南宁城市土地扩张对一次低涡型强降水过程影响的数值试验

  • 卢宁生 ,
  • 汤耀国 ,
  • 张丁丁 ,
  • 周琰
展开
  • 南宁市气象局,广西 南宁 530028
汤耀国(1987 -), 男, 广西南宁人, 高级工程师, 主要从事大气环境气象预报. E-mail:

卢宁生(1995 -), 男, 广西南宁人, 工程师, 主要从事城市气象研究. E-mail:

收稿日期: 2024-08-27

  修回日期: 2024-12-23

  网络出版日期: 2025-08-04

基金资助

广西自然科学基金项目(2023GXNSFBA026360)

广西气象科研计划青年人才培养项目(桂气科2023QN10)

广西气象科研计划指令性项目(桂气科2023ZL08)

Numerical Experiment on the Impacts of Urban Land Expansion in Nanning on the Heavy Precipitation Process of a Low Vortex Type

  • Ningsheng LU ,
  • Yaoguo TANG ,
  • Dingding ZHANG ,
  • Yan ZHOU
Expand
  • Nanning Meteorological Bureau,Nanning 530028,Guangxi,China

Received date: 2024-08-27

  Revised date: 2024-12-23

  Online published: 2025-08-04

Copyright

© Editorial Department of Plateau Meteorology (CC BY-NC-ND)

摘要

近年来, 南宁城市化进程明显加快, 但同时强降水也呈现出频发、 极端性增强的态势, 为此, 本研究利用耦合城市冠层模型的数值模式WRF-UCM, 使用ERA5再分析数据并通过敏感性试验对2022年5月南宁市一次低涡型强降水过程进行了模拟。结果表明: (1)更新了土地利用信息并耦合城市冠层模型后, 6 h累计降雨量的模拟结果在时空分布上与观测结果一致, 并且更准确地反映出主城区的降水强度演变; (2)在丘陵盆地地形背景下, 南宁城市土地扩张导致的“绕流”作用和热岛效应增强是引起降水变化的主要因素, 其造成主城区至下风区20 km处的强降水出现时间提前1~2 h、 降水量增加10%~30%, 南部郊区及上风区降水减少约15%; (3)降水过程发展阶段, 城市土地扩张引起的城区潜热通量和对流有效位能(CAPE)减少会抑制深对流降水发展, 但是城区感热和地表土壤热通量增加造成的热岛效应, 以及城市地表摩擦和“绕流”作用对近地层气流辐合及抬升运动的增强, 更多促进了低涡前部的云雨水含量增加和对流云团新生发展, 造成城区及下风区的强降水出现时间提前; 降水过程中后期, 低涡中心靠近引起的气流增强使得“绕流”作用影响表现更明显, 同时降水增强导致的地表水汽再蒸发作用和925~700 hPa凝结潜热加热增加对低涡增强的正反馈作用, 共同驱动暖云降水过程发展, 造成降水效率提高, 而城市局地环流发展又促进了对流云中冰相粒子与雨水的相互转化, 导致对流云团强度的维持, 从而延长了强降水的持续时间, 造成累计雨量增加。

本文引用格式

卢宁生 , 汤耀国 , 张丁丁 , 周琰 . 南宁城市土地扩张对一次低涡型强降水过程影响的数值试验[J]. 高原气象, 2025 , 44(4) : 1018 -1033 . DOI: 10.7522/j.issn.1000-0534.2024.00115

Abstract

In recent years, the urbanization process of Nanning has accelerated significantly, but at the same time, heavy precipitation has also shown a trend of frequent occurrence and increased extremity.To this end, this study used the Weather Research and Forecasting system coupled with Urban Canopy Model (WRF-UCM), the ERA5 reanalysis data, and sensitivity test to simulate the heavy precipitation process of a low vortex type in Nanning in May 2022.Results show that: (1) After updating the land use information and coupling the urban canopy model, the simulation results of 6-hour cumulative rainfall are consistent with the observed results in the spatiotemporal distribution, and more accurately reflect the evolution of precipitation intensity in the main urban area; (2) Under the background of hilly basin topography, the circumfluence effect and the intensification of the heat island effect, both resulting from changes in surface characteristics driven by Nanning's urban land expansion, are the main factors contributing to precipitation changes, which causes the occurrence time of heavy precipitation to increase by 1~2 hours and the precipitation increase by 10%~30% from the main urban area to the downwind area 20 km, and the precipitation in the southern suburbs and upwind area decreases by about 15%; (3) In the development stage of precipitation process, the decrease of latent heat flux and convective effective potential energy (CAPE) caused by urban land expansion will inhibit the development of deep convective precipitation, but the urban heat island effect caused by the increase of sensible heat and surface soil heat flux in urban areas, as well as the enhancement of urban surface friction and circumfluence on the convergence and uplift of near-surface airflow, promote the increase of cloud and rainfall content and the new development of convective clouds in the front of the low vortex, resulting in the early occurrence of heavy precipitation in urban areas and downwind areas.In the later stage of the precipitation process, the enhanced airflow caused by the proximity of the center of the low vortex makes the effect of circumfluence more obvious, and the re-evaporation of surface water vapor caused by the enhancement of precipitation and the increase of latent heat of condensation at 925~700 hPa have a positive feedback effect on the enhancement of the low vortex, which jointly drives the development of warm cloud precipitation process and improves the precipitation efficiency, and the development of local circulation in the city promotes the mutual transformation of ice particles and rainwater in convective clouds, resulting in the maintenance of convective cloud intensity.As a result, the duration of heavy precipitation is prolonged, resulting in an increase in accumulated rainfall.

