距平积分订正方法对中国西南复杂地形区域数值天气预报的改进

  • 常俊 , 1, 2, 4, 5 ,
  • 张述文 , 1 ,
  • 任星露 3 ,
  • 冉津江 4, 5
展开
  • 1. 兰州大学大气科学学院,甘肃 兰州 730000
  • 2. 中国气象局成都高原气象研究所,四川 成都 610072
  • 3. 雅安市气象局,四川 雅安 625099
  • 4. 高原与盆地暴雨洪涝灾害四川省重点实验室,四川 成都 610072
  • 5. 四川省气象灾害防御技术中心,四川 成都 610072
张述文(1966 -), 男, 河南固始人, 教授, 主要从事陆气相互作用、 资料同化与强对流天气预报的研究E-mail:

常俊(1986 -), 男, 四川成都人, 高级工程师, 主要从事数值预报和方法研究. E-mail:

收稿日期: 2024-08-31

  修回日期: 2024-12-23

  网络出版日期: 2025-08-04

基金资助

国家自然科学基金项目(42105153)

国家自然科学基金项目(42275088)

中国沙漠气象科学研究基金项目(Sqj2019013)

Improving Numerical Weather Predictions in Southwest China with Complex Terrain Using the Anomaly Integration Correction Method

  • Jun CHANG , 1, 2, 4, 5 ,
  • Shuwen ZHANG , 1 ,
  • Xinglu REN 3 ,
  • Jinjiang RAN 4, 5
Expand
  • 1. College of Atmospheric Sciences,Lanzhou University,Lanzhou 730000,Gansu,China
  • 2. Institute of Plateau Meteorology,China Meteorological Administration,Chengdu 610072,Sichuan,China
  • 3. Ya'an Meteorological Bureau,Ya’an 625099,Sichuan,China
  • 4. Heavy Rain and Drought-Flood Disasters in Plateau and Basin Key Laboratory of Sichuan Province,Chengdu 610072,Sichuan,China
  • 5. Sichuan Province Meteorological Disaster Defense Technology Center,Chengdu 610072,Sichuan,China

Received date: 2024-08-31

  Revised date: 2024-12-23

  Online published: 2025-08-04

Copyright

© Editorial Department of Plateau Meteorology (CC BY-NC-ND)

摘要

利用基于历史资料的模式距平积分预报订正(ANO)方法, 结合欧洲中期天气预报中心第五代(ERA5)全球再分析资料, 对中国西南区域数值天气预报模式系统(简称SWMS)预报产品进行订正试验, 检验了ANO方法对2019年6月20 -25日一次复杂地形条件下灾害性区域暴雨过程气象要素的中短期天气预报订正改进效果。结果发现, SWMS模式在对流层中上层的预报性能较好, 但在中低层随着高度降低预报质量逐渐下降, 经ANO方法订正后各预报变量均有所改进, 前72 h预报500 hPa和700 hPa位势高度场的平均距平相关系数(ACC)提高0.1~0.2, 达到0.8左右, 而850 hPa的位势高度ACC最大提高0.6; 同时, 700 hPa 和850 hPa订正位势高度的均方根误差(RMSE)降低显著, 分别平均降低了24%和66%。温、 湿、 风场的订正效果也显示出很好的正效果, 展示了基于历史资料的ANO方法对我国西南复杂地形区域中短期数值预报的订正能力和提高SWMS模式数值预报技巧的有效性。

本文引用格式

常俊 , 张述文 , 任星露 , 冉津江 . 距平积分订正方法对中国西南复杂地形区域数值天气预报的改进[J]. 高原气象, 2025 , 44(4) : 974 -986 . DOI: 10.7522/j.issn.1000-0534.2024.00116

Abstract

Utilizing the Anomaly Numerical-correction with Observations (ANO) based on historical observation data and anomaly integration, in conjunction with the ERA5 reanalysis data, a rectification test was conducted on the forecasting products of the Southwest Center WRF-ADAS Real-time Modeling System (SWMS in short).This study evaluated the efficiency of the ANO method in enhancing short- to medium-term weather forecasts for meteorological quantities during a catastrophic regional heavy rainfall event over the complex topography from June 20 to 25, 2019.Results revealed that the SWMS model exhibited commendable predictability in the middle and upper troposphere, although its accuracy gradually reduced in the lower layers.After post-processing correction using the ANO method, all the predicted variables showed obvious improvements.The average Anomaly Correlation Coefficient (ACC) for the 500 hPa and 700 hPa geopotential height fields within the 72-hour integration increased by a range of 0.1 to 0.2, reaching approximately 0.8, while the 850 hPa geopotential height ACC showed a maximum enhancement of 0.6.Concurrently, the Root Mean Square Error (RMSE) for the corrected 700 hPa and 850 hPa geopotential heights exhibited significant reductions with an average decrease of 24% and 66%, respectively.The correction outcomes for temperature, specific humidity, and horizontal wind also displayed positive effects, which reveal the efficient correcting performance of the ANO method based on historical observation data in rectifying short- to medium-term numerical forecasts of the SWMS model over complex topography.

