基于空间稠密资料的四川省极端小时降水时空特征分析

  • 周秋雪 , 1, 2 ,
  • 康岚 , 1
展开
  • 1. 四川省气象台,四川 成都 610072
  • 2. 高原与盆地暴雨旱涝灾害四川省重点实验室,四川 成都 610072
康岚(1971 -), 女, 四川达州人, 正高级工程师, 从事灾害性天气研究及数值预报产品的解释与应用E-mail:

周秋雪(1986 -), 女, 四川自贡人, 高级工程师, 主要从事灾害性天气预报技术研究及数值预报产品的解释与应用E-mail:

收稿日期: 2024-11-06

  修回日期: 2025-02-12

  网络出版日期: 2025-10-16

基金资助

中国气象局气象能力提升联合研究专项重点专项(22NLTSZ006)

四川省重点实验室科技发展基金重大专项(SCQXKJZD202401)

基于人工智能的网格要素预报技术研究青年创新团队(SCQXQNCXTD202401)

四川省科技计划项目(2023YFS0434)

Spatial and Temporal Characteristics of Extreme Hourly Precipitation in Sichuan Province Based on Spatially Dense Rainfall Observation

  • Qiuxue ZHOU , 1, 2 ,
  • Lan KANG , 1
Expand
  • 1. Sichuan Meteorological Observatory,Chengdu 610072,Sichuan,China
  • 2. Heavy Rain and Drought-Flood Disasters in Plateau and Basin Key Laboratory of Sichuan Province,Chengdu 610072,Sichuan,China

Received date: 2024-11-06

  Revised date: 2025-02-12

  Online published: 2025-10-16

Copyright

© Editorial Department of Plateau Meteorology (CC BY-NC-ND)

摘要

基于四川省空间稠密的3454个站点逐小时降水资料及水平精度为30 m的DEM(Digital Elevation Model)数据, 对四川省7个区域近10年的极端小时降水时空分布特征进行分析, 并探讨高频极端降水与复杂地形的关系。结论如下: (1)近10年小时雨量≥100 mm的极端小时降水频次以6.4 times·(10a)-1的增长速率缓慢增多。(2)极端小时降水频次的次季节变化较雨强极值更为显著, 最大月增幅分别为3.7倍和0.2倍, 另外频次峰值出现时间随着极端小时降水阈值增大而推迟。(3)极端小时降水频次夜间明显多于白天, 且不同地区的峰谷值出现时间和高频集中时段也不同, 频次峰值出现时间大致由南向北、 由西向东逐渐推迟。(4)雨强极值的日变化特征比极端小时降水频次要弱得多, 盆地内多数站点雨强极值高于该区域平均值, 而川西高原和攀西地区则相反。(5)极端小时降水频次和累积雨量在不同区域的分布特征与该地区地形抬升和地形辐合关系密切, 其中盆地西部由地形抬升对极端小时降水造成的增幅大致集中在1400 m以下。(6)盆地极端小时降水高频站点坡向以偏东为主, 盆地西南部高频站点坡度较盆地西北部更大。川西高原和攀西地区极端小时累积雨量大值站点数随坡度先增多后减少, 峰值均位于斜坡, 但攀西地区比川西高原减少得更迅速。

本文引用格式

周秋雪 , 康岚 . 基于空间稠密资料的四川省极端小时降水时空特征分析[J]. 高原气象, 2025 , 44(5) : 1261 -1272 . DOI: 10.7522/j.issn.1000-0534.2025.00018

Abstract

Based on the hourly precipitation data of 3454 stations with dense space in Sichuan Province and DEM (Digital Elevation Model) data with horizontal accuracy of 30 m, the temporal and spatial distribution characteristics of extreme hourly precipitation in 7 regions of Sichuan Province in recent 10 years were analyzed, and the relationship between high frequency extreme precipitation and complex terrain was discussed.The results showed that: (1) In recent 10 years, the frequency of extreme hourly precipitation with hourly rainfall ≥100 mm in Sichuan Province has increased significantly with the growth rate of 6.4 times·(10a)-1.(2) The sub-seasonal variation of extreme hourly precipitation frequency was more significant than that of extreme rainfall intensity, with the maximum monthly increase of 3.7 times and 0.2 times, respectively.In addition, the occurrence time of peak frequency was delayed with the increase of extreme hourly precipitation threshold.(3) The frequency of extreme hourly precipitation was significantly higher at night than during the day, and the occurrence time of peak-valley value and high-frequency concentration period were different in different regions, and the frequency peak appears gradually from south to north and from west to east.(4) The diurnal variation of extreme rainfall intensity was much weaker than that of extreme hourly precipitation frequency, and the extreme rainfall intensity of most stations in the basin was higher than the regional average, but the opposite was true in western Sichuan Plateau and Panxi area.(5) The distribution characteristics of extreme hourly precipitation frequency and cumulative rainfall in different regions were closely related to topographic uplift and topographic convergence in this region, and the increase of extreme hourly precipitation caused by topographic forced uplift in the western part of the basin was roughly below 1400 m.(6) The slope of high frequency extreme hourly precipitation sites in the basin was mainly eastward, and the slope of high frequency sites in the southwest of the basin was larger than that in the northwest of the basin.The number of maximum extreme hourly cumulative rainfall sites in the Western Sichuan Plateau and Panxi area increased first and then decreased with the slope, and the peak value was located in the slope, but the decrease was more rapid in Panxi area than in the Western Sichuan Plateau.