1 引言

在过去几十年, 我国城市经济与社会的快速发展随之带来了一系列的天气与气候效应。城市建设改变了下垫面及其支配影响的城市气象环境, 这种变化对城市降水影响的机理研究目前备受学术界关注(苗世光等, 2020Yin et al, 2020)。多数研究认为城市下垫面粗糙度的增加使得城区水汽辐合及不稳定能量增长(Wang et al, 2012Sun et al, 2012), 形成雨岛效应, 例如Yu and Liu(2015)指出城市化导致降水在城市上风区和下风区约增加30%, Feng et al(2014)认为城市人为热释放使得珠三角和长三角城区的夏季降水增大, 但也有研究给出相反的结论(Wang et al, 2012Georgescu et al, 2012)。近年来城市的强降水呈现出频发态势, 致灾性增强(杨浩等, 2022陆婷婷和崔晓鹏, 2022), 充分了解城市化对降水影响的潜在机制对于提升气象精准预报和城市防灾减灾能力愈发重要。
数值气象模式的不断发展使其成为气象研究、 提供气象服务的重要工具之一(李炬和窦军霞, 2014), 而耦合城市冠层模型(Urban Canopy Model, UCM)的中尺度数值预报(Weather Research and Forecasting, WRF)模式WRF-UCM, 考虑了城市内部建筑物的几何特征对辐射等的影响, 能够更准确地计算城市地表能量平衡和地气交换过程(李聪元等, 2018), 并反映出快速城镇化对城市降水过程的影响(蒙伟光等, 2012马敏劲等, 2020), 目前已将其广泛应用于城市气象、 生态环境和城市规划的研究中(苗世光和王迎春, 2014)。
南宁市地处华南, 以邕江河谷盆地为主的复杂地形使暴雨呈局地性强、 雨强大的特点(梁岱云等, 2022), 特别是城区极端降水的强度和频率显著增加(Wang and Zhai, 2009)。南宁城市建成区面积2020年相比2010年增加了52%, 达到326.7 km2(广西统计局, 2020年), 但是有关南宁城市化与强降水影响的研究仍较少(Wu and Yang, 2013)。随着南宁市于2015年成为全国首批海绵城市建设试点城市, 以及“十四五”中南宁城市重点向东向南的空间发展战略的实施, 开展城市化与强降水事件潜在研究的重要性日益凸显。
低涡是造成南宁区域性强降水的重要影响天气系统之一, 其形成和发展机制复杂, 具有降水影响范围广、 对流性显著、 受下垫面地形影响大等特点。近年来, 低涡型强降水过程频发、 极端性增强, 因此, 本研究利用WRF-UCM对2022年5月11 -12日影响南宁市的低涡型强降水过程进行敏感性试验, 重点揭示南宁城市化进程中, 城市土地扩张对边界层结构、 水汽输送以及云和降水的潜在影响, 加深理解城市化对此类强降水事件形成、 发展的作用机理, 从而为改进城市水患风险防御对策提供科学依据。

2 资料来源与方法介绍

2.1 个例简介

西南低涡是造成此次强降水过程的主要影响系统, 有研究指出, 生源地在滇黔桂交界的西南低涡, 从云贵高原下坡增强后, 在低涡东侧和南侧产生突发性的大范围强降水, 从而导致华南中西部的洪涝灾害(刘国忠等, 2007)。本次过程, 南宁城区的降水集中在5月12日03:00 -09:00(北京时, 下同), 最大6 h雨量局地超过100 mm[图1(a)]。形势场上, 11日20:00, 500 hPa受副热带高压西北侧的西南暖湿气流和高原短波槽影响, 云桂交界低层(850 hPa)有中尺度低涡发展并东移, 切变线和准静止锋在南宁北部, 地面有弱冷空气南下, 夜间南亚高压分流辐散和低空偏南急流的加强有利于引发暴雨天气过程。环境场上, 南宁处于700 hPa气流抬升区, 0~6 km垂直风切变强度中等(14.2 m·s-1), LCL低于1 km, CAPE值超过1000 J·kg-1, 不稳定能量较大且湿层深厚, 有利于本地短时强降水发生[图1(b), (c)]。降水过程期间, 南宁市地面以东偏北风为主, 雨区随着西南低涡中心自西向东经过南宁市, 因此本文将城区西部作为城市下风区(降水上游), 东部作为上风区(降水下游)。
图1 2022年5月12日03:00 -09:00南宁市6 h累计雨量(a, 单位: mm), 5月11日20:00的500 hPa位势高度场(黑线, 单位: dagpm)和700 hPa垂直速度(白线, 单位: Pa·s-1)、 850 hPa风场(凤羽, 单位: m·s-1)和比湿(填色, 单位: g·kg-1)(b)以及5月11日20:00南宁站探空资料(c)

图(b)中红点位置为南宁

Fig.1 6 h accumulated precipitation in Nanning from 03:00 to 09:00 on May 12th (a, unit: mm), 500 hPa geopotential height field (black line, unit: dagpm) and 700 hPa vertical velocity (white line, unit: Pa·s-1), 850 hPa wind field (windbarb, unit: m·s-1) and specific humidity (contour filling, unit: g·kg-1) at 20:00 on May 11, 2022 (b), and sounding data at Nanning station at 20:00 on May 11, 2022 (c).In Fig.1(b), the location of the red dot is Nanning

2.2 数据与方法

气象数据为南宁市逐小时国家和区域站观测资料。本文使用WRF4.0中尺度模式, 以欧洲中期天气预报中心的ERA5再分析数据(0.25°×0.25°)驱动WRF模式运行。模拟时间为2022年5月10日08:00至12日16:00, 前12 h为模式调整时间; 模式采用单向三层嵌套方案, 水平网格距分别为9 km、 3 km和1 km, 网格中心位于23.0°N、 108.5°E[图2(a)], 垂直方向不等距分为38层; 物理参数化方案包括Lin微物理方案, RRTM长波辐射方案, Dudhia短波辐射方案, MM5近地层方案, Noah陆面方案, YSU边界层方案。由于网格间距小且明确的微观物理学可以很好地解决对流问题(Trier et al, 2008), 因此本研究对所有模拟区域均关闭了积云方案。
图2 WRF模式嵌套区域范围及海拔分布(a, 单位: m), 南宁市海拔(单位: m)及2000年(b)和2020年(c) do3区域城市地表分布

图(c)中d04区域为南宁主城区

Fig.2 Nested region coordinates range and altitude distribution of the WRF model (a, unit: m), altitude distribution (unit: m) and urban ground at Nanning City in d03 area in 2000 (b) and 2020 (c).In Fig.(c), d04 area is the urban area of Nanning

研究设计了三组试验作敏感性分析: (1)Old试验: 使用2000年MODIS的下垫面土地利用信息, 关闭UCM; (2)New试验: 土地利用信息更换为2020年, 关闭UCM; (3)UCM试验: 下垫面同New试验, 开启UCM。由图2(b)~(c)所示, 南宁市区土地利用类型为城市的面积2020年相比2000年扩张了52%, 且以城市中心(22.8°N、 108.3°E)向南和向东扩张为主, 两个方向上的面积分别较2000年扩张了177%、 70%。市区东北部海拔超过1000 m的地区为大明山, 最高峰达1785 m。
文中涉及的地图是基于中华人民共和国自然资源部地图技术审查中心标准地图服务系统下载的审图号为[GS(2022)1061 号]的中国地图制作, 底图无修改。

