1980 -2020年青藏高原夏季风期间水汽输送特征

  • 张欢 , 1, 2, 3 ,
  • 胡泽勇 , 1, 2 ,
  • 于海鹏 1, 2 ,
  • 吴浩杰 1, 2, 3 ,
  • 程姗岭 1, 2, 3 ,
  • 王冠添 1, 2, 3 ,
  • 樊威伟 1, 2
展开
  • 1. 中国科学院西北生态环境资源研究院/冰冻圈科学与冻土工程重点实验室,甘肃 兰州 730000
  • 2. 那曲高寒气候环境西藏自治区野外科学观测研究站,西藏 那曲 852000
  • 3. 中国科学院大学,北京 100049
胡泽勇(1965 -), 男, 山西五台人, 研究员, 主要从事陆面过程和气候变化研究. E-mail:

张欢(2000 -), 女, 甘肃会宁人, 硕士研究生, 主要从事气候变化研究. E-mail:

收稿日期: 2024-09-26

  修回日期: 2025-01-21

  网络出版日期: 2025-10-16

基金资助

国家自然科学基金项目(42330609)

西藏自治区科技计划项目(XZ202501JD0022)

第二次青藏高原综合科学考察研究项目(2019QZKK0103)

The Characteristics of Water Vapor Transport during the Qinghai-Xizang Plateau Summer Monsoon from 1980 to 2020

  • Huan ZHANGH , 1, 2, 3 ,
  • Zeyong HU , 1, 2 ,
  • Haipeng YU 1, 2 ,
  • Haojie WU 1, 2, 3 ,
  • Shanling CHENG 1, 2, 3 ,
  • Guantian WANG 1, 2, 3 ,
  • Weiwei FAN 1, 2
Expand
  • 1. Key Laboratory of Cryospheric Science and Frozen Soil Engineering,Northwest Institute of Eco-Environment and Resources,Chinese Academy of Sciences,Lanzhou 730000,Gansu,China
  • 2. Nagqu Plateau Climate and Environment Observation and Research Station of Tibet Autonomous Region,Northwest Institute of Eco-Environment and Resources,Chinese Academy of Sciences,Nagqu 852000,Xizang,China
  • 3. University of Chinese Academy of Sciences,Beijing 100049,China

Received date: 2024-09-26

  Revised date: 2025-01-21

  Online published: 2025-10-16

Copyright

© Editorial Department of Plateau Meteorology (CC BY-NC-ND)

摘要

青藏高原夏季风是亚洲季风系统的重要组成部分, 显著影响着高原及其周边地区能量和水分循环。本文利用1980-2020年间的JRA-55月平均再分析资料和GPCC逐月降水资料, 结合高原季风指数, 采用相关分析、 回归分析、 合成分析等统计方法和动力诊断, 从降水、 大气环流、 水汽收支等方面, 分析了青藏高原夏季风期间的水汽输送特征, 探讨了高原夏季风对水汽输送的影响。研究结果表明: (1)从降水的角度分析, 高原夏季风偏强(偏弱)时, 高原中东部地区降水偏多(偏少), 印度北部地区降水偏少(偏多)。(2)从水汽输送角度分析, 高原夏季风偏强时, 印度中部存在异常反气旋环流, 高原南侧存在异常西风气流, 高原上空水汽输送是由西风带水汽通道所主导。(3)从水汽收支角度分析, 高原夏季风偏强(偏弱)时, 高原南边界和西边界的水汽输入量增加(减少), 北边界水汽输入量减少(增加), 区域净水汽收支随之增加(减少)。(4)进一步研究发现, 高原夏季风对水汽辐合/辐散的影响主要由风的动力项贡献所主导的, 而水汽平流的热力项贡献较小。本文研究结果对于精细化认识青藏高原水汽收支和输送过程及其影响水循环机理具有一定的参考价值。

本文引用格式

张欢 , 胡泽勇 , 于海鹏 , 吴浩杰 , 程姗岭 , 王冠添 , 樊威伟 . 1980 -2020年青藏高原夏季风期间水汽输送特征[J]. 高原气象, 2025 , 44(5) : 1146 -1156 . DOI: 10.7522/j.issn.1000-0534.2025.00015

Abstract

The Qinghai-Xizang Plateau summer monsoon is an important component of the Asian monsoon system, significantly influencing the energy and moisture cycles in the plateau and its surrounding regions.This study uses JRA-55 monthly reanalysis data from 1980 to 2020 and GPCC monthly precipitation data, combined with the Qinghai-Xizang Plateau Monsoon Index.Various statistical methods, including correlation analysis, regression analysis, composite analysis, and dynamic diagnostics, are used in this study.This paper focuses on the impact of the summer monsoon over the Qinghai-Xizang Plateau on water transport, such as precipitation, atmospheric circulation, and water budget.The results show that: (1) When the Qinghai-Xizang Plateau summer monsoon is strong (weak), precipitation in the central and eastern parts of the plateau increases (decreases).(2) From the perspective of water vapor transport, when the summer monsoon over the plateau is stronger, there is an anomalous anticyclonic circulation over central India, an anomalous westerly airflow to the south of the plateau, and the water vapor transport over the plateau is primarily dominated by the westerly water vapor transport channel.(3) Analysed in terms of moisture budget, when the Qinghai-Xizang Plateau summer monsoon is strong (weak), moisture inflow at the southern and western boundaries of the plateau increases (decreases), while moisture inflow at the northern boundary decreases (increases), resulting in an increase (decrease) in regional net moisture budget.(4) The impact of the Qinghai-Xizang Plateau summer monsoon on moisture convergence/divergence is mainly driven by the contribution of the wind’s dynamic component, while the thermal component from moisture advection is relatively small.