1 引言

经过一个多世纪的发展, 数值天气预报模式动力学框架更加精确, 参数化方案更全面、 合理, 观测数据更加密集, 同化技术日趋完善(于海鹏, 2016程锐等, 2024)。此外, 计算机硬件的进步、 大规模计算能力的增强使模式分辨率提高, 有效延长了预报时效, 提高了预报准确性。尽管近年来人工智能和机器学习等技术对天气预报产生了显著影响(黄建平和陈斌, 2024夏侯杰等, 2024), 数值天气预报仍然是天气预报方法中不可替代的有效手段。
但无法回避的是, 无论多么精细的确定性数值天气预报模式都是对真实大气的数学物理近似, 并通过计算机离散计算获得的数值解, 存在系统性误差和随机误差。数值预报系统性误差表征了数值模式平衡态相对于实际气候态的漂移(于海鹏, 2016), 主要来源于初始误差和模式误差。初始误差有观测误差和客观分析误差等, 模式误差主要包括模式物理过程和动力过程描述误差、 数值求解的计算误差和计算机的舍入误差。发展数值天气预报的目的就是为了不断提高预报准确率, 减小预报误差。然而, 无论是初始场, 还是模式动力过程或物理过程的描述, 都只是对实际大气无限复杂过程的近似, 计算方案的改进只能在一定程度上提高其逼近实际过程的能力, 减小模式预报误差, 但并不能完全消除误差。数值模式误差的长期存在, 决定了开展数值预报产品评估订正工作的必要性, 也为发展数值预报的误差订正方法提供了空间(Yu et al, 2019)。
顾震潮(1958a, 1958b)认为数值预报作为初值问题的根本缺陷就是忽略了大量的历史资料, 而历史资料是我们所能获得的对真实大气运动最客观的反映。丑纪范(1974)提出在数值天气预报中使用历史资料来考虑物理场演变的时间连续性问题, 并在2007年从信息论的角度系统总结和分析了在数值预报中使用历史资料的问题(丑纪范, 2007于海鹏, 2016)。Huang et al(1993)Yu et al(2014)利用相似-动力方法来消减模式预报误差, 并开发了对应的相似-动力季节预测模式。任宏利和丑纪范(2005)李维京等(2013)封国林等(2013)分别应用相似-动力方法、 相似性误差订正方法、 动力-统计客观定量化预测方法等进行天气和短期气候预测。这些工作为推动确定性动力数值预报与不确定系统统计方法的结合和发展作出了重要贡献, 同时也将历史资料在数值预报中有效应用。此外, 钱维宏(2012)从观测资料的代表性和可解释性出发, 提出利用大气连续变量物理分解思想进行极端天气以及中期-延伸期预报, 从数学和物理上将观测变量的时空变化统一起来。Peng et al(2013)在此基础上, 提出了利用历史资料的模式距平积分预报订正(Anomaly Numerical-correction with Observations, ANO)方法, 并通过数值模拟订正试验, 证实了ANO方法对全球数值预报结果具有稳定有效的订正能力。常俊等(2015)对高分辨非静力WRF模式的预报结果进行订正试验, 证实ANO方法不仅在高分辨率的环流场数值预报订正试验中有较为显著的效果, 对模式降水也有明显改进。佟铃等(2017)利用ANO方法对我国自主研发的GRAPES全球模式的数值预报结果进行了订正, 结果显示ANO方法对提高该模式10天内数值天气预报技巧具有显著的效果, 并通过与MOS方法对比, 进一步说明了ANO方法具有更便利、 更经济和更好的可操作性, 也具有业务预报应用能力。徐忠峰等(2019)的综述性论文全面介绍了动力-统计方法在区域气候模拟应用和提高动力降尺度模拟质量中的作用。
中国西南地区位于青藏高原东南缘, 地形复杂多变, 高原、 山地、 盆地、 河谷等地形交错, 下垫面条件复杂, 导致该区域气象要素的时空分布极不均匀, 这种复杂的网格尺度和次网格尺度地形条件对数值天气预报模式的动力计算和次网格参数化提出了严峻挑战。复杂地形通过动力和热力作用影响大气环流和局地风、 温、 湿和降水分布, 而目前业务数值预报受模式分辨率和物理参数化方案(Zhao et al, 2024)等的影响, 难以准确刻画复杂地形以及其相关的物理效应, 导致该地区预报误差较大(Zhang et al, 2012Hu et al, 2022肖颖等, 2023), 主要体现在温度预报的冷偏差和暖偏差, 复杂地形导致的温度和湿度垂直分布误差、 局地风系(如山谷风、 坡地风)风向风速变化误差, 以及降水的空报、 漏报、 强度偏差, 局地性降水特征的模拟偏差等。自1984年开始, 成都区域气象中心开展区域数值天气预报工作和数值预报团队建设, 目前已经建立和业务化运行“西南区域数值天气预报模式系统(SWC-WARMS, 简称SWMS)”, 其产品已经成为西南各省业务预报的重要参考之一。本研究就2019年6月中国西南地区的一次典型灾害性区域暴雨过程, 利用ANO方法对SWMS模式预报产品进行订正试验, 研究ANO方法对我国西南区域复杂地形条件下灾害性天气过程环流场的预报订正改进效果, 改善SWMS系统在复杂地形区域的预报质量, 这对提升西南区域的灾害性天气预报预警能力具有实际意义。

2 强降水天气个例和资料

2.1 个例简介

2019年6月20 -25日, 四川东南部、 重庆西南部、 广西北部、 云南东部、 贵州西南部出现强降水, 部分地区降雨量达250~408 mm, 呈现持续性区域暴雨特征, 是典型的复杂地形灾害性天气过程。500 hPa高度场上, 西南地区位于副热带高压边缘, 孟加拉湾低涡为其输送暖湿气流。随着副高西进, 低涡西移减弱, 水汽输送减少。22日08:00(北京时, 下同), 四川东部出现切变, 并东移南压影响重庆等地; 23日08:00, 风场减弱, 但西南地区仍处于多波动的西风气流中, 弱切变有利于上升运动的发展。700 hPa高度场, 四川东部受低涡切变影响且湿度较高; 低涡南压减弱, 维持至22日。随后广西等地受偏南气流影响, 水汽通道畅通, 湿度上升。24日08:00, 受低槽引导, 四川北部开始受北风冷空气侵入, 干冷空气与暖湿气流交汇, 增强层结不稳定性。850 hPa高度场, 广西、 贵州有南风急流, 在川渝交界形成倒槽。随着南风减弱, 倒槽切变南压; 22日08:00影响贵州北部, 23日移至广西北部, 持续影响至25日20:00。
聚焦这次持续性强降水天气过程基本环流场分布, 本研究对SWMS模式20 -22日的72 h预报产品(位势高度、 温度、 水平风场、 比湿)进行订正, 重点考察并分析受地形影响较大的中低层预报变量的预报订正效果, 评估ANO方法对本次强降水过程数值预报产品的订正改进能力, 着重探讨复杂地形区域强降水天气过程的数值预报改进方法。

2.2 数值预报产品资料

SWMS业务模式系统是基于WRF模式和ADAS同化系统构建的西南区域气象中心业务中尺度模式, 其水平方向为兰伯特投影的平面正交网格, 模式区域中心位于(32°N, 100°E), 中短期预报产品水平分辨率为9 km, 水平格点数630×400, 模式垂直层数51层, 模式顶高度30 hPa。模式每天02:00、 08:00、 14:00、 20:00起报四次, 预报时效为72 h。本文收集了2016 -2019年6月20 -22日08:00起报的72 h数值预报等压面产品(包括标准等压面上的位势高度、 温度、 湿度、 风等)进行试验, 其中2016 -2018年资料用于计算预报变量气候态。