3 数值试验结果

3.1 模拟的降水

由2022年5月12日03:00 -09:00累计雨量模拟结果[图3(a)~(c)]可见, 三个试验的强降水落区整体较为一致, 但是局部的降水量级存在差异, 其中UCM试验模拟的城区的降水量最大且与实况最为接近, Old和New试验分别表现为城区西部和南部的降水量较实况偏小。由各试验之间的雨量差值分布可见, 相比Old试验, New试验使得距离城区10~20 km的下风区的降水增加10%、 城区南部降水减少25%[图3(f)], UCM试验使得城区中部至距离城区20 km以内的下风区的降水增加10%~30%、 城区南部降水减少约15%[图3(d)]; 采用UCM方案后城区中部和南部的降水增加10%~20%[图3(e)]。
图3 各组试验方案模拟得到的5月12日03:00 -09:00累计降雨量和差值(单位: mm)

(a)Old, (b)New, (c)UCM, (d)UCM与Old相减, (e)UCM与New相减, (f)New与Old相减; 五角星的位置为南宁城区中心22.8°N, 108.3°E

Fig.3 Accumulated precipitation and difference from 03:00 to 09:00 on May 12th (unit: mm)(a) Old; (b) New; (c) UCM; (d) UCM.minus.Old; (e) UCM.minus.New; (f) New.minus.Old.The location of the star is the center of Nanning urban, 22.8°N, 108.3°E

由南宁市区(主城区和郊区)降水率演变可见, 三个试验模拟的降水率峰值的出现时间均较实况偏晚2 h, 峰值偏低10%~13%[图4(a)]; 试验之间的差异主要在降水过程的增强阶段(12日02:00 -05:00), 平均降水率UCM>Old>New, 强降水(降水率≥8 mm·h-1)持续时间UCM试验最长、 New试验最短, 这使得UCM试验累计雨量较实况偏多4%, New试验偏少6%, Old试验与实况基本持平[图4(d)]。对于主城区, 降水率峰值上UCM试验相比Old和New试验分别偏高14%和17%, 但仍较实况偏低16%; 强降水持续时间UCM试验较实况偏多1 h, New和Old试验则基本持平, 这使得前者累计雨量较实况偏多4%, 后两者分别偏少11%和6%[图4(b), (e)]。对于郊区, UCM和New试验的降水率峰值较实况偏高15%, 累计雨量偏多4%; Old试验的降水率峰值与实况基本持平, 但强降水持续时间偏多2 h, 使得累计雨量较实况偏多7%[图4(c), (f)]。
图4 5月11日17:00至12日12:00南宁城市降水强度(a~c)和累计降水(d~f)演变

(a, d)主城区和郊区, (b, e)主城区(d04), (c, f)郊区

Fig.4 The evolution of precipitation rate (a~c) and accumulated precipitation (d~f) in Nanning city from 11:00 on May 11th to 11:00 on May 12th.(a, d) Urban and suburban, (b, e) Urban (d04 area), (c, f) Suburban

尽管Old试验模拟的南宁市区累计雨量与实况相近, 但是在分布上主城区偏少、 郊区偏多, 并且降水率峰值偏低、 出现时间偏晚; New试验的降水演变与Old相似, 但是主城区的降水明显偏少(表1); 相比之下, 耦合城市冠层模型的UCM试验能更准确地模拟出城市热力学和动力学特征, 充分考虑到城市复杂下垫面及城市冠层对模拟结果的影响, 从而更好地反映出降水过程发展阶段主城区的降水演变, 表现在降水峰值增加、 强降水出现时间提前、 降水量主城区多于郊区, 与实况观测吻合。由此可见, 城市土地扩张会对城郊降水的时空分布产生一定影响, 一方面造成主城区及下风区的强降水出现时间提前、 降水量增加, 但增幅低于国内超大型城市(Yu and Liu, 2015Liao et al, 2011), 另一方面还造成南部郊区及上风区的降水减少。
表1 各组试验方案模拟的51117:001212:00的南宁城市降水峰值和累计雨量与实况观测对比

Table 1 The comparison of the precipitation peaks and cumulative rainfall simulated by each experimental scheme with observations in Nanning City from May 1117:00 to May 1212:00

区域 Old试验 New试验 UCM试验
降水峰值 市区 -13% -10% -12%
主城区 -27% -29% -16%
郊区 -1% +15% +15%
累计雨量 市区 +1% -6% +4%
主城区 -6% -11% +4%
郊区 +7% +4% +4%

“+”表示模拟结果多于观测; “-”表示模拟结果少于观测 ("+" means that the simulation results are more than the observations; "-" indicates that the simulation result is less than the observation)

3.2 模拟的对流降水回波

各试验中, UCM试验模拟的对流性降水回波(组合反射率>30 dBZ)在形成时间、 位置以及移动方向上均与雷达探测结果最为接近。由模拟的组合反射率和10 m风场可见, 降水增强阶段(12日02:00 -05:00), 南宁市区及西部的对流云团不断触发, UCM影响城区的对流单体数量最多; 强降雨时段(12日05:00 -08:00), 城区西部的对流回波不断新生增强并随着低涡系统自西向东影响城区, 其中Old和UCM对流性降水的范围较大, 且后者影响城区的强回波(>45 dBZ)较多[图5(i), (j)]; New前期影响城区的对流回波范围偏小、 位置偏北, 强回波单体数量较少, 后期逐渐增多增强[图5(c), (f)]。
图5 5月12日05:00和08:00组合反射率(单位: dBZ)和10 m风场(单位: m·s-1), 以及组合反射率与u、 w×5合成风(单位: m·s-1)通过南宁城区中心(22.8°N, 108.3°E)的垂直剖面

(a~d)Old, (e~h)New, (i~l)UCM

Fig.5 The combined reflectivity (unit: dBZ) and 10 m wind field (unit: m·s-1) at 05:00 and 08:00 on May 12th, vertical profile of the combined reflectivity and u, w×5 synthetic wind (unit: m·s-1) passing through (22.8°N, 108.3°E).(a~d) Old, (e~h) New, (i~l) UCM

结合各试验模拟的经过城区中心的降水回波的纬向剖面可见, 强回波影响城区时, 三个试验的强回波延伸高度均达4 km, 其中New和UCM伴随的局地环流范围更大, 且后者的垂直上升运动持续时间更长、 范围更广[图5(k), (l)], 有利于暴雨云团的组织发展, 使得强降水影响城区的时间增加, 导致降水增加。

