成都 610225
  • 2. 成都平原城市气象与环境四川省野外科学观测研究站,四川 成都 610225
  • 3. 成都信息工程大学云南自然灾害防御技术研发中心,云南 昆明 650034
  • 4. 江西省气象服务中心,江西 南昌 330096

张小玲(1972 -), 女, 甘肃西和人, 教授, 主要从事大气物理与大气环境、 城市气象、 环境气象与健康研究.E-mail:

收稿日期: 2024-11-26

  修回日期: 2025-05-28

  网络出版日期: 2025-07-22

基金资助

国家重点研发计划课题(2023YFC3709301)

成都信息工程大学引进人才科研启动项目(KYTZ202127)

大学生创新创业训练计划项目(202410621019)

Research on Optical Properties and Radiative Effects of Aerosols in a Typical City in Southwest China

  • Xiaoling ZHANG , 1, 2, 3 ,
  • Zhaoyang LI 1, 4 ,
  • Zhihe YUAN 1 ,
  • Liang YUAN 1, 2 ,
  • Yulu HE 1
Expand
  • 1. Plateau Atmosphere and Environment Key Laboratory of Sichuan Province,School of Atmospheric Sciences,Chengdu University of Information Technology,Chengdu 610225,Sichuan,China
  • 2. Chengdu Plain Urban Meteorology and Environment Observation and Research Station of Sichuan Province,Chengdu 610225,Sichuan,China
  • 3. Yunnan Natural Hazards Prevention Center,Chengdu University of Information Technology,Kunming 650034,Yunnan,China
  • 4. The Meteorological Service Center of Jiangxi Province,Nanchang 330096,Jiangxi,China

Received date: 2024-11-26

  Revised date: 2025-05-28

  Online published: 2025-07-22

Copyright

© Editorial Department of Plateau Meteorology (CC BY-NC-ND)

摘要

利用2021年3月至2022年2月成都市多波段气溶胶散射系数和吸收系数等观测数据, 结合EAC-4、 MERRA-2等再分析数据和libRadtran辐射传输模型, 研究了不同季节气溶胶的光学参数及总气溶胶和吸光碳质气溶胶的辐射效应。结果表明: 气溶胶的光学参数具有显著的季节性差异, 550 nm波长处单散射反照率(SSA)冬季最大(0.91±0.02), 春季最小(0.84±0.04); 550 nm处不对称系数表现为夏季>冬季>春季>秋季; 总气溶胶光学厚度(AOD)在春季与冬季较高(约0.77), 夏季和秋季较小(0.50~0.53)。进一步分析吸光性碳质气溶胶的光学厚度发现, 黑碳(BC)气溶胶光学厚度冬季最大, 棕碳(BrC)气溶胶光学厚度在春季达到峰值。通过辐射传输模型计算结果发现, 总气溶胶在地表(BOA)、 大气顶部(TOA)和大气层(ATM)产生的短波辐射强迫年均值分别为-107.21±42.49 W·m-2、 -32.10±20.40 W·m-2和75.10±40.16 W·m-2, 表明气溶胶整体表现为冷却地表但加热大气的效应。黑碳的辐射强迫呈现明显的季节差异: BC对TOA辐射强迫在冬季最高(7.18±1.59 W·m-2), 秋季最低(4.48±1.49 W·m-2), 且BC对ATM辐射强迫的年均贡献率可达31.3%, 凸显其显著的大气增温效应,BrC辐射强迫及其在总气溶胶中的占比均表现为春季最大, 冬季最小。

本文引用格式

张小玲 , 李朝阳 , 原之荷 , 袁亮 , 何雨璐 . 西南典型城市不同季节气溶胶光学特性及辐射效应研究[J]. 高原气象, 2026 , 45(2) : 471 -484 . DOI: 10.7522/j.issn.1000-0534.2025.00070

Abstract

Using aerosol scattering and absorption coefficient observations in Chengdu city from March 2021 to February 2022, combined with EAC-4, MERRA-2 reanalysis data, and the libRadtran radiative transfer model, the aerosol optical parameters in different seasons and the radiative effects of total aerosols and absorbing carbonaceous aerosols were investigated.The results showed significant seasonal variations in aerosol optical parameters: the single scattering albedo (SSA) at 550 nm reached its maximum value in winter (0.91±0.02), while it was the lowest in spring (0.84±0.04).The asymmetry factor (ASY) at 550 nm followed the order of summer > winter > spring > autumn.The mean total aerosol optical thickness (AOD) was higher in spring and winter (about 0.77), but lower in summer and autumn (about 0.50~0.53).Further analysis of the optical depth of light-absorbing carbonaceous aerosols revealed that black carbon (BC) contributed the most in winter, whereas the brown carbon (BrC) reached its peak in spring.The radiative transfer model calculation indicated that the annual average shortwave radiative forcing induced by total aerosols at the surface (BOA), top of the atmosphere (TOA), and within the atmosphere (ATM) was -107.21±42.49 W·m-2, -32.10±20.40 W·m-2, and 75.10±40.16 W·m-2, respectively.These indicated there were an overall cooling effect at the surface but a warming effect within the atmosphere for aerosol.Notably, BC exhibited distinct seasonal variations in radiative forcing: TOA forcing of BC was the highest in winter (7.18±1.59 W·m-2) and lowest in autumn (4.48±1.49 W·m-2).Additionally, BC contributed 31.3% of the annual mean atmospheric radiative forcing, highlighting its significant warming effect.In contrast, the radiative forcing of BrC and its proportion relative to total aerosols were higher in spring and lower in winter.

1 引言

气溶胶是气候变化评估中不确定性的主要来源, 对空气质量、 地球-大气辐射收支平衡等多方面都有重要的影响。其中最常见的是黑碳(Black Carbon, BC)、 有机物(Organic Matters, OM)、 沙尘(Dust)、 硫酸盐、 硝酸盐和海盐。气溶胶的光学特性如气溶胶光学厚度(Aerosol Optical Depth, AOD)、 单散射反照率(Single Scattering Albedo, SSA)和不对称系数(Asymmetry Factor, ASY)是计算气溶胶辐射效应至关重要的参数。AOD定义为介质的消光系数在垂直方向上的积分, 描述的是气溶胶对光的消减作用, AOD高值则表明大气中的气溶胶负担大; SSA定义为散射系数与消光系数(散射+吸收)的比值, 是仅次于AOD与气溶胶辐射效应最相关的参数。ASY表示气溶胶粒子前向散射能力的大小, 其值介于-1~1之间。ASY对大气中的气溶胶强迫影响较小, 但其对天顶的辐射强迫有很大影响(Zhang et al, 2021)。气溶胶可通过直接吸收、 散射太阳辐射或地面辐射影响地球的辐射平衡, 具有增温和降温效应。海盐、 硫酸盐和硝酸盐能散射光, 倾向于使地气系统变冷; BC可以通过吸收整个太阳光谱中的光来加热大气, OM在过去被视为100%的散射, 但现在被广泛接受的是, OM中的棕碳(Brown Carbon, BrC)能有效地吸收紫外线和短波可见光(Andreae and Gelencsér, 2006Laskin et al, 2015), 进而引起辐射强迫的改变, 增加碳质气溶胶的光吸收效率。因此, 把BC和BrC统称为吸光性碳质气溶胶(Light-absorbing Carbonaceous Aerosols, LACs), 可产生正辐射强迫, 对大气能量平衡和气候系统产生影响。
四川盆地是我国污染最严重的区域之一, 特殊的地理地形条件造成常年风速小、 湿度大、 逆温频繁, 使得该地区的BC质量浓度位居前列(Guo et al, 2020)。佟景哲等(2022)采用相关性分析和方差膨胀因子相结合的方法, 发现气溶胶散射吸湿增长因子与相对湿度(Relative Humidity, RH)、 BC浓度以及不同粒径颗粒物浓度比值等均存在显著非线性关系。刘敬乐等(2024)利用天津地区太阳光度计观测数据分析得到气溶胶直接辐射强迫效应与AOD和SSA密切相关, 随着SSA增大, 地面和大气的直接辐射强迫效率绝对值减小, 大气层顶直接辐射强迫效率从加热效应逐步转变为冷却效应。刘禹辰等(2025)发现青藏高原东坡高冠层植被与大气间的能量储存项对地表能量闭合度的提升贡献显著(达3.65%), 表明非均匀下垫面的能量储存机制与气溶胶辐射效应共同影响区域能量收支。此外, 杨柳(2024)模拟研究表明中国大气层顶处晴空LACs直接辐射强迫年均值的高值主要分布在华北平原、 华中地区和四川盆地, 其中BC对LACs直接辐射强迫的贡献达到89%。
全球气溶胶自动观测网(Aerosol Robotic Network, AERONET)中气溶胶光学特性数据被广泛用于计算辐射强迫(Li et al, 2020Yuan et al, 2022Zhu et al, 2021张颖蕾和崔希民, 2020)。由于成都缺乏AERONET站点, 有关成都气溶胶光学特性及辐射强迫的研究较少。因此, 本文利用地面观测数据反演气溶胶光学特性, 结合再分析数据以及libRadtran辐射传输模型, 分析西南典型城市成都地区不同季节光学特性变化特征, 并估算无云条件下总气溶胶以及吸光碳质气溶胶的辐射强迫, 对于了解典型超大城市气溶胶污染状况及其辐射强迫和区域气候的影响评估具有重要意义。