1 引言

青藏高原被誉为地球“第三极”和“亚洲水塔”, 是亚洲主要大江大河的发源地, 此外, 拥有众多的冰川、 湖泊、 地下水、 地表径流, 为世界上约40%的人口提供了工农业及生产生活用水(Xu et al, 2008徐祥德等, 2019)。高原通过动力和热力强迫, 影响了周围地区的水汽输送, 进而影响了“亚洲水塔”水资源分布及水循环过程(张强等, 2023周天军等, 2019)。同时, 青藏高原是气候变化的“敏感区”和“放大器”, 近几十年间升温显著, 研究青藏高原的水汽输送, 有助于更深地了解高原水循环, 合理分配利用高原水资源, 应对气候变化(程国栋等, 2019施小英和施晓晖, 2008吴国雄等, 2018)。水汽输送不仅受到特殊地形和热动力作用的影响, 通常还与大尺度环流系统的活动密切相关。夏季青藏高原及其周边地区的水汽输送受到南亚季风、 东亚季风、 高原季风和中纬度西风的共同影响, 来自不同气候系统的水汽汇聚, 使该区域成为水汽输送的复杂区、 敏感区(李生辰等, 2009徐祥德等, 2019张宇等, 2019)。其中, 南亚季风和中纬度西风是青藏高原主要的水汽输送通道, 水汽主要来自阿拉伯海、 孟加拉湾和中纬度的欧亚大陆。高原主要有三条水汽通道, 一方面, 从中纬度西风带输送的水汽遇到高原大地形的阻挡分为南北两支, 北支从高原北部进入高原, 南支向南输送, 在28°N附近向东转向进入高原的西边界; 另一方面, 高原南侧有两条主要的水汽输送通道, 来自阿拉伯海的西南向气流, 经过孟加拉湾的北部后分为两路, 一部分气流受热低压制约在85°E -90°E之间转为偏东风水汽输送; 另一部分气流继续向北输送, 经“天然水汽通道”雅鲁藏布江大峡谷进入高原的东南部(Feng and Zhou, 2012高登义, 1985解承莹等, 2015周长艳等, 2005)。从水汽来源看, 主要的水汽源地是从印度次大陆延伸至阿拉伯海的狭窄输送带, 除此之外, 孟加拉湾和高原西北部也是水汽源地(Chen et al, 2012)。从水汽收支看, 高原的南、 西、 北边界都是水汽输入边界, 东边界是水汽输出边界, 高原整体水汽收支呈盈余状态(谢欣汝等, 2018俞静雯等, 2022)。
针对青藏高原水汽输送的年际变率, 已有学者进行了大量研究。Jiang and Ting(2017)发现, 印度洋海温正异常会导致夏季印度次大陆东北部-孟加拉湾一带的反气旋式水汽输送增强, 高原东南部降水异常增多。Wang et al(2017)发现, 北大西洋涛动(The North Atlantic Oscillation, NAO)通过影响副热带西风急流的位置, 减弱了高原西边界的水汽输送, 导致高原南部的降水减少。同样, 高原夏季风作为高原热力作用和动力作用的产物, 是高原气候的主宰者, 影响着高原及其周边地区的能量循环和水汽循环, 具有独特的气候效应(樊威伟等, 2021汤懋苍, 1998)。已有研究表明, 高原夏季风会引起环流异常从而导致降水异常。在高原季风强年, 高原地区的降水分布呈现“东多西少”的异常模态(汤懋苍, 1993), 新疆西部高原北部边缘地区水汽条件和抬升条件均更有利于降水(荀学义等, 2018); 另外, 较强的高原夏季风会引起中亚地区产生异常偏南气流, 加强了来自海洋的水汽输送, 导致中亚地区降水量增加, 而在华北等地出现东北风异常, 阻挡了携带大量水汽的偏南气流, 使得该区域降水量减少(齐玉磊等, 2015)。在此基础上, 也有学者研究了高原夏季风与南亚季风对塔里木盆地降水的协同影响(任国强和赵勇, 2022Zhao et al, 2019)。结果表明, 高原夏季风偏强南亚季风偏弱时, 会导致中亚对流层高层温度降低, 形成异常气旋环流, 中低纬西风加强, 高纬西风减弱, 从而引起副热带西风急流南移, 进入塔里木盆地的水汽减少, 最终导致降水减少; 田俊等(2010)提出的高原夏季风会影响中纬度西风带的活动相一致。Ge et al(2017)在对高原夏季风与印度季风降水的关系研究中发现, 高原夏季风会增强印度北部的西风异常并激发中部上空产生异常反气旋, 反气旋南侧的偏东风阻碍了来自阿拉伯海的水汽输送, 导致进入印度北部的水汽减少, 印度季风降水减弱。
目前, 已有很多研究针对高原夏季风对于降水的影响, 多从环流的角度分析水汽输送状况, 但对于高原夏季风引起的水汽输送差异的定量化研究尚不多见。针对这一薄弱环节, 本研究基于前人的研究, 提出一种考虑到高原地形因素, 基于再分析资料的分辨率精细化的计算边界水汽收支的方法, 定量化地对比了高原夏季风强弱年进入高原各个边界的水汽收支差异, 并且初步探讨了高原夏季风对水汽输送通道的影响。该工作为进一步认识高原的水汽输送乃至水循环提供科学参考。

2 资料来源与方法介绍

2.1 资料选取

大气环流资料选取日本气象厅(Japanese Meteorological Agency)发布的再分析数据集JRA-55。JRA-55是日本气象厅(JMA)继JRA-25之后推出的新一代再分析资料, 该数据通过四维变分同化系统(4D-Var)处理, 优化了长波辐射方案和卫星辐射偏差校正, JRA-55再分析资料在青藏高原的水汽研究方面已经被广泛应用(Xu et al, 2020Zhang et al, 2022)。本文选用其中的1980 -2020年的月平均等压面数据, 分辨率为1.25°×1.25°, 垂直分层从1000~300 hPa, 变量包括月平均位势高度场、 比湿场、 纬向风场、 经向风场、 地面气压场等。
降水资料选取由全球降水气候中心(Global Precipitation Climatology Centre, GPCC)构建的月降水量数据, 版本为Full Data Monthly Version 2022, 数据空间分辨率为0.5°×0.5°, 时间段从1891年1月至2020年12月。
文中地形数据来自国家青藏高原科学数据中心提供的青藏高原90 m分辨率SRTM数字高程数据集(Zhang et al, 2013; 张国庆, 2019), 青藏高原边界数据来自国家青藏高原科学数据中心提供的青藏高原边界数据总集(TPBoundary_new, 2021)(张镱锂, 2019; 张镱锂等, 2021)。文中涉及的地图是基于自然资源部国家基础地理信息中心全国地理信息资源目录服务系统下载的审图号为GS(2016)2556 号的世界地图制作, 底图无修改。