3.3 城市地表热量的垂直输送

城市化引起天气与气候效应的一个关键机制是城市扩张引起的地表特征改变, 影响了城市冠层中地表能量平衡过程:
R n + Q F = Q A + L H + H F X + G F X
式中: R n表示净辐射通量; Q F表示人为热通量; Q A为热量平流部分; LHHFXGFX分别表示潜热、 感热和地表土壤热通量。由于模式中未考虑热量的平流部分, 并且研究区域内的人为热通量难以估算, 因此本文首先通过对比各试验之间感热、 潜热及地表土壤热通量变化, 进行城市化效应机制分析。
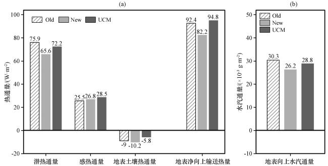
图6所示, New相比Old试验, 潜热减少10.3 W·m-2、 感热增加1.3 W·m-2、 地表土壤热通量减少1.2 W·m-2, 三者之和的地表净向上输送热量减少10.2 W·m-2, 这一方面是由于不透水的城市地表扩张使得原来的植被面积减少, 导致地表水汽蒸发和植被蒸腾减少, 造成城区地表向上的潜热和水汽通量降低; 另一方面, 由于城市下垫面热容量小, 城市结构和建筑群对辐射及人为热的吸收和存储, 使得城区的感热通量增加, 但是潜热通量的减少更多, 使得地表净向上输送热量减少。UCM相比New试验, 感热和地表土壤热通量明显增加, 这导致地面气温升高, 城市热效应引起的增温减压使得水汽在城区的辐合增强, 与降水增强导致的地表蒸发量加大促使水汽和潜热通量均增加了10%, 地表净向上输送热量相比New和Old试验分别增加15.3%和2.5%。
图6 5月11日10:00至12日10:00南宁城区的热通量(a)和地表向上水汽通量(b)的对比

Fig.6 Comparison of heat flux (a) and upward moisture flux at the surface (b) in Nanning urban from 10:00 on May 11th to 10:00 on May 12th

结合降水率演变可知, 尽管UCM相比Old试验的潜热和水汽通量减少, 但是感热和地表土壤热通量增加更多, 仍有利于城区对流云团的发展和维持, 引起强降水出现时间提前、 雨强增大; 此外, 降雨加湿和水汽再蒸发作用增加使得降水过程中后期水汽和潜热通量增加, 造成降水持续时间增长(表1)。整体上, 城市扩张减少了地表蒸发及相应局部大气水分的供给, 水汽和潜热通量的减少会引起城区降水减弱, 但是感热和地表土壤热通量的增加又有利于降水增强, 各试验的地表净向上输送热量的变化与城区降水量的增减有一定的相关性。

3.4 边界层大气

城市土地扩张造成的地表收支能量差异改变了城市边界层中温度及水汽等要素的分布, 容易形成城市热岛(Urban heat island, UHI)效应, 从而影响云和降水过程。模拟结果显示, UCM试验由于感热和地表土壤热通量的明显增加, 使得模拟的城区地面气温偏高、 比湿和水平风速偏小, 但是城区西南部与郊区交界的比湿仍较高。UCM试验的UHI为1.1 ℃, 与实况观测较为接近, 表现出热岛效应(林奕桐等, 2022), New和Old试验表现不明显。
降水前期(11日14:00 -20:00), 由于地面气流弱且城市地表粗糙度较大, New和UCM试验中气流在经过城市时出现较为明显的减速, 使风场呈现辐合[图7(a), (c)]。降水发展阶段(11日20:00至12日02:00), 随着地面气流加强, 城市动力作用的影响加大, 并主要表现为密集建筑的阻挡促使气流在城区及东北部的上风区分叉, 风场呈现辐散, 这不利于对流云团的发展; 分叉后的气流在地势相对较低的城区西部和南部的下风区辐合[图7(d), (f)], 有利于下风区对流性降水的触发(Dou et al, 2015), 同时城市增温降压又促使周边郊区的气流向城市中心辐合, 有利于城区降水的发展[图7(e)]。此外, 城市摩擦和拖曳作用还会降低对流云团的移动速度, 使得强降水持续时间延长, 导致城市降水增加(岳彩军等, 2019)。
图7 10 m平均风场差异(单位: m·s-1)降水前期(a~c)和降水发展阶段(d~f)

(a, d)UCM与Old相减, (b, e)UCM与New相减, (c, f)New与Old相减

Fig.7 Average wind field at 10 meters (unit: m·s-1) during the early stage (a~c) and the development stage (d~f) of rainfall periods.(a, d) UCM minus Old, (b, e) UCM minus New; (c, f) New minus Old

城市土地扩张使得城市地表摩擦和密集建筑的阻挡作用增加, 这改变了近地面水平风散度场, 并对城区上下游地区的降水分布产生影响。由图8所示, 在城市下风区, 降水期间(11日23:00至12日09:00), 三个试验的0~2 km边界层大气的水平风为辐合, 其特征对应了10 m风场差异[图7(d)~(f)]; 降水趋于结束时, 水平风在边界层底部辐合、 顶部辐散。相反在城市上风区, 降水期间0~800 m大气水平散度为辐散, 800 m以上为辐合, 这主要是由于城市建筑阻挡造成水平风“绕流”辐散, 边界层上部无阻挡则仍以辐合为主。对于城区, 大气散度特征与上风区相似, 但是800 m以下的辐散表现不明显, 这可能是由于“绕流”辐散主要在城区外侧, 城区中部主要以城市地表摩擦和城市热岛引起的气流辐合为主。
图8 5月11日21:00至12日12:00南宁城市(a~c)下风区、 (d~f)主城区、 (g~i)上风区的水平风速平均散度时空变化(单位: ×10-5 s-1

(a, d, g) Old, (b, e, h) New, (c, f, i) UCM

Fig.8 The average divergence of horizontal wind speed (unit: ×10-5 s-1) in the downwind (a~c), urban (d~f), and upwind (g~i) of Nanning city from 21:00 on May 11th to 12:00 on May 12th.(a, d, g) Old, (b, e, h) New, (c, f, i) UCM

整体上, 近地面气流经过高粗糙度的城市区域时会发生“绕流”和减速, 在城市上风区及城区外侧分流辐散, 并在城市中部和下风区辐合产生上升运动, 城市土地扩张使得这种特征表现得更加明显, 这有利于降水系统在城区中部至下风区形成和发展, 造成降水增幅[图3(d)~(f)]。另一方面, 南下的地面气流受到大明山地形阻挡, 一部分气流在山前减速、 越山后加速, 增强了上风区的水平辐散, 另一部分气流在山区两侧“绕流”后与经过南宁城区的东北气流汇合(图5), 进一步增强了下风区的水平辐合及抬升运动, 促进对流降水云团的发展。
图9所示, 南宁城区0~1.5 km的平均垂直速度比较: Old(1.53 cm·s-1)<New(1.56 cm·s-1)<UCM(1.87 cm·s-1), 其中, New和UCM试验距离地面100 m处的垂直速度相比Old试验增长近50%, 且后者随高度仍有明显的增幅。这一方面是城市化引起的热岛效应和城郊热力差异造成的温度梯度使上升气流加强(郑祚芳和张秀丽, 2009), 另一方面城市中局地环流的发展可使得上升气流加强延展至边界层顶。可见, 城市土地扩张引起的热岛效应和 “绕流”动力作用分别造成城区和下风区垂直运动增强, 这有利于对流性降雨的形成和发展。
图9 5月11日14:00至12日02:00南宁主城区边界层垂直速度对比