2 数据来源与方法介绍

2.1 观测资料

本文采用的2021年3月至2022年2月碳质气溶胶浓度数据,包括BC、 有机碳(Organic Corbon, OC)、 元素碳(Element Corbon, EC)、总碳(Total Carbon, TC)以及光学特性资料来自成都平原城市气象与环境四川省野外科学观测研究站(成都信息工程大学航空港校区, 简称CUIT站点, 站点30.58°N, 103.98°E, 海拔489 m), 其中光学特性资料包括七波段黑碳仪测得的7个波段处(370, 470, 520, 590, 660, 880和950 nm)的吸收系数(β abs, λ)以及AURORA-3000型浊度仪测得的450、 535和635 nm波段的散射系数(β sca, λ)和535 nm和635 nm波段的后向散射系数(β bsca, λ)[单位: Mm-1(1 Mm-1=1×10-6 m-1)]。该观测点处于成都市居住区和工业区的混合区, 观测数据能够反映受交通和工业排放等人类生活源影响的成都大气环境气溶胶浓度水平。同期PM2.5逐时浓度数据采用成都市中心城区7个国控环境监测站点的平均值, 包括金泉两河、 十里店、 三瓦窑、 沙河铺、 君平街、 大石西路以及龙泉驿站。气象资料来自成都市双流气象站(30.59°N, 103.91°E, 486 m), 使用的是经过质量控制后的地面温度、 相对湿度、 风速逐小时观测数据。用于验证辐射模拟参数准确性的地表辐射观测数据来自成都市温江国家基准气候站(30.75°N, 103.87°E, 548 m), 时间间隔为1 h, 包含当前时刻的总辐射、 净辐射、 直接辐射等29个要素值。双流气象站和温江气候站与CUIT站的距离分别为7.73 km和22.55 km(图1)。
图1 成都地区地形及CUIT站、 双流气象站、 温江基准气候站和空气质量监测站点分布

Fig.1 Distribution of the region and observation sites about CUIT station, Shuangliu Meteorological Station, Wenjiang Baseline Climate Station, and air quality monitoring stations

2.2 再分析数据

在libRadtran辐射传输模型中, 需要用气溶胶光学厚度、 气压、 温度、 总臭氧柱等数据。本研究中利用欧洲中期天气预报中心(European Centre for Medium-Range Weather Forecasts, ECMWF)的第四代全球大气成分再分析资料(EAC-4)和第五代大气再分析数据集(ERA-5)。EAC-4使用4D-Var同化法(Inness et al, 2019), 水平分辨率为0.75°×0.75°, 每3 h估算一次AOD, 包括了550 nm处总气溶胶光学厚度(Total_AOD)、 有机物气溶胶光学厚度(OM_AOD)、 黑碳气溶胶光学厚度(BC_AOD)及灰尘气溶胶光学厚度(Dust_AOD)等。模型模拟所用气压、 温度剖面及总臭氧柱(TOC)数据来自ECMWF的ERA-5再分析数据集, 水平分辨率为0.25°×0.25°。
地表反照率(Albedo)来自美国国家航空航天局(NASA)的大气再分析数据(MERRA-2)中M2T1NXRAD数据集, 水平分辨率为0.50°×0.625°, 时间步长为1 h。与EAC-4中AOD对比的数据来自MERRA-2的M2I3NXGAS数据集, 与EAC-4一样每3 h采集一次数据。一些研究对MERRA-2数据与其他数据集进行了验证, 并证明其在预测评估中的使用是合理的(Mcpherson et al, 2017)。

2.3 研究方法

2.3.1 光学特性计算

AE-33黑碳仪(Magee Scientific, 美国)可实时监测7个波段黑碳的质量浓度[m(BC)], 并利用BC对光的吸收特性, 测量实际大气气溶胶的吸收系数, 其值可通过式(1)计算得到, 式中λ为对应波长(单位: nm)。通过质量吸收截面(MAC)可以计算得到对应波长的气溶胶吸收系数(霍新峰和欧阳俊, 2021)。为了与AOD数据更好的匹配, 将计算550 nm处的气溶胶吸收系数(β abs, 550)(单位: Mm-1), 首先按照吴兑等(2009)提出的订正公式(2), 反演532 nm波长处的吸收系数(β abs, 532), 再由式(3)得到β abs, 550, 为剔除有机碳对光吸收的影响, 本文使用880 nm波长处测得的m(BC)。
M A C = β a b s , λ m ( B C )
β a b s , 532 = 8.28 m ( B C ) 880 + 2.23
β a b s , 550 = β a b s , 532 532 550
AURORA-3000型浊度仪内部温湿度传感器与加热系统使得仪器内部腔室中气溶胶相对湿度控制在大约40%, 减小相对湿度对气溶胶光学特性观测结果的影响(Ran et al, 2023)。550 nm处气溶胶散射系数(β sca, 550)可由式(4)式(5)得到, 由于550>535, 因此式(4)中λ1取535 nm, λ2取635 nm, 得出的散射Ångstörm指数(α)主要用来表征气溶胶粒径的大小, 进而得到气溶胶单散射反照率(SSA)。
α = - l n ( β s c a , λ 1 / β s c a , λ 2 ) l n ( λ 1 / λ 2 )
β s c a , 550 β s c a , 535 = 550 535 - α
S S A = β s c a , 550 β a b s , 550 + β s c a , 550
根据Andrews et al (2006)文章中提到的公式, 不对称系数可由后向散射比(bx )计算得到式(8), 550 nm处bx 定义为后向散射系数与总散射系数的比值[式(7)], β bsca, 550计算方法与β sca, 550一致。
b x = β b s c a , 550 β s c a , 550
A S Y = - 7.143889 b x 3 + 7.464439 b x 2 - 3.96356 b x + 0.9893
为得到有机物单散射反照率(OM_SSA), 引入吸收性气溶胶光学厚度(Absorption Aerosol Optical Depth, AAOD)的概念, 其代表气溶胶吸收引起的消光。考虑到BC、 OM和Dust是三种主要的吸收性气溶胶, OM的吸收性气溶胶光学厚度也即BrC_AOD, 可结合公式(9)~(11)得到, BC和Dust相应SSA值分别考虑为0.19和0.9(Chung et al, 2012Müller et al, 2010)。
T o t a l _ A A O D = T o t a l _ A O D × ( 1 - S S A )
B r C _ A O D = T o t a l _ A A O D - B C _ A A O D - D u s t _ A A O D
O M _ S S A = 1 - B r C _ A O D O M _ A O D

