基于GPM数据的华东地区中尺度对流系统宏微观结构特征研究

  • 张磊 , 1, 2 ,
  • 段婧 , 2 ,
  • 徐铖 1 ,
  • 汪会 2 ,
  • 程莹 1 ,
  • 姜舒婕 1 ,
  • 黄旋旋 3
展开
  • 1. 浙江省人工影响天气中心,浙江 杭州 310051
  • 2. 中国气象局云降水物理与人工影响天气重点开放实验室,北京 100081
  • 3. 浙江省气象台,浙江 杭州 310051
段婧(1982 -), 女, 河北石家庄人, 研究员, 主要从事云降水物理与人工影响天气、 多源云降水探测资料融合应用研究E-mail:

张磊(1989 -), 男, 江苏泰州人, 高级工程师, 主要从事云降水物理与人工影响天气研究. E-mail:

收稿日期: 2024-06-21

  修回日期: 2025-01-09

  网络出版日期: 2025-09-19

基金资助

中国气象局“揭榜挂帅”科技项目(CMAJBGS202215)

浙江省气象局重点科技项目(2022ZD05)

A Study on Characteristics of Mesoscale Convective Systems in East China Based on GPM Data

  • Lei ZHANG , 1, 2 ,
  • Jing DUAN , 2 ,
  • Cheng XU 1 ,
  • Hui WANG 2 ,
  • Ying CHENG 1 ,
  • Shujie JIANG 1 ,
  • Xuanxuan HUANG 3
Expand
  • 1. Weather Modification Center of Zhejiang Province,Hangzhou 310051,Zhejiang,China
  • 2. CMA Cloud-Precipitation Physics and Weather Modification Key Laboratory,Beijing 100081,China
  • 3. Zhejiang Meteorological Observatory,Hangzhou 310051,Zhejiang,China

Received date: 2024-06-21

  Revised date: 2025-01-09

  Online published: 2025-09-19

Copyright

© Editorial Department of Plateau Meteorology (CC BY-NC-ND)

摘要

利用2014年3月至2023年7月星载降水雷达(Global Precipitation Measurement, GPM)资料, 揭示了中国华东地区中尺度对流系统的时空分布特征, 并对2022年6 -8月期间六个中尺度对流系统个例的宏微观结构特征进行了分类研究。结果表明: (1)MCSs(mesoscale convective systems)在6月发生最多, 日变化幅度相对平缓, 生命史更长; sub-MCSs(sub-Mesoscale Convective Systems)在8月发生最多, 14:00 -15:00(北京时)是一天中最易发的时段; 对流地理分布与地形密切相关, 夏季MCSs集中区有逐月北调的趋势, sub-MCSs主要分布在闽浙地区及江西高海拔山区。(2)MCSs和sub-MCSs一般由对流性降水、 层云性降水和其他降水三种降水类型组成, MCSs中对流性降水粒子浓度一般低于层云性降水, 但粒径更大, 雨强为层云性降水的4~5倍; 以对流性降水为主的sub-MCSs与MCSs中对流性降水的粒子尺度相当, 但粒子浓度更低, 使其雨强远低于MCSs中对流性降水的强度, 降水强度由粒子大小和粒子浓度等多因素共同决定。(3)5 km高度以上, 降水粒子在下降过程中尺度增加为主, 对流性降水粒子尺度下落时增长速度强于层云性降水; 4 km高度以下的暖层, 降水粒子在下降过程中粒子尺度逐渐减小, 其中层云性降水粒子尺度减小的同时数浓度变化不明显, 对流性降水则一般伴有粒子数浓度的增大。

本文引用格式

张磊 , 段婧 , 徐铖 , 汪会 , 程莹 , 姜舒婕 , 黄旋旋 . 基于GPM数据的华东地区中尺度对流系统宏微观结构特征研究[J]. 高原气象, 2025 , 44(5) : 1383 -1399 . DOI: 10.7522/j.issn.1000-0534.2025.00007

Abstract

Based on GPM data from March 2014 to July 2023, the spatial and temporal distribution characteristic of mesoscale convective systems (MCSs) and sub-mesoscale convective systems (sub-MCSs) in East China are studied.Then the macro and micro structure characteristics of MCSs and sub-MCSs are studied based on six cases from June to August 2022 which classified by the area of systems.The results show that MCSs occur most frequently in June.The magnitude of diurnal variation of MCSs is relatively flat, and the life history is longer.The sub-MCSs occur most frequently in August.The period of 14:00 -15:00 (Beijing time) are the time when sub-MCSs most likely occurring.The geographical distribution of convection is closely related to the topography.The concentrated distribution area of MCSs in summer has a trend of changing from south region to north region.The sub-MCSs mainly distributed in Fujian and Zhejiang Province and mountainous area in Jiangxi Province in summer.According to precipitation types, MCSs and sub-MCSs can be divided into convective precipitation, stratiform precipitation and other precipitation.The particle concentration of convective precipitation in MCSs is lower than that of stratiform precipitation in general, but the particle size is larger.The average near-surface rainfall rate of convective precipitation in MCSs is almost four to five times as much as the stratiform precipitation.The particle size of sub-MCSs dominated by convective precipitation is as much as convective precipitation in MCSs, but the particle concentration is much lower, which leads to the average near-surface rainfall rate of sub-MCSs is much lower than that of convective precipitation in MCSs.Precipitation intensity is determined by many factors such as particle size and particle concentration.The precipitation particle size increases when descending form the air above 5 km altitude and the growth rate of convective precipitation is stronger than that of stratiform precipitation.The precipitation particle size decreases when descending form the air below 4 km altitude.The particle concentration of stratiform precipitation has no significant change when descending, while the convective precipitation is generally associated with the increase of particle concentration.