Fig.9 Comparison of vertical velocity in the boundary layer of Nanning urban from 14:00 on May 11th to 02:00 on May 12th

3.5 能量条件

城市土地扩张造成的边界层大气温湿差异影响了对流有效位能(CAPE)的城郊分布, 结果表明, CAPE与降水的城郊分布变化有较好的对应。南宁城市土地的向东向南扩张主要造成城区东部和南部CAPE减小约300 J·kg-1图10(a), (c)], 这与Zhang et al(2009)指出城市扩张导致地表水汽蒸发减少, 使得潜热释放减少并造成CAPE降低的结论相似。CAPE降低抑制了大气垂直上升运动和深对流的发展, 使得相应地区降水减弱[图3(d), (f)], 而UCM相比New试验, 由于感热和潜热通量增加(图6)以及水汽在城区及下风区辐合加强[图7(e)], 又使得城区中部和西部CAPE增加了200~300 J·kg-1图10(b)], 国内研究指出14:00 - 20:00的CAPE值的增加有利于夜间地形暴雨的形成(赵玉春等, 2012), 因此在降水发展阶段, UCM试验城区及下风区的对流云团表现更活跃[图5(i)], 有利于降水增幅[图3(e)]。
图10 5月11日14:00 -22:00对流有效位能(单位: J·kg-1

(a) UCM与Old相减, (b) UCM与New相减, (c) New与Old相减

Fig.10 Convective available potential energy (unit: J·kg-1) from 14:00 to 22:00 on May 11th.(a) UCM minus Old; (b) UCM minus New; (c) New minus Old

对流性稳定度指数(I c)为500 hPa和850 hPa假相当位温之差, I c负值表明大气对流不稳定, 有利于暴雨形成。结果显示, 各试验城区的I c平均值相差不大, 降水前期I c明显下降, 对流性不稳定度加大, 降水临近前1~2 h, I c下降至-9~-8 ℃, 降水期间I c上升, 表明大气趋于对流性稳定[图11(a)]。在城郊对比中, 随着降水临近(11日20:00至12日00:00), I c的城郊差值增加至1~2 ℃, 表明城区相比郊区的对流性不稳定度更大; Old、 New和UCM试验I c差异的平均值分别为-0.2、 -0.5、 -0.6 ℃[图11(b)], 其差异主要是由于郊区的I c增加所致, 说明城市土地扩张可能更多地影响了郊区的大气不稳定度, 其变化分布特征与CAPE相似[图10(a)], 即城区以东和以南的郊区对流稳定度增加, 不利于降水的发展。
图11 5月11日08:00至12日08:00的对流稳定度指数(Ic, 单位: ℃)

(a)时间序列(d04区域); (b)城区与郊区相减(圆圈代表平均值; 阴影部分为降雨时段)

Fig.11 Convection stability index from 08:00 on May 11th to 08:00 on May 12th.(Ic, unit: ℃).(a) Time series (d04 area); (b) Urban minus Suburban (circles represent the average value, and shaded represent rainfall periods)

3.6 低涡-降水-凝结潜热的正反馈

国内有研究指出, 西南低涡的发展与正涡度平流、 低空辐合以及非绝热加热过程有关(邓承之等, 2021), 而降雨引起的对流层中层凝结潜热加热是低层中尺度低涡发展增强的重要原因之一(孔期等, 2022)。由图12可见, 强降雨时段(12日05:00 -09:00), 城市及附近地区的凝结潜热加热都主要集中在925~700 hPa, 其中, 城市土地扩张(UCM试验)引起的边界层气象要素变化使得地面至700 hPa附近的凝结潜热加热在城区及下风区增加、 上风区减小, 潜热加热的增减引起了大气低层位势涡度出现相应变化(图略), 边界层顶出现更强的水平风辐合[图8(f)]。降水导致凝结潜热的释放对低涡的增强有正反馈作用(覃皓等, 2024a, 2024b), 当低涡东移靠近城区时, “绕流”作用引起的低空辐合抬升造成的下风区降水增强, 导致对流层凝结潜热加热增加[图12(a)], 这促使低涡中心附近形成更深厚的上升运动, 从而释放出更多的潜热以加强低空正涡度区, 有利于低涡的发展或维持以及降雨云团的组织增强, 形成正反馈机制(许威杰和张耀存, 2017); 随着雨区东移, 城区上空凝结潜热的增加有利于低涡及对流云团强度的维持, 这抵消了一部分由于CAPE减少而导致的降水减弱, 使得处于低涡移动方向上的城区东部的降水也略有增加[图3(e)]。
图12 5月12日05:00 -09:00不同试验的凝结潜热加热垂直分布对比(单位: ×10-3 J·kg-1·h-1

(a)下风区, (b)城区, (c)上风区

Fig.12 Vertical profile of latent heating in different tests from 05:00 to 09:00 on May 12th (unit: ×10-3 J·kg-1·h-1).(a) Downwind, (b) Urban, (c) Upwind

3.7 云物理过程

城市热力环流将混合层中的湿空气向上输送, 导致边界层顶水汽饱和并凝结成云, 同时相变过程中释放的潜热进一歩影响了云内的微物理过程。由图13所示, 液态(云水、 雨水)和冰相粒子(冰晶、 雪、 霰)的垂直分布与降水回波特征一致, 液态水大值区与强回波中心区对应。在强回波区, 冰相和液态水成物含量较高且在0 ℃层高度附近混合, 说明空气垂直运动增强, 更多液态水被输送至0 ℃层以上, 导致过冷水含量增多, 有利于冰相粒子及暖云(温度高于0 ℃的云体)降水过程的发展(周文昊等, 2020)。强回波前方高空气流的下传有利于冰相粒子向液态水的转换, 形成冰相粒子低值区。
图13 5月12日05:00组合反射率(单位: dBZ)、 u、 w×10合成风(单位: m·s-1)、 液态与冰相粒子混合比(单位: g·kg-1; 白线表示液相物, 蓝线表示冰相物, 黑线为0 ℃层高度)通过(22.8°N, 108.3°E)的垂直剖面

(a)Old, (b)New, (c)UCM

Fig.13 Vertical profiles of combined reflectivity (unit: dBZ), u, w×10 synthetic wind (unit: m·s-1), liquid and ice phase particle mixing ratio (unit: g·kg-1; white line represents liquid phase material, blue line represents ice phase material, black line is the height of the 0 ℃ layer) passing through (22.8°N, 108.3°E) at 05:00 on May 12th.(a) Old, (b) New, (c) UCM