2.3.2  libRadtran辐射模型介绍

libRadtran是一个广泛使用的用于辐射传输计算的软件包(Mayer and Kylling, 2005), 本研究采用了2.0.4版本libRadtran辐射传输模型计算相关辐射强迫, 太阳辐射量是在300~3000 nm光谱带上计算, 考虑到地理位置、 季节等因素, 为了使太阳天顶角(Solar Zenith Angle, SZA)有连续的日变化, 每日辐射文件及参数输入都为07:00 -17:00(北京时, 下同)的日均值。其中逐时SZA使用一个外部代码来计算。
模拟分为两部分, 一部分是模型参数设定的验证部分, 另一部分是气溶胶的辐射强迫计算。第一部分的模拟由于与实测数据对比, 需要考虑云的影响, 这里只考虑对地表辐射影响较大的水云的影响(Bellouin et al, 2005), 液态云滴光学特性通过MIE理论进行计算。具体输入参数详见表1
表1 libRadtran模型使用参数

Table 1 Parameters used in the libRadtran model

参数 输入
Atmospheric profile Midlatitude winter/ Midlatitude summer
Solar flux Kurucz (0.1 nm resolution)
Altitude 0.53 km
Radiative transfer equation solver DISORT
Absorption parameterization REPTRAN
Number of streams 8
Albedo MERRA-2
AOD EAC-4
SSA, ASY CUIT站观测资料计算
TOC, WCC, LWC ERA-5
本研究模拟评估指标选择Pearson相关系数(R)、 均方根误差(RMSE)以及平均偏差(BIAS), 具体公式如下:
R = i = 1 n ( x i - x ¯ ) ( y i - y ¯ ) i = 1 n ( x i - x ¯ ) 2 i = 1 n ( y i - y ¯ ) 2
R M S E = i = 1 n ( x i - y i ) 2 n  
B I A S = 1 n i = 1 n ( x i - y i )
第二部分模拟计算成都市各季节地表(Bottom of the atmosphere, BOA)、 天顶(Top of the atmosphere, TOA)和大气(Atmosphere, ATM)中气溶胶辐射强迫(RF BOARF TOARF ATM), 计算公式如下:
R F B O A = ( F d i r e c t , a e r o s o l , B O A + F d i f f u s e , a e r o s o l , B O A - F d i f f u s e , a e r o s o l , B O A ) - ( F d i r e c t , c l e a r , B O A + F d i f f u s e , c l e a r , B O A - F d i f f u s e , c l e a r , B O A ) = F n e t , a e r o s o l , B O A - F n e t , c l e a r , B O A
R F T O A = F d i f f u s e , c l e a r , T O A - F d i f f u s e , a e r o s o l , T O A
R F A T M = R F T O A - R F B O A

3 结果与讨论

3.1  PM2.5 及碳组分浓度变化特征

2021年3月至2022年2月各季节PM2.5及碳组分质量浓度呈现冬季最大, 春秋次之, 夏季最小的趋势。与上一年相比(李朝阳等, 2022), 碳组分浓度都有不同程度的下降; 不同的是, 由于10月超过65%的日期存在降水现象, 降水对碳组分的湿清除等作用使得秋季的碳组分浓度小于春季, 也造成秋季有最大的平均相对湿度为88.53%。虽然夏季碳组分质量浓度最小, 但TC在PM2.5中的占比[r(TC/PM2.5)]最大, 为24%; 春季和冬季r(TC/PM2.5)近似, 但EC在TC中的占比[r(EC/TC)]呈现两个极端, 春季r(EC/TC)最大为36%, 略大于秋季和夏季, 冬季r(EC/TC)最小为26%, 说明冬季散射性气溶胶占比要大于其他季节(表2)。
表2 各季节PM2.5 、 碳组分浓度及EC/TCTC/PM2.5 比值与相关气象要素

Table 2 Seasonal averages of PM2.5carbon component concentrationsratios of EC/TC and TC/PM2.5 and related meteorological factors

季节 PM2.5、 碳组分浓度(均值±标准差)/(μg·m-3 EC/TC、 TC/PM2.5比值与相关气象要素(均值±标准差)
PM2.5 TC OC BC EC EC/TC TC/PM2.5 T/℃ RH/% WS/(m·s-1
42.29±18.82 7.21±3.31 4.48±2.02 3.41±1.74 2.73±1.39 0.36±0.06 0.19±0.06 18.06±3.94 76.25±7.69 1.06±0.27
25.20±13.17 5.67±2.48 3.73±1.56 2.41±1.30 1.93±1.04 0.33±0.05 0.24±0.05 25.84±2.39 78.36±9.21 1.00±0.23
32.41±25.11 6.43±3.78 4.31±2.62 2.65±1.50 2.12±1.20 0.32±0.04 0.23±0.07 17.53±5.67 88.53±7.89 0.90±0.30
60.11±29.68 11.57±5.45 8.65±4.29 3.68±1.73 2.94±1.38 0.26±0.05 0.20±0.04 8.14±2.17 83.64±9.50 0.87±0.28

春、 夏、 秋、 冬季的计算样本数分别为92、 92、 91、 90 (the calculation sample numbers for spring, summer, autumn and winter are 92, 92, 91 and 90, respectively)

3.2 气溶胶光学特性

3.2.1 单散射反照率

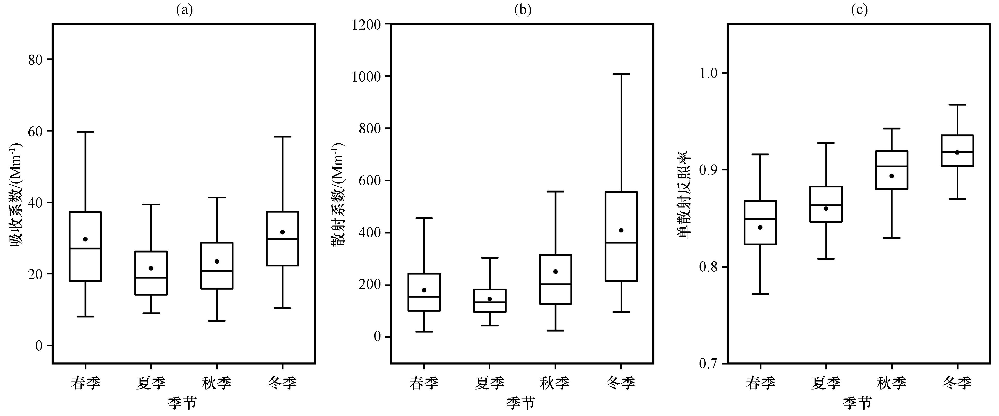
根据公式(1)~(5)计算的550 nm处总气溶胶吸收系数以及散射系数的季节变化如图2所示(春、 夏、 秋、 冬季的计算样本数分别为90、 92、 91和84)。β abs, 550季节均值呈现冬季(31.64±13.87 Mm-1)>春季(29.59±14.03 Mm-1)>秋季(23.46±12.13 Mm-1)>夏季(21.54±10.41 Mm-1)的形势, β sca, 550受散射性气溶胶质量浓度及混合状态的影响, 呈现冬季(408.61±279.96 Mm-1)>秋季(250.22±197.69 Mm-1)>春季(179.65±105.57 Mm-1)>夏季(145.32±68.28 Mm-1), 春、 夏季中强散射性颗粒物要明显少于秋、 冬季节, 可能是因为成都秋、 冬季相对湿度大, 静小风、 逆温频繁, 尤其是雾霾期间非吸收性、 水溶性(如硝酸盐、 硫酸盐和硫酸铵)细颗粒的增长导致散射系数显著增大。
图2 550 nm处吸收系数(a)、 散射系数(b)以及单散射反照率(c)的季节变化特征 箱线图从上至下依次为: 最大值、 75%分位数、 中位数、 25%分位数、 最小值