1 引言

短时强降水又称短历时强降水, 主要指发生时间短、 降水效率高的对流性降雨, 1 h降水量达到或超过20 mm(孙继松等, 2014)。短时强降水作为我国经常发生的强对流天气之一, 它导致的主要灾害包括暴洪、 地质灾害、 城市内涝等。而极端短时强降水较普通的短时强降水更具有持续时间短、 突发性强、 可预报性弱等特点(王丛梅等, 2018)。根据克劳修斯-克拉伯龙方程(Clausius-Clapeyron equation), 在全球气候变暖的背景下, 大气的含水能力随气温上升而增强, 大气饱和水汽压增长速率约为7%·K-1, 而相比于一般降水, 强降水对大气中水汽含量的变化更加敏感(Trenberth, 1999), 由于大气中水汽含量增加, 极端降水事件频发, 由于其极强的致灾性受到国内外学者的广泛关注(Zhang and Zhai, 2011吴梦雯等, 2019Yang et al, 2020Srivastava, 2020)。其中, 定义极端降水事件(基于观测资料)的方法一般有两种: 绝对阈值法和相对阈值法。例如俞小鼎(2013)将1 h雨量≥50 mm的降水事件称为极端短时强降水。也有不少基于相对阈值法识别极端降水事件, Xia et al(2012)通过对比不同的阈值选择方法, 认为在中国区域利用百分位法选取阈值是相对最好的方法, Luo et al(2016)将每站小时降水量排在99.9%的值定义为极端小时降水量。
四川省位于中国西南地区, 紧邻青藏高原东侧, 是受高原热力、 动力作用影响最直接且最显著的区域之一。因其地形地貌复杂多样, 四川省是我国气候变化的敏感区, 也是我国自然灾害的多发地区。已有研究表明, 四川省不仅年雨量大(Li et al, 2010), 且短时强降水频次也高(周秋雪等, 2015), 是极端降水天气事件频发的地区之一。四川省干湿季分明, 降水主要集中在5 -9月(张武龙等, 2014), 而短时强降水是该地区5 -9月主要的灾害性天气之一。目前, 针对四川省短时强降水的时空特征、 影响因子及预报方法已进行不少相关研究(陈永仁等, 2017李强等, 2020刘莹等, 2020冉津江等, 2023), 除此之外, 地形是造成四川省局地的异常短时强降水最重要因素之一(李川等, 2006Li and Gao, 2007沈程锋和李国平, 2022)。站点的海拔、 坡度、 坡向可以定量估计地形对降水的影响, 周学云(2019)根据雅安不同站点地形高度利用平均风场、 坡度和坡向定量计算动力抬升作用, 并指出对于大尺度降水, 地形的动力抬升作用对降水分布的影响远大于中小尺度降水。黄楚惠(2022)先利用地形高度、 水平风、 水汽密度等要素对850 hP相对湿度≥90%的格点进行地形降水估算, 再结合不同海拔高度的降水效率(周秋雪, 2019)去订正模式预报的降水量。另外, 张武龙等(20212024)研究发现, 四川盆地、 川西高原和攀西地区的不同强度短时强降水可通过一些物理量阈值加以区分: 例如平衡高度EL可以较好地区分盆地极端短时强降水和普通短时强降水, 当850 hPa和500 hPa的假相当位温差≥10 ℃也可作为区分二者的参考阈值; 对川西高原而言, 1100 J·kg-1可作为判断是否出现20 mm·h-1以上短时强降水的参考阈值; 对攀西地区而言, 当700 hPa比湿大于13 g·kg-1、 CPAE值超过1100 J·kg-1、 0~3 km垂直风切变达到10 m·s-1时, 极易出现50 mm·h-1以上的短时强降水。这些研究均对预报员判断短时强降水的强弱和落区有重要指示意义。天气预报业务中, 四川省小时雨强最强的站点往往出现在区域自动气象站, 目前针对四川省极端短时强降水的时空分布特征, 尤其是不同区域时空分布特征及其复杂地形影响的相关分析较少, 且多使用国家站降水数据, 其代表性有局限, 对比已有的研究发现, 如果分析选取的站点(如仅基于国家气象站)数量较少, 其强降水中心位置和极值强度会出现明显偏差(陈子凡等, 2022陈妙霖等, 2022周秋雪等, 2024)。因此, 基于更高分辨率的降水资料, 更深入地分析四川省强降水的分布、 演变特征及其成因是非常必要的。
自2008年汛期开始, 四川省大量建立地面区域自动气象站, 到2013年后站点增加趋于稳定并初具规模, 进一步提升了站点布局空间稠密度, 尤其是盆地与高原过渡区域由于地质灾害隐患点更多且密集, 强降雨更易引发山洪、 泥石流等次生灾害, 也扩大了其站点覆盖率。在此基础上, 周秋雪等(2024)基于四川省空间稠密的3454个站点逐时降水资料, 揭示了四川省近10年汛期雨量、 雨日更为精细的分布特征, 获得了一些新的认识, 例如汛期雨量三个大值中心分别位于雅安、 安州区和盐边, 攀枝花为全省夜雨特征最显著的区域等等, 但上述分析对象为12 h和24 h降水量, 短时强降水, 尤其是极端短时强降水的精细化特征仍然缺乏。因此, 本文应用空间稠密度较高的逐时降水资料, 对2013 -2022年汛期四川省不同地区的极端小时降水时空特征及其与地形的关系开展细致的分析研究, 由此深入揭示四川省极端小时降水的区域分布特征及其变化规律, 进一步提升气象防汛减灾的科学性和高效性, 并为长江上游水资源的开发和利用提供科学的参考依据。

2 资料来源及方法介绍

本文使用的地形数据来源于首套覆盖全球(83°N -83°S), 水平精度为30 m的DEM(Digital Elevation Model)数据, 且文中所有站点的海拔、 坡度和坡向均基于该数据计算得出。为保证气象资料的连续性和完整性, 首先挑选出四川省2013-2022年5 -9月均有降水资料且完整度超过80%的站点, 然后根据卫星云图和雷达拼图对逐小时的短时强降水数据进行校正, 同时以四川省气象台值班记录、 雨量传输记录作为辅助依据, 对有问题的降水量数据用缺测值代替。最后挑选出3454个站点, 其中国家站157个, 区域自动站3294个, 另外, 文中涉及的地图是基于中华人民共和国自然资源部地图技术审查中心标准地图服务系统下载的审图号为GS(2016)1552号的中国地图制作, 底图无修改。
实际业务中, 考虑四川省的气候背景和地理位置, 将四川省21个市州划分为7个区域(图1): A区域为盆地西北部(包含广元、 绵阳、 德阳、 成都4市共847个站)、 B区域为盆地西南部(包含雅安、 眉山、 乐山3市共570站)、 C区域为盆地南部(包含宜宾、 泸州、 自贡3市共477个站)、 D区域为盆地中部(包含内江、 资阳、 遂宁3市共292个站)、 E区域为盆地东北部(包含达州、 广安、 巴中、 南充4市共764个站)、 F区域为川西高原(包含甘孜、 阿坝2州共256个站)、 G区域为攀西地区(包含凉山州和攀枝花市共248个站), 上述7个区域即为本文的研究区域, 其中盆地包含A、 B、 C、 D、 E共5个区域, 盆地西部指A、 B两个区域。
图1 四川省3454个站点分布