2.2 高原季风指数及水汽相关量的计算

通过计算高原季风指数来表征季风的强弱, 目前, 关于高原季风指数的定义有很多, 主要可以分为两类: 一类是从高度场出发的, 如TPMI汤懋苍等, 1984), DPMI荀学义等, 2018); 一类是从风场出发, 如QPMI齐冬梅等, 2009), Div-PMI周懿等, 2015), ZPMIZhou et al, 2016)等。本文选取传统季风指数TPMI, 具体的定义和计算如下:
T P M I = H ' 32.5 ° , 80 ° + H ' 32.5 ° , 100 ° + H ' ( 25 ° , 90 ° ) + H ' ( 40 ° , 90 ° ) - 4 H ' ( 32.5 ° , 90 ° )
式中: H '是600 hPa位势高度距平。高原季风指数越大, 表明高原夏季风越强; 高原季风指数越小, 表明高原夏季风越弱。
大气水汽含量是整个大气柱中含有的水汽总数量, 又称大气可降水量(precipitable water vapor, PWV, 单位: mm), 具体计算如下:
PWV = - 1 g p s p t q d p
水汽通量是表示水汽输送强度的物理量, 表示在单位时间内流经某一单位面积的水汽质量, 根据(Trenberth, 1991), 纬向水汽通量 Q u和经向水汽通量 Q v(单位: kg·m-1·s-1)可以表示为:
Q u = - 1 g p s p t q u d p
Q v = - 1 g p s p t q v d p
水汽通量散度是表示输送来的水汽的集中程度的物理量, 表示在单位时间内, 单位面积内汇合进来或者辐散出去的水汽质量。垂直方向上整层积分的水汽通量散度 Q d i v(单位: kg·m-2·s-1)可以表示为:
Q d i v = - 1 g p s p t q V d p
式中: q为比湿; uv分别为纬向和经向风; V表示水平风矢量; g为地球重力加速度; p为大气气压; ps 为地面气压; pt 为大气层顶气压; 由于300 hPa以上水汽含量很小, 所以pt 取300 hPa。
青藏高原地形复杂, 简单的矩形边界定义会高估高原水汽收支, 本文沿2000 m的海拔定义了高原的不规则边界(如图1), 根据高原的几何形状和侧边界所在方位, 将高原边界划分为南(绿)、 西(蓝)、 北(红)、 东(棕)四个侧边界, 在高原的四个侧边界上分别定义了最小跨度为1.25°的横(纵)向次边界。值得说明的是, 夏季81°E附近大致为西风与印度季风水汽输送的交界, 另外参照前人研究对于高原西边界和南边界的划分大致也在80°E左右(齐冬梅等, 2023Yan et al, 2020俞静雯等, 2022), 因此本文将81°E以西(东)的边界定义为高原西(南)边界。每条侧边界上各次边界水汽收支求和, 得到该侧边界的水汽收支。根据(陈亚玲等, 2022), 通过边界垂直积分的整层水汽通量的计算如下, 规定向东和向北的方向为正。
图1 青藏高原地形(填色, 单位: m)和高原边界、 次边界

南、 西、 北、 东边界分别用绿、 蓝、 红、 棕色表示

Fig.1 The topography (shaded, unit: m) and the boundary and sub-boundary of the Qinghai-Xizang Plateau (QXP).The southern, western, northern, and eastern boundaries are denoted in green, blue, red, and brown

Q S = λ W λ E Q ϕ S a c o s   ϕ S d λ
Q N = - λ W λ E Q ϕ N a c o s   ϕ N d λ
Q W = ϕ S ϕ N Q λ W a d ϕ
Q E = - ϕ S ϕ N Q λ E a d ϕ
Q T = Q S + Q N + Q W + Q E
式中: φ S φ N分别表示南边界、 北边界的纬度; λ W λ E分别表示西边界、 东边界的经度; Q φ S Q φ N分别表示通过南边界、 北边界的纬向水汽通量; Q λ W Q λ E分别表示通过西边界、 东边界的经向水汽通量; Q T为研究区净水汽通量(单位: kg·s-1); a表示地球平均半径(取6.37×106 m)。

2.3 水汽收支诊断

运用大气水汽收支方程诊断青藏高原夏季风对水汽输送的影响(Wang et al, 2017), 具体方程如下:
P ' - E ' = - 100 p s u ¯ q ' x + v ¯ q ' y d p g - 100 p s q ¯ u ' x + q ¯ v ' y d p g - 100 p s u ' q ' x + v ' q ' y d p g + R E S
式中: PEq分别表示降水、 地表蒸发、 比湿; uvg分别表示纬向风、 经向风和重力加速度; “”代表各个变量在时间维度的平均值; “'”代表高原夏季风指数回归的各个变量异常; - 100 p s u ¯ q ' x + v ¯ q ' y d p g表示水汽输送的热力项; 100 p s q ¯ u ' x + q ¯ v ' y d p g表示水汽输送的动力项; 100 p s u ' q ' x + v ' q ' y d p g表示水汽输送的非线性项; RES是残差项。

3 结果分析

3.1 高原夏季风相关的降水场异常特征

图2是1980 -2020年期间高原夏季风指数与夏季降水的相关性分布, 在高原中东部有降水正相关, 印度北部有降水负相关, 这一相关关系通过了90%置信度的显著性水平检验, 说明当高原夏季风偏强(弱)时, 高原中东部的降水偏多(少), 印度半岛北部的降水偏少(多)。进一步计算了高原中东部区域(30°N -37.5°N, 90°E -102.5°E, 如图2矩形框区域)的平均降水量, 得到了高原中东部夏季降水的时间序列, 如图3所示, 夏季风指数序列与高原中东部降水序列有很好的对应关系(r=0.63), 相关性通过了90%显著性检验, 表明高原夏季风与高原中东部降水之间存在显著的相关性。
图2 1980 -2020年期间高原夏季风指数与GPCC降水资料(填色, 单位: mm·mon-1)相关系数分布

打点为相关系数通过90%显著性检验的区域, 蓝色方框表示降水相关的关键区

Fig.2 The distribution of correlation coefficients between the plateau summer monsoon index precipitation data from GPCC from 1980 to 2020 (shaded, unit: mm·mon-1).Dotted regions show over 90% significance level of t-test.the blue rectangle marks key regions of precipitation correlation