2.3 再分析资料

采用欧洲中期天气预报中心(ECMWF)的第五代全球大气再分析数据ERA5作为参考观测数据。由于其同化了大量的地面观测资料、 探空资料、 卫星遥感资料等多源观测, 被认为是目前质量最好的全球格点再分析资料。ERA5再分析资料提供了1940年1月至最近5天前1 h间隔、 水平分辨率0.125°的等压面网格点资料(Hersbach et al, 2019)。本研究中采用了2016 -2018年6月20 -25日等压面位势高度、 温度、 湿度、 风资料作为真实分析场, 计算相关变量真实气候态。
文中涉及的地图是基于中华人民共和国自然资源部地图技术审查中心标准地图服务系统下载的审图号为GS(2016)1600的标准地图制作, 底图无修改。

3 方法和试验方案

3.1  ANO方法

Peng et al(2013)常俊等(2015)描述了ANO 方法的原理。大气状态除了受到内在动力学过程制约, 还受到来自地表的动力、 热力作用以及太阳辐射等外部因素的驱动。因此, 大气运动表现出高度非线性特点。从惯性坐标系的牛顿流体力学出发, 地球大气任意状态变量s随时间变化都受到牛顿第二定律(Navier-Stokes方程)、 热力学第一定律(能量守恒)和质量守恒定律(连续方程)的制约, 这些基本定律构成了确定性数值天气预报模式的基础。然而, 基于这组偏微分方程的大气模式无法准确求解, 只能借助数值方法近似求解。整理后, 变量s的预报方程可写为
s t = L ( s ) + N ( s ) + ε
式中: L ( s ) N ( s )分别表示制约预报变量s变化的线性项和非线性项; ε代表模式误差。预报变量s可以分解为其气候态 s ¯和相对于气候态的天气扰动量S'
S = S ¯ + S '
对方程(1)关于时间求气候平均, 考虑到线性项 L ( s ) ¯ = L ( s ¯ ), 可得:
s ¯ t = L ( s ¯ ) + N ( s ) ¯ + ε ¯
式(3)阐释了模式系统误差的增长机制。 ε = ε ¯ + ε '则表达瞬时误差, 可分解为系统误差和随机误差。如果时间平均的时段足够长, ε ¯即为数值预报的系统误差, 即表达了预报与实际气候场之间的差异, 可利用历史模式预报结果和历史观测资料(或再分析资料)计算得到, 并用来订正预报结果, 消除模式系统误差, 提高预报变量精度。
式(1)和(3)积分可得天气扰动量, 即根据模式的大量历史结果求得模式气候态 S ¯, 从而得到天气扰动量的预报, 剔除模式气候态 S ¯误差的影响。气候态反映了天气学变量的多年平均状态, 即任一时刻的实际天气变量可看作在气候平均场上叠加了一个天气扰动的结果。这种分解的物理意义可理解为, 在不同年份的同一时刻, 太阳高度角相同, 地面和大气获得的辐射能外源强迫也相同。就天气预报而言, s p = s ¯ p + s '是模式预报场, s ¯ p中包含系统误差。另一方面, 基于观测事实, 变量气候态也是一个已知且稳定的背景, 我们可以通过充分挖掘历史资料来准确刻画大气真实气候态 s ¯ a, 并以真实气候态 s ¯ a替换预报气候态 s ¯ p, 最终得到订正的预报量 s p
s p = s ¯ a + s '
基于观测资料求得的 s ¯ a是大气最真实演变的刻画, 用其代替模式气候态 s ¯ p可以消除模式气候态误差, 提高数值预报技巧。这种利用历史观测资料和天气扰动距平积分的方法, 巧妙地利用了历史气候信息的稳定性, 融入数值模式对天气扰动的动力模拟能力, 可在一定程度上消除模式存在的系统性误差, 使预报场 s p更加接近大气真实运动状态。事实上, 预报变量的系统性误差总会出现在每一次数值预报中, 并最终体现在预报变量气候态 s ¯ p中, 用真实 s ¯ a代替预报 s ¯ p可完成预报量的系统误差订正。采用该方法可以为模式提供离线后处理订正, 改善模式气候态的漂移或系统误差, 并不涉及模式运行, 因此不影响模式的积分稳定性。

3.2 订正试验方案

本研究采用ANO方法对SWMS模式预报结果环流场进行离线后处理订正, 首先将2016 -2018年ERA5再分析资料插值到SWMS模式格点上, 然后计算模式格点的ERA5历史分析资料气候态, 再对2016 -2018年同时段的模式预报产品计算得到模式气候态, 最后利用历史分析资料气候态替换模式气候态, 以达到减小SWMS模式系统性误差的目的, 最终在不影响SWMS模式模拟积分的前提下完成ANO方法对于模式预报产品的订正后处理。降水量由于其在空间和时间上的不连续性, 尤其是在西南复杂地形区域, 次网格地形动力和热力作用描述不准确等因素, 降水预报不确定性更大。本文中3年的再分析资料样本太少无法构建出真实的历史降水气候态, 在本次研究过程中我们暂时未对降水量本身进行订正。

4 预报环流场订正

我们选取了SWMS模式20 -22日3天08:00起报的72 h环流预报量(位势高度、 温度、 水平风场、 比湿)进行ANO订正, 重点考察并分析受地形影响较大的中低层环流预报量的订正效果, 以检验和探讨ANO方法对复杂地形区域灾害性天气, 尤其持续性强降水过程的预报订正效果。为了定量评估模式预报产品订正前后的质量水平, 讨论预报变量的水平分布形态和大小差异, 本文引入(17°N - 42°N, 77°E -123°E)区域上计算的距平相关系数(ACC)和均方根误差(RMSE)两个指标, 从环流的型相似(即位相一致性)和值相似(即振幅一致性)两方面来衡量模式产品(或订正结果)与再分析资料之间的一致性(Jolliffe and Stephenson, 2012)。