填色为海拔(单位: m)

Fig.1 Distribution of 3454 stations in Sichuan Province.The color area is elevation (unit: m)

本文主要选取3类极端小时降水指标: (1)F≥50, 即每个站小时雨量≥50 mm的频次; (2)R1hmax, 即每个站的小时雨量最大值; (3)F99p, 即每个站小时雨量超过该站第99分位小时雨量的频次。F≥50和F99p统称为极端小时降水频次, R1hmax为雨强极值。其中F≥50又详细分为小时雨量50~80 mm的频次(F50~80)、 小时雨量80~100 mm的频次(F80~100)以及小时雨量≥100 mm的频次(F≥100)。因不同区域的站点数差异较大, 所以文中每个区域极端小时降水的年均频次均为该区域年均总频次除以该区域站点数。另外, 由于所用的为整点资料, 这可能导致部分连续1 h超过指定阈值的极端小时降水事件被划分到两个时段而未达到本文的统计标准, 因此, 实际发生极端小时降水频率可能更高。
文中坡度指坡面的垂直高度和路程的比值, 该指标依据国际地理学联合会与地貌制图委员会关于地貌详图应用的坡地分类来划分坡度等级, 规定: 0°~0.5°为平原, 0.5°~2°为微斜坡, 2°~5°为缓斜坡, 5°~15°为斜坡, 15°~35°为陡坡, 35°~55°为峭坡, 55°~90°为垂直壁。坡向指地表面上一点的切平面的法线矢量在水平面上的投影与过该点的正北方向的夹角, 337.5°~360°和0°~22.5°为北, 22.5°~67.5°为东北, 67.5°~112.5°为东, 112.5°~157.5°为东南, 157.5°~202.5°为南, 202.5°~247.5°为西南, 247.5°~292.5°为西, 292.5°~337.5°为西北。
主要应用相关分析、 趋势分析、 滑动t检验等统计诊断方法。其中趋势分析(趋势系数)是计算气象要素的时间序列与自然数数列之间的相关系数, 它消去了气象要素的均方差和单位对线性回归系数大小的影响, 可用于比较不同的趋势变化。另外, 为了方便不同量级和要素之间比较, 本文使用了标准差偏离百分比, 即标准差占平均值的百分比。

3 极端小时降水的时空分布特征

3.1 短时强降水概况

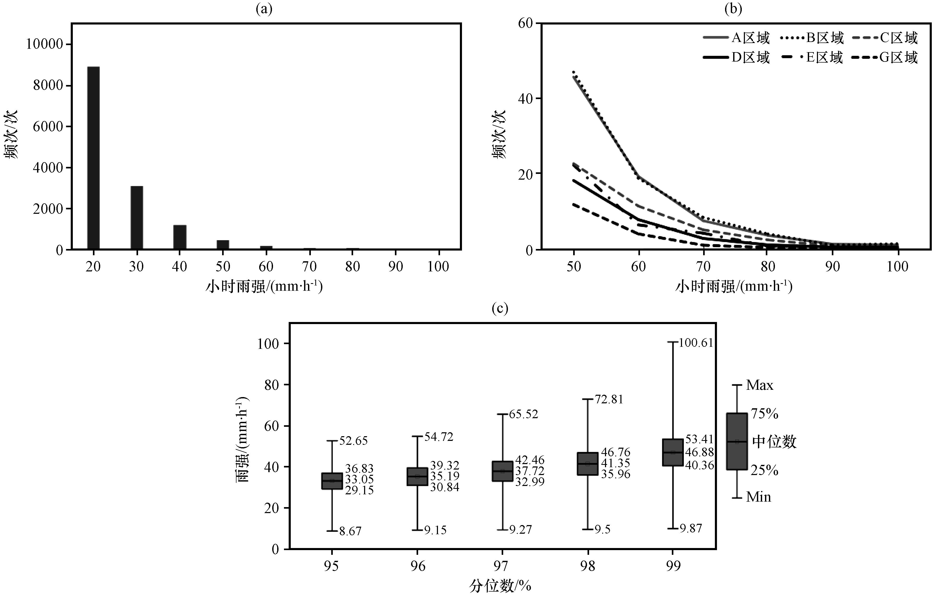
据统计, 2013 -2022年汛期(5 -9月)四川省平均每年发生短时强降水(≥20 mm·h-1)的频次为14012次(站均频次为4.06), 随着小时雨强阈值增大, 频次迅速减小[图2(a)]。其中20~30 mm·h-1的频次占总频次63.8%, F≥50仅占5.6%, 虽然F≥50占比少, 但达到了极端短时强降水标准, 致灾性强。另外, 四川省不同区域的短时强降水频次也存在较大差异, 其中盆地为短时强降水高发区域(站均频次为4.53), 平均每年每站发生短时强降水的频次远远高于川西高原和攀西地区(站均频次分别为0.27和2.35), 并且随着小时雨强阈值增大, 站均频次也逐渐增加, ≥90 mm·h-1的极端小时降水仅发生在盆地地区。进一步分析发现, A、 B区域F≥50的频次变化曲线几乎一致, 且平均每站发生极端小时降水频次明显超过其他区域[图2(b)]。沈程锋和李国平(2022)研究发现, 在对流性强降水中, 随着地势升高, 地形引起的强上升气流增加了大雨滴出现概率, 进一步提升降水效率。A区域和B区域正是位于盆地至高原的过渡地区, 汛期盆地850 hPa盛行偏东偏南气流, 且风速常常在夜间加强白天减弱, 受地形增幅作用, 盆地西部沿山地区易出现强降水。
图2 四川省不同量级短时强降水频次分布(a, b, 单位: 次)及95%~99%百分位极端小时雨强箱线图(c, 单位: mm·h-1