结合各水成物粒子混合比演变(图14)可见, 降水过程发展阶段, 三个试验的液态水逐渐增长, 水汽主要转化成云水, 雨水和冰相粒子混合比的波峰与城区降水峰值对应, 云水则提前0.5~1 h。相比Old, New试验由于城市近地面水汽和能量减少, 导致降水发展阶段云水、 雨水含量减少, 造成降水偏弱, 降水中后期随着低层水汽抬升辐合增强, 云雨水与冰粒子含量增加并且转化加速, 促使降水逐渐增强; UCM试验更多的水汽和能量使得云水和雨水增加, 并且降水与低涡正反馈作用引起的更深厚的垂直运动促使过冷水含量增多, 有利于暖云降水发展, 造成降水增幅。随着云雨水被强的垂直上升气流持续输送到高空向冰相转化, 冰相粒子迅速增加, 整层水汽趋于饱和, 同时局地环流又促进冰相与雨水的转化, 增强了降水对流性并形成暴雨天气。
图14 5月11日17:00至12日12:00市区上空各水成物粒子平均混合比演变

(a)云水, (b)雨水, (c)冰相粒子

Fig.14 The average mixing ratio evolution of various water-based particles over the urban and suburban from 17:00 on May 11th to 12:00 on May 12th.(a) cloud water, (b) rain water, (c) ice particles

可见, 城市土地扩张引起了城区和上游地区更强的水汽辐合及垂直运动, 使得云中液态水含量增加约18%, 在配合低涡辐合场作用下, 更多的降水粒子通过碰并增长成大雨滴(陈梓桐和李昀英, 2022), 促进了暖云降水的发展, 同时湍流混合的增强使得冰相与雨水加速转化, 剧烈的云微物理过程有利于降水效率的提高, 从而造成降水增幅。

4 讨论

综上分析, 南宁城市土地扩张对本次低涡型强降水事件的影响由多种因素协同控制(图15): 一方面城市地表摩擦和感热增加, 以及城市地表和大明山地形的“绕流”作用增强了城区至下风区的低空辐合抬升运动, 这促进了云中液态水含量增加及暖云降水发展, 使得降水效率提高, 热力和动力条件的改变造成城区中部和下风区的强降水出现时间提前、 雨强增大; 另一方面潜热释放和CAPE减少抑制了深对流的发展, 水汽和能量条件改变共同造成城区南部的降水减弱。
图15 南宁城市土地扩张对低涡型强降水事件影响的概念模型

Fig.15 Conceptual model of the impact of urban land expansion in Nanning to a Low-Vortex-Induced heavy rainfall event

此次强降水过程的雨区主要随着低涡中心向东移动, 南宁市区位于低涡前部, 这使得城市土地扩张引起的热力和动力作用变化以及特殊地形对本地降水的影响更大。随着低涡的靠近, 暖湿气流输送和大气层结不稳定性的增强, 配合较好的辐合抬升机制, 以及降水增强引起的凝结潜热加热增加对低涡发展的正反馈作用, 共同驱动城区至下风区(降水上游)对流云团新生发展, 并且城市局地环流的影响又有利于对流云团在前进过程中强度维持, 从而造成城区及下风区降水增加; 相反, 不稳定能量(CAPE)降低, 低空辐散和水汽输送不足抑制了对流运动, 引起降水云团衰减并分别造成城区南部及上风区降水减少。
城市化对城郊降水分布的影响有赖于城市热岛强度, 地面和引导层气流, 降水系统类型和移动方向, 以及周边地形等多种因素的相互配合。本次研究显示, 城市土地扩张引起南宁城区及下风区的降水量增加量低于广州(44.7%)和北京(30%)(Yu and Liu, 2015Liao et al, 2011), 可能是由于南宁城市化的水平与国内的特大城市相比仍然偏低。有研究指出, 南宁城市化导致的城区降水增强以大尺度降水贡献为主(Xiao et al, 2020), 因此要得到具有普遍意义的结论需要对更多类型的强降水个例进行敏感性试验。

5 结论

本研究利用耦合城市冠层模型的WRF-UCM, 对2022年5月影响南宁市的一次低涡型强降水过程进行了模拟, 结果表明, 在丘陵盆地地形背景下, 城市土地扩张引起的地表特征改变导致城市的热动力、 水汽和能量条件出现变化, 这影响了城郊降水的时空分布。得到以下主要结论:
(1) 更新城市下垫面信息并耦合城市冠层模型的试验, 能更准确地模拟出降水过程发展阶段主城区的降水演变, 反映出低涡系统东移影响下, 城市土地扩张造成南宁主城区至下风区20 km处的强降水出现时间提前1~2 h、 降水量增加10%~30%, 与实况最吻合。未耦合城市冠层模型的试验模拟的主城区降水量偏少、 郊区偏多, 并且强降水出现时间偏晚。
(2) 城市土地扩张引起的地表蒸发及局部大气水分供给减少使得城区的水汽和潜热通量降低, 尤其导致城区东部和南部的CAPE减少和大气对流性稳定度增加, 这抑制了深对流发展, 造成降水减弱; 但是城区感热和地表土壤热通量增加造成的城市热岛效应及其引起的水汽在城区辐合加强, 由降水增强导致的地表水汽再蒸发, 以及对流层凝结潜热释放增加与低涡发展的正反馈作用, 共同驱动对流云团发展并使得城区的强降水出现时间提前、 强度增强。
(3) 城市土地扩张导致阻挡作用增加, 使得地面气流在经过城区时的“绕流”现象更明显, 城市内部气流摩擦减速以及下风区气流“绕流”辐合抬升的增强有利于对流的发展, 造成降水增幅, 城市上风区气流的辐散则会引起降水减弱; 随着低涡系统移近, 地面气流的增强使得大明山山区地形的“绕流”作用更加明显, 这进一步增强了城市下风区的气流辐合抬升运动, 促进对流性降水的增长。
(4) 城市土地扩张引起的热岛效应有利于城市大气低层湍流运动和局地环流的发展, 一方面强的垂直上升运动促进了热量和水汽的辐合及向上输送, 造成大气不稳定能量增长, 同时混合层中湿空气上传使得云水、 雨水和过冷水含量增加, 有利于暖云降水过程的发展, 导致对流云团频繁触发并造成城区及上游地区降水的增幅; 另一方面局地环流加强了水汽和热量的垂直混合, 促使冰相粒子与雨水的加速转化, 整层水汽趋向饱和, 从而有利于暴雨的形成和维持。
Dou J Wang Y Bornstein R, et al, 2015.Observed spatial characteristics of Beijing urban climate impacts on summer thunderstorms[J].Journal of Applied Meteorology & Climatology54(1): 94-105.DOI: 10.1175/JAMC-D-13-0355.1 .