4.1 位势高度

标准等压面位势高度是天气分析过程中最常用的量, 其与温度、 风场配合, 构成了传统天气图的主要要素。天气预报业务中, 数值预报产品中位势高度场的演变常被用来判断、 分析和预报天气形势的发展变化, 了解天气尺度系统的结构和演变特征, 进而预测天气系统的动态变化和发展。
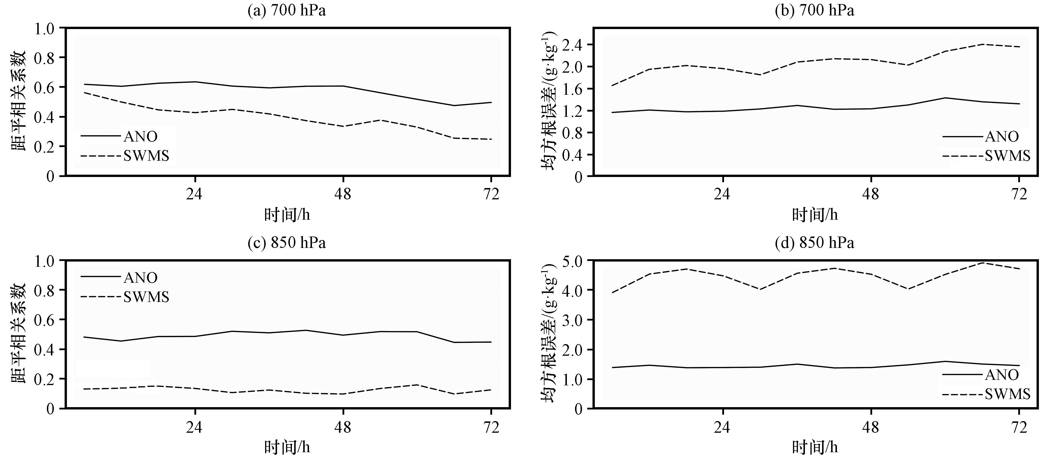
本次灾害性强降水过程中, SWMS模式预报产品在100~400 hPa的对流层中上层, 绝大部分时次的位势高度场距平相关系数ACC保持在0.8左右, 与实况(ERA5再分析资料)有较好的相似性, 展现出较高的预报技巧。然而, 在500~1000 hPa的对流层中低层, 模式预报各时次位势高度的ACC则呈现出随高度降低而逐渐下降的趋势, 表明模式大气受到地面复杂地形动力影响较大, 在模式低层的预报能力较差。另一方面, 对流层低层是人类活动最密切相关的范围, 也是降水和灾害性天气系统发展最关键的水汽供应层, 受地面过程影响较大(方之芳等, 2010)。因此, 这里我们重点分析500 hPa、 700 hPa和850 hPa等压面上的位势高度的订正效果。
图1给出了20 -22日08:00起报的72 h预报500 hPa、 700 hPa和850 hPa上位势高度场和ANO订正结果的3天平均ACC和RMSE随时间的演变。在模式计算区域内, SWMS预报位势高度场的ACC随着高度的降低逐渐减小, 500 hPa高度上前30 h的ACC基本保持在0.9左右, 位势高度分布型与实况相似性较好, 随着预报时效的延长, ACC逐渐减小, 到60 h达到极小值0.58。700 hPa的位势高度ACC在72 h预报时效内维持在0.6~0.7之间, 并表现出一定的日变化特征, 即位势高度ACC在14:00达到最小, 在02:00呈现最大值。850 hPa的位势高度ACC从第6 h的0.55下降到60 h的极小值0.1, 近地面层预报位势高度环流型与实况相似性较差。另一方面, 对流层低层位势高度RMSE随着高度的降低呈现逐渐增大的趋势, 即反映位势高度值相似性也随高度降低变差, 误差增大。SWMS模式这样的误差分布特点, 对2018年和2019年5 -8月的历史预报结果分析中也得到确认, 在高原复杂地形区表现更加明显。ANO方法订正的位势高度在各等压面上都得到明显改善, 整个72 h预报时段内位势高度的平均ACC有显著提高。其中, ANO订正的500 hPa位势高度ACC保持在0.8以上, 最大提高0.2, 平均提高约11%; 700 hPa的订正位势高度ACC从原来的0.6⁓0.7提高到0.8; 850 hPa的ANO订正位势高度ACC提高幅度较大, 整体维持在0.6以上, 提高了0.3左右, 订正效果更加明显。订正的500 hPa位势高度RMSE除了个别时次外, 误差减小; 而在700 hPa 和850 hPa高度上, ANO对位势高度场表现出较好的订正能力, 整个预报时效内误差降低到12 gpm左右, 分别平均降低了约24%和66%。由于模式低层大气受地形动力和地表物理过程不确定性影响较大, 数值预报误差较大, 因此表现出较大的近地面位势高度RMSE和较低的ACC。经过ANO订正, 可以明显改善位势高度的平面二维位相和振幅分布, 提高ACC并降低RMSE。
图1 2019年6月20 -22日SWMS模式预报和ANO订正的500 hPa(上)、 700 hPa(中)、 850 hPa(下)位势高度场平均距平相关系数(左)和均方根误差(右, 单位: gpm)的时间演变

Fig.1 Temporal evolution of the mean ACC (left) and RMSE (right, unit: gpm) for the 500 hPa (top), 700 hPa (middle), and 850 hPa (bottom) geopotential height from the SWMS model forecast and ANO correction, initiated on June 20-22, 2019

图2反映了500 hPa位势高度场通过ANO方法订正后的效果。与再分析数据对比, 24 h预报中, 订正后的位势高度场在北部低压的位置和南部高压的范围上显著优于原始模式预报。尽管在南部高压强度的预测上仍存在一定偏差, 但ANO订正已经提高了预测的准确性。进一步分析48 h及72 h的订正效果, 发现订正结果在北部低压的位置和强度预测以及南部高压的范围预测方面均表现出较好的准确性。尤其是在72 h预报中, ANO订正对北部低压的强度以及南部高压的位置和强度的预测精度超过了原始模式预报。总体而言, ANO订正方法不仅优化了位势高度场的形态和数值, 还显著提升了预报的整体质量, 这为其他预报变量的改进奠定了坚实的基础。
图2 2019年6月20日24 h(左)、 48 h(中)和72 h(右)500 hPa位势高度的ERA5再分析场(a、 b、 c)、 ANO订正(d、 e、 f)和SWMS模式预报(g、 h、 i)对比(单位: gpm)

Fig.2 Comparison of the ERA5 reanalysis data (a, b, c), ANO correction (d, e, f), and SWMS model forecast (g, h, i) for the 500 hPa geopotential height at 24-hour (left), 48-hour (middle), and 72 hour (right) initiated on June 20, 2019.Unit: gpm