Fig.2 Frequency Distribution of Short-term Heavy Precipitation (a, b, unit: times) and the 95%~99% percentile extreme hourly rainfall intensity box diagram (c, unit: mm·h-1) in Sichuan Province

盆地所有区域的雨强极值均超过100 mm·h-1, 具体的雨强极值排序为B区域(156.8 mm·h-1)A区域(138.3 mm·h-1)E区域(124.3 mm·h-1)D区域(114.9 mm·h-1)C区域(112.3 mm·h-1)G区域(85.7 mm·h-1)F区域(63.3 mm·h-1)。极端小时降水频次和雨强极值在盆地均呈现西部大于东部、 盆周大于盆中的特征, 说明盆周山区地形对极端小时降水发生有一定增强作用。
图2(c)为四川省3454站第95%~99%百分位小时降水量的箱线图分布, 随着百分位数增加, 最小值的增长幅度较小, 而最大值和离散度明显增大。根据尺度分析和降水量与垂直速度之间的关系, ≥10 mm·h-1的降水一般由中小尺度的天气系统造成(陈炯等, 2013), 99%分位的最小值为9.87 mm·h-1, 是最接近10 mm·h-1的阈值, 且其25%~75%分位值为40.36~53.41 mm·h-1, 基本能涵盖40~50 mm·h-1的强小时雨强。另外, 盆地有43.6%站点的99%分位小时雨量≥50 mm, 而97%分位和98%分位小时雨量≥50 mm的站数比仅4.3%和15.9%, 因此本文将同时采用绝对阈值法和相对阈值法, 重点分析小时雨强≥50 mm及99%分位以上的极端小时降水特征。

3.2 极端小时降水的时间变化特征

图3(a)、 (b)为2013 -2022年汛期(5 -9月)四川省3类极端小时降水指标(F≥50、 F99p和R1hmax)的逐年分布。总体而言, F≥50和F99p的年际变化曲线特征较为一致, 2013年为极端小时降水高频年份, 2014 - 2017年四川省进入极端降水相对偏少时段, 2018年极端小时降水频次突增至峰值, 随后在波动中逐渐减少。F≥50和F99p的趋势系数均未通过信度检验, 进一步分析发现仅F≥100的趋势系数通过了90%的信度检验, 增长速率为6.4 times·(10a)-1。另外, F50-80、 F80-100和F≥100的标准差偏离百分比分别为36%、 53%、 62%, 说明极端小时降水阈值越大, 其频次的年际波动幅度越显著。相较而言, 雨强极值的年际变化波动程度最小, 其标准差偏离百分比仅14%。另外, R1hmax近10年的变化趋势为减小-增大-减小, 与极端小时降水频次的变化趋势相似, 但峰谷值出现时间略有差异, 说明雨强极值大小与极端小时降水频次高低有一定关系, 但非一一对应。
图3 极端小时降水频次(a, c, 单位: 次)和雨强极值(b, d, 单位: mm·h-1)的逐年(a, b)、 逐月(c, d)变化

Fig.3 Interannual (a, b) and sub-seasonal (c, d) variations of extreme hour precipitation frequency (a, c, unit: times) and extreme rainfall intensity (b, d, unit: mm·h-1