1 引言

华东地区(包括上海市、 山东省、 江苏省、 安徽省、 江西省、 浙江省、 福建省、 台湾省八个省市)位于中国东部, 是我国的重要经济区, 也是我国暖季4个深对流活跃区域之一(陈国春等, 2011), 特别是夏季和春季对流天气过程多发, 对民众生活和经济发展都具有较大影响。中尺度对流系统是造成对流性天气的主要天气系统之一(曾波等, 2015), 其与大多数强降水事件密切相关(徐双柱等, 2013), 因此广受气象学者们关注。
中尺度对流系统通常包含对流降水区、 层云降水区和仅有云砧的无降雨区(阳向荣等, 2017), 且他们非均匀分布在中尺度对流系统内, 了解这些对流降水区和层云降水区的云系垂直结构特点, 有助于从整体上认知中尺度对流云系统的降水结构特征(傅云飞等, 2022)。目前对于中尺度对流系统的研究, 多数集中于其环境场分析及触发机制研究(沈杭锋等, 2019毛程燕等, 2021李文娟等, 2021杨晓军等, 2022陈双等, 2022), 对中尺度对流系统的云结构和微物理特征的研究相对较少。
飞机可通过机载云物理探测设备对云凝结核数浓度、 云滴大小、 云滴浓度、 云滴增长机制等进行探测分析(段婧等, 2019常祎等, 2021范雯露等, 2022张玉欣等, 2024), 从而获得对云结构及其微物理特征的客观认识, 但由于中尺度对流系统内部垂直气流旺盛, 一般很难通过飞机对其进行有效探测。也有部分学者利用雨滴谱仪(Hashimoto and Harimava, 2005; 王俊等, 2023)和摄像探空仪(Takahashi et al, 2001)等分析中尺度对流系统的微物理特征, 但缺乏对云系内部微物理特征的整体把握。遥感探测是研究中尺度对流系统云结构特征的有效手段, 可分为地基遥感和卫星遥感。地基云遥感探测设备主要包括云高仪、 云雷达、 激光雷达、 微波辐射计等。云高仪和激光雷达具有较高的垂直空间分辨率, 对云底的识别与云边界的确定具有优势; 云雷达具有很强穿透能力, 在云顶探测和云层探测上具有独特优势(赵传峰和杨以坤, 2021)。相比于地基遥感, 卫星遥感具有大尺度、 多时次、 获取及时、 便利等优点, 广泛地应用于各种云微物理特征的反演(岳治国等, 2018)。星载降水雷达(Global Precipitation Measurement, GPM)搭载的双波长测雨雷达(Dual frequency Precipitation Radar, DPR)在对流系统探测方面具有较大优势(魏栋等, 2021), 被广泛应用于降水云系垂直结构的分析, 其探测不受地理环境的影响, 由于其探测采用自上而下方式, 有利于获得对流云体上部的结构信息(傅云飞, 2019)。国内也有学者利用GPM对我国不同地区的对流系统开展了研究, 杜爽等(2020)对华南对流性、 层云性两类主要降水类型的垂直特征进行了统计分析, 指出二者的粒子快速增长区域和导致强降水的物理机制不同; 李剑婕等(2022)沈程锋等(2022)在分析四川及周边地区的降水结构特征时指出地形是导致降水的微物理过程差异的原因之一; 马冰霞等(2023)探讨了青藏高原地区深厚强对流降水、 深厚弱对流降水及浅薄降水三种不同类型降水云系的地理分布和垂直结构特征。总体而言, 目前关于GPM的对流研究多数集中于我国西部特别是四川盆地和青藏高原地区(马冰霞等, 2023蒲学敏等, 2021袁敏等, 2023谷艳茹和范广洲, 2021), 在其他地区开展的相对较少, 且云微物理特征的研究较少。
由于中尺度对流系统复杂的降水特征, 目前人们对其云系结构的认知仍有很大不确定性。为加强对华东地区中尺度对流系统宏微观特征的进一步了解, 本文利用GPM资料, 从中尺度对流系统的时空分布、 水平特征、 垂直结构等多个方面开展研究, 在对中尺度对流系统个例的水平和垂直结构特征进行分析时, 将中尺度对流系统的对流性降水区与层云性降水区分开进行特征分析, 以期加深对华东地区中尺度对流系统云结构特征及其降水发生发展过程的了解。

2 资料来源与方法介绍

2.1 资料来源

GPM是新一代全球降水探测卫星, 为非太阳同步轨道, 于2014年2月发射升空。GPM轨道倾角为65°, 轨道周期约93 min, 每日在65°S -65°N之间约有16条轨道, 搭载了全球首部星载双频降水测量雷达DPR, 包含了Ku波段雷达和Ka波段雷达, 工作频率分别在13.6 GHz和35.5 GHz(马冰霞等, 2023), 是热带降雨观测卫星(Tropical Rainfall Measuring Mission, TRMM)的升级替换, 各项探测能力均优于TRMM(刘兆晨等, 2020魏栋等, 2021)。GPM提供三种级别的全球降水产品(详细信息可参见https: //gpm.nasa.gov/data), 其中二级产品中的2ADPR数据水平分辨率为5 km, 垂直分辨率为125 m, 探测最大高度为22 km, 可以提供扫描时间、 地理位置、 回波顶高、 订正前后的反射率因子、 降水类型、 雨强、 粒子谱等信息。降水类型使用DFRm方案划分为“对流性降水、 层云性降水、 其他降水”三种类型(Le and Chandrasekar, 2013), 其分类依据是, 降水扫描点检测到亮带且亮带附近的雷达回波小于39 dBZ(对流性阈值)则为层云性降水; 大于39 dBZ的为对流性降水; 此外的其他情况被分类为其他降水(杜爽等, 2020)。雨强主要依据Z-R关系计算得出, 粒子谱参数包含质量加权平均直径[mass-weighted diamerer, Dm (单位: mm)]和广义截距参数[normalized DSD intercepts, Nw(单位: m-3·mm-1)]两个参量。通过将标准化的Gamma分布公式代入已知的衰减订正后的有效反射率因子Ze1和Ze2, 进而反演得到Dm和Nw, 算法详见降水处理系统网(https: //pps.gsfc.nasa.gov/atbd.html)。
GPM的PF(Precipitation Feature)数据集是TRMM卫星PF数据集的延续, 是以降水云个体(Radar Precipitation Feature, RPF)为单位的数据集。该数据集包括DPR和GMI(GPM Microwave Imager)降水量估计以及DPR波束内外雷达垂直结构的降水特征, 共包含三级数据(周胜男等, 2015)。第一级数据是对来自DPR和GMI不同轨道的六种GPM产品进行时空一致性处理后得到的资料, 经过了视差矫正和最近邻配置进行轨道数据融合。第二级数据是在一级数据的基础上, 根据DPR或GMI按不同标准定义了多种RPF, 保存每个RPF的信息, 如: RPF中心的经纬度、 发生时间、 30 dBZ回波最大高度等。本文使用的是PF数据集第二级数据。
本文首先利用2014年3月至2023年7月PF数据集中基于DPR定义的RPF对华东地区中尺度对流系统的时空分布开展统计分析, 然后利用GPM-2ADPR产品对2022年6 -8月期间发生在华东地区的6个中尺度对流系统个例(3个MCSs和3个sub-MCSs)的水平和垂直结构特征进行分析。此外, 本文在个例分析中使用了湖州站和杭州站的S波段多普勒雷达基数据, 用于判别GPM观测的对流降水云系所处的发展阶段。
表1 本文所用数据列表

Table 1 List of data used in this article

数据来源 时间段 所用主要参数 水平分辨率 垂直分辨率 用途
GPM PF数据集 2014年3月至2023年7月 年、 月、 日、 时、 经度、 纬度、 像元数、 30 dBZ最大回波高度、 对流性降水像元数 - - 降水云体时空分布的统计分析
2ADPR 2022年6 -8月 经度、 维度、 风暴顶高度、 近地面反射率因子、 粒子谱、 近地面雨强、 降水类型 5 km 125 m 中尺度系统个例的垂直结构及微物理过程分析
S波段雷达 基数据 2022年6 -8月 反射率因子 - - 判别对流的发展阶段

2.2 方法

DPR测雨雷达观测到近地面雨强大于0的相邻像元组成的区域定义为DPR-RPF, 为了避免雷达噪声干扰等造成的资料不确定性, 仅选择像元数量在四个以上的DPR-RPF进行研究(Wall et al, 2012)。将2014 -2023年期间GPM观测到的中心位于华东区域(21.5°N -38.4°N, 113.4°E -123°E)的DPRRPF挑选出来作为研究对象。利用卫星资料研究中尺度对流系统时常根据其面积大小划分为MCSs和sub-MCSs(Punkka and Bister, 2015Chudler and Rutledge, 2021Rocque and Rutledge, 2021)。本文参照Xu et al(2009)的分类方法, 根据面积大小和是否存在对流像元(降水类型为对流性降水的像元)对DPR-RPF进行分类: 对于存在对流像元且面积大于等于1000 km2的定义为MCSs(对应中β尺度), 面积小于1000 km2且存在对流像元的定义为sub-MCSs。此外, 将识别出的中尺度对流系统结合回波顶高为0 km的情况进行异常数据剔除。PF数据集中每一个DPR-RPF均对应一个中心经纬度和时间, 作为对流发生的地点和时间, 计算0.25°×0.25°格点内观测到的DPR-RPF数目来分析对流的地理分布特征; 通过统计不同季节(春季3 -5月, 夏季6 -8月, 秋季9 -11月, 冬季12月至次年2月)对流发生的次数分析其季节分布特征, 通过计算每个月对流的平均发生次数分析其月变化特征, 计算一天之中各小时段内对流发生次数占总次数的比例分析其日变化特征(周胜男等, 2015)。为便于比较, 季节变化的统计时段为2014年3月至2023年2月完整的9年, 月变化和日变化的统计则利用了目前所有时间段的资料(2014年3月至2023年7月)。
反射率因子等物理量的等高频率分布(Contoured Frequency by Altitude Diagram, CFAD)可有效揭示风暴的垂直结构(魏栋等, 2021沈程锋和李国平, 2022), 将CFAD进行归一化处理, 计算每个高度和数值范围内物理量出现频数占总数的百分比, 即可得到归一化等高频率分布(Normalized Contoured Frequency by Altitude Diagram, NCFAD), 用于比较绝对频率不同的CFAD样本。本文通过计算反射率因子、 降水粒子浓度与粒子直径的NCFAD分布, 分析发生在华东地区的典型中尺度对流系统个例, 揭示其宏微观结构特征。在对中尺度对流系统个例进行分析时, 参照傅云飞等(2022)方法, 利用2ADPR中的降水类型产品信息, 将中尺度对流系统区分为对流性降水区和层云性降水区分别进行特征分析。
根据卫星过境前后多普勒雷达回波演变特征的对比分析判别GPM观测的对流降水云系所处的发展阶段, 若当前回波较前后阶段强度更强, 则当前处于对流成熟阶段; 若后续回波继续增强, 则当前处于对流发展阶段; 若相比之前回波已明显减弱, 则当前处于对流消散阶段。
文中涉及的地图是基于中华人民共和国自然资源部地图技术审查中心标准地图服务系统下载的审图号为GS(2022)1061的中国地图制作, 底图无修改。