Fig.2 Seasonal variations characteristics of β abs550 (a), β sca550 (b), and SSA550 (c).The box plots are arranged from top to bottom as: maximum value, 75th percentile, median, 25th percentile, minimum value

计算结果表明成都地区550 nm波段下的SSA(SSA550)日均值范围为0.72~0.96。冬季散射性气溶胶质量浓度占比大, 使得β sca, 550相对于β abs, 550增加更迅速, 导致该季节SSA均值最大(0.91±0.02), 显著高于北京(0.78~0.85)(胡昕尧, 2021)和华北平原(0.85~0.89)(Wang et al, 2011), 表明成都冬季散射性气溶胶(如硫酸盐、 硝酸盐)占比较高, 而北方地区受吸收性黑碳主导。这与成都冬季高湿度促进吸湿增长及二次气溶胶生成密切相关。其次是秋季(0.89±0.04), 春季和夏季SSA均值相近, 分别为0.84±0.04和0.85±0.03, 说明成都地区春季大气中吸收性气溶胶比例较高。与Liu et al (2012)在太湖地区研究结果不一致的是, 其最小SSA值出现在冬季, 主要是由于在采暖期普遍存在的吸收性城市气溶胶颗粒占主导地位。

3.2.2 不对称系数

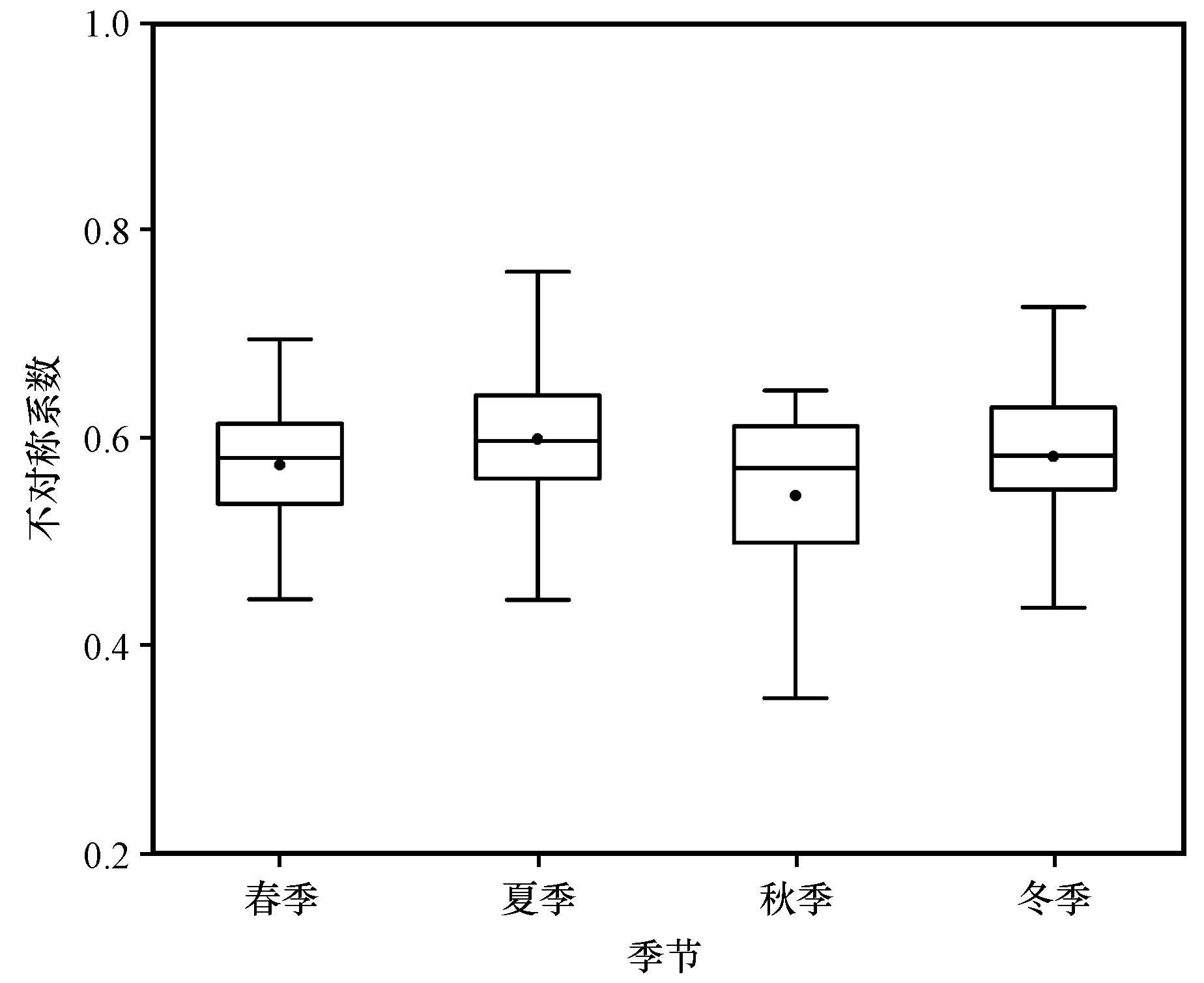
Andrews et al (2006)通过浊度计测量结果计算出的干燥(相对湿度<40%)不对称参数与通过测量三种尺寸分布(AOS PCASP, GIF SMPS, GIF TDMA)计算的干燥不对称参数的平均比值分别为0.97±0.05、 1.00±0.07和0.94±0.05, 所有仪器的ASY范围非常相似, 表明由式(8)计算的不对称系数具有一定的可靠性。
公式(7)计算的后向散射比均值分别为秋季(0.15±0.05)>春季(0.13±0.02)≈冬季(0.13±0.02)>夏季(0.12±0.02), 后向散射比越小, 意味着前向散射越多, ASY就越大。成都地区550 nm波段处的ASY值(ASY550)介于0.49~0.72, 各季节均值表现为夏季(0.59±0.05)>冬季(0.58±0.05)>春季(0.57±0.05)>秋季(0.54±0.09)的形势(图3), 冬季ASY550较春季和秋季大, 是因为冬季气溶胶前向散射的增加受到细模态颗粒物吸湿性增长的影响, 粒子体积越大, 前向散射越明显(Dubovik et al, 2002)。成都夏季ASY与胡欣尧等(2021)在北京地区的研究结果接近。
图3 550 nm处不对称系数季节变化特征 箱线图从上至下依次为: 最大值、 75%分位数、 中位数、 25%分位数、 最小值

Fig.3 Seasonal characteristics of ASY550.The box plots are arranged from top to bottom as: maximum value, 75th percentile, median, 25th percentile, minimum value

3.2.3 气溶胶光学厚度

选择研究期间的EAC-4与MERRA-2中550 nm处总气溶胶光学厚度与成都地区PM2.5质量浓度进行对比及相关性分析。如表3图4所示, EAC-4 AOD与PM2.5的逐日相关性在春、 夏、 秋、 冬季分别为0.461、 0.303、 0.528和0.724, 并通过了p=0.05的显著性检验; MERRA-2 AOD则与PM2.5的相关性在春、 夏、 冬季较小且不显著, 仅在秋季呈显著正相关, 为0.401。综上所述, EAC-4 AOD数据更适合作为成都地区辐射强迫模拟的参数。经计算得到春、 夏、 秋、 冬季EAC-4 AOD均值分别为0.77±0.31、 0.50±0.19、 0.53±0.18、 和0.77±0.30。而成都年均AOD(0.64)低于华北平原(0.80~1.20), 高于西北沙尘区(0.13~0.60)(潘红林等, 2024), 这与成都盆地静稳气象条件(低风速、 高湿度)导致气溶胶累积有关, 而华北平原AOD高值主要受冬季燃煤供暖和沙尘传输影响(Dubovik et al, 2002Liu et al, 20122016潘红林等, 2024)。
表3 各季节PM2.5AOD的相关系数