图3(c)、 (d)为2013 -2022年汛期(5 -9月)四川省3类极端小时降水指标(F≥50、 F99p和R1hmax)的次季节分布。F≥50和F99p的次季节变化十分显著, 5 -7月均呈陡增的变化趋势, 最大月增幅可达3.7倍, 8 -9月又一致陡降。进一步分析发现, 随着极端小时降水阈值增大, 频次峰值出现时间也略推迟, 其中F50-80和F99p的峰值出现在7月, F80-100和F≥100的峰值出现在8月。另外, F≥50峰值出现时间有南北差异, 其中A、 E区域F≥50峰值出现在7月, 盆地其余区域和G区域均出现在8月。相较而言, R1hmax的次季节变化幅度要小得多, 5 -8月全省R1hmax逐渐增大, 最大月增幅仅0.22倍, 其中7、 8月R1hmax均超150 mm·h-1。统计发现, 除D区域(5月)和F区域(7月)以外, 其余5个区域的雨强极值均出现在8月。
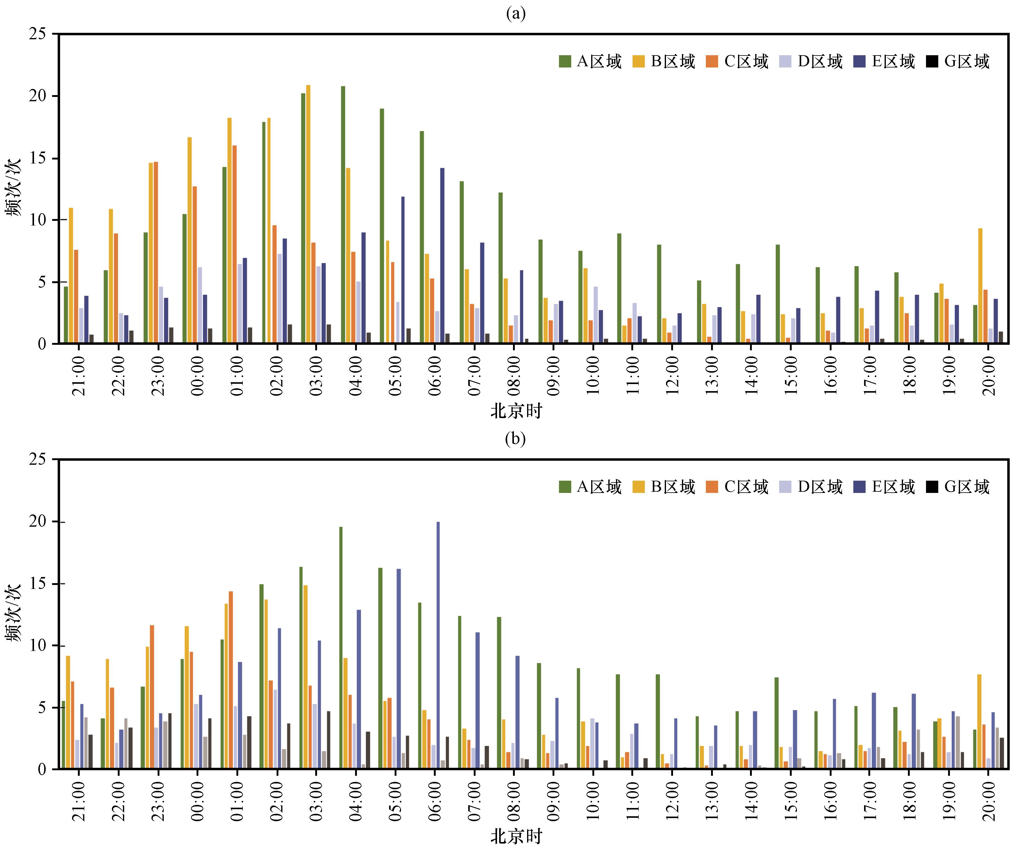
青泉等(2015)对四川盆地内初始回波生成地及其移动演变特点进行了研究, 发现在850 hPa风和地形的相互作用下, 初始回波主要在盆地周边山区边缘附近生成, 根据承载层风向逐渐向盆地其余地方向移动。因此盆地不同区域短时强降水的开始时间、 强降水持续时间和峰值出现时间也不同。据分析, 2013-2022年汛期四川省不同区域极端小时降水频次的日变化特征十分显著, 夜间极端小时降水频次明显多于白天(图4), 且不同区域的峰谷值出现时间也不同。F≥50峰值出现时间大致由南向北、 由西向东逐渐推迟[图4(a)]: C区域F≥50峰值出现在01:00(北京时, 下同), D区域出现在02:00, B区域和G区域出现在03:00, A区域出现在04:00, E区域出现在06:00。谷值出现时间差异较大, 除B区域和E区域以外(11:00), 其余地区的谷值集中在午后至傍晚。对比盆地不同区域极端小时降水频次开始增加和减少的时间段, 大致可以判断对流性回波多于B区域和C区域生成, 然后向偏北、 偏东方向发展和移动, 这与盆地对流层低层偏南风急流的日变化特征较为吻合。A-E区域和G区域的F99p峰值出现时间与F≥50完全一致[图4(b)], F区域的峰值出现在19:00, 且该区域F99p高频时段集中在前半夜, 明显提前于其他区域。
图4 四川省不同区域极端小时降水频次日变化(单位: 次)

(a) F≥50, (b) F99p

Fig.4 The diurnal variation characteristics of extreme hourly precipitation frequency in different regions of Sichuan Province.Unit: times.(a) F≥50, (b) F99p

据分析, 不同区域内各站点在01:00 -23:00的R1hmax大小和范围均有明显差异(图5)。其中B区域R1hmax范围最大、 上限值和均值最高, A区域R1hmax下限值和中位值最高, D区域R1hmax发散度最小。另外, 盆地5个区域的均值大于中位数, 说明盆地内多数站点R1hmax高于该区域平均值, 其中B区域该特征最显著, 而F、 G区域则是多数站点R1hmax低于该区域平均值。
图5 四川省不同区域雨强极值(单位: mm·h-1)箱线图

Fig.5 Distribution of extreme value box diagram of rainfall intensity (unit: mm·h-1) in different regions of Sichuan Province

与极端小时降水频次日变化相比, 四川省R1hmax日变化特征并不显著(图略), 但不同地区R1hmax超过100 mm·h-1出现时间略有差异, 相较而言, E区域和C区域白天出现100 mm·h-1以上极端小时降水的概率较小, A区域和B区域则是全天均易出现100 mm·h-1以上的极端小时降水, 该特征在盆地呈现出较为明显的东-西差异。

3.3 极端小时降水的空间分布特征

图6为2013 -2022年汛期(5 -9月)四川省F≥50的空间分布, F≥50在盆地大致呈西多东少的分布特征, F≥50的高频站点集中分布在盆地西部龙门山脉东侧的迎风坡。进一步分析A、 B区域F≥50与站点海拔的关系[图7(a)], 发现300~1000 m范围内, F≥50最大值随着海拔升高而增多, 在948 m时F≥50最大值达到峰值(19次), 随着海拔继续升高, F≥50最大值呈梯度式减少, 主要有两个明显减少的阶段: 1000~1100 m F≥50最大值减少至10次, 1100~1400 m F≥50最大值变化不明显, 当海拔超过1400 m时, F≥50最大值迅速减少。根据天气学原理(2007), 在一定条件下, 地形对降水的动力作用中主要是地形的强迫抬升, 当山的坡度愈大、 地面风速愈大且风向与山的走向愈垂直时, 由地形强迫抬升引起的地面垂直速度越大, 但这种由地形抬升所造成的垂直速度一般随高度减弱, 向上伸展的范围一般离地1000~2000 m。由此可见, 盆地西部陡峭地形强迫抬升引起的垂直速度向上伸展范围吻合, 因地形抬升对极端小时降水造成的增幅大致集中在1400 m以下。
图6 四川省F≥50的空间分布(单位: 次)

填色为高程(单位: m)

Fig.6 Spatial distribution of F≥50 in Sichuan Province (unit: times).The color area is elevation (unit: m)

图7 A、 B区域F≥50随站点海拔分布(a, 单位: 次)以及F≥50高频站点随坡度和坡向分布(b, c, 单位: 个)