3 中尺度对流系统的时空分布特征

3.1 季节变化与日变化

表2可知, 夏季是华东地区发生对流系统最多的季节, 占全年的43.5%, 春季对流系统次数多于秋季, 冬季最少, 占比仅11.6%左右。从对流系统发生的月平均次数来看, MCSs发生次数最多的月份为6月, 这与华东区域梅雨集中期(6月中旬至7月中旬)(梁萍和何金海, 2008)大致吻合, 7 -8月由于华东地区主要受副高控制, 以局地对流为主, 因此发生MCSs降水的概率不高。sub-MCSs基本呈双峰分布, 8月是发生次数最多的月份, 其次为6月和7月(图1)。
表2 20143月至20232月华东地区对流系统发生数量季节分布

Table 2 The amount of convective systems occurring in different seasons in East China from March 2014 to February 2023

类型 对流系统发生数量/次
春季 夏季 秋季 冬季
所有对流系统 3851 7076 3439 1893
MCSs 1596 2010 1233 955
sub-MCSs 2255 5066 2206 938
图1 2014年3月至2023年7月华东地区MCSs(a)和sub-MCSs(b)月平均发生次数变化

Fig.1 The monthly average number of occurrences of MCSs (a) and sub-MCSs (b) in different months in East China from March 2014 to July 2023

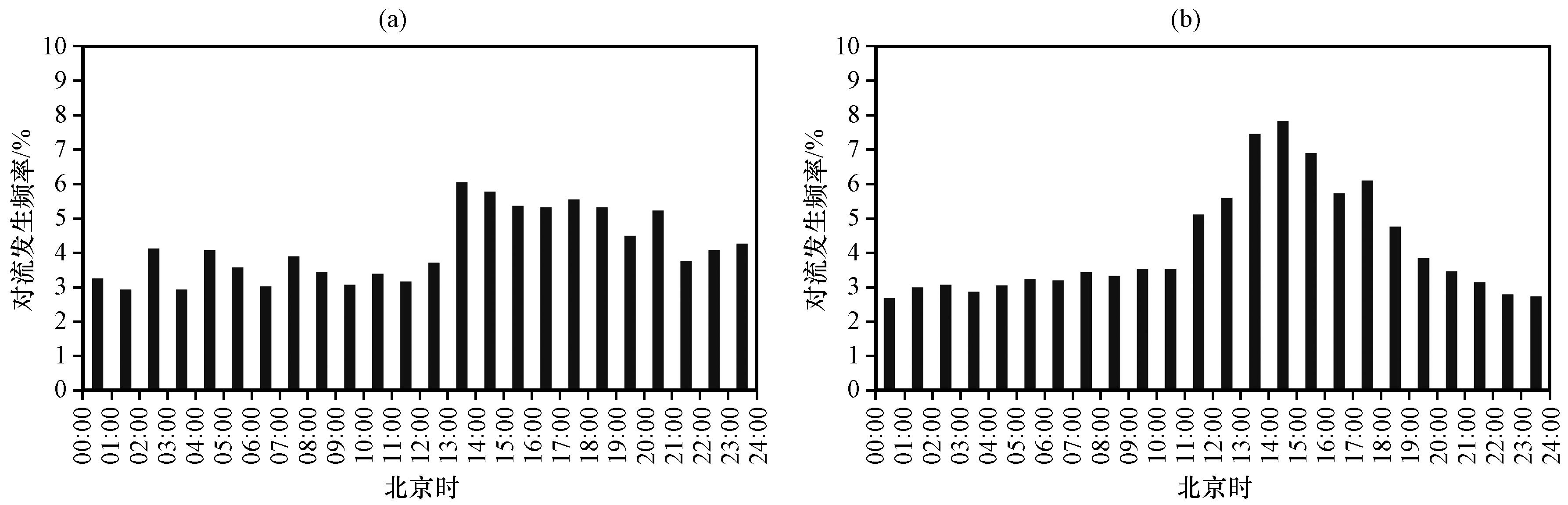
由于夏季是华东地区对流系统发生最多的季节, 对夏季对流系统发生的日变化做进一步分析。结果表明(图2), 华东地区夏季MCSs发生在午后的频率明显较高, 峰值对应的时段为13:00 -14:00(北京时, 下同), 主要由于夏季太阳辐射作用强, 对边界层大气加热造成大气层结不稳定, 为对流降水系统的产生提供重要条件(Shimizu et al, 2001张柳等, 2020李慧敏等, 2023), 而午后是一天之中太阳直接辐射最为强烈的时间; sub-MCSs发生频率的午后峰值特征更显著, 峰值对应时段为14:00 -15:00, 是一天之中sub-MCSs最容易发生的时段。这与周胜男等(2015)的研究结论中国东部对流日变化峰值出现在午后到傍晚的结论相一致。对比来看, MCSs与sub-MCSs发生的峰值时段基本相同, 但MCSs的日变化幅度相对平缓, 并且20:00 -24:00仍维持一定的发生概率, 而该时段sub-MCSs发生概率则逐渐降低, 这一方面是由于sub-MCSs的生命史较短, 多数生命史在1 h之内(蒋年冲等, 2007), 因此午后触发生成的sub-MCSs维持时间有限; MCSs的生命史一般较长, 约为6.5 h(曾波等, 2013), 午后生成的MCSs在傍晚前后发展至成熟阶段, 夜里才逐渐消散(刘瑞翔等, 2015); 另一方面是由于sub-MCSs主要为热对流, 夜间的辐射强迫作用迅速减弱也导致其夜间发生的概率明显降低; MCSs则另外还受其他天气系统的触发和维持(陈国春等, 2011)。
图2 2014年3月至2023年7月夏季华东地区MCSs(a)和sub-MCSs(b)发生频率日变化

Fig.2 Diurnal variation of frequency occurrence of MCSs (a) and sub-MCSs (b) in East China during the summer from March 2014 to July 2023