Feng J M Wang J Yan Z W2014.Impact of anthropogenic heat release on regional climate in three vast urban agglomerations in China[J].Advances Atmospheres Sciences31(2): 363-373.DOI: 10.1007/s00376-013-3041-z .

Georgescu M Mahalov A Moustaoui M2012.Seasonal hydroclimatic impacts of Sun Corridor expansion[J].Environmental Research Letters7(3): 34026-34034.DOI: 10.1088/1748-9326/7/3/034026 .

Liao J B Wang X M Li Y X, et al, 2011.An analysis study of the impacts of urbanization on precipitation in Guangzhou[J].Journal of Meteorological Sciences, 31: 384-390.DOI: 10.1007/s00376-010-1000-5 .

Sun J Na H E Wang G, et al, 2012.Preliminary analysis on synoptic configuration evolvement and mechanism of a torrential rain occurring in Beijing on 21 July 2012[J].Torrential Rain & Disasters31(3): 218-225.DOI: CNKI: SUN: HBQX.0.2012-03-003 .

Trier S B Chen F Manning K W, et al, 2008.Sensitivity of the PBL and precipitation in 12‐day simulations of warm‐season convection using different land surface models and soil wetness conditions[J].Monthly Weather Review136(7): 2321-2343.DOI: 10.1175/2007MWR2289.1 .

Wang C C Zhai P M2009.Changes of precipitation extremes in China's large cities[J].Climatic and Environmental Research14(5): 553-560.DOI: 10.3878/j.issn.1006-9585.2009.05.11 .

Wang J Feng J Yan Z, et al, 2012.Nested high-resolution modeling of the impact of urbanization on regional climate in three vast urban agglomerations in China[J].Journal of Geophysical Research: Atmospheres, 117(D21).DOI: 10.1029/2012jd018226 .

Wu K Yang X Q2013.Urbanization and heterogeneous surface warming in eastern China[J].Chinese Science Bulletin58(12): 1363-1373.DOI: 10.1007/s11434-012-5627-8 .

Xiao Z Wang Z Huang M, et al, 2020.Urbanization in an underdeveloped City-Nanning, China and its impact on a heavy rainfall event in July[J].Earth and Space Science7(4): e2019EA000991.DOI: 10.1029/2019EA000991 .

Yin J Zhang D L Luo Y, et al, 2020.On the Extreme Rainfall Event of 7 May 2017 Over the coastal city of Guangzhou.Part I: impacts of urbanization and orography[J].Monthly Weather Review148(3): 955.DOI: 10.1175/MWR-D-19-0212.1 .

Yu M Liu Y M2015.The possible impact of urbanization on a heavy rainfall event in Beijing[J].Journal of Geophysical Research.Atmospheres120(16): 8132-8143.DOI: 10.1002/2015JD023336 .

Zhang C L Chen F Miao S G, et al, 2009.Impacts of urban expansion and future green planting on summer precipitation in the Beijing metropolitan area[J].Journal of Geophysical Research Atmospheres114(D2): D02116.DOI: 10.1029/2008JD010328 .

陈梓桐, 李昀英, 2022.基于云雷达和降水雷达资料的一次典型暖云降水成因及粒子类型演变[J].大气科学学报45(1): 87-98.DOI: 10.13878/j.cnki.dqkxxb.20210819001.Chen Z T

Li Y Y2022.Formation and hydrometeor type evolution of a typical warm precipitation based on cloud radar and precipitation radar data[J].Transactions of Atmospheric Sciences45(1): 87-98.DOI: 10.13878/j.cnki.dqkxxb.20210819001 .

邓承之, 赵宇, 孔凡铀, 等.2021.“6·30”川渝特大暴雨过程中西南低涡发展机制模拟分析[J].高原气象40(1): 85-97.DOI: 10.7522/j.issn.1000-0534.2019.00106.Deng C Z

Zhao Y Kong F Y, et al, 2021.A numerical simulation study of the southwest vortex mechanism during the "6·30" heavy rain event in Sichuan and Chongqing[J].Plateau Meteorology.40(1): 85-97.DOI: 10.7522/j.issn.1000-0534.2019.00106 .

孔期, 符娇兰, 谌芸, 等, 2022.河南“21·7”特大暴雨过程中尺度低空急流和低涡的演变特征及成因分析[J].气象48(12): 1512-1524.DOI: 10.7519/j.issn.1000-0526.2022.101001.Kong Q

Fu J L Chen Y, et al, 2022.Evolution characteristics and formation analysis of mesoscale low-level jet and vortex in Henan Province during the July 2021 severe torrential rain[J].Meteorological Monthly48(12): 1512-1524.DOI: 10.7519/j.issn.1000-0526.2022.101001 .

李聪元, 杨帆, 张宁, 2018.不同城市冠层模式对城市地表能量平衡模拟能力的检验[J].南京大学学报(自然科学)54(3): 637-654.DOI: 10.13232/j.cnki.jnju.2018.03.020.Li C Y

Yang F Zhang N2018.The validation on the simulation performance of different urban canopy models for urban surface energy balance[J].Journal of Nanjing University (Natural Science)54(3): 637-654.DOI: 10.13232/j.cnki.jnju.2018.03.020 .

李炬, 窦军霞, 2014.北京城市气象观测试验进展[J].气象科技进展4(1): 36-45.DOI: 10.3969/j.issn.2095-1973.2014.01.005.Li J

Dou J X2014.Progress in urban meteorological experiments in Beijing[J].Advances in Meteorological Science and Technology4(1): 36-45.DOI: 10.3969/j.issn.2095-1973.2014.01.005 .

梁岱云, 张丁丁, 苏兆达, 等, 2022.南宁市极端暴雨气候背景及天气学分型初探[J].气象研究与应用43(4): 66-71.DOI: 10.19849/j.cnki.CN45-1356/P.2022.4.11.Liang D Y

Zhang D D Su Z D, et al, 2022.Preliminary study on climatic background and weather classification of extreme rainstorm in Nanning city[J].Journal of Meteorological Research and Application43(4): 66-71.DOI: 10.19849/j.cnki.CN45-1356/P.2022.4.11 .

林奕桐, 汤耀国, 叶骏菲, 等, 2022.基于生态环境决策的城区规划设计研究-以南宁市五象新区为例[J].气象研究与应用43(3): 38-44.DOI: 10.19849/j.cnki.CN45-1356/P.2022.3.07.Lin Y T

Tang Y G Ye J F, et al, 2022.Research on urban olanning and design based on ecological environment decision-A case study of Wuxiang New Area in Nanning[J].Journal of Meteorological Research and Application43(3): 38-44.DOI: 10.19849/j.cnki.CN45-1356/P.2022.3.07 .