Table 3 Correlation coefficients between PM2.5 and AOD for each season

R 春季 夏季 秋季 冬季
PM2.5~EAC-4 AOD 0.461* 0.303* 0.528* 0.724*
PM2.5~MERRA-2 AOD 0.062 0.101 0.401* 0.048
EAC-4~MERRA-2 0.702* 0.606* 0.581* 0.306*

*表示在0.05水平(双侧)上显著相关 [* indicates a significant correlation at the 0.05 level (bilateral)]

图4 各季节(a~d) EAC-4与MERRA-2中总气溶胶光学厚度与PM2.5质量浓度逐日变化

Fig.4 Daily variations of EAC-4 AOD, MERRA-2 AOD, and m(PM2.5) for each season (a~d)

图5为各季节BC_AOD与m(BC)逐日变化情况, 二者之间的变化趋势总体一致, BC质量浓度的振幅大一些。BC_AOD的季节平均值为冬季(0.036±0.009)>春季(0.031±0.012)>秋季(0.021±0.006)>夏季(0.018±0.006)(表4), 这与BC浓度的季节分布特征一致(表2)。各个季节两者之间的相关性都通过了显著性检验, 秋冬季两者之间的相关性较春夏季好(表4), 这种情况与表3中Total_AOD与m(PM2.5)的情况一致。图6为各季节BrC_AOD、 OM_AOD以及OM_SSA变化特征, BrC_AOD受到SSA以及AOD等因素影响, 结果为春季(0.083±0.031)>夏季(0.050±0.022)>秋季(0.034±0.013)>冬季(0.031±0.016), 与各季节SSA呈相反趋势。春季较高的BrC_AOD值可能使得吸收性气溶胶光学厚度在总气溶胶中占比增加, 从而使其SSA减小; 冬季的BrC_AOD要略小于BC_AOD, 即吸收性气溶胶光学厚度要远远小于散射性气溶胶光学厚度, 导致了最大SSA值。由于BrC来源复杂, 因此考虑在加入BrC的吸收性之前, OM_SSA为1, 即完全散射, 加入BrC的吸收性之后, OM_SSA从完全散射变为冬季(0.918±0.043)>秋季(0.853±0.079)>夏季(0.767±0.096)>春季(0.741±0.095)。
图5 各季节(a~d)黑碳气溶胶光学厚度与质量浓度逐日变化

Fig.5 Daily variations of BC AOD and m(BC) for each season (a~d)

表4 各季节BrC_AODBC_AOD及其与 mBC)相关的相关系数

Table 4 Seasonal variations of BrC_AODBC_AODand their correlation coefficients with mBC

季节 BrC_AOD BC_AOD m(BC)~BC_AOD 相关系数
春季 0.083±0.031 0.031±0.012 0.253*
夏季 0.050±0.022 0.018±0.006 0.380*
秋季 0.034±0.013 0.021±0.006 0.585*
冬季 0.031±0.016 0.036±0.009 0.499*

*表示在0.05水平(双侧)上显著相关 [* indicates a significant correlation at the 0.05 level (bilateral)]

图6 棕碳气溶胶光学厚度、 有机物气溶胶光学厚度与有机物单散射反照率各季节变化

Fig.6 Seasonal variations of BrC_AOD, OM_AOD, and OM_SSA

3.3 气溶胶辐射效应

3.3.1 模型参数验证

为验证模型参数输入的准确性, 选取2021年4月和12月(共56个样本量)模型模拟值与成都温江国家基准站辐射观测值进行对比分析。如图7所示, 地表总辐射观测值与模拟日均值相关系数为0.94, 均方根误差为39.14 W·m-2, 平均偏差为16.32 W·m-2, 观测值与模拟值均值分别为197.48 W·m-2、 181.15 W·m-2, 说明两组数据有较好的一致性, 也表明本文辐射模拟中大气、 气溶胶以及云的相关参数较可靠。
图7 2021年4月和12月地表总辐射观测值与模拟值散点分布

Fig.7 Scatter plot of observed and simulated total surface radiation in April and December 2021

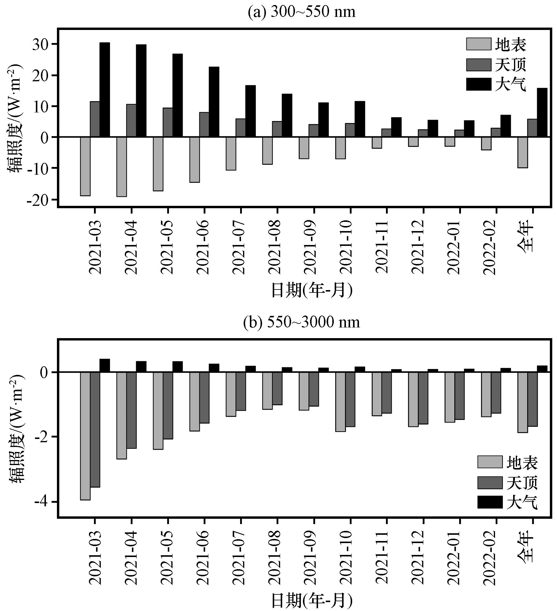
3.3.2 总气溶胶辐射强迫的季节效应

图8为模型模拟的总气溶胶对地表、 天顶以及大气中的辐射强迫(Total_RF BOA、 Total_RF TOA与Total_RF ATM)逐月变化特征, 不同季节的Total_RF BOA均为负值, 对地表起冷却作用。如表5所示, 各季节Total_RF BOA与Total_AOD都呈显著负相关, Total_RF BOA呈春季(-145.15±47.57 W·m-2)<冬季(-104.52±29.23 W·m-2)<夏季(-90.08±36.10 W·m-2)<秋季(-89.00±26.96 W·m-2), 其中春季的PM2.5质量浓度仅为冬季的70%, 但两季节的AOD值却近似为0.77, 春季Total_RF BOA最小, 可能是因为春季是沙尘天气的高发期, 沙尘气溶胶具有较强的吸收性, 增加了大气中吸收性气溶胶的比例(Huang et al, 2015), 秸秆焚烧等生物质燃烧活动进一步增加了黑碳等吸收性气溶胶的排放。同时, 春季相对湿度较低, 可能抑制了气溶胶的吸湿增长, 导致吸收性气溶胶的比例相对较高, 吸收了大部分的太阳辐射, 使到达地面的辐射减小, 因此春季的Total_RF BOA与SSA呈显著负相关。并且春季相对于冬季的太阳天顶角更小, 向下的辐照量就越大, 导致辐射强迫的上升(更负)。
图8 总气溶胶对地表、 天顶以及大气中的辐射强迫逐月变化

Fig.8 Monthly variations of Total_RF BOA, Total_RF TOA, and Total_RF ATM

表5 各季节Total_RF BOA 与光学参数的相关性

Table 5 Correlations between Total_RF BOA and optical properties for each season

总气溶胶辐射强迫 光学参数 相关系数
春季 夏季 秋季 冬季
Total_RF BOA(地表) Total_AOD -0.894* -0.900* -0.794* -0.853*
SSA550 -0.297* 0.032 -0.204 -0.097
ASY550 -0.09 -0.383* -0.274* 0.006
Total_RF TOA(天顶) Total_AOD -0.871* -0.413* -0.918* -0.932*
SSA550 -0.736* -0.718* -0.731* -0.525*
ASY550 -0.186 0.195 -0.648* -0.269*
Total_RF ATM(大气中) Total_AOD 0.730* 0.819* 0.424* 0.557*
SSA550 0.031 -0.237* -0.235* -0.325*
ASY550 0.027 0.454* -0.083 -0.260*