图3 1980—2020年高原夏季风指数和高原中东部夏季降水的标准化时间序列

黑色线代表夏季风指数, 灰色柱状代表高原东部夏季降水

Fig.3 Standardized time series of the plateau summer monsoon index and summer precipitation in the central and eastern plateau from 1980 to 2020.The black line represents the summer wind index and the gray bar represents summer precipitation in the eastern part of the plateau

为了分析高原夏季风对水汽输送的影响, 利用回归分析法研究了高原夏季风与高原及其周边地区水汽输送的关系。另外, 选取标准化的夏季风指数大于1的年份作为夏季风强年, 小于-1的年份作为夏季风弱年, 用于对比夏季风强弱年的高原各边界水汽收支差异, 分类结果如表1所列。
表1 1980 -2020年高原夏季风强、 弱年

Table 1 Strong and weak plateau monsoon years in 1980 -2020

类别 年份
季风强年 1987, 1998, 2004, 2005, 2009, 2012, 2014, 2018
季风弱年 1984, 1990, 1994, 1997, 2001, 2013, 2016

3.2 高原夏季风相关的水汽通量场和环流场特征

图4所示是与高原夏季风相关的高原及其周边地区水汽含量和水汽通量异常分布特征, 其中通过90%显著性检验的水汽通量异常用红色矢量箭头表示, 整层水汽含量异常用填色表示, 打点区域表示通过了90%显著性检验。从图4中可以看到,高原主体具有明显的水汽含量异常增加, 而在印度北部地区具有水汽含量异常减少特征。这可以用高原西南侧印度北部的异常西风气流和印度中部存在的异常反气旋环流来解释, 该反气旋环流南部的异常东北气流, 阻挡了来自阿拉伯海的水汽输送, 导致进入印度地区的水汽减少; 而高原西南侧增强的西风气流带来了充沛的水汽, 有助于高原上方水汽汇聚。上述水汽条件的异常分布也与图2降水异常场的分布一致。
图4 1980 -2020年时期高原夏季风指数回归整层水汽含量(阴影, 单位: mm)和通过90%显著性检验的水汽通量场[矢量, 单位: ×10 kg·(m·s)-1

打点为回归系数通过90%显著性检验的区域

Fig.4 Regression of vertical integral of water vapor content (shaded, unit: mm) and water vapor transport flux [vectors, unit: ×10 kg·(m·s)-1] anomalies above 90% significance level on the plateau summer monsoon index. Dotted regions show over 90% significance level of t-test

图5所示是与高原夏季风相关的200 hPa和500 hPa环流场异常分布特征, 其中风场异常用蓝色矢量箭头表示, 位势高度场异常用填色表示, 打点区域表示通过了90%的显著性检验。由图5(a)可以看出, 对流层高层200 hPa高度处, 位势高度场呈现“-、 +”异常分布, 异常低压中心位于土库曼斯坦东部, 异常高压中心位于青藏高原东南部, 风场呈现“气旋、 反气旋”的异常分布, 高原西部位于气旋的外围, 高原中东部被异常反气旋所控制。由图5(b)可以看出, 对流层中层500 hPa高度处, 高度场上有一个大范围的异常低压, 该低压范围西起伊朗高原东至青藏高原向北可达天山山脉向南可达喜马拉雅山脉南侧。从风场来看, 高原及其区域被异常气旋性环流控制, 高原北缘具有异常东风气流, 阻碍了从中纬度地区输送的水汽进入高原北边界; 高原东缘具有异常东南气流, 阻碍了东边界水汽的流出; 高原西缘和南缘具有明显的异常西风气流, 有利于西风带携带的水汽进入高原的西边界和南边界。
图5 1980 -2020年高原夏季风指数回归200 hPa(a)、 500 hPa(b)位势高度场(阴影, 单位: gpm)和通过90%显著性检验的风场(矢量, 单位: m·s-1

打点为回归系数通过90%显著性检验的区域

Fig.5 Regression of 200 hPa (a) and 500 hPa (b) geopotential height (shaded, unit: gpm) and wind field (vectors, unit: m·s-1) anomalies on the plateau summer monsoon index.Dotted regions show over 90% significance level of t-test

副热带西风急流是联系高原夏季风和高原气候之间的桥梁, 高原夏季风异常会对副热带西风急流有一定的影响(任国强和赵勇, 2022Zhao et al, 2019)。如图6(a)所示, 气候平均来看夏季西风急流中心在40°N附近, 然而高原夏季风偏强时, 急流中心向南移动, 增强了高原西侧的西风强度, 并有利于水汽进入高原西边界和南边界[图6(b)]。由于高原地形的作用, 西风带来的纬向水汽输送在高原的西南边缘向北转向, 进入高原的南边界, 有利于高原上空水汽汇聚。因此, 在高原夏季风偏强时, 高原上空的水汽来源是由西风带主导的水汽通道占主要贡献, 高原南侧的异常西风气流促使了中高纬度的水汽到达这一地区, 通过气旋式风场进入高原上空, 有利于高原上空水汽聚集, 导致高原中部和东部降水异常偏多; 同时该异常西风气流与印度中部的异常反气旋共同作用, 反气旋南侧的偏东风, 阻碍了来自阿拉伯海的水汽输送, 导致印度上空水汽流失, 使印度北部降水异常偏少。高原夏季风对水汽输送的影响可能与副热带西风急流的位置有关: 高原夏季风偏强时, 副热带西风急流的位置偏南, 增强了来自中高纬度地区的水汽输送, 高原西南边缘有明显的沿着西风带的水汽通量异常, 使得进入高原的水汽增多。
图6 1980 -2020年夏季200 hPa纬向风(a, 阴影, 单位: m·s-1)及高原夏季风指数回归200 hPa纬向风场(b, 阴影, 单位: m·s-1

打点为回归系数通过90%显著性检验的区域

Fig.6 Multiyear averaged summer 200 hPa zonal wind field from 1980 to 2020 (a, shaded, unit: m·s-1), Regression patterns of summer 200 hPa zonal wind field anomalies on the plateau summer monsoon index (b, shaded, unit: m·s-1).Dotted regions show over 90% significance level of t-test

3.3 各边界水汽收支特征

为了更加具体地探究高原夏季风对水汽输送的影响, 选取高原夏季风强年、 弱年定量化精细地计算了通过高原各边界的水汽通量以及区域水汽净收支, 其结果如表2所列。
表2 高原夏季风强、 弱年多年平均(1980 -2020年)夏季各边界净水汽输送及净收支量