Fig.7 The distribution of F≥50 with the elevation of the station (a, unit: times) and the distribution of high-frequency stations with the slope and aspect (b, c, unit: sites) in areas A and B

进一步分析A、 B区域F≥50≥13次(F≥50的第99%分位值)站点的坡度和坡向特征[图7(b), (c)]。A区域符合条件的站点共有11站, 海拔平均为727.9 m, 坡度范围0.4°~37.5°, 平均坡度为13.5°, 坡度分级以斜坡站点最多(5个站), 其次是微斜坡(3个站), 坡向以偏东向为主, 其中东南、 东、 东北分别为3个站、 3个站和2个站。B区域符合条件的站点共有7站, 海拔平均为776.1 m, 坡度范围1.9°~24.0°, 平均坡度为14.8°, B区域的坡度较A区域更为集中, 坡度分级以陡坡和斜坡站点最多(均为3个站), 坡向分布也比A区域更为集中, 整体而言仍以偏东向为主, 其中东、 东南分别为3个站和2个站。虽然地形对降水的动力作用中主要是地形的强迫抬升, 但是地形辐合作用也不容忽视, 特别是“雅安天漏”与喇叭口地形区就有着密切联系, 但目前因喇叭口地形造成的上升运动尚无公式可计算, 大约与喇叭口入口处的宽度和喇叭口内部的宽度比值成正比(天气学原理, 2007)。盆地西北部作为全省的大暴雨中心, 除了其位于龙门山脉东侧迎风坡以外, 该地区也存在许多更为精细的沟谷地形, 2023年7月10日20:00至11日20:00盆地西北部特大暴雨过程中, 日雨量排名前3的站点正是位于沟谷地区, 地形强迫抬升和地形辐合共同作用触发强对流。
受地形影响, 四川省不同区域第99%分位极端小时阈值也有较大差异[图8(a)]。盆地阈值大致呈西高东低分布, 阈值≥60 mm的站点多集中在盆地西部沿山一带, 其中A区域的阈值范围25.4~100.5 mm, 均值为49.8 mm, B区域的阈值的上下限均更小(15.2~91.7 mm), 但均值更大(50.7 mm)。G区域呈南高北低的分布特征, F区域则是南北高、 中部低, 阈值范围分别为19.1~55.1 mm、 9.9~46.1 mm。逐站计算平均每年汛期雨强≥阈值的累积雨量[图8(b)], 大值区(≥210 mm)仍然集中在盆地西部沿山的迎风坡, 另外E区域也有一个大值中心, 与川东平行岭谷山系有关。F区域94.5%站点的累积雨量低于80 mm, 累积雨量≥90 mm的站点集中在阿坝州东南部边缘和甘孜州东南部, 其中累积雨量≥100 mm的站点仅位于甘孜州东南部, 最大累积雨量达115.5 mm, 位于紧邻“雅安天漏”的泸定县。G区域累积雨量分布同样为北少南多, 累积雨量≥90 mm的站点多集中在G区域海拔最低的攀枝花市, 最大累积雨量达195.9 mm。
图8 四川省99%分位极端小时阈值分布(a)以及逐站99%分位极端小时降水累积雨量分布(b)(单位: mm)

Fig.8 The threshold distribution of extreme hourly precipitation at 99% percentile (a) and the cumulative rainfall distribution of extreme hourly precipitation at 99% percentile (b) in Sichuan Province.Unit: mm

因F、 G区域小时雨量≥50 mm的站点数较少, 为了进一步分析上述2个区域极端小时降水与地形的关系, 本文根据图8(b)的统计数据, 先计算出F、 G区域累积雨量第90%分位值, 再分别统计累积雨量超过该区域分位值所有站点的海拔、 坡度和坡向分布, 结果如图9所示。F区域符合条件的站点数为26个站, 海拔为971~3878 m, 随着海拔升高, 累积雨量减少趋势不明显[图9(a)], 坡度范围为0.5°~48.3°, 平均坡度为17.1°, 随着坡度增大, 站点数先增加后减少[图9(b)], 其中斜坡站点最多(12个站), 其次为陡坡(9个站), 该区域8个坡向均有站点分布[图9(c)], 其中南向站点数最多(8个站), 其次为西南向(5个站)。G区域符合条件的站点数为25个站, 海拔为1211~2270 m, 累积雨量随着海拔升高先增大再减少, 坡度范围为0.5°~26.1°, 平均坡度为9.1°, 随着坡度增大, 站点数也是先增加后减少, 同样在斜坡站点最多(14个站), 相较而言, 达到峰值后G区域站点数减少得更为迅速。
图9 F、 G区域99%分位极端小时降水累积雨量随海拔分布(a, 单位: mm)以及累积雨量大值站点随坡度和坡向分布(b, c, 单位: 个)

Fig.9 Distribution of cumulative rainfall with altitude in extreme hours of 99% percentile precipitation (a, unit: mm) and distribution of stations with large cumulative rainfall with slope and aspect (b, c, unit: sites) in areas F and G