3.2 地理分布

图3为华东地区全年对流系统发生次数的地理空间分布, 图中各种标记对应的位置为0.25°×0.25°网格中心点的位置。 由图3可知, MCSs与sub-MCSs主要分布在台湾、 福建、 江西、 浙江以及安徽南部等华东的南部地区, 江苏、 山东以及安徽北部等地区的对流系统发生次数相对较少, 结合华东地区的地形可知, 对流系统发生次数较高的地区以山地、 丘陵等地形为主, 而对流系统发生次数较少的地区以平原地形为主, 说明对流系统的发生与地形具有密切关系。对流的发生是动力抬升、 不稳定能量和水汽供应共同作用导致的, 华东地区南部的山地、 丘陵等地形可以为对流的发生提供更好的动力抬升和热力不稳定能量, 促进对流的发生发展; 此外, 30°N以南靠近热带海洋, 太阳辐射强烈、 水汽丰富, 均有利于对流的发生(周胜男等, 2015), 因此华东地区南部的对流普遍多于其北部平原地区。从MCSs和sub-MCSs的地理分布对比来看, 内陆地区MCSs集中区域相对偏北, 主要集中于浙江和江西中北部, 这与长江中下游一带在梅汛期多大面积对流降水有关; sub-MCSs则更加集中于福建南部和江西西部地区。台湾地区MCSs更多的分布在台湾山脉的西侧, 可见与迎风坡的动力抬升有一定关系, sub-MCSs则主要集中在其东部和南部海岸沿线一带。
图3 2014年3月至2023年7月华东地区MCSs(a)和sub-MCSs(b)发生次数(单位: 次)的地理空间分布

Fig.3 The spatial distribution of frequency occurrence of MCSs (a) and sub-MCSs (b) of East China from March 2014 to July 2023.Unit: time

为进一步了解对流系统发生的地理分布特征, 对夏季对流系统分布进行了逐月分析(图4)。6月, MCSs主要分布于福建、 浙江、 江西及台湾山脉西侧等地; sub-MCSs主要分布于福建中南部、 江西西部、 浙江西部、 台湾南部等地, 尤其以福建南部地区发生最多, 长江以北地区发生次数普遍较少。7月, MCSs主要分布于浙江、 江苏、 江西北部及台湾南部等地; sub-MCSs在长江以北地区开始增多, 长江以南地区则有所减少, 主要分布于江西中北部、 浙江南部、 安徽南部等地。8月, MCSs出现减少, 主要分布于山东和台湾中北部地区; sub-MCSs则明显增多, 主要分布于福建、 浙江、 江西西部等地。总体看来, 在华东地区夏季, MCSs集中分布区域有逐月向北调整的趋势, sub-MCSs主要分布于闽浙地区及江西高海拔山区。
图4 华东地区6 -8月逐月MCSs(a~c)和sub-MCSs(d~f)发生次数的空间分布(单位: 次)

Fig.4 The spatial distribution of monthly occurrence of MCSs (a~c) and sub-MCSs (d~f) in East China from June to August.Unit: time

4 中尺度对流系统的宏微观结构特征

本文基于三个MCSs个例和三个sub-MCSs个例对华东地区的中尺度对流系统宏微观结构特征进行分析, 三个MCSs个例对应的日期分别为2022年6月24日、 7月28日和8月26日, 处于不同的对流发展阶段, 并且被GPM完整扫描到或扫描到主体部分, 保证了数据的典型性和完整性, 可在一定程度上反映华东地区MCSs的云系特征; 三次sub-MCSs个例对应的日期分别为2022年6月28日、 7月25日和8月24日。

4.1  MCSs的雷达回波演变

首先利用地面多普勒雷达获取MCSs的基本信息, 判别GPM扫过时云系所处的发展阶段。各MCSs的多普勒雷达演变如图5所示, 6月24日的MCSs发生于苏皖南部, 是三次MCSs过程中面积最大的, 结合前后的回波演变, GPM扫过时对流接近成熟阶段, 最大回波强度约60 dBZ。7月28日的MCSs位于安徽东南部和浙江西北部, 兼有层云特征和对流云特征, 对流部分最大回波强度超过60 dBZ, 17:47(GPM扫过的时间), 云体最大回波强度较半小时前变化不大, 但强回波面积有所减小, 因对流减弱而形成的层云范围有所增大, 18:14回波强度进一步减弱, 说明GPM扫过时该MCSs已开始由成熟转向消散。8月26日的MCSs具有较长的生命史, 该系统于14:00前后在安徽东南部由多个局地单体对流合并而成, 后向东偏南方向移动, 18:40移经杭州和湖州地区时对流发展较为旺盛, 最强回波超60 dBZ, 23:14(GPM扫过的时间), 回波主体移至绍兴东部和宁波西部, 对流强度和强回波面积已出现明显减弱, 最大回波强度为54 dBZ, 27日00:14, 整体回波基本低于45 dBZ, 最终于02:00前后在宁波东南沿海消散, 整个生命周期约12 h, GPM扫过时该MCSs已处于消散阶段。因此, 三个MCSs个例中一个处于对流成熟阶段, 一个处于对流成熟转向对流消散的阶段, 一个处于对流消散阶段。
图5 2022年6月24日(a1~a3)、 7月28日(b1~b3)湖州多普勒雷达和8月26日(c1~c3)杭州多普勒雷达不同时次的组合反射率(单位:dBZ)

红色椭圆为所关注的MCSs

Fig.5 Different time of composite reflectivity (unit: dBZ) by Huzhou Doppler radar on 24 June 2022 (a1~a3), 28 July 2022 (b1~b3) and composite reflectivity (unit: dBZ) by Hangzhou Doppler radar on 26 August 2022 (c1~c3).The red ellipse represents the MCSs of interest

4.2  MCSs水平分布特征

6月24日、 7月28日和8月26日三个MCSs在GPM数据中分别由923、 157、 458个像元组成, GPM_DPR数据的水平分辨率约为5 km, 因此云系的面积均远超1000 km2。根据2ADPR数据中降水类型信息, 3个MCSs个例中均同时包含对流性降水与层云性降水, 降水类型详见图6所示, 3个MCSs中对流性降水与层云性降水的比例分别为2∶5、 1∶1和1∶10。在对MCSs进行统计分析时, 当层云性降水的比例较高, 就会失去对流性降水的细节(傅云飞等, 2022)。因此本文将MCSs中的对流性降水和层云性降水分别进行分析。
图6 6月24日(a)、 7月28日(b)和8月26日(c)MCSs的近地面反射率因子(彩色区, 单位: dBZ)及不同降水类型分布

△表示对流性降水, +表示层云性降水, □表示其他降水

Fig.6 Reflectivity factor at near surface (color area, unit: dBZ) and distribution of different precipitation types of MCSs on 24 June (a), 28 July (b) and 26 August (c).Triangle marks represent convective precipitation, cross marks represent stratiform precipitation, and square marks represent other precipitation

3个MCSs的平均近地面雨强分别为4.6 mm·h-1、 3.4 mm·h-1、 3.2 mm·h-1, 各MCSs中不同降水类型的云系特征如表3所示, 层云性降水普遍较弱, 以稳定性弱降水为主, 85%以上的雨强小于5 mm·h-1; 对流性降水的雨强分布更宽, 30%~45%的雨强大于5 mm·h-1, 平均近地面雨强约为层云性降水的4~5倍, 表明对流性降水强度远高于层云性降水。
表3 不同MCSs云系的特征