Table 2 Water vapor transport at each boundary and net water budget in multiyear averages1980 -2020and the strong/weak plateau summer monsoon years

类别 各边界净水汽输送及净收支量/( × 10 6  kg·s-1
季风强年 季风弱年 1980 -2020
南边界 66.3 39.6 56.7
西边界 32.1 18.7 27.4
北边界 2.9 7.9 4.7
东边界 -37.8 -30.3 -37.6
区域净收支 63.5 35.9 51.2
在夏季, 青藏高原的南、 西、 北边界是主要的水汽输入边界, 东边界是水汽输出边界, 且南边界的水汽输入量最大, 西边界次之, 北边界最小。根据表2, 在高原夏季风强年, 进入高原南边界的水汽通量可达66.3× 10 6  kg·s-1, 较平均状况下进入高原南边界的水汽通量增加了9.6× 10 6 kg·s-1; 进入高原西边界的水汽通量可达32.1× 10 6  kg·s-1, 较平均状况下进入高原西边界的水汽通量增加了4.7× 10 6 kg·s-1; 进入高原北边界的水汽通量可达2.9× 10 6 kg·s-1, 较平均状况下进入高原西边界的水汽通量减少了1.8× 10 6 kg·s-1; 高原整体水汽净收支可达63.5× 10 6 kg·s-1, 较平均状况下高原水汽净收支增加了12.3× 10 6 kg·s-1。在高原夏季风弱年, 进入高原南边界和西边界的水汽通量较平均状况分别减少了17.1× 10 6 kg·s-1、 8.7× 10 6 kg·s-1; 进入高原北边界的水汽通量增加了3.2× 10 6 kg·s-1, 高原区域水汽净收支减少了15.3× 10 6 kg·s-1。综上可知, 高原夏季风较强时, 进入高原西边界和南边界的水汽通量增加, 进入高原北边界的水汽通量减少, 进而使高原整体的水汽净收支增加。
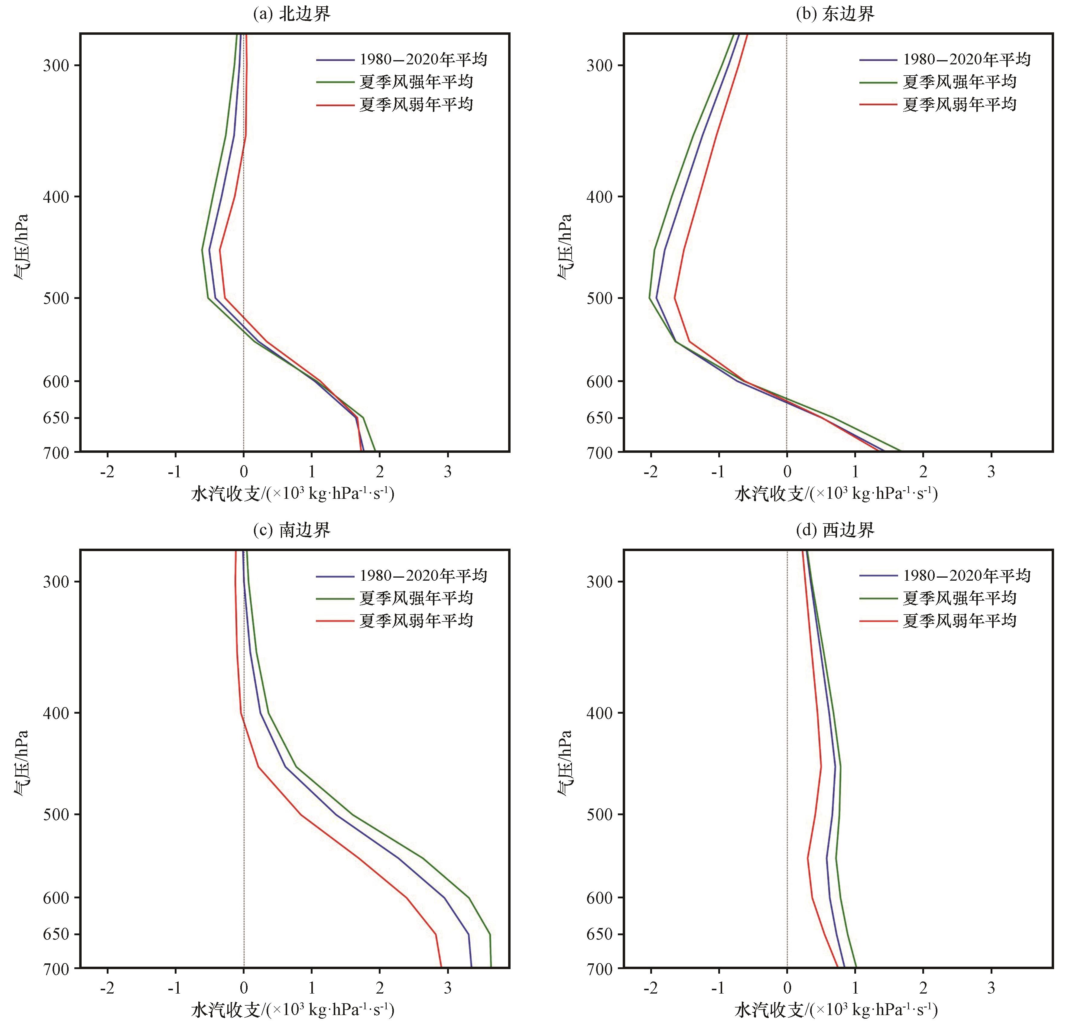
在不同层次, 高原夏季风对各边界水汽收支的影响也有差异。由表2可知, 夏季风主要影响高原南边界、 西边界、 北边界的水汽输入输出, 图7是高原夏季风强、 弱年和多年平均夏季各边界水汽收支垂直分布。高原北边界低层为水汽流入, 在600 hPa以上中高层为水汽流出, 季风强年北边界低层水汽流入更少, 中高层水汽流出更多, 总体表现为北边界在季风强年为较少的水汽流入, 季风弱年北边界低层水汽流入更多, 中高层水汽流出更少, 总体表现为季风弱年有较多的水汽流入; 高原东边界低层为水汽流入, 650 hPa以上为水汽流出, 总体上东边界呈水汽流出状态, 然而夏季风对高原东边界的水汽输送影响较小; 在南边界从低层到中高层均为水汽流入, 季风强年南边界水汽流入较多, 季风弱年南边界水汽流入较少; 西边界与南边界水汽收支在垂直方向上的分布形态相似, 从低层到中高层均表现为水汽流入, 且季风强年水汽流入较多, 季风弱年水汽流入较少。可以得出, 夏季风对北边界水汽输送的影响在500~400 hPa之间较大; 对南边界的影响在对流层低层影响较大, 随着高度的增加, 季风强弱年水汽收支的差异减小; 对西边界的影响在500 hPa以下较大, 同样随着高度的增加, 季风强弱年水汽收支的差异减小。
图7 高原夏季风强、 弱年、 多年平均(1980 -2020年)夏季各边界水汽收支垂直分布