*表示在0.05水平(双侧)上显著相关 [* indicates a significant correlation at the 0.05 level (bilateral)]

各季节Total_RF TOA均为负值, 并且都随着Total_AOD、 SSA的增加而减小(表5), 这是因为强吸收性气溶胶可以吸收从大气下层和地表向上反射的辐射, 使TOA强迫不那么负, 甚至是正的, 增加地表强迫, 从而导致更高(更正)的大气变暖。因此, 较大的AOD值和最大的SSA使得冬季Total_RF TOA有最大负值(-53.57±15.51 W·m-2), 较大的AOD增强了气溶胶对太阳辐射的衰减作用, 而较高的SSA表明气溶胶以散射为主, 增加了返回太空的辐射, 从而增强了冷却效应(董旭光等, 2021)。秋季的Total_RF TOA (-37.20±14.02 W·m-2)要略大于冬季, 这可能是因为秋季的AOD和SSA略低于冬季, 导致气溶胶对辐射的衰减和散射作用较弱, 冷却效应相对较小。综合大量观测数据的统计分析发现春季Total_AOD是夏季的1.5倍(Wang et al, 2011Liu et al, 2016Shu et al, 2022), 因此春季Total_RFTOA (-25.01±17.62 W·m-2)小于夏季(-14.63±9.83 W·m-2)。不对称系数ASY与RF TOA在秋季和冬季呈现出较明显的负相关性(表5), 即ASY越大, 气溶胶粒子更倾向于前向散射, 减少了返回天顶的辐射, 导致RF TOA负值更大(冷却效应增强)。
RF BOA为负值表明到达地表的太阳辐射减少, 而散射回大气的辐射增加, 由于气溶胶对太阳辐射的吸收与散射, 使得部分能量留在大气中, 产生增温效应, 因此各季节Total_RF ATM均为正值, 与Total_AOD呈显著正相关, 但在秋季与冬季的相关性要小于春季与夏季。春季的SSA对Total_RF ATM无显著影响, 而SSA的减小在其他季节会使Total_RF ATM增加。此外ASY在夏季与冬季显示出不同的影响, ASY的增加在夏季可能会显著促进大气加热, 而在冬季可能会有降温作用(表5)。Total_RF ATM分别为春季(120.13±37.24 W·m-2)>夏季(75.45±34.71 W·m-2)>秋季(51.80±20.12 W·m-2)>冬季(50.95±17.30 W·m-2), 春季RF ATM几乎是秋季与冬季的2倍。综上所述, 气溶胶的辐射强迫是各种光学特性的综合效应, 准确的光学特性数据对于辐射强迫的计算十分重要, 并且分季节来讨论光学特性对于辐射强迫的影响是有必要的。

3.3.3 碳质气溶胶辐射强迫

本文BC辐射模拟中使用SSA为0.19, ASY为0.17 (Lu et al, 2020), 复折射指数使用Hess et al (1998)建议的干燥气溶胶情况下的m=1.75-0.44i。由于BrC吸光的波长依赖性, 在模拟BrC的辐射效应时, 将分为300~550 nm和550~3000 nm两个波段分别计算。紫外及近可见光部分, 在每日两组辐照度计算中, OM_AOD作为定值, 第一组模拟中OM_SSA为1, 第二组中变为加入BrC后由公式(14)计算得出的OM_SSA, 并缩放到所有波长上, 这两组模拟的差值就是由BrC吸光引起的辐照度的变化; 550~3000 nm部分, 假设棕碳在这个波段处于弱吸收甚至不吸收光, 即设置SSA为1, 使用BrC_AOD。此外, 由于BrC来源复杂, 根据收集文献中提供的不同状态下的BrC复折射指数, 本研究使用实部均值(1.53)与虚部均值(0.005)作为BrC的微物理特性带入(Sun et al, 2007Chen and Bond, 2010Li et al, 2019)。BrC的ASY在300~550 nm和550~3000 nm波段分别为0.691和0.632 (Li et al, 2019), 两个部分相加作为BrC在300~3000 nm波段的总辐射强迫。
作为一种典型的吸收性气溶胶, BC在地表造成负的辐射强迫, 在天顶和大气中造成正的辐射强迫(图9)。由于BC模拟的参数较为固定, BC_RF BOA、 BC_RF TOA与BC_RF ATM变化较稳定, 与BC_AOD密切相关。其中BC_RF BOA季节变化特征与BC_AOD呈相反趋势, BC_AOD在冬季最大, BC_RF BOA冬季(-18.75±5.07 W·m-2)<春季(-16.95±7.44 W·m-2)<秋季(-11.34±3.93 W·m-2)<夏季(-10.62±4.59 W·m-2)。BC强烈地吸收了地表和大气向上的辐射通量, 天顶向上的辐射通量减少导致RF TOA均为正值, 各季节呈现冬季最大(7.17±1.58 W·m-2), 春季(6.88±2.78 W·m-2)、 夏季(4.54±1.93 W·m-2)次之, 秋季(4.48±1.49 W·m-2)最小的特征。虽然夏季BC_AOD小于秋季, 但夏季较小的太阳天顶角使得BC_RF TOA略大于秋季。春季、 夏季、 秋季、 冬季的BC_RF ATM均值分别为23.83±10.22 W·m-2、 15.17±6.53 W·m-2、 15.82±5.41 W·m-2、 25.92±6.62 W·m-2, 其中夏季辐照度均值与在武汉地区观察到的基本一致(Ma et al, 2021)。
图9 黑碳对地表、 天顶以及大气中的辐射强迫逐月变化

Fig.9 Monthly variations of BC_RF BOA, BC_RF TOA, and BC_RF ATM

表8可知, m(BC)在m(PM2.5)中的比例(r(BC/PM2.5))年均值为8.5%, BC_RF BOA对Total_RF BOA的年均贡献率(RF BOA(BC/Total))可达13.4%, BC_RF ATM对Total_RF ATM的年均贡献率(RF ATM(BC/Total))高达31.3%。尽管冬季r(BC/PM2.5)只有6.4%, 但BC_RF BOA以及BC_RF ATM对总气溶胶的贡献率可达18.1%和53.6%, 说明成都冬季BC对大气的加热作用至关重要。
表8 各季节 rBC/PM2.5 )、 RF BOABC/Total)、 RF ATMBC/Total

Table 8 Seasonal variations of rBC/PM2.5 ), RF BOABC/Total), and RF ATMBCBC/Total

季节 r(BC/PM2.5 RF BOA(BC/Total) RF ATM(BC/Total)
春季 8.3% 11.5% 19.8%
夏季 9.9% 11.8% 21.0%
秋季 9.4% 12.8% 32.8%
冬季 6.4% 18.1% 53.6%
全年 8.5% 13.4% 31.3%
图10为BrC在地表、 天顶以及大气中辐射强迫(BrC_RF BOA、 BrC_RF TOA与BrC_RF ATM)分波段逐月计算结果。虽然300~550 nm波段的计算并未涉及BrC_AOD, 但从图10(a)中辐射强迫的变化情况来看, 这种间接计算BrC辐射强迫的方法可以反演出BrC_AOD的变化趋势。由于BrC在300~550 nm波段的较强吸光性, 所以BrC_RF TOA均为正值, 春季BrC_AOD值是BC_AOD的2.6倍, 因此, 春季BrC_RF TOA在整个吸光碳质气溶胶中的占比最大(68.1%), 其次为夏季65.5%, 秋季为51.1%, 冬季最小(31.1%); 与紫外和近可见光波段较强的吸收相比, 550~3000 nm波段RF TOA均为负值[图10(b)], 抵消了BrC一部分对天顶的正辐射强迫, 因此在整个太阳光谱上BrC_RF TOA占吸光碳质气溶胶的比例有所降低。
图10 棕碳对地表、 天顶以及大气中的辐射强迫逐月变化