Table 3 Cloud characteristics of different MCSs

MCSs个例 降水类型 平均近地面雨强/(mm·h-1 不同强度雨强占比 平均回波顶高/km
1 mm·h-1 1~5 mm·h-1 5 mm·h-1
20220624 层云性降水 2.4 43.9% 43.2% 12.9% 7.6
对流性降水 12.0 20.0% 35.0% 45.0% 9.2
20220728 层云性降水 1.1 78.1% 20.5% 1.4% 11.5
对流性降水 5.8 32.1% 39.7% 28.2% 12.8
20220826 层云性降水 2.4 52.6% 35.4% 12.0% 9.3
对流性降水 10.5 23.8% 33.5% 42.7% 10.4
回波顶高表示雷达探测到降水回波出现的最高位置, 反映了降水系统发展的程度, 它与降水系统的动力与热力过程有关(马冰霞等, 2023)。三个MCSs的平均回波顶高分别为8.0 km、 12.2 km、 9.4 km, 最大回波顶高分别为12.7 km、 15 km、 14.6 km, 表明夏季对流云中上升气流和不稳定能量较强, 导致云系发展高度较高, 最大云顶高度一般都在10 km以上。在同一MCSs中, 对流性降水的云体发展更为旺盛, 平均回波顶高比层云性降水高1.1~1.6 km。根据该3个MCSs个例的相关性分析, MCSs的雨强与反射率因子相关系数达64%~68%, 呈明显正相关关系, 与回波顶高的相关性则较差, 相关系数仅37%~42%。

4.3  MCSs垂直结构特征

4.3.1 反射率因子的垂直分布

图7(a)为8月26日个例中GPM沿着垂直于轨道方向、 经过强回波区的反射率因子垂直剖面, 具体剖面位置见图6(c)中红色AB线, 图7(b)为相同位置的地基雷达反射率因子垂直剖面。由对比可知, GPM和地基雷达的反射率因子垂直剖面在基本形态、 回波分布等方面基本是一致的, 由于二者扫描方式的不同, GPM在降水回波顶和近地面回波方面有更好的刻画; GPM剖面中反射率因子最大值为53.05 dBZ, 地基雷达剖面的最大值为55 dBZ, 表明二者反射率因子的强度较为接近, 地基雷达反射率因子略高。层云性降水区回波顶较为平坦, 高度为8~10 km, 对流性降水区有更高的回波顶, 最大高度达14 km左右, 表明对流降水区具有更强的垂直上升运动。层云性降水在5 km左右高度有明显的亮带, 亮带以下回波比较均匀, 基本维持在35~40 dBZ; 对流性降水具有强回波核(50 dBZ以上), 从5 km左右高度到接近地面一直维持较强的回波。本文另外两个MCSs个例在垂直剖面上也有类似的特征。
图7 8月26日MCSs的GPM(a)和地基雷达(b)沿图6(c)中AB线的反射率因子垂直剖面

Fig.7 The cross-section of reflectivity factor (unit: dBZ) for MCSs on 26 August measured by GPM (a) and ground based radar (b) along line AB as shown in Fig.6(c)

由反射率因子的归一化等高频率分布(图8)可知, 在垂直分布形态上, 对流性降水相比层云性降水分布更宽, 但二者的反射率因子均表现为上窄下宽的形态特征, 这是由于高层水汽含量低, 云粒子一般以小的冰雪晶的形式存在, 随着云粒子下降过程中吸收低层水汽或碰并液水而逐渐增长, 导致低层反射率因子的增大。
图8 6月24日(a~b)、 7月28日(c~d)和8月26日(e~f) MCSs中对流性降水(左)与层云性降水(右)的反射率因子归一化等高频率(单位: ‰)分布

黑色实线为反射率因子最大频率廓线

Fig.8 Normalized contoured frequency by altitude diagrams (unit: ‰) of reflectivity factor for MCSs on 24 June (a~b), 28 July (c~d) and 26 August (e~f).The left three subgraphs represent convective precipitation and the right three subgraphs represent stratiform precipitation.The black solid line indicate maximum frequency profile of reflectivity factor

反射率因子最大频率廓线可在一定程度上反映云中粒子群的生长存留等宏、 微观状态(沈程锋和李国平, 2022), 由图8可知, 对流性降水的反射率因子最大频率廓线呈“弓形”特征, 垂直结构大致可分为两层, 第一层为云顶至4~5 km高度, 随着高度的降低回波分布区间变宽, 回波强度增强。傅云飞等(2022)研究表明粒子尺度大但数量少与粒子尺度小但数量多可以产生同样强度的回波, 第一层回波的增大表征该高度区间内粒子在下降过程中出现了粒径增长或粒子数增多。第二层为4~5 km以下高度, 反射率因子强度随高度变化不大, 集中分布在34~42 dBZ。对流性降水的这种分布特征与魏栋等(2021)的发现相一致, 这可能主要与上升气流的分布有关, 上升气流速度随高度先增大后减小, 使云中水凝物下落过程中在上升气流速度最大的高度层累积或滞留(魏栋等, 2021)。
层云性降水反射率因子垂直结构同样可分为两层, 第一层为云顶至3~5 km高度, 变化趋势与对流性降水较一致, 随着高度降低强度逐渐增大; 但其回波强度随高度降低时的增速明显低于对流性降水, 可能是由于对流性降水整体的垂直上升运动较强, 可以更长时间托住云粒子, 使粒子不断增长(袁敏等, 2023)。根据杭州站8月26日探空资料分析(其他2个个例缺探空资料), 当天的零度层高度约为5400 m, 三次过程中层云性降水在5 km附近回波强度较上层均明显增大, 表现出显著的亮带特征, 尤其是6月24日和8月26日两次过程具有明显亮带, 这一方面是由于冰晶粒子的碰撞效率在零度层附近可达最大(范思睿和王维佳, 2022), 另一方面由于降落的粒子群在零度层附近表面发生融化而使反射率因子增加(杜爽等, 2020)。第二层为3~5 km以下高度, 随着高度的降低反射率因子迅速向20 dBZ以下弱回波区集中, 表明在该高度区间粒子尺度减小或数量减少。

4.3.2 降水粒子的垂直分布

为进一步了解MCSs的垂直结构特征, 对粒子浓度参数[dBNw=10log10Nw)]和粒子质量加权平均直径(Dm)两个参量进行了统计分析, 该参量是雨滴生成、 增长、 下落、 破碎以及蒸发等过程的综合结果(蒲学敏等, 2021)。由粒子数浓度的垂直分布可知(图9), 对流性降水的dBNw具有更广的分布域(15~44), 3个个例中对流性降水的dBNw平均值分别为31.9、 27.7、 29.1; 层云性降水的dBNw分布域为20~44, dBNw平均值分别为33.6、 31.8、 32.6, 均高于对流性降水, 表明在积层混合云中层云性降水的粒子数浓度一般大于对流性降水。分析dBNw平均廓线, 6月24日和8月26日两个MCSs个例比较类似, 对流性降水的dBNw总体随高度降低而增大, 层云性降水dBNw在5 km以上随高度降低略有增大, 在5 km以下则几乎维持不变, 集中于32~34。7月28日个例中对流性降水和层云性降水的dBNw在垂直方向的变化趋势基本一致, 在10 km以上, dBNw随着高度的降低而增大; 5~10 km, dBNw随着高度降低而减小, 表明在该高度区间粒子可能以碰并聚合或粘连等作用为主; 5 km以下, dBNw随高度变化不大。
图9 6月24日(a~b)、 7月28日(c~d)和8月26日(e~f) MCSs中对流性降水(左)与层云性降水(右)的dBNw归一化等高频率(单位: ‰)分布

黑色实线为dBNw平均值廓线

Fig.9 Normalized contoured frequency by altitude diagrams (unit: ‰) of dBNw for MCSs on 24 June (a~b), 28 July (c~d) and 26 August (e~f).The left three subgraphs represent convective precipitation and the right three subgraphs represent stratiform precipitation.The black solid line indicate mean frequency profile of dBNw