Fig.7 Vertical distribution of water vapor budget at each boundary during summer in multiyear averages (1980 -2020) and the strong/weak plateau summer monsoon years

3.4 水汽收支方程诊断

基于大气水汽收支方程进一步分析了高原夏季风水汽输送异常。图8所示为水汽收支方程各项回归高原夏季风的异常空间分布特征, 图8(a)是高原夏季风相关的风场散度引起的水汽输送的辐合/辐散动力项的异常分布, 图8(b)是高原夏季风异常相关的水汽平流引起的水汽输送的辐合/辐散热力项的异常分布, 图8(c)是非线性项。可以发现, 热力项、 动力项和非线性项引起的水汽异常均表现为高原中东部地区有水汽辐合, 与图4分布模态相似, 并且动力项最大, 热力项次之, 非线性项最小。这说明高原夏季风引起的水汽辐合主要是由风场的动力项贡献主导, 而水汽平流热力项的贡献较小。通过对大气水汽收支方程的诊断, 得出当高原夏季风较强时, 在高原上空产生异常气旋性环流, 风场的辐合增强, 有利于水汽在高原上空辐合, 为高原降水异常增多提供良好的水汽条件。
图8 高原夏季风指数回归的水汽平流引起的水汽通量散度(填色, × 10 - 3 mm·mon-1)(a)、 风场散度引起的水汽通量散度(填色, × 10 - 3 mm·mon-1)(b)及非线性项(c)

Fig.8 Regression of water vapor transport flux divergence due to wind divergence (shaded, unit: × 10 - 3  mm·mon-1) (a), water vapor transport flux divergence due to moisture advection (shaded, unit: × 10 - 3  mm·mon-1) (b) and nonlinear term (c) anomalies on the plateau summer monsoon index

4 结论

通过降水资料与高原夏季风指数的相关分析, 发现高原夏季风与高原中东部降水有显著的正相关关系, 利用回归分析从水汽输送和大气环流的角度讨论了高原夏季风对高原及其周边地区水汽输送的影响; 进一步定量化地比较了高原夏季风强弱年各边界水汽收支差异, 探讨了高原夏季风对高原及其周边地区水汽输送的影响, 得到以下几点主要结论:
(1) 从降水分布来看, 高原夏季风与高原夏季降水异常存在密切联系。由相关分析可知, 高原夏季风指数与高原及印度地区的降水存在显著的相关性。当高原夏季风偏强(偏弱)时, 青藏高原中东部地区降水异常偏多(偏少), 印度北部地区降水异常偏少(偏多)。
(2) 高原夏季风的异常往往会引起环流场的变化, 当高原夏季风偏强时, 副热带西风急流的位置南移, 印度中部存在异常反气旋环流。该反气旋南部的异常东北风阻碍了来自阿拉伯海的水汽输送, 高原南侧和印度北部异常西风气流增强了纬向水汽输送, 表明高原季风引起的水汽输送异常是西风带水汽通道所主导的。
(3) 与平均态相比, 在高原夏季风强(弱)年, 进入高原南边界和西边界的水汽增多(减少), 进入高原北边界的水汽减少(增加), 区域净水汽收支增加(减少)。高原夏季风对北边界水汽输送的影响在500~400 hPa之间较大, 对南边界和西边界的影响在500 hPa以下较大。此外, 高原夏季风引起的水汽异常辐合/辐散, 主要由风场散度的动力项贡献所主导, 而水汽平流的热力项贡献相对较小。
Chen B Xu X D Yang S, et al, 2012.On the origin and destination of atmospheric moisture and air mass over the Tibetan Plateau[J].Theoretical and Applied Climatology110(3): 423-435.

Feng L Zhou T J2012.Water vapor transport for summer precipitation over the Tibetan Plateau: multidata set analysis[J].Journal of Geophysical Research: Atmospheres, 117: D20.

Ge F Sielmann F Zhu X H, et al, 2017.The link between Tibetan Plateau monsoon and Indian summer precipitation: a linear diagnostic perspective[J].Climate Dynamics49(11/12): 4201-4215.

Jiang X W Ting M F2017.A dipole pattern of summertime rainfall across the Indian subcontinent and the Tibetan Plateau[J].Journal of Climate30(23): 9607-9620.

Trenberth K E1991.Climate diagnostics from global analyses conservation of mass in ECMWF analyses[J].Journal of Climate4(7): 707-722.

Wang Z Q Duan A M Yang S, et al, 2017.Atmospheric moisture budget and its regulation on the variability of summer precipitation over the Tibetan Plateau[J].Journal of Geophysical Research: Atmospheres122(2): 614-630.

Xu X D Lu C G Shi X H, et al, 2008.World water tower: an atmospheric perspective[J].Geophysical Research Letters35(20): 525-530.

Xu K P Zhong L Ma Y M, et al, 2020.A study on the water vapor transport trend and water vapor source of the Tibetan Plateau[J].Theoretical and Applied Climatology140(3/4): 1031-1042.

Yan H R Huang J P He Y L, et al, 2020.Atmospheric water vapor budget and its long‐term trend over the Tibetan Plateau[J].Journal of Geophysical Research: Atmospheres, 125, e2020JD033297.

Zhang G Q Yao T D Xie H J, et al, 2013.Increased mass over the Tibetan Plateau: from lakes or glaciers?[J].Geophysical Research Letters40(10): 2125-2130.

Zhang S B Meng L X Zhao Y, et al, 2022.The influence of the Tibetan Plateau monsoon on summer precipitation in Central Asia[J].Frontiers in Earth Science, 10: 771104

Zhao Y Yu X J Yao J Q, et al, 2019.The concurrent effects of the South Asian monsoon and the plateau monsoon over the Tibetan Plateau on summer rainfall in the Tarim Basin of China[J].International Journal of Climatology39(1): 74-88.