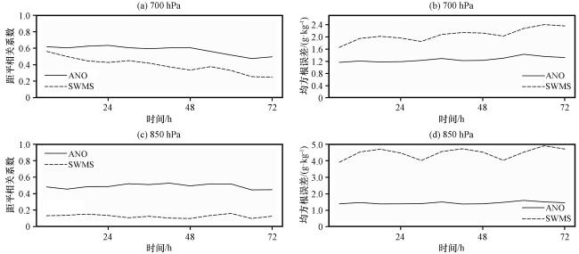
4.2 比湿

比湿的变化与降水形成和云量预报关系密切, 在数值天气预报中, 湿度场的精度也是模式降水和云量预报的关键, 对天气系统模拟产生显著影响, 尤其是700 hPa 和850 hPa上的湿度场, 与对流活动密切相关(郑琴和吴文华, 2011)。图3给出了20 - 22日三个72 h预报及ANO订正的700 hPa和850 hPa等压面比湿的平均ACC和RMSE随时间的演变。总体来看, SWMS模式对两个等压面上比湿模拟效果欠佳, 3天的预报时效内700 hPa和850 hPa面上的比湿ACC分别在0.6和0.2以下, RMSE在1.6 g·kg-1和3.8 g·kg-1以上, 且随预报时效延长均呈现增大趋势。预报比湿ACC和RMSE也存在较明显的日变化特征, 剔除时间线性变化后, RMSE在14:00和02:00分别出现极小和极大值, 这显然与地面温度和蒸发量的日变化相关。在结合历史再分析资料和ANO方法对比湿预报场订正之后, 比湿的ACC和RMSE均有明显的改善, 700 hPa和850 hPa高度上的ACC分别提高到0.6和0.5左右, RMSE减小到约1.2 g·kg-1和1.4 g·kg-1, 并随时间缓慢增大。一个有意思的现象是, ANO订正后的比湿RMSE日变化发生了位相变化, 极大值出现在20:00。
图3 2019年6月20 -22日SWMS模式预报和ANO订正的700 hPa(上)和850 hPa(下)比湿平均距平相关系数(左)、 均方根误差(右、 单位: g·kg-1)的时间演变

Fig.3 Temporal evolution of the mean ACC (left) and RMSE (right, unit: g·kg-1) for the 700 hPa (top) and 850 hPa (bottom) specific humidity from the SWMS model forecast and ANO correction, initiated on June 20 -22, 2019

进一步考察850 hPa比湿的二维分布特征, 通过与ERA5再分析数据[图4(a)]对比发现, 24 h预报比湿[图4(g)]在青藏高原地区被严重高估, 高原湿度偏差通过平流和对流对高层和临近地区的系统发展产生影响。订正后比湿[图4(d)]的分布与再分析比湿[图4(a)]空间分布特征接近, 青藏高原低比湿得到恢复, 范围与再分析结果一致, 高原东部30°N附近梅雨锋相关的高湿带也得到改善。同样, 订正的第48 h和72 h 850 hPa比湿场也较SWMS模式预报场更好地展示了青藏高原的低比湿区, 虽然极小值范围较再分析资料偏大, 但更好刻画了计算区850 hPa的干湿分布和比湿场演变特征。SWMS模式的24~72 h预报产品中, 未能展现青藏高原上850 hPa的比湿低值区, 相反表现为高比湿区, 与再分析结果差异明显。我们也注意到, SWMS模式对本次过程中华东和渤海湾的低湿区预报较好。总体看, ANO订正后的湿度场得到了明显改善, 尤其是青藏高原复杂地区, 将有利于提高模式对我国强降水的预报能力。
图4 2019年6月20日24 h(左)、 48 h(中)和72 h(右)850 hPa比湿的ERA5再分析场(a、 b、 c)、 ANO订正(d、 e、 f)和SWMS模式预报(g、 h、 i)对比(单位: g·kg-1

Fig.4 Comparison of the ERA5 reanalysis data (a, b, c), ANO correction (d, e, f), and SWMS model forecast (g, h, i) for the 850 hPa specific humidity (unit: g·kg-1) at 24-hour (left), 48-hour (middle), and 72-hour (right) initiated on June 20, 2019

4.3 温度场

温度垂直分布和变化直接决定大气层结的稳定性, 从而影响对流发展, 与对流降水的形成关系密切。图5给出了500 hPa和850 hPa两个高度上20 -22日三天的72 h模式预报和ANO订正气温平均ACC(RMSE)随时间的演变, 尽管24 h后ACC(RMSE)随时间呈现缓慢下降(上升)趋势, SWMS模式在前24 h模拟出较好的温度分布, 特别是500 hPa的模拟效果显著优于850 hPa高度层。500 hPa层温度ACC在前36 h维持在约0.8, 随着积分时间的延长逐渐下降至72 h的0.55。对应的RMSE在72 h预报时效内始终保持在1.0~1.2 K, 表现较为稳定。相比之下, 850 hPa的温度ACC始终维持在0.1~0.2之间的较低水平, RMSE则增大至3.0~5.5 K, 温度RMSE同样表现出明显的日变化。结合历史再分析资料的ANO方法订正后, 850 hPa的ACC和RMSE均有显著改善, ACC提升至0.5~0.6, RMSE降低至约1.3 K。在500 hPa上, 尽管温度RMSE在订正后减小至0.9~1.0 K, 平均降低约0.1, 但在大部分时次ANO订正对温度ACC表现出弱的负效果, 使500 hPa的温度分布型出现小偏差, 这可能是本次过程中受对流影响的中层环流形势与历史过程不同所致。
图5 2019年6月20 -22日SWMS模式预报和ANO订正的500 hPa(上)、 850 hPa(下)温度平均距平相关系数(左)和均方根误差(右, 单位: K)的时间演变

Fig.5 Temporal evolution of the mean ACC (left) and RMSE (right, unit: K) for the 500 hPa (top) and 850 hPa (bottom) temperature from the SWMS model forecast and ANO correction, initiated on June 20 -22, 2019