图10为Dm的NCFAD分布。由图10可知, 对流性降水的Dm分布域为0.8~3.0 mm, 层云性降水的Dm分布域为0.8~2.4 mm, 但2 mm以上的粒子占比非常低, Dm的分布域表明对流性降水具有更多的大粒子存在, 这是对流性降水雨强明显高于层云性降水的主要原因。三次过程中对流性降水的Dm垂直分布均表现为随高度降低粒子先增大后缓慢减小, 拐点对应高度约为4 km。层云性降水Dm垂直变化趋势与对流性降水类似, 但粒子尺度随高度的变化幅度明显弱于对流性降水, 且粒子开始减小的高度高于对流性降水, 从5 km左右开始随着高度降低小粒子占比逐渐增多。在低层, 对流性降水与层云性降水粒子尺度均出现减小, 这可能是由于粒子下降过程中受蒸发作用或粒子破碎导致的(袁敏等, 2023)。粒子形变和碰撞均可导致粒子发生破碎(盛裴轩等, 2003), 粒子破碎一般会伴随粒子数浓度的增加, 但结合图9可知, 对流性降水在低层粒子浓度有所增加, 而层云性降水粒子浓度无明显变化, 表明层云性降水粒子直径的减小主要是受蒸发作用导致的, 这与蒲学敏等(2021)的研究结论相吻合; 对流性降水由于大粒子和较强上升气流的存在, 导致降水粒子自身发生形变破碎和粒子间碰撞破碎的几率增大(沈程锋和李国平, 2022), 这是导致对流性降水粒子尺度减小的重要原因之一。在6月24日MCSs个例中, 低层(3 km以下)Dm主要集中于1 mm以下的小粒子, 但该个例的对流性降水雨强是三个个例中最大的, 主要是由于该高度区间dBNw集中于36~38, 较高的粒子浓度使粒子大小不占优的对流性降水产生了更大的雨强, 说明降水强度是粒子大小和粒子浓度等多因素共同决定的, 这与王智敏等(2024)的研究发现一致。
图10 6月24日(a~b)、 7月28日(c~d)和8月26日(e~f) MCSs中对流性降水(左)与层云性降水(右)的Dm归一化等高频率(单位: ‰)分布

黑色实线为Dm平均值廓线

Fig.10 Normalized contoured frequency by altitude diagrams (unit: ‰) of Dm for MCSs on 24 June (a~b), 28 July (c~d) and 26 August (e~f).The left three subgraphs represent convective precipitation and the right three subgraphs represent stratiform precipitation.The black solid line indicate mean frequency profile of Dm

4.4  sub-MCSs的云系特征

三个sub-MCSs过程分别发生在2022年6月28日江西中部、 7月25日浙江南部和8月24日浙江西部, 三个个例在GPM数据中分别由39、 38、 27个像元组成, 面积均小于1000 km2, 三个sub-MCSs中对流性降水与层云性降水的比例分别为1∶1、 2.6∶1和1.5∶1, 均为以对流性降水为主的中尺度对流系统。由于sub-MCSs对应的GPM扫描点较少, 本文仅对个例整体做云系统计分析。
由多普勒雷达回波演变(图略)可知, 三个sub-MCSs均处于成熟阶段前后。云系有关的特征统计如表4所示, 平均近地面雨强为1.5~2.0 mm·h-1, 雨强与MCSs中层云性降水的雨强相当。三个sub-MCSs的最大回波顶高均超过10 km, 其中6月28日个例的最大回波顶高达16.8 km, 可见夏季局地sub-MCSs也可以发展至较旺盛。sub-MCSs的Dm平均值与MCSs中对流性降水的Dm平均值相当, 但dBNw平均值小于MCSs, 这可能是sub-MCSs的降水强度弱于MCSs的原因之一。
表4 不同sub-MCSs个例的云系特征

Table 4 Cloud characteristics of different sub-MCSs

sub-MCSs个例 平均近地面雨强/(mm·h-1 平均回波顶高/km 最大回波顶高/km 平均dBNw 平均Dm/mm
20220628 1.6 9.9 16.8 27.5 1.7
20220725 1.5 11.8 15.7 26.8 1.8
20220824 2.0 8.6 12.6 26.7 1.7

5 结论

本文利用长时序GPM资料, 以中尺度对流系统为研究对象, 对其在华东地区的时空分布进行了详细分析, 获得了MCSs和sub-MCSs两种不同尺度中尺度对流系统的分布特征及生消规律。结合GPM资料高分辨率的垂直廓线资料, 通过对典型个例的深入分析, 加强了对华东地区中尺度对流系统的垂直结构及内部微物理过程的认识, 为该区域对流降水预报水平的提高、 模式模拟参数化方案的选择及优化提供参考。得到主要结论如下:
(1) 夏季是华东地区发生中尺度对流系统最多的季节, MCSs在6月发生最多, sub-MCSs在8月发生最多。MCSs与sub-MCSs发生频率均有午后峰值特征, MCSs的日变化幅度相对平缓, sub-MCSs夜间发生频率迅速降低。对流系统的发生与地形具有密切关系, 在夏季, 华东地区的MCSs集中分布区域有逐月向北调整的趋势, sub-MCSs主要分布在闽浙地区及江西高海拔山区。
(2) MCSs和sub-MCSs一般由“对流性降水、 层云性降水和其他降水”三种降水类型组成, MCSs中对流性降水的粒子浓度总体比层云性降水小, 但粒径更大, 使其降水强度更大, 为层云性降水的4~5倍; 以对流性降水为主的sub-MCSs整体粒子尺度与MCSs中对流性降水的粒子尺度相当, 但粒子浓度更低, 使其雨强相对更弱, 降水强度由粒子大小和粒子浓度等多因素共同决定。
(3) 在5 km高度以上, 降水粒子在下降过程中因吸收低层水汽或碰并液水等作用而逐渐增长, 使对流性降水与层云性降水的反射率因子归一化等高频率分布形态均表现为上窄下宽的特征, 其中对流性降水的反射率因子随高度下降时的增速强于层云性降水, 其反射率因子最大频率廓线呈“弓形”特征, 层云性降水反射率因子则在零度层以下表现出亮带特征。
(4) 在4 km以下的暖层, 降水粒子在下降过程中粒子尺度逐渐减小, 其中层云性降水粒子尺度减小的同时数浓度变化不明显, 对流性降水则一般伴有粒子数浓度的增大。
在取得上述结果的同时, 也认识到本文利用GPM数据区分了MCSs与sub-MCSs, 因受数据时间分辨率限制, 不排除MCSs会包含前几个时刻sub-MCSs融合的结果。另外, 在分析中尺度对流系统的微观结构特征时主要基于三次MCSs的GPM探测资料, 依据其反射率因子、 粒子大小和粒子浓度在高度上的变化判别云中粒子可能发生的微物理过程, 但实际云中粒子所发生的物理过程极其复杂, 降水粒子的形成受冻结、 凝华、 融化、 碰并、 破碎、 蒸发等多种过程综合作用, 后续需增加更多的分析样本, 对中尺度对流系统进行更为细致的分类, 并结合飞机粒子图像数据, 从而获得对中尺度对流系统不同类型不同发展阶段更为深入的云微物理特征的认识。
Chudler K Rutledge S2021.The coupling between convective variability and large-scale flow patterns observed during PISTON 2018-2019[J].Journal of Climate34(9): 7199-7218.

Hashimoto A Harimaya T2005.Characteristics of raindrop size distribution dependent on the life stage of a convective precipitation cloud in the baiu season[J].Journal of the Meteorological Society of Japan83(4): 641-649.

Le M Chandrasekar V2013.Precipitation type classification method for dual-frequency precipitation radar (DPR) onboard the GPM[J].IEEE Transactions on Geoscience and Remote Sensing51(3): 1784-1790.

Punkka A J Bister M2015.Mesoscale convective systems and their synoptic-scale environment in finland[J].Weather and Forecasting30(2): 182-196.

Rocque M N Rutledge S A2021.Diurnal cycle of precipitation features observed during DYNAMO[J].Journal of the Atmospheric Sciences78(7): 2287-2306.