刘国忠, 丁治英, 贾显锋, 等, 2007.影响华南地区西南低涡及致洪低涡活动的统计研究[J].气象33(1): 45-50.DOI: 10.7519/j.issn.1000-0526.2007.01.007.Liu G Z

Ding Z Y Jia X F, et al, 2007.The Statistical Research on Activity of Southwest Vortex and Flood producing Vortex Influencing South China[J].Meteorological Monthly33(1): 45-50.DOI: 10.7519/j.issn.1000-0526.2007.01.007 .

陆婷婷, 崔晓鹏, 2022.2016年北京“7·20”特大暴雨降水物理过程模拟诊断研究[J].大气科学46(2): 359-379.DOI: 10.3878/j.issn.1006-9895.2104.20232.Lu T T

Cui X P2022.Simulation and diagnosis of the physical process of the “7·20 heavy rainfall in Beijing in 2016[J].Chinese Journal of Atmospheric Sciences46(2): 359-379.DOI: 10.3878/j.issn.1006-9895.2104.20232 .

马敏劲, 杨屹, 苏雨萌, 2020.基于兰州市城市冠层模式的一次降水过程的数值模拟[J].兰州大学学报(自然科学版)56(5): 650-658.DOI: 10.13885/j.issn.0455-2059.2020.05.012.Ma M J

Yang Y Su Y M2020.Numerical simulation of a precipitation process in Lanzhou based on the urban canopy model[J].Journal of Lanzhou University (Natural Sciences)56(5): 650-658.DOI: 10.13885/j.issn.0455-2059.2020.05.012 .

蒙伟光, 李昊睿, 张艳霞, 等, 2012.珠三角城市环境对对流降水影响的模拟研究[J].大气科学36(5): 1063-1076.DOI: 10.3878/j.issn.1006-9895.2012.10205.Meng W G

Li H R Zhang Y X, et al, 2012.A modeling study of the lmpacts of Pearl River Delta urban environment on convective precipitation[J].Chinese Journal of Atmospheric Sciences36(5): 1063-1076.DOI: 10.3878/j.issn.1006-9895.2012.10205 .

苗世光, 蒋维楣, 梁萍, 等, 2020.城市气象研究进展[J].气象学报78(3): 477-499.DOI: 10.11676/qxxb2020.025.Miao S G

Jiang W M Liang P, et al, 2020.Advances in urban meteorology in China[J].Acta Meteorologica Sinica78(3): 477-499.DOI: 10.11676/qxxb2020.025 .

苗世光, 王迎春, 2014.基于用户需求的城市气象研究: 进展与展望[J].气象科技进展4(1): 6-14.DOI: 10.3969/j.issn.2095-1973.2014.01.001.Miao S G

Wang Y C2014.Advances and prospects of urban meteorology research: meeting users' needs[J].Advances in Meteorological Science and Technology4(1): 6-14.DOI: 10.3969/j.issn.2095-1973.2014.01.001 .

覃皓, 王志毅, 郭晓薇, 等 , 2024a.引发广西一次区域性暴雨的低涡发展机制[J].干旱气象42(3): 415-425.DOI: 10.11755/j.issn.1006-7639(2024)-03-0415.Qin H , WangZ Y, GuoX W, et al, 2024a.Development mechanisms of the vortex causing a regional rainstorm in Guangxi[J].Journal of Arid Meteorology, 42(3): 415-425.DOI: 10.11755/j.issn.1006-7639(2024)-03-0415 .

覃皓, 覃月凤, 吴玉霜, 等 , 2024b.大气河背景下的广西暖区暴雨机理初探[J].高原气象43(2): 381-397.DOI: 10.7522/j.issn.1000-0534.2023.00067.Qin H , QinYF, WuYS, et al, 2024b.Study on the mechanism of warm-sector torrential rain in Guangxi under atmospheric rivers background[J].Plateau Meteorology, 43(2): 381-397.DOI: 10.7522/j.issn.1000-0534. 2023.00067 .

许威杰, 张耀存, 2017.凝结潜热加热与对流反馈对一次高原低涡过程影响的数值模拟[J].高原气象36(3): 763-775.DOI: 10.7522/j.issn.1000-0534.2016.00061.Xu W J

Zhang Y C2017.Numerical study on the feedback between latent heating and convection in a Qinghai-Tibetan Plateau vortex[J].Plateau Meteorology36(3): 763-775.DOI: 10.7522/j.issn.1000-0534.2016.00061 .

杨浩, 周文, 汪小康, 等, 2022.“21·7”河南特大暴雨降水特征及极端性分析[J].气象48(5): 571-579.DOI: 10.7519/j.issn. 1000-0526.2021.111201.Yang H , ZhouW, WangXK, et al, 2022.Analysis on extremity and characteristics of the “21·7” severe torrential rain in Henan Province[J].Meteorological Monthly, 48(5): 571-579.DOI: 10.7519/j.issn.1000-0526.2021. 111201 .

岳彩军, 唐玉琪, 顾问, 等, 2019.城市阻碍效应对局地台风降水的影响[J].气象45(11): 1611-1620.DOI: 10.7519/j.issn.1000-0526.2019.11.011.Yue C J

Tang Y Q Gu W, et al, 2019.Study of urban barrier effect on local typhoon precipitation[J].Meteorological Monthly45(11): 1611-1620.DOI: 10.7519/j.issn.1000-0526.2019.11.011 .

赵玉春, 许小峰, 崔春光, 2012.川西高原东坡地形对流暴雨的研究[J].气候与环境研究17(5): 607-616.2012.DOI: 10.3878/j.issn.1006-9585.2011.11056.Zhao Y C

Xu X F Cui C G2012.A study of convective rainstorms along the east slope of western Sichuan Plateau[J].Climatic and Environmental Research17(5): 607-616.DOI: 10.3878/j.issn.1006-9585.2011.11056 .

郑祚芳, 张秀丽, 2009.北京地区一次局地强降水过程的数值分析[J].热带气象学报25(4): 442-448.DOI: 10.3969/j.issn.1004-4965.2009.04.009.Zheng Z F

Zhang X L2009.Numerical simulation and analysis on a local helvy rain in Beijing[J].Journal of Tropical Meteorology25(4): 442-448.DOI: 10.3969/j.issn.1004-4965.2009.04.009 .

周文昊, 陆春松, 高文华, 等, 2020.华南一次暖区暴雨的演变及云微物理机制模拟研究[J].热带气象学报36(6): 805-820.DOI: 10.16032/j.issn.1004-4965.2020.072.Zhou W H

Lu C S Gao W H, et al, 2020.A modeling study of the evolution and microphysical mechanisms of a warm-sector heavy rainfall in south China[J].Journal of Tropical Meteorology36(6): 805-820.DOI: 10.16032/j.issn.1004-4965.2020.072 .

文章导航

/