图6展示了低层850 hPa模式预报、 ANO订正温度与再分析资料的对比。在整个72 h预报时效内, 青藏高原出现明显的温度偏高, 表现高温中心。虽然青藏高原上850 hPa高度位于地形之下, 并非真实大气, 但也反映出模式大气热力场垂直分布和热力结构的正确性。与再分析吻合, ANO订正在第24 h能较好地反映青藏高原底层偏冷温度分布, 对高原东侧四川盆地低温中心[图6(d)蓝圆框]、 陕西-江苏低温带[图6(d)黑方框]和华北高温中心[图6(d)绿方框]都能更好表现, 华北高温强度得到较好的订正。第48 h, ANO的订正结果更好反映了高原东侧低温带[图6(e)蓝方框]的存在和低温强度, 与再分析资料更加接近。而模式预报的华北异常高温带[图6(h)黑框]则得到缓解[图6(e)黑框]。第72 h, ANO方法较好修正了模式高估的华北暖中心[图6(i)蓝方框]和长江中下游冷中心[图6(i)黑方框], 获得与再分析实况更为符合的温度分布形势, 表明ANO方法对低层温度订正的有效性和稳定性。总之, 在72 h预报时效内, ANO方法可以正确订正温度演变趋势, 显著改善预报高温的水平分布, 提高复杂地形区热力场预报精度, 改进强对流天气预报的准确率。
图6 2019年6月20日24 h(左)、 48 h(中)和72 h(右)850 hPa温度场的ERA5再分析场(a、 b、 c)、 ANO订正(d、 e、 f)和SWMS模式预报(g、 h、 i)对比(单位: ℃)

Fig.6 Comparison of the ERA5 reanalysis data (a, b, c), ANO correction (d, e, f), and SWMS model forecast (g, h, i) for the 850 hPa temperature (unit: ℃) at 24-hour (left), 48-hour (middle), and 72-hour (right) initiated on June 20, 2019

4.4 水平风场

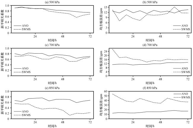
在确认温、 湿场的订正改进之后, 进一步检验水平风场的订正效果。水平风不仅表征大气环流特征、 水汽输送过程和天气系统动力结构(王英等, 2015岳彩军等, 2018), 还通过局地环流直接影响降水的发生、 发展和移动(冉令坤等, 2014)。复杂地形通过动力摩擦和热力强迫对近地层风场产生扰动, 促进水汽的辐合和垂直运动变化, 进而影响天气系统的发展和演变(Adler et al, 2020Song and Shao, 2023), 低层风场地形辐合、 切变等引发的强烈上升运动, 为暴雨的形成提供有利条件。
图7给出的SWMS预报产品和ANO订正结果在500 hPa、 700 hPa和850 hPa高度上纬向风平均ACC随时间的演变来看, 模式对于对流层中低层纬向风的模拟准确性随着高度的降低呈现缓慢下降的趋势, 500 hPa纬向风ACC平均为0.63, 700 hPa为0.60, 850 hPa平均为0.54。经过ANO订正后的纬向风ACC相比模式结果有一定的提高, 除了在500 hPa和850 hPa高度上分别有一个时次在订正后略有降低外, 其他时次均有不同程度的提高, 尤其在700 hPa高度上提高较为明显, 预报时段内提高了约18.3%。纬向风RMSE, 3个等压面上SWMS模拟误差基本维持在3~4 m·s-1, 850 hPa高度上的误差起伏较大, 可能与模式地形动力作用和边界层动量混合计算的描述有关。订正后纬向风误差平均减小了约32%。经向风SWMS预报结果和ANO订正结果在500 hPa、 700 hPa和850 hPa高度上表现类似, 这里不再重复说明。从纬向风和经向风误差订正量的幅度也可以看出, 对流层低层850 hPa的极大订正值出现在夜间的稳定边界层内, 反映了模式对四川盆地夜间边界层参数化的不足。
图7 2019年6月20 -22日SWMS模式预报和ANO订正的500 hPa(上)、 700 hPa(中)、 850 hPa(下) 水平风u分量(实线)及v分量(虚线)平均距平相关系数(左)和均方根误差(右, 单位: m·s-1)的时间演变

Fig.7 Temporal evolution of the mean ACC (left) and RMSE (right, unit: m·s-1) for the u-component (solid line) and v-component (dashed line) of the horizontal wind at 500 hPa (top), 700 hPa (middle), and 850 hPa (bottom) from the SWMS model forecast and ANO correction, initiated on June 20 -22, 2019

从整个预报范围的850 hPa水平风场来看(图8), 第24 h在孟加拉湾有一低压环流, 有利于向我国西南地区输送水汽[图8(a)]; ANO方法订正后, 孟加拉湾低压环流以及其东侧相关西南急流位置与强度得到改善, 位于长江中下游的切变线位置更合理, 与再分析资料更为接近。第48 h, 孟加拉湾低压西移到印度半岛发展, ANO方法订正后较好的反映了低压闭合环流位置, 中心位于京津地区、 覆盖河套东部的反气旋环流得到更好的展现。第72 h, ANO方法订正印度低压环流位置与结构、 长江中下游切变线位置南压特点都有更好表现, 而模式预报的切变线偏南。可见, ANO方法订正结果中印度低压、 西南风低空急流位置和强度, 以及长江中下游梅雨锋相关的切变线位置都有改善。ANO方法能够改善我国西南复杂地形区域的环流场预报, 对提高该区域要素预报有明显效果。
图8 2019年6月20日24 h(左)、 48 h(中)和72 h(右)850 hPa水平风场的ERA5再分析场(a、 b、 c)、 ANO订正(d、 e、 f)和SWMS模式预报(g、 h、 i)对比(单位: m·s-1

Fig.8 Comparison of the ERA5 reanalysis data (a, b, c), ANO correction (d, e, f), and SWMS model forecast (g, h, i) for the 850 hPa horizontal wind (unit: m·s-1) at 24-hour (left), 48-hour (middle), and 72-hour (right) initiated on June 20, 2019