Fig.10 Monthly variations of BrC_RF BOA, BrC_RF TOA, and BrC_RF ATM

各季节总BrC_RF BOA、 BrC_RF TOA、 BrC_RF ATM与AOD变化一致, 呈现春季(-21.59 W·m-2, 7.73 W·m-2, 29.33 W·m-2)>夏季(-12.84 W·m-2, 4.98 W·m-2, 17.82 W·m-2)>秋季(-7.41 W·m-2, 2.28 W·m-2, 9.69 W·m-2)>冬季(-4.96 W·m-2, 1.00 W·m-2, 5.97 W·m-2)。表9表明BrC对总气溶胶RF BOARF ATM的平均贡献率(RF BOA(BrC/Total)、 RF ATM(BrC/Total))分别为春季最大(15.4%, 24.8%), 夏季(14.2%, 24.0%)、 秋季(8.3%, 18.3%)次之, 冬季(4.5%, 11.0%)贡献最小。总BrC_RF BOA、 BrC_ RF TOA与BrC_RF ATM年均值分别为-11.83±8.45、 4.06±3.12、 15.89±11.49 W/m2RF BOA(BrC/Total)、 RF ATM(BrC/Total)分别为10.8%和19.7%。
表9 各季节 RF BOABrC/Total)、 RF ATMBrC/Total

Table 9 Seasonal variations of RF BOABrC/Totaland RF ATMBrC/Total

季节 RF BOA(BrC/Total) RF ATM(BrC/Total)
春季 15.4% 24.8%
夏季 14.2% 24.0%
秋季 8.3% 18.3%
冬季 4.5% 11.0%
全年 10.8% 19.7%

5 结论

利用成都地区地面气溶胶散射、吸收系数和碳质气溶胶观测数据反演气溶胶光学特性, 结合再分析数据、 地面辐射和空气质量数据以及libRadtran辐射传输模型, 分析2021年3月至2022年2月各季节气溶胶光学特性变化特征, 估算了无云条件下总气溶胶及吸光碳质气溶胶的辐射强迫, 得到以下主要结论:
(1) β abs, 550β sca, 550在冬季最大, 夏季最小; SSA550介于0.72~0.96之间, 由于冬季散射性气溶胶比例较大, 使得β sca, 550相对于β abs, 550增加更迅速, 导致该季节SSA最大(0.91±0.02); ASY550表现为夏季>冬季>春季>秋季的特点。
(2) EAC-4 AOD相比于MERRA-2 AOD更适合作为辐射模型输入数据, 春季与冬季Total_AOD近似为0.77, 夏季和秋季分别为0.50和0.53; BC_AOD与m(BC)均为冬季最大, 夏季最小; BrC_AOD受到各季节SSA以及AOD等影响, 表现为春季最大, 冬季最小。
(3) 总气溶胶的辐射强迫表明Total_RF BOA、 Total_RF TOA与Total_AOD呈显著负相关, Total_RF ATM与Total_AOD呈显著正相关; 春季大气中吸收性气溶胶占比大, 太阳天顶角更小, 导致春季Total_RF BOA小于冬季。
(4) 各季节BC_RF BOA均为负值, BC_RF TOA均为正值, 表明BC对地表和大气顶分别起冷却作用和加热作用, BC_RF ATM对总RF ATM的年均贡献率高达31.3%, 冬季贡献最大为53.6%; BrC的辐射强迫与其AOD变化一致, BrC对总气溶胶RF BOARF ATM的平均贡献率分别为10.8%和19.7%, 春季最大, 冬季最小。
Andreae M O Gelencsér A2006.Black carbon or brown carbon? The nature of light-absorbing carbonaceous aerosols[J].Atmospheric Chemistry and Physics6(10): 3131-3148.DOI: 10.5194/acp-6-3131-2006 .

Andrews E Sheridan P J Fiebig M, et al, 2006.Comparison of methods for deriving aerosol asymmetry parameter[J].Journal of Geophysical Research: Atmospheres, 111(D5).DOI: 10.1029/2004JD005734 .

Bellouin N Boucher O Haywood J, et al, 2005.Global estimate of aerosol direct radiative forcing from satellite measurements[J].Nature438(7071): 1138-1141.DOI: 10.1038/nature04348 .

Chen Y Bond T C2010.Light absorption by organic carbon from wood combustion[J].Atmospheric Chemistry and Physics10(4): 1773-1787.DOI: 10.5194/acp-10-1773-2010 .

Chung C E Ramanathan V Decremer D2012.Observationally constrained estimates of carbonaceous aerosol radiative forcing[J].Proceedings of the National Academy of Sciences109(29): 11624-11629.DOI: 10.1073/pnas.1203707109 .

Dubovik O Holben B Eck T F, et al, 2002.Variability of absorption and optical properties of key aerosol types observed in worldwide locations[J].Journal of the Atmospheric Sciences59(3): 590-608.DOI: 10.1175/1520-0469(2002)059 .

Guo B Wang Y Zhang X, et al, 2020.Long-term variation of black carbon aerosol in China based on revised aethalometer monitoring data[J].Atmosphere11(7): 684.

Hess M Koepke P Schult I1998.Optical properties of aerosols and clouds: the software package OPAC[J].Bulletin of the American Meteorological Society79(5): 831-844.DOI: 10. 1175/1520-0477(1998)079 .

Huang J P Liu J J Chen B, et al, 2015.Detection of anthropogenic dust using CALIPSO lidar measurements[J].Atmospheric Chemistry and Physics15(20): 11653-11665.

Inness A Ades M Agustí-panareda A, et al, 2019.The CAMS reanalysis of atmospheric composition[J].Atmospheric Chemistry and Physics19(6): 3515-3556.DOI: 10.5194/acp-19-3515-2019 .

Laskin A Laskin J Nizkorodov S A2015.Chemistry of atmospheric brown carbon[J].Chemical Reviews115(10): 4335-4382.DOI: 10.1021/cr5006167 .

Li L Che H Derimian Y, et al, 2020.Retrievals of fine mode light-absorbing carbonaceous aerosols from POLDER/PARASOL observations over East and South Asia[J].Remote Sensing of Environment, 247: 111913.DOI: 10.1016/j.rse.2020.111913 .

Li Z Tan H Zheng J, et al, 2019.Light absorption properties and potential sources of particulate brown carbon in the Pearl River Delta region of China[J].Atmospheric Chemistry and Physics19(18): 11669-11685.DOI: 10.5194/acp-19-11669-2019 .

Liu J Zheng Y Li Z, et al, 2012.Seasonal variations of aerosol optical properties, vertical distribution and associated radiative effects in the Yangtze Delta region of China[J].Journal of Geophysical Research: Atmospheres, 117(D16).DOI: 10.1029/2011JD016490 .

Liu X Chen Q Che H, et al, 2016.Spatial distribution and temporal variation of aerosol optical depth in the Sichuan basin, China, the recent ten years[J].Atmospheric Environment, 147: 434-445.

Lu Q Liu C Zhao D, et al, 2020.Atmospheric heating rate due to black carbon aerosols: Uncertainties and impact factors[J].Atmospheric Research, 240: 104891.DOI: 10.1016/j.atmosres. 104891 .

Ma Y Fan R Jin S, et al, 2021.Black carbon over Wuhan, China: seasonal variations in its optical properties, radiative forcing and contribution to atmospheric aerosols[J].Remote Sensing13(18): 3620.DOI: 10.3390/rs13183620 .

Mayer B Kylling A2005.Technical note: the libRadtran software package for radiative transfer calculations-description and examples of use[J].Atmospheric Chemistry and Physics5(7): 1855-1877.DOI: 10.5194/acp-5-1855-2005 .