Zhou J Wen J Wang X, et al, 2016.Analysis of the Qinghai-Xizang Plateau monsoon evolution and its linkages with soil moisture[J].Remote sensing (Basel, Switzerland)8(6): 493.

陈亚玲, 文军, 刘蓉, 等, 2022.江河源区水汽输送与收支的时空演变特征分析[J].高原气象41(1): 167-176.DOI: 10.7522/j.issn.1000-0534.2021.00049.Chen Y L

Wen J Liu R, et al, 2022.Analysis on the temporal and spatial evolution characteristics of water vapor transport and budget over the source region of the Three-River[J].Plateau Meteorology41(1): 167-176.DOI: 10.7522/j.issn.1000-0534.2021.00049 .

程国栋, 赵林, 李韧, 等, 2019.青藏高原多年冻土特征、 变化及影响[J].科学通报64(27): 2783-2795.

Cheng G D Zhao L Li R, et al, 2019.Characteristic, changes and impacts of permafrost on Qinghai-Tibet Plateau[J].Chinese Science Bulletin64(27): 2783-2795.

樊威伟, 胡泽勇, 荀学义, 等, 2021.青藏高原季风演变及其气候效应综述[J].高原气象40(6): 1294-1303.DOI: 10.7522/j.issn.1000-0534.2020.zk013.Fan W W

Hu Z Y Xun X Y, et al, 2021.Review of Qinghai-Xizang Plateau monsoon’s evolution and climatic effects[J].Plateau Meteorology40(6): 1294-1303.DOI: 10.7522/j.issn.1000-0534.2020.zk013 .

高登义, 邹捍, 王维, 1985.雅鲁藏布江水汽通道对降水的影响[J].山地研究 (4): 239-249.Gao D Y, 1985.Influence of water vapor pass along the Yarlungzangbo River on precipitation[J].Mountain Research (4): 239-249.

解承莹, 李敏姣, 张雪芹, 等, 2015.青藏高原南缘关键区夏季水汽输送特征及其与高原降水的关系[J].高原气象34(2): 327-337.DOI: 10.7522/j.issn.1000-0534.2014.00034.Xie C Y

Li M J Zhang X Q, et al, 2015.Moisture transport features in summer and its rainfall effects over key region in southern margin of Qinghai-Xizang Plateau[J].Plateau Meteorology34(2): 327-337.DOI: 10.7522/j.issn.1000-0534.2014.00034 .

李生辰, 李栋梁, 赵平, 等, 2009.青藏高原“三江源地区”雨季水汽输送特征[J].气象学报67(4): 591-598.DOI: 10.11676/qxxb2009.059.Li S C

Li D L Zhao P, et al, 2009.The climatic characteristics of vapor transportation in rainy season of the origin area of Three Rivers in Qinghai-Xizang Plateau[J].Acta Meteorologica Sinica67(4): 591-598.DOI: 10.11676/qxxb2009.059 .

齐冬梅, 李跃清, 白莹莹, 等, 2009.高原夏季风指数的定义及其特征分析[J].高原山地气象研究29(4): 1-9.DOI: 10.3969/j.issn.1674-2184.2009.04.001.Qi D M

Li Y Q Bai Y Y, et al, 2009.The definition of plateau summer monsoon index and analysis on its characteristics[J].Plateau and Mountain in Meteorology Research29(4): 1-9.DOI: 10.3969/j.issn.1674-2184.2009.04.001 .

齐冬梅, 李跃清, 周长艳, 等, 2023.1979-2016年青藏高原水汽收支的气候变化特征及其成因[J].冰川冻土45(03): 846-864.DOI: 10.7522/j.issn.1000-0240.2023.0065.QI D M

LI Y Q Zhou C Y, et al, 2023.Climate variation characteristics and causes of water vapor budget over the Tibetan Plateau during 1979-2016[J].Journal of Glaciology and Geocryology45(03): 846-864.DOI: 10.7522/j.issn.1000-0240.2023.0065 .

齐玉磊, 冯松, 黄建平, 等, 2015.高原夏季风对中东亚干旱半干旱区夏季降水的影响[J].高原气象34(6): 1566-1574.DOI: 10.7522/j.issn.1000-0534.2014.00088.Qi Y L

Feng S Huang J P, et al, 2015.Influence of plateau summer monsoon on summer precipitation in the arid and semi-arid regions of the Central and East Asia[J].Plateau Meteorology34(6): 1566-1574.DOI: 10.7522/j.issn.1000-0534.2014.00088 .

任国强, 赵勇, 2022.副热带西风急流与中亚夏季降水的关系[J].高原气象41(6): 1425-1434.DOI: 10.7522/j.issn.1000-0534.2021.00082.Ren G Q

Zhao Y2022.Relationship between the subtropical westerly jet and summer rainfall over Central Asia from 1961 to 2016[J].Plateau Meteorology41(6): 1425-1434.DOI: 10.7522/j.issn.1000-0534.2021.00082 .

施小英, 施晓晖, 2008.夏季青藏高原东南部水汽收支气候特征及其影响[J].应用气象学报19(1): 41-46.DOI: 10.3969/j.issn.1001-7313.2008.01.006.Shi X Y

Shi X H2008.Climatological characteristics of summertime moisture budget over the southeast part of Tibetan Plateau with their impacts[J].Journal of Applied Meteorological Science19(1): 41-46.DOI: 10.3969/j.issn.1001-7313.2008.01.006 .

汤懋苍, 1998.青藏高原季风的形成、 演化及振荡特性[J].甘肃气象 (01).Tang M C, 1998.Formation, evolution and oscillation characteristics of the monsoon on the Qinghai-Tibetan Plateau[J].Gansu Meteorology, (01).

汤懋苍, 1993.高原季风研究的若干进展[J].高原气象12(1): 95-101.

Tang M C1993.Some advances on the research of Plateau Monsoons[J].Plateau Meteorology12(1): 95-101.

汤懋苍, 梁娟, 邵明镜, 等, 1984.高原季风年际变化的初步分析[J].高原气象3(3): 76-82.

Tang M C Liang J Shao M J, et al, 1984.Preliminary analysis of the interannual variability of the Highland Monsoon[J].Plateau Meteorology3(3): 76-82.