5 结论

结合ERA5再分析资料, 利用ANO方法对中国西南区域一次灾害性降水过程的SWMS业务模式预报产品进行了订正检验分析, 重点考察了ANO方法对复杂地形条件下中低层环流预报量(位势高度、 比湿、 温度、 水平风场)的订正效果。结果表明:
(1) SWMS模式预报产品在对流层上层(100 hPa至400 hPa)环流场展现出较高的预报技巧, 但在对流层中低层(500 hPa至1000 hPa)的预报性能随高度降低而逐渐下降, 采用ANO方法订正的预报变量均有不同程度的改善。20 -22日三天的72 h预报位势高度场平均ACC在500 hPa和700 hPa高度均保持在0.8左右, 850 hPa上位势高度ACC平均提高了0.3。虽然500 hPa等压面订正位势高度的RMSE效果欠佳, 但在700 hPa和850 hPa面上ANO均表现出很好的误差修正能力, 整个72 h预报时效内分别降低了24%和66%。
(2) SWMS模式预报的中低层温度(特别是850 hPa温度)和湿度订正也都表现出较好的正效果。对水平风场订正后, 印度低压环流位置和强度得到很好改善, 其东侧的西南风低空急流得到更好的预报, 可以改善本次过程中向我国西南地区的水汽输送模拟, 长江中下游切变线模拟改善明显。700 hPa等压面纬向风ACC平均提高了18.3%, 与再分析资料更为吻合, 而500 hPa、 700 hPa和850 hPa的纬向风RMSE平均减小约32%。
(3) 中国西南地区复杂的地形条件极大地影响大气环流、 温湿分布、 水汽输送和降水过程, 次网格地形动力、 陆面过程和大气边界层参数化方案缺乏对这种复杂地形和下垫面条件的精确描述, 使得数值模式难以准确模拟和预报该区域的中小尺度天气发展变化。后处理订正技术是改进复杂地形区域数值预报效果的有效途径, ANO方法基于数值模式距平积分过程的动力约束, 利用历史资料对模式大气气候态进行订正, 从而部分消除模式系统性误差, 达到改善模式预报效果的目的。本文针对一次强降水过程进行了订正分析, 证实了ANO方法对于复杂地形条件下的区域模式预报改进具有明显效果。当然, 对于不同类型天气过程的验证还不足, 结论的普适性有待进一步检验, 同时由于降水在空间和时间上存在很强的不连续性, 对降水量的订正还有待更多样本积累后展开。
Adler B Kalthoff N Kiseleva O2020.Detection of structures in the horizontal wind field over complex terrain using coplanar Doppler lidar scans[J].Meteorologische Zeitschrift29(6): 467-481.DOI: 10.1127/metz/2020/1031 .

Hersbach H Bell W Berrisford P, et al, 2019.Global reanalysis: Goodbye ERA-Interim, hello ERA5[R].ECMWF Newsletter, 159: 17-24.

Hu Y Wang Q Shen X2022.Analogue ensemble averaging method for bias correction of 2-m temperature of the medium-range forecasts in China[J].Atmosphere13(12): 2097.DOI: 10.3390/atmos13122097 .

Huang J P Yi Y H Wang S W, et al, 1993.An analogue-dynamical long‐range numerical weather prediction system incorporating historical evolution[J].Quarterly Journal of the Royal Meteorological Society119(511): 547-565.DOI: 10.1002/qj.49711951111 .

Jolliffe I T Stephenson D B2012.Forecast verification: a practitioner's guide in atmospheric science (Second Edition)[M].Hoboken, New Jersey: Wiley-Blackwell.

Peng X D Che Y Z Chang J2013.A novel approach to improve numerical weather prediction skills by using anomaly integration and historical data[J].Journal of Geophysical Research-Atmospheres118(16): 8814-8826.DOI: 10.1002/jgrd.50682 .

Song Y Shao M2023.Impacts of complex terrain features on local wind field and PM2.5 concentration[J].Atmosphere14(5): 761.DOI: 10.3390/atmos14050761 .

Yu H P Huang J P Li W J, et al, 2014.Development of the analogue-dynamical method for error correction of numerical forecasts[J].Journal of Meteorological Research28(5), 934-947, DOI: 10.1007/s13351-014-4077-4 .

Yu R Zhang Y Wang J, et al, 2019.Recent progress in numerical atmospheric modeling in China[J].Advances in Atmospheric Sciences, 36: 938-960.

Zhang R H Koike T Xu X D2012.A China-Japan Cooperative JICA Atmospheric Observing Network over the Tibetan Plateau (JICA/Tibet Project): an Overviews (Special Issue on Japan-China Meteorological Disaster Reduction Corporation Research Center Project (JICA/Tibet Project))[R].Journal of the Meteorological Society of Japan, 90: 1-16.

Zhao Y Peng X Li X, et al, 2024.Improved diurnal cycle of precipitation on land in a global non-hydrostatic model using a revised NSAS deep convective scheme[J].Advances in Atmospheric Sciences41(6): 1217-1234.DOI: 10.1007/s00376-023-3121-7 .

常俊, 彭新东, 范广洲, 等, 2015.结合历史资料的数值天气预报误差订正[J].气象学报73(2): 341-354.DOI: 10.11676/qxxb2015.021.Chang J

Peng X D Fan G Z, et al, 2015.Error correction of numerical weather prediction with historical data[J].Acta Meteorologica Sinica73(2): 341-354.DOI: 10.11676/qxxb2015.021 .

程锐, 宇如聪, 徐幼平, 等, 2024.数值预报模式垂直坐标发展与改进综述[J].高原气象43(1): 16-27.DOI: 10.7522/j.issn.1000-0534.2023.00042.Cheng R

Yu R C Xu Y P, et al, 2024.Review on developments and improvements in vertical coordinates for numerical prediction models[J].Plateau Meteorology43(1): 16-27

丑纪范, 1974.天气数值预报中使用过去资料的问题[J].中国科学17(6): 635-644.DOI: 10.1360/za1974-4-6-635.Chou J F , 1974.On the utilization of historical data in the numerical weather prediction[J].Science in China, 17(6): 635-644.DOI: 10.1360/za1974-4-6-635 .

丑纪范, 2007.数值天气预报的创新之路——从初值问题到反问题[J].气象学报65(5): 673-682.DOI: 10.3321/j.issn: 0577-6619.2007.05.003.Chou J F.2007.An innovative road to numerical weather prediction——from initial value problem to inverse problem[J].Acta Meteorologica Sinica, 65(5): 673-682.

方之芳, 雷俊, 吕晓娜, 等, 2010.东亚地区500 hPa位势高度场NCEP/NCAR再分析资料与ERA-40资料的比较[J].气象学报68(2): 270-276.DOI: 10.11676/qxxb2010.027.Fang Z F

Lei J Lv X N, et al, 2010.A comparison of 500 hPa field of East-Asia between the NCEP/NCAR reanalysis data and the ERA-40 of ECMWF data[J].Acta Meteorologica Sinica68(2): 270-276.DOI: 10.11676/qxxb2010.027 .

封国林, 赵俊虎, 支蓉, 等, 2013.动力-统计客观定量化汛期降水预测研究新进展[J].应用气象学报24(6): 656-665.DOI: 10.11898/1001-7313.20130602.Feng G L

Zhao J H ZHI R, et al, 2013.Recent progress on the objective and quantifiable forecast of summer precipitation based on dynamical-statistical method[J].Journal of Applied Meteorological Science24(6): 656-665.DOI: 10.11898/1001-7313.20130602 .