4 结论

本文将四川省划分为7个区域, 利用严格质控后的3454个站点逐时降水资料和水平精度为30 m的DEM(Digital Elevation Model)数据, 详细分析了极端小时降水频次、 雨强极值的时空分布特征, 并探讨高频极端降水与地形的关系, 得到如下主要结论:
(1) 近10年四川省小时雨量≥100 mm的极端小时降水频次以6.4 times·(10a)-1的增长速率逐渐增多, 通过90%的信度检验。另外, 极端小时降水阈值越大, 其频次的年际波动幅度也越大。
(2) 四川省极端小时降水频次的次季节变化十分显著, 最大月增幅可达3.7倍, 且频次峰值出现时间随着极端小时降水阈值增大而推迟, R1hmax次季节变化曲线与极端小时降水频次相似但变化幅度要小得多, 最大月增幅仅0.22倍。另外, 不同区域极端小时降水频次和雨强极值的峰值出现时间略有差异。
(3) F≥50和F99p的日变化特征十分显著, 均为夜间多白天少, 且不同区域的峰谷值出现时间和高频集中时段也不同, 频次峰值出现时间大致由南向北、 由西向东逐渐推迟。相较而言R1hmax的日变化特征要弱很多, 另外盆地内多数站点R1hmax高于该区域平均值, 而川西高原和攀西地区则相反。
(4) 极端小时降水频次在盆地呈西多东少的分布特征, 与龙门山脉和喇叭口地形关系十分密切, 盆地西部F≥50的最大值随海拔先增多后减少, 这种由地形强迫抬升对极端小时降水造成的增幅大致集中在1400 m以下。盆地西北部F≥50高频站点坡度多为斜坡和微斜坡, 而盆地西南部F≥50高频站点坡度较盆地西北部更大, 多为陡坡和斜坡。盆地西南部F≥50高频站点坡向以东和东南为主, 除了上述两个方位外, 盆地西北部F≥50高频站点坡向还有东北。
(5) 四川省不同区域第99%分位极端小时阈值有较大差异, 其中盆地阈值分布为西高东低, 攀西地区为南高北低, 川西高原则为南北高、 中部低, 小时雨量超过该阈值的累积雨量与F≥50空间分布特征相似。相较于盆地高频极端小时降水频次与坡度的关系, 川西高原和攀西地区累积雨量大值站点与坡度的相关性更大, 累积雨量大值站点数均随坡度先增多后减少, 在斜坡站点数达到峰值, 攀西地区大值站点数随坡度减小得比川西高原更迅速。
由于不同区域资料完整度的影响, 相对于盆地而言, 本文在川西高原和攀西地区使用的站点数较少、 覆盖率较低, 这对极端小时降水特征的整体认识有一定影响。另外, 本文只是从统计学方面揭示了一些特征现象, 而对于相关物理机制的研究较为缺乏, 例如龙门山脉东侧迎风坡的中小尺度地形对气流热力、 动力性质以及云粒子的微物理属性的具体影响机制还需要下一步深入分析。
Li Y Q Gao W L2007.Atmospheric boundary layer circulation on the eastern edge of the Tibetan Plateau, China in summer[J].Arctic, Antarctic, and Alpine Research39(4): 708-713.

Li Y Q Li D J Yang S, et al, 2010.Characteristics of the precipitation over the eastern edge of the Tibetan Plateau[J].Meteorology and Atmospheric Physics106(1-2): 49-56.

Luo Y L Wu M M Ren F M, et al, 2016.Synoptic situations of extreme hourly precipitation over China[J].Journal of Climate29(24): 8703-8719.

Srivastava A Grotjahn R llrich P2020.Evaluation of historical CMIP6 model simulations of extreme precipitation over contiguous US regions[J].Weather and Climate Extremes, 29: 100268.

Trenberth K E1999.Conceptual framework for changes of extremes of the hydrological cycle with climate change[J].Climatic Change, 42: 327-339.

Xia J Du H Zeng S D, et al, 2012.Temporal and spatial variations and statistical models of extreme runoff in Huaihe River Basin during 1956-2010[J].Journal of Geographical Sciences22(6): 1045-1060.

Yang X Y Zhang S B Lyu Y Q2020.Characteristics and future projections of summer extreme precipitation in Sichuan Province, China[J].Journal of Mountain Science17(7): 1696-1711.

Zhang H Zhai P M2011.Temporal and spatial characteristics of extreme hourly precipitation over eastern China in the warm season[J].Advances in Atmospheric Sciences28(5):1177-1183.

陈永仁, 康岚, 李跃清, 2017.基于EC025配料的短时强降水概率预报产品及应用[J].高原山地气象研究37(4): 1-7.

Chen Y R Kang L Li Y Q2017.The product and application of short-time strong precipitation probability forecast based on the ingredient of EC025 Model data[J].Plateau and Mountain Meteorology Research37(4): 1-7.

陈子凡, 王磊, 李谢辉, 等, 2022.西南地区极端降水时空变化特征及其与强 ENSO 事件的关系[J].高原气象41(3): 604-616.DOI: 10.7522/j.issn.1000-0534.2022.00004.Chen Z F

Wang L Li X H, et al, 2022.Spatiotemporal change characteristics of extreme precipitation in south-western China and its relationship with intense ENSO events[J].Plateau Meteorology41(3): 604-616.DOI: 10.7522/j.issn.1000-0534.2022.00004 .

陈妙霖, 毛文书, 师春香, 等, 2022.1991-2020年西南湿季小时极端降水特征与区域差异[J].成都信息工程大学学报37(4): 435-441.

Chen M L Mao W S Shi C X, et al, 2022.Characteristics of hourly extreme precipitation in southwest China from May to September from 1991 to 2020[J].Journal of Chengdu University of Information Technology37(4): 435-441.

陈炯, 郑永光, 张小玲, 等, 2013.中国暖季短时强降水分布和日变化特征及其与中尺度对流系统日变化关系分析[J].气象学报71(3): 367-382.

Chen J Zheng Y G Zhang X L, et al, 2013.Analysis of the climatological distribution and diurnal variations of the short-duration heavy rain and its relation with diurnal variations of the MCSs over China during the warm season[J].Acta Meteorologica Sinica71(3): 367-382.

黄楚惠, 牛金龙, 李国平, 等, 2022.基于西南区域中尺度模式系统预报的陡峭地形过渡带降水订正方法[J].干旱气象40(2): 317-326.

Huang C H Niu J L Li G P, et al, 2022.Correction method of precipitation in steep terrain transition zone forecasted based on southwest center WRF ADAS real-time modeling system[J].Journal of Arid Meteorology40(2): 317-326.

李川, 陈静, 何光碧, 2006.高原东侧陡峭地形对一次强降水天气过程的影响[J].高原气象25(3): 442-450.

Li C Chen J He G B2006.Impact of the steep terrain of eastern Qinghai-Xizang Plateau on the genesis and development of extreme heavy rainfall event[J].Plateau Meteorology25(3): 442-450.