Shimizu S Ueno K Fujii H, et al, 2001.Mesoscale characteristics and structures of stratiform precipitation on the Tibetan Plateau[J].Journal of the Meteorological Society of Japan79(1B): 435-461.

Takahashi T Yamaguchi N Kawano T2001.Videosonde observation of torrential rain during Baiu season[J].Atmospheric Research58(3): 205-228.

Wall C L Zipser E J Liu C T2012.A regional climatology of monsoonal precipitation in the southwestern united states using TRMM[J].Journal of Hydrometeorology13(1): 310-323.

Xu W Rutledge S A M2015.Intensity, and rainfall production of MJO convection: observations from DYNAMO shipborne radar and TRMM[J].Journal of the Atmospheric Sciences72(2): 623-640.

Xu W Zipser E Liu C2009.Rainfall characteristics and convective properties of Mei-Yu precipitation systems over South China, Taiwan, and the South China Sea.Part I: TRMM Observations[J].Monthly Weather Review137(12): 4261-4275.

常祎, 郭学良, 唐洁, 等, 2021.青藏高原夏季对流云微物理特征和降水形成机制[J].应用气象学报32(6): 720-734.

Chang Y Guo X L Tang J, et al, 2021.Microphysical characteristics and precipitation formation mechanisms of convective clouds over the Tibetan Plateau in summer[J].Journal of Applied Meteorological Science32(6): 720-734.

陈国春, 郑永光, 肖天贵, 2011.我国暖季深对流云分布与日变化特征分析[J].气象37(1): 75-84.

Chen G C Zheng Y G Xiao T G2011.Distribution and spatiotemporal variations of deep convective clouds over China during the warm season[J].Meteorological Monthly37(1): 75-84.

陈双, 孙继松, 何立富, 2022.四川盆地不同落区的三次强降水过程多尺度特征分析[J].高原气象41(5): 1190-1208.DOI: 10.7522/j.issn.1000-0534.2021.00060.Chen S

Sun J S He L F2022.Analysis of multi-scale characteristics of three different types of heavy rainfall in Sichuan Basin[J].Plateau Meteorology41(5): 1190-1208.DOI: 10.7522/j.issn.1000-0534.2021.00060 .

杜爽, 王东海, 李国平, 等, 2020.基于双频星载降水雷达GPM数据的华南地区降水垂直结构特征分析[J].热带气象学报36(1): 115-130.

Du S Wang D H Li G P, et al, 2020.Analysis of the vertical structure of precipitation in south China based on dual-frequency spaceborne precipitation radar GPM product[J].Journal of Tropical Meteorology36(1): 115-130.

段婧, 楼小凤, 陈勇, 等, 2019.基于航测的珠三角气溶胶垂直分布及活化特性[J].应用气象学报30(6): 677-689.

Duan J Lou X F Chen Y, et al, 2019.Aircraft measurements of aerosol vertical distributions and its activation efficiency over the Pearl River Delta[J].Journal of Applied Meteorological Science30(6): 677-689.

范思睿, 王维佳, 2022.四川盆地秋季一次层状云弱降水过程的微物理特征观测分析[J].暴雨灾害41(4): 445-457.

Fan S R Wang W J2022.Analysis on the microphysical characteristics of weak precipitation process observation of a stratiform cloud in Sichuan Basin in autumn[J].Torrential Rain and Disasters41(4): 445-457.

范雯露, 景晓琴, 杨璟, 等, 2022.基于飞机观测的美国落基山地区冬季混合相态层状云与夏季对流云的微物理特征[J].大气科学46(5): 1113-1131.

Fan W L Jing X Q Yang J, et al, 2022. Microphysical characteristics of winter mixed-phase stratiform clouds and summer convective clouds in the Rocky Mountain Region Based on airborne measurements[J]. Chinese Journal of Atmospheric Sciences46(5): 1113-1131.

傅云飞, 2019.卫星主被动仪器遥感中国暴雨的研究进展[J].暴雨灾害38(5): 554-563.

Fu Y F2019.Satellite-borne active and passive instruments for remote sensing of heavy rain in China: A review[J].Torrential Rain and Disasters38(5): 554-563.

傅云飞, 罗晶, 罗双, 等, 2022.GPM卫星DPR和GMI探测的2018年5月重庆超级单体云团降水结构特征分析[J].暴雨灾害41(1): 1-14.

Fu Y F Luo J Luo S, et al, 2022.Rainstorm structure of a supercell cloud occurred in Chongqing in May 2018 measured by GPM DPR and GMI[J].Torrential Rain and Disasters41(1): 1-14.

谷艳茹, 范广洲, 2021.青藏高原地区深对流系统特征分析[J].气象科技49(3): 372-379.

Gu Y R Fan G Z2021.Characteristics of deep convective system over Tibetan Plateau[J].Meteorological Science and Technology49(3): 372-379.

蒋年冲, 刘娟, 胡雯, 等, 2007.安徽夏季中γ尺度对流云的雷达回波特征[J].气象33(10): 9-14.

Jiang N C Liu J Hu W, et al, 2007.Summer meso-γ scale convective clouds radar echo characteristics in Anhui[J].Meteorological Monthly33(10): 9-14.

李慧敏, 安晶晶, 邱学兴, 等, 2023.安徽暖季对流活动的雷达气候学特征及影响因素[J].暴雨灾害42(5): 554-562.

Li H M An J J Qiu X X, et al, 2023.Characteristics of convective storm activity during the warm season over Anhui Province based on radar mosaic climatology and the possible causes[J].Torrential Rain and Disasters42(5): 554-562.

李剑婕, 郑佳锋, 刘艳霞, 等, 2022.四川盆地与周边地区的降水垂直结构和宏微观差异研究[J].气象学报80(2): 205-223.

Li J J Zheng J F Liu Y X, et al, 2022.A study on vertical structure and macro-to micro-characteristics and differences of precipitation in Sichuan basin and the surrounding areas[J].Acta Meteorologica Sinica80(2): 205-223.

李文娟, 俞小鼎, 滕代高, 等, 2021.中国江南-华南地区一次强飑线天气过程位涡诊断分析[J].气象与环境学报37(6): 1-10.

Li W J Yu X D Teng D G, et al, 2021.Diagnostic analysis of potential vortex of a severe squall line weather process in South China[J].Journal of Meteorology and Environment37(6): 1-10.

梁萍, 何金海, 2008.江淮梅雨气候变化研究进展[J].高原气象27(B12): 8-15.

Liang P He J H2008.Review for climate change of Meiyu over the Yangtze-Huaihe Basins[J].Plateau Meteorology27(B12): 8-15.

刘瑞翔, 丁治英, 孙凌光, 等, 2015.夏季江淮地区中尺度对流系统的统计特征分析[J].暴雨灾害34(3): 215-222.

Liu R X Ding Z Y Sun L G, et al, 2015.Statistical analysis of mesoscale convective systems over Yangtze-Huaihe basin in summer[J].Torrential Rain and Disasters34(3): 215-222.

刘兆晨, 杨梅学, 王学佳, 等, 2020.GPM和TRMM卫星日降水数据在黄河源区的适用性分析[J].冰川冻土42(2): 575-586.

Liu Z C Yang M X Wang X J, et al, 2020.The GPM and TRMM satellite-based precipitation products applied in the source regions of the Yellow River[J].Journal of Glaciology and Geocryology42(2): 575-586.

马冰霞, 冯鑫媛, 李媛, 等, 2023.基于GPM卫星探测的夏季高原涡降水结构特征[J].高原山地气象研究43(1): 8-16.

Ma B X Feng X Y Li Y, et al, 2023.Characteristics of precipitation structure of Tibetan Plateau vortex in summer detected by GPM satellite[J].Plateau and Mountain Meteorology Research43(1): 8-16.