顾震潮1958a.天气数值预报中过去资料的使用问题[J].气象学报, 29(3): 176-184. Gu Z C1958a.On the utilization of past data in numerical weather forecasting[J].Acta Meteorologica Sinica, 29(3): 176-184.DOI: 10.11676/qxxb1958.019 .

顾震潮1958b.作为初值问题的天气形势数值预报与由地面天气历史演变作预报的等值性[J].气象学报, 29(2): 93-98.DOI: 10.11676/qxxb1958.011.Gu Z C1958b.

On the equivalency of formulations of weather forecasting as an initial value problem and as an “evolution” problem[J].Acta Meteorologica Sinica29(2): 93-98.DOI: 10.11676/qxxb1958.011 .

黄建平, 陈斌, 2024.人工智能技术在未来改进天气预报中的作用[J].科学通报69(17): 2336-2343.

https: //doi.org/10.1360/TB-2024-0100.Huang J P Chen B2024, How artificial intelligence is transforming weather forecasting for the future[J].Chinese Science Bulletin69(17): 2336-2343.ISSN 0023-074X,

李维京, 郑志海, 孙丞虎, 2013.近年来我国短期气候预测中动力相似预测方法研究与应用进展[J].大气科学37(2): 341-350.DOI: 10.3878/j.issn.1006-9895.2012.12311.Li W J

Zheng Z H Sun C H2013.Improvements to dynamical analogue climate prediction method in China[J].Chinese Journal of Atmospheric Sciences37(2): 341-350.DOI: 10.3878/j.issn.1006-9895.2012.12311 .

钱维宏, 2012.如何提高天气预报和气候预测的技巧?[J].地球物理学报55(5): 1532-1540.DOI: 10.6038/j.issn.0001-5733. 2012.05.010.Qian W H , 2012.How to improve the skills of weather and climate predictions?[J].Chinese Journal of Geophysics, 55(5): 1532-1540.DOI: 10.6038/j.issn.0001-5733.2012. 05.010 .

冉令坤, 齐彦斌, 郝寿昌, 2014.“7·21”暴雨过程动力因子分析和预报研究[J].大气科学38(1): 83-100.DOI: 10.3878/j.issn.1006-9895.2013.12160.Ran L K , QiY B, HaoS C, 2014.Analysis and forecasting of heavy rainfall case on 21 July 2012 with dynamical parameters[J].Chinese Journal of Atmospheric Sciences, 38(1): 83-100.DOI: 10.3878/j.issn.1006-9895.2013.12160 .

任宏利, 丑纪范, 2005.统计-动力相结合的相似误差订正法[J].气象学报63(6): 988-993.DOI: 10.11676/qxxb2005.094.Ren H L

Chou J F2005.Analogue correction method of errors by combining both statistical and dynamical methods together[J].Acta Meteorologica Sinica63(6): 988-993.DOI: 10.11676/qxxb2005.094 .

佟铃, 彭新东, 范广洲, 等, 2017.GRAPES全球模式的误差评估和订正[J].大气科学41(2): 333-344.DOI: 10.3878/j.issn.1006-9895.1608.16115.Tong L

Peng X D Fan G Z, et al, 2017.Error evaluation and correction for GRAPES global forecasts[J].Chinese Journal of Atmospheric Sciences41(2): 333-344.DOI: 10.3878/j.issn.1006-9895.1608.16115 .

王英, 刘帆, 胡国玲, 2015.2014年陕西"秋淋"天气过程分析[J].中国农学通报31(31): 274-279.DOI: 10.11924/j.issn.1000-6850.casb15050069.Wang Y

Liu F Hu G L2015.Analysis of autumn rains features in Shaanxi in 2014[J].Chinese Agricultural Science Bulletin31(31): 274-279.DOI: 10.11924/j.issn.1000-6850.casb15050069 .

夏侯杰, 肖安, 聂道洋, 2024.基于观测的短时强降水深度学习预报模型[J].高原气象42(4): 1005-1017https: //doi.org/10.7522/j.issn.1000-0534.2022.00046.Xia H J, Xiao A, Nie D Y, 2024.Observation based deep learning model for short-duration heavy rain nowcasting[J].Plateau Meteorology, 42(4): 1005-1017.

肖颖, 庞轶舒, 马振峰, 等, 2023.NCEP CFSv2模式对川渝夏季降水次季节预测技巧评估及预报偏差分析[J].高原气象42(6): 1576-1588https: //doi.org/10.7522/j.issn.1000-0534.2023.00007.Xiao Y, Pang Y S, Ma Z F, et al, 2023.Sub-seasonal forecasting skills assessment and deviation analysis of CFSv2 for summer precipitation in Sichuan and Chongqing[J].Plateau Meteorology, 42(6): 1576-1588

徐忠峰, 韩瑛, 杨宗良, 2019.区域气候动力降尺度方法研究综述[J].中国科学(地球科学), 49: 487-498.DOI: 10.1360/N072018-00075.Xu Z F

Han Y Yang Z L2019.Dynamical downscaling of regional climate: a review of methods and limitations[J].Science China Earth Sciences, 62: 365-375,

于海鹏, 2016.利用历史资料订正数值模式预报误差研究[D].兰州: 兰州大学.DOI: 10.7666/d.D01032917.Yu H P, 2016.Correcting prediction errors using historical data for numerical models[D].Lanzhou: Lanzhou University.DOI: 10.7666/d.D01032917 .

岳彩军, 顾问, 唐玉琪, 等, 2018.西太平洋副热带高压控制下上海地区一次局地短时强降水成因的Q矢量分析[J].热带气象学报34(5): 610-625.DOI: 10.16032/j.issn.1004-4965.2018.05.004.Yue C J

Gu W Tang Y Q, et al, 2018.Analyzing the cause of a local short-lived severe precipitation in Shanghai under the control of western pacific subtropical high based on Q-vector[J].Journal of Tropical Meteorology34(5): 610-625.DOI: 10.16032/j.issn.1004-4965.2018.05.004 .

郑琴, 吴文华, 2011.非线性滤波在含“开关”过程的资料同化中的应用研究[J].气象学报69(3): 426-431.DOI: 10.11676/qxxb2011. 036.Zheng Q

Wu W H2011.A study of the nonlinear filter and its application in the data assimilation with physical “on-off” processes[J].Acta Meteorologica Sinica69(3): 423-431.DOI: 10.11676/qxxb2011.036 .

文章导航

/