李强, 王秀明, 周国兵, 等, 2020.四川盆地西南低涡暴雨过程的短时强降水时空分布特征研究[J].高原气象39(5): 960-972.DOI: 10.7522/j.issn.1000-0534.2019.00096.Li Q

Wang X M Zhou G B, et al, 2020.Temporal and spatial distribution characteristics of short-time heavy rainfall during southwest vortex rainstorm in Sichuan Basin[J].Plateau Meteorology39(5): 960-972.DOI: 10.7522/j.issn.1000-0534.2019.00096 .

刘莹, 肖递祥, 陈莹, 2020.基于短时强降水概率预报的模糊检验试验[J].高原山地气象研究40(4): 16-21.

Liu Y Xiao D X Chen Y2020.Fuzzy verification test of probabilistic forecast of short-term heavy precipitation[J].Plateau and Mountain Meteorology Research40(4): 16-21.

冉津江, 齐玉磊, 龙治平, 等, 2023.基于高密度站点的四川盆地短时强降水特征分析[J].高原气象42(4): 949-961.DOI: 10.7522/j.issn.1000-0534.2022.00044.Ran J J

Qi Y L Long Z P, et al, 2023.Characteristics of Short-time heavy rainfall in the Sichuan Basin based on high-density station observations[J].Plateau Meteorology42(4): 949-961.DOI: 10.7522/j.issn.1000-0534.2022.00044 .

孙继松, 戴建华, 何立富, 等, 2014.强对流天气预报的基本原理与技术方法: 中国强对流天气预报手册[M].北京: 气象出版社, 1-158.

Sun J S Dai J H He L F, et al, 2014.The basic principles and technical methods of severe convective weather[M].Beijing: China Meteorological Press, 1-158.

沈程锋, 李国平, 2022.基于GPM 资料的四川盆地及周边地区夏季地形降水垂直结构研究[J].高原气象41(6): 1532-1543.DOI: 10.7522/j.issn.1000-0534.2021.0116.Shen C F

Li G P2022.The vertical structure of orographic precipitation during warm season in the Sichuan Basin and its surrounding areas by using GPM dual-frequency spaceborne precipitation radar[J].Plateau Meteorology41(6): 1532-1543.DOI: 10.7522/j.issn.1000-0534.2021.0116 .

王丛梅, 俞小鼎, 刘瑾, 等, 2018.弱天气尺度背景下太行山极端短时强降水预报失败案例剖析[J].气象44(1): 107-117.

Wang C M Yu X D Liu J, et al, 2018.Analysis of a forecast failure case of extreme flash-rain under weak synoptic-scale background in Taihang Mountain[J].Meteorological Monthly44(1): 107-117.

吴梦雯, 罗亚丽, 2019.中国极端小时降水 2010-2019年研究进展[J].暴雨灾害38(5): 502-514.

Wu M W Luo Y L2019.Extreme hourly precipitation over China: research progress from 2010 to 2019[J].Torrential Rain and Disasters38(5): 502-514.

俞小鼎, 2013.短时强降水临近预报的思路与方法[J].暴雨灾害32(3): 202-209.

Yu X D2013.Nowcasting thinking and method of flash heavy rain[J].Torrential Rain and Disasters32(3): 202-209.

周秋雪, 刘莹, 冯良敏, 等, 2015.2008-2012年四川强小时雨强的时空分布特征[J].高原气象34(5): 1261-1268.DOI: 10.7522/j.issn.1000-0534.2014.00070.Zhou Q X

Liu Y Feng L M, et al, 2015.Analysis on temporal and spatial distribution characteristics of strong hour rainfall intensity in Sichuan during 2008-2012[J].Plateau Meteorology34(5): 1261-1269.DOI: 10.7522/j.issn.1000-0534.2014.00070 .

周秋雪, 康岚, 蒋兴文, 等, 2019.四川盆地边缘山地强降水与海拔的关系[J].气象45(6): 811-819.

Zhou Q X Kang L Jiang X W, et al, 2019.Relationship between heavy rainfall and altitude in mountainous areas of Sichuan Basin[J].Meteorological Monthly45(6): 811-819.

周秋雪, 康岚, 龙柯吉, 等, 2024.基于稠密雨量观测的四川省复杂地形降水特征分析[J/OL].高原气象.[2024-11-01].DOI: 10.7522/j.issn.1000-0534.2024.00082.Zhou Q X

Kang L Long K J, et al, 2024.Analysis of precipitation characteristics of complex terrain in Sichuan Province based on spatially dense rainfall observation[J/OL].Plateau Meteorology.[2024-11-01].DOI: 10.7522/j.issn.1000-0534.2024.00082 .

周学云, 高文良, 吴亚平, 等, 2019.定量研究雅安地形坡向坡度对降水分布的影响[J].气象科学39(3): 322-335.

Zhou X Y Gao W L Wu Y P, et al, 2019.Quantitative study on the influence of terrain aspect and gradient on the precipitation distribution in Ya'an[J].Journal of the Meteorological Sciences39(3): 322-335.

张武龙, 张井勇, 范广洲, 2014.我国西南地区干湿季降水的主模态分析[J].大气科学38(3): 590-602.

Zhang W L Zhang J Y Fan G Z2014, Dominant modes of dry and wet-season precipitation in southwestern China[J].Chinese Journal of Atmospheric Sciences38(3): 590-602.

张武龙, 康岚, 杨康权, 等, 2021.四川盆地不同强度短时强降水物理量特征对比分析[J].气象47(4): 439-449.

Zhang W L Kang L Yang K Q, et al, 2021.Comparative analysis on characteristics of physical quantity of flash-rain under different intensities in Sichuan Basin[J].Meteorological Monthly47(4): 439-449.

张武龙, 杨康权, 康岚, 等, 2024.川西高原和攀西地区不同级别短时强降水环境参量特征对比分析[J].高原山地气象研究44(2): 75-82.

Zhang W L Yang K Q Kang L, et al, 2024.Characteristics of Environmental parameters of short-duration heavy rain in western Sichuan Plateau and Panxi Region[J].Plateau and Mountain Meteorology Research44(2): 75-82.

文章导航

/