Mcpherson M Sotiropoulos-michalakakos T Harvey L D, et al, 2017.An open-access web-based tool to access global, hourly wind and solar PV generation time-series derived from the MERRA reanalysis dataset[J].Energies10(7): 1007.DOI: 10.3390/en10071007 .

Müller D Weinzierl B Petzold A, et al, 2010.Mineral dust observed with AERONET Sun photometer, Raman lidar, and in situ instruments during SAMUM 2006: Shape-independent particle properties[J].Journal of Geophysical Research: Atmospheres, 115(D7).DOI: 10.1029/2009JD012520 .

Ran L Zhou F Deng Z, et al, 2023.A method to obtain scattering phase function based on particle size distribution and refractive index retrieved from Aurora 4000 multi-angle scattering measurements: A numerical study[J].Atmospheric Environment.315: 120138.DOI: 10.1016/j.atmosenv.120138 .

Shu Z Liu Y Zhao T, et al, 2022.Long-term variations in aerosol optical properties, types, and radiative forcing in the Sichuan Basin, Southwest China[J].Science of The Total Environment, 807: 151490.

Sun H Biedermann L Bond T C2007.Color of brown carbon: a model for ultraviolet and visible light absorption by organic carbon aerosol[J].Geophysical Research Letters34(17).DOI: 10.1029/2007GL029797 .

Wang Y Xin J Li Z, et al, 2011.Seasonal variations in aerosol optical properties over China[J].Journal of Geophysical Research: Atmospheres, 116(D18).

Yuan L Zhang X Che Y, et al, 2022.Vertical profile and radiative forcing of black carbon in a winter pollution period over Chengdu, China[J].Atmospheric Research, 265: 105896.DOI: 10. 1016/j.atmosres.2021.105896 .

Zhang M Fan R Ma Y, et al, 2021.Atmospheric aerosol and black carbon optical properties and associated radiative forcing under haze conditions[J].Journal of Quantitative Spectroscopy and Radiative Transfer, 259: 107390.DOI: 10.1016/j.jqsrt.2020. 107390 .

Zhu Y Wang Q Yang X, et al, 2021.Modeling investigation of brown carbon aerosol and its light absorption in China[J].Atmosphere12(7): 892.DOI: 10.3390/atmos12070892 .

董旭光, 陈艳春, 孟祥新, 2021.WRF-Solar模式对山东太阳总辐射的模拟效果检验[J].海洋气象学报41(4): 36-51.DOI: 10.19513/j.cnki.issn2096-3599.2021.04.004.Dong X G

Chen Y C Meng X X2021.Evaluation of WRF-Solar Model simulation performance for total solar radiation in Shandong[J].Journal of Marine Meteorology41(4): 36-51.DOI: 10.19513/j.cnki.issn2096-3599.2021.04.004 .

霍新峰, 欧阳俊, 2021.AE33七波段黑碳气溶胶分析仪维护浅析[J].分析仪器, (3): 177-182.DOI: 10.3969/j.issn.1001-232x.2021.03.036.Huo X F , Ouyang J, 2021.Brief analysis on maintenance of AE33 seven-wavelength black carbon aerosol analyzer[J].Analytical Instrumentation, (3): 177-182.DOI: 10. 3969/j.issn.1001-232x.2021.03.036 .

胡昕尧, 2021.北京城区近地面气溶胶光学特性及其相关参数研究[D].北京: 中国气象科学研究院.DOI: 10.27631/d.cnki.gzqky.2021.000025.Hu X Y, 2021.Study on near-surface aerosol optical properties and related parameters in urban Beijing [D].Beijing: Chinese Academy of Meteorological Sciences.DOI: 10.27631/d.cnki.gzqky.2021.000025 .

李朝阳, 袁亮, 张小玲, 等, 2022.成都碳质气溶胶变化特征及二次有机碳的估算[J].中国环境科学42(6): 2504-2513.DOI: 10.19674/j.cnki.issn1000-6923.20220208.004.Li Z Y

Yuan L Zhang X L, et al, 2022.Variation characteristics of carbonaceous aerosols and estimation of secondary organic carbon in Chengdu J].China Environmental Science42(6): 2504-2513.DOI: 10.19674/j.cnki.issn1000-6923.20220208.004 .

刘敬乐, 史静, 姜明, 等, 2024.天津地区气溶胶光学特性及直接辐射强迫研究[J].中国环境科学44(12): 6590-6599.DOI: 10.19674/j.cnki.issn1000-6923.20240829.001.Liu J L

Shi J Jiang M, et al, 2024.Study on aerosol optical properties and direct radiative forcing in Tianjin region [J].China Environmental Science44(12): 6590-6599.DOI: 10.19674/j.cnki.issn1000-6923.20240829.001 .

刘禹辰, 李茂善, 常娜, 等, 2025.青藏高原东坡高冠层植被大气间的储存项对地表能量闭合度的影响研究[J].高原气象44(2): 435-444.DOI: 10.7522/j.issn.1000-0534.2024.00072.Liu Y C

Li M S Chang N, et al, 2025.The impact of high canopy vegetation-atmosphere storage on surface energy closure over the eastern slope of the Qinghai-Xizang Plateau[J].Plateau Meteorology44(2): 435-444.DOI: 10.7522/j.issn.1000-0534.2024.00072 .

潘红林, 马诺, 王敏, 等, 2024.塔克拉玛干沙漠与撒哈拉沙漠沙尘气溶胶光学特性对比研究[J].沙漠与绿洲气象18(1): 38-49.DOI: 10.12057/j.issn.1002-0799.2024.01.005.Pan H L

Ma N Wang M, et al, 2024.Comparative study on optical properties of dust aerosols between the Taklimakan Desert and the Sahara Desert[J].Desert and Oasis Meteorology18(1): 38-49.DOI: 10.12057/j.issn.1002-0799.2024.01.005 .

佟景哲, 倪长健, 杜云松, 等, 2022.成都气溶胶散射吸湿增长因子多变量影响分析[J].生态与农村环境学报38(5): 636-644.DOI: 10.19741/j.issn.1673-4831.Tong J Z

Ni C J Du Y S, et al, 2022.Multivariate analysis of influencing factors on aerosol scattering hygroscopic growth factor in Chengdu[J].Journal of Ecology and Rural Environment38(5): 636-644.DOI: 10.19741/j.issn.1673-4831 .

吴兑, 毛节泰, 邓雪娇, 等, 2009.珠江三角洲黑碳气溶胶及其辐射特性的观测研究[J].中国科学(D辑: 地球科学)39(11): 1 542-1553.DOI: 10.1007/s11430-009-0115-y.Wu D

Mao J T Deng X J, et al, 2009.Observational study of black carbon aerosols and their radiative properties in the Pearl River Delta region[J].Science in China Series D: Earth Sciences39(11): 1542-1553.DOI: 10.1007/s11430-009-0115-y .

杨柳, 2024.中国吸光性碳质气溶胶直接辐射强迫模拟[D].南京: 南京信息工程大学.DOI: 10.27248/d.cnki.gnjqc.2024. 001009.Yang L, 2024.Simulation of direct radiative forcing by light-absorbing carbonaceous aerosols in China [D].Nanjing: Nanjing University of Information Science and Technology.DOI: 10.27248/d.cnki.gnjqc.2024.001009 .

张颖蕾, 崔希民, 2020.基于MODIS_C061的长三角地区AOD与Angstrom指数时空变化分析[J].环境科学41(6): 2617-2624.DOI: 10.13227/j.hjkx.201909273.Zhang Y L

Cui X M2020.Spatiotemporal variation analysis of AOD and Ångström Exponent in the Yangtze River delta region based on MODIS_C061[J].Environmental Science41(6): 2617-2624.DOI: 10.13227/j.hjkx.201909273 .

文章导航

/