毛程燕, 荆思佳, 潘欣, 等, 2021.浙江一次江淮气旋后部强对流暴雨过程诊断研究[J].热带气象学报37(4): 530-540.

Mao C Y Jing S J Pan X, et al, 2021.Diagnostic research of severe convective rainstorm event at the back of a Jiang-Huai cyclone in Zhejiang Province[J].Journal of Tropical Meteorology37(4): 530-540.

蒲学敏, 白爱娟, 毛晓亮, 2021.高原涡与西南涡相互作用引发暴雨过程及云系特征分析[J].气象科技进展11(4): 89-101.

Pu X M Bai A J Mao X L2021.Analysis of the process of heavy rain and cloud system characteristics caused by the interaction of the plateau vortex and the southwest vortex[J].Advances in Meteorological Science and Technology11(4): 89-101.

沈程锋, 李国平, 2022.基于GPM资料的四川盆地及周边地区夏季地形降水垂直结构研究[J].高原气象41(6): 1532-1543.DOI: 10.7522/j.issn.1000-0534.2021.0116.Shen C F

Li G P2022.The vertical structure of orographic precipitation during warm season in the Sichuan Basin and its surrounding areas by using GPM dual-frequency spaceborne precipitation radar[J].Plateau Meteorology41(6): 1532-1543.DOI: 10.7522/j.issn.1000-0534.2021.0116 .

沈杭锋, 方桃妮, 蓝俊倩, 等, 2019.一次强飑线过程极端大风的中尺度分析[J].气象学报77(5): 806-822.

Shen H F Fang T N Lan J Q, et al, 2019.Mesoscale analysis of the extremely damaging gale in a severe squall line[J].Acta Meteorologica Sinica77(5): 806-822.

盛裴轩, 毛节泰, 李建国, 等, 2003.大气物理学[M].北京: 北京大学出版社.Sheng P X, Mao J T, Li J G, et al, 2023.Atmospheric physics[M].Beijing: Peking University Press.

王俊, 陈宝君, 周淑玲, 等, 2023.郑州“7·20”特大暴雨雨滴谱特征分析[J].高原气象, 2023, 42(5): 1247-1259.DOI: 10.7522/j.issn.1000-0534.2022.00089.Wang J

Chen B J Zhou S L, et al, 2023. Analyzing the characteristics of raindrop size distributions of the“7·20”torrential rain in Zhengzhou on 20 July 2021[J].Plateau Meteorology42(5): 1247-1259.DOI: 10.7522/j.issn.1000-0534.2022.00089 .

王智敏, 汪会, 冯婉悦, 等, 2024.GPM卫星探测新疆区域降雪敏感性及云结构特征研究[J].气象50(6): 686-700.

Wang Z M Wang H Feng W Y, et al, 2024.Sensitivity of GPM satellite detection of snowfall and analysis of cloud structure characteristics in Xinjiang Region[J].Meteorological Monthly50(6): 686-700.

魏栋, 刘丽伟, 田文寿, 等, 2021.基于卫星资料的西北地区高原涡强降水分析[J].高原气象40(4): 829-839.DOI: 10.7522/j.issn.1000-0534.2021.000021.Wei D

Liu L W Tian W S, et al, 2021.Analysis of the heavy precipitation caused by Plateau vortex in northwest China based on satellite data[J].Plateau Meteorology40(4): 829-839.DOI: 10.7522/j.issn.1000-0534.2021.000021 .

徐双柱, 吴翠红, 吴涛, 2013.“2011.6.18”湖北大暴雨成因分析[J].高原气象32(4): 1106-1114.DOI: 10.7522/j.issn.1000-0534.2012.00104.Xu S Z

Wu C H Wu T2013.Analysis on heavy rainstorm in Hubei Province on 18 June 2011[J].Plateau Meteorology32(4): 1106-1114.DOI: 10.7522/j.issn.1000-0534.2012.00104 .

阳向荣, 费建芳, 黄小刚, 等, 2017.亚洲季风区不同形态中尺度对流系统的特征分析[J].气象科学37(4): 436-449.

Yang X R Fei J F Huang X G, et al, 2017.Characteristics of mesoscale convective system in different morphologies over the Asian monsoon region[J].Journal of the Meteorological Sciences37(4): 436-449.

杨晓军, 叶培龙, 徐丽丽, 等, 2022.一次青藏高原东北侧边坡强对流暴雨的中尺度对流系统演变特征[J].高原气象41(4): 839-849.DOI: 10.7522/j.issn.1000-0534.2021.00023.Yang X J

Ye P L Xu L L, et al, 2022.The variation characteristics of mesoscale convection system in a severe convective torrential rain over the northeast slope of the Qinghai-Xizang Plateau[J].Plateau Meteorology41(4): 839-849.DOI: 10.7522/j.issn.1000-0534.2021.00023 .

袁敏, 李玫, 闫美林, 等, 2023.GPM卫星探测四川“5·21”特大暴雨的降水结构特征分析[J].高原山地气象研究43(4): 35-41.

Yuan M Li M Yan M L, et al, 2023.Structural characteristics of ‘5·21’ heavy rainstorm in Sichuan detected by GPM satellite[J].Plateau and Mountain Meteorology Research43(4): 35-41.

岳治国, 余兴, 刘贵华, 等, 2018.NPP/VIIRS卫星反演青藏高原夏季对流云微物理特征[J].气象学报76(6): 968-982.

Yue Z G Yu X Liu G H, et al, 2018.NPP/VIIRS satellite retrieval of summer convective cloud microphysical properties over the Tibetan Plateau[J].Acta Meteorologica Sinica76(6): 968-982.

曾波, 谌芸, 李泽椿, 等, 2015.我国中东部地区夏季中尺度对流系统形成前物理量诊断分析[J].地球物理学报58(1): 32-46.

Zeng B Chen Y Li Z C, et al, 2015.Diagnostic analysis of physical quantities for the precursor environment of mesoscale convective system during summer in central-eastern China[J].Chinese Journal of Geophysics58(1): 32-46.

曾波, 谌芸, 肖天贵, 2013.我国中东部地区夏季MCS统计分析[J].气象39(2): 180-185.

Zeng B Shen Y Xiao T G2013.Statistical analysis of MCS in summer in Central-Eastern China[J].Meteorological Monthly39(2): 180-185.

张柳, 霍利微, 潘玉洁, 2020.华东地区夏季中尺度对流系统的活动特征及成因研究[J].大气科学学报43(2): 392-404.

Zhang L Huo L W Pan Y J2020.Research on the activity characteristics and the formation cause of MCS over East China in summer[J].Transactions of Atmospheric Sciences43(2): 392-404.

张玉欣, 韩辉邦, 康晓燕, 等, 2024.祁连山冷锋过程中积层混合云微物理特征飞机观测研究[J].气象科学44(3): 558-571.

Zhang Y X Han H B Kang X Y, et al, 2024.Aircraft observation study on microphysical characteristics of cumulus hybrid clouds during a cold front in Qilian Mountains[J].Journal of the Meteorological Sciences44(3): 558-571.

赵传峰, 杨以坤, 2021.地基遥感反演进展及挑战[J].暴雨灾害40(3): 243-258.

Zhao C F Yang Y K2021.Progress and challenges of ground-based cloud remote sensing[J].Torrential Rain and Disasters40(3): 243-258.

周胜男, 罗亚丽, 汪会, 2015.青藏高原、 中国东部及北美副热带地区夏季降水系统发生频次的TRMM资料分析[J].气象41(1): 1-16.

Zhou S N Luo Y L Wang H2015.Analysis of occurrence frequency of precipitation feature over Tibetan Plateau, east China and subtropical north America in boreal summer using TRMM data[J].Meteorological Monthly41(1): 1-16.

文章导航

/