田俊, 马振峰, 范广洲, 2010.高原季风对500 hPa中纬度西风带活动的影响[J].成都信息工程学院学报25(1): 61-68.

Tian J Ma Z F Fan G Z2010.The relationships between Plateau Monsoon and 500 hPa westerly Activities in Mid-Latitude[J].Journal of Chengdu University of Information Technology25(1): 61-68.

吴国雄, 刘屹岷, 何编, 等, 2018.青藏高原感热气泵影响亚洲夏季风的机制[J].大气科学42(3): 488-504.DOI: 10.3878/j.issn.1006-9895.1801.17279.Wu G X

Liu Y M He B, et al, 2018.Review of the impact of the Tibetan Plateau sensible heat driven air-pump on the Asian summer monsoon[J].Chinese Journal of Atmospheric Sciences42(3): 488-504.DOI: 10.3878/j.issn.1006-9895.1801.17279 .

谢欣汝, 游庆龙, 保云涛, 等, 2018.基于多源数据的青藏高原夏季降水与水汽输送的联系[J].高原气象37(1): 78-92.DOI: 10.7522/j.issn.1000-0534.2017.00030.Xie X R

You Q L Bao Y T, et al, 2018.The connection between the precipitation and water vapor transport over Qinghai-Tibetan Plateau in summer based on the multiple datasets[J].Plateau Meteorology37(1): 78-92.DOI: 10.7522/j.issn.1000-0534.2017.00030 .

徐祥德, 董李丽, 赵阳, 等, 2019.青藏高原“亚洲水塔”效应和大气水分循环特征[J].科学通报64(27): 2830-2841.

Xu X D Dong L L Zhao Y, et al, 2019.Effect of the Asian water tower over the Qinghai-Tibet Plateau and the characteristics of atmospheric water circulation[J].Chinese Science Bulletin64(27): 2830-2841.

荀学义, 胡泽勇, 崔桂凤, 等, 2018.青藏高原季风对我国西北干旱区气候的影响[J].气候与环境研究23(3): 311-320.DOI: 10.3878/j.issn.1006-9585.2017.17024.Xun X Y

Hu Z Y Cui G F, et al, 2018.The effect of Tibetan Plateau Monsoon on the climate in the arid area of northwest China[J].Climatic and Environmental Research23(3): 311-320.DOI: 10.3878/j.issn.1006-9585.2017.17024 .

俞静雯, 李清泉, 丁一汇, 等, 2022.气候变暖背景下青藏高原夏季水汽的长期变化趋势分析[J].中国科学(地球科学)65(4): 662–674.DOI: 10.1007/s11430-021-9874-0.Yu J W

Li Q Q Ding Y H, et al, 2022.Long-term trend of water vapor over the Tibetan Plateau in boreal summer under global warming[J].Science China (Earth Sciences)65(4): 662–674.DOI: 10.1007/s11430-021-9874-0 .

张国庆2019.青藏高原流域边界数据集(2016)[Z]. 国家青藏高原科学数据中心.DOI: 10.11888/BaseGeography.tpe.249465.file.Zhang G Q, 2019.Dataset of river basins map over the TP (2016)[Z].

National Tibetan Plateau / Third Pole Environment Data Center.DOI: 10.11888/BaseGeography.tpe.249465.file .

张强, 王港, 赵佳琪, 等, 2023.亚洲水塔水循环和水资源研究进展与展望[J].科学通报68(36): 4982-4994.

Zhang Q Wang G Zhao J Q, et al, 2023.Water circulation and water resources of Asia’s water tower: the past and future[J].Chinese Science Bulletin68(36): 4982-4994.

张镱锂2019.青藏高原边界数据总集[Z]. 国家青藏高原科学数据中心.DOI: 10.11888/Geogra.tpdc.270099.Zhang Y L, 2019.Integration dataset of Tibet Plateau boundary[Z].

National Tibetan Plateau / Third Pole Environment Data Center.DOI: 10.11888/Geogra.tpdc.270099 .

张镱锂, 刘林山, 李炳元, 等, 2021.青藏高原范围数据集2021与2014年版比较研究[J].全球变化数据学报(中英文)2021(3): 322-332461-471.

Zhang Y L Liu L S Li B Y, et al, 2021.Comparison of Boundary Datasets Covering Tibetan Plateau between 2021 and 2014 Versions[J].Journal of Global Change Data Discovery, 2021(3): 322-332461-471.

张宇, 李铁键, 李家叶, 等, 2019.西风带和南亚季风对三江源雨季水汽输送及降水的影响[J].水科学进展30(3): 348-358.DOI: 10.14042/j.cnki.32.1309.2019.03.005.Zhang Y

Li T J Li J Y, et al, 2019.Influence of the westerlies and the South Asia monsoon on water vapor transport and precipitation in the Three-River Headwaters Region during the rainy season[J].Advances in Water Science30(3): 348-358.DOI: 10.14042/j.cnki.32.1309.2019.03.005 .

周天军, 高晶, 赵寅, 等, 2019.影响“亚洲水塔”的水汽输送过程[J].中国科学院院刊34(11): 1210-1219.

Zhou T J Gao J Zhao Y, et al, 2019.Water vapor transport processes on Asian Water Tower[J].Bulletin of Chinese Academy of Sciences34(11): 1210-1219.

周懿, 范广洲, 华维, 等, 2015.高原季风的分布特征及其指数对比分析[J].高原气象34(6): 1517-1530.DOI: 10.7522/j.issn.1000-0534.2014.00111.Zhou Y

Fan G Z Hua W, et al, 2015.Distribution characteristics of plateau monsoon and a contrastive analysis of plateau monsoon index[J].Plateau Meteorology34(6): 1517-1530.DOI: 10.7522/j.issn.1000-0534.2014.00111 .

周长艳, 李跃清, 李薇, 等, 2005.青藏高原东部及邻近地区水汽输送的气候特征[J].高原气象24(6): 880-888.DOI: 10.3321/j.issn.1000-0534.2005.06.006.Zhou C Y

Li Y Q Li W, et al, 2005.Climatological characteristics of water vapor transport over eastern part of Qinghai-Xizang Plateau and its surroundings[J].Plateau Meteorology24(6): 880-888.DOI: 10.3321/j.issn.1000-0534.2005.06.006 .

文章导航

/