甘肃极端暴雨多源观测特征及形成机理研究专栏

两次副高边缘型特大暴雨事件的降水极端性对比分析

  • 黄武斌 , 1, 2 ,
  • 马莉 , 2 ,
  • 郭润霞 2 ,
  • 段伯隆 2 ,
  • 谭丹 2 ,
  • 李健 2 ,
  • 景治坤 2 ,
  • 范琦玮 3 ,
  • 崔宇 2
展开
  • 1. 甘肃省敦煌市气象局,甘肃 酒泉 735000
  • 2. 兰州中心气象台,甘肃 兰州 730020
  • 3. 酒泉市气象局,甘肃 酒泉 735000
马莉(1993 -), 女, 宁夏西吉人, 工程师, 主要从事灾害天气预报技术研究. E-mail:

黄武斌(1990 -), 男, 甘肃会宁人, 高级工程师, 主要从事客观天气预报技术研究. E-mail:

收稿日期: 2025-01-30

  修回日期: 2025-08-21

  网络出版日期: 2025-10-20

基金资助

甘肃省重点人才项目(2025RCXM037)

“飞天风云”青年拔尖人才项目(2425rczx)

甘肃省自然科学基金项目(25JRRA322)

甘肃省自然科学基金项目(24JRRA1177)

甘肃省自然科学基金项目(24JRRA717)

甘肃省自然科学基金项目(24JRRA1182)

甘肃省自然科学基金项目(23JRRA1331)

中国气象局复盘总结专项(FPZJ2025-139)

国家自然科学基金项目(42205083)

中国气象局青年创新团队项目(CMA2024QN04)

甘肃省气象局创新团队项目(GSQXCXTD-2024-01)

Comparative Analysis of Precipitation Extremes in Two Major Rainstorm Events at the Edge of the Subtropical High

  • Wubin HUANG , 1, 2 ,
  • Li MA , 2 ,
  • Runxia GUO 2 ,
  • Bolong DUAN 2 ,
  • Dan TAN 2 ,
  • Jian LI 2 ,
  • Zhikun JING 2 ,
  • Qiwei FAN 3 ,
  • Yu CUN 2
Expand
  • 1. Meteorological Bureau of Dunhuang City,Gansu Provincey,Jiuquan 735000,Gansu,China
  • 2. Lanzhou Central Meteorological Observatory,Lanzhou 730020,Gansu,China
  • 3. Jiuquan Meteorological Bureau,Jiuquan 735000,Gansu,China

Received date: 2025-01-30

  Revised date: 2025-08-21

  Online published: 2025-10-20

Copyright

© Editorial Department of Plateau Meteorology (CC BY-NC-ND)

摘要

针对2022年(“7·15”)和2024年(“7·22”)甘肃两次特大暴雨过程, 利用多源实况观测数据和再分析资料, 结合多种分析方法, 对两次特大暴雨事件进行了较为系统的对比分析, 结果显示: (1)两次过程24 h总降水量、 小时雨强、 短时强降水频次不同, “7·15”累积降水更大, 雨势更强, 但暴雨以上量级降水范围及短时强降水频次远低于“7·22”。(2)两次过程具有明显极端性, “7·15”短时强降水突破建站以来历史极值的站数多于“7·22”, 而过程雨量和短时强降水频次与之相反。(3)两次过程短历时降水事件的各指标差异明显, “7·15”中等强度和强降水占比显著高于“7·22”; “7·15”短历时弱降水和中等强度占比最大(44.55%), 短历时强降水事件占比为10.68%, 5 min和1 h时最大滑动降水量分别高达30.9 mm 和93.6 mm, 而“7·22”短历时弱降水事件占比最大(60.70%), 短历时强降水事件占比为8.68%, 5 min和1 h最大滑动降水量分别为15.3 mm 和83.6 mm, “7·15”降水极端性更为显著且致灾性更强。(4)两次过程主导天气系统、 水汽、 热力和动力抬升条件有明显的异同, 两次过程均是发生在副热带高压、 中低层低涡切变和地面辐合线等高低空系统耦合作用下的暖区对流性强降水, “7·15”过程水汽辐合强度和垂直方向上的辐合厚度、 湿层厚度、 锋生作用、 垂直上升运动强度、 CAPE等物理量明显低于“7·22”过程, 但暴雨中心整层大气可降水量、 强降水期间对流不稳定度及最强降水时段垂直运动上升高度更强。

本文引用格式

黄武斌 , 马莉 , 郭润霞 , 段伯隆 , 谭丹 , 李健 , 景治坤 , 范琦玮 , 崔宇 . 两次副高边缘型特大暴雨事件的降水极端性对比分析[J]. 高原气象, 2026 , 45(1) : 244 -260 . DOI: 10.7522/j.issn.1000-0534.2025.00097

Abstract

This study conducts a systematic comparative analysis of two extreme heavy rainfall events in Gansu Province, occurring in July 2022 (‘7·15’) and July 2024 (‘7·22’), using multi-source observational data and reanalysis datasets combined with various diagnostic methods.The key findings are as follows: (1) The two events differed in 24-h cumulative precipitation, hourly rainfall intensity, and frequency of short-duration heavy rainfall.The ‘7·15’ event had greater cumulative rainfall and stronger instantaneous intensity, but its spatial extent of extreme rainfall (≥50 mm) and frequency of short-duration heavy precipitation were significantly lower than those of ‘7·22’.(2) Both events exhibited extreme characteristics.The ‘7·15’ event broke historical records for short-duration rainfall intensity at more stations than ‘7·22’, whereas the latter showed higher cumulative precipitation totals and more frequent short-duration heavy rainfall events.(3) Significant differences existed in short-duration precipitation metrics.The ‘7·15’ event had substantially higher proportions of moderate and heavy rainfall (44.55% and 10.68%, respectively), with maximum 5-min and 1-h sliding precipitation reaching 30.9 mm and 93.6 mm.In contrast, ‘7·22’ was dominated by light rainfall (60.70%), with only 8.68% heavy precipitation events and maximum 5-min/1-h accumulations of 15.3 mm and 83.6 mm.The ‘7·15’ event demonstrated more extreme precipitation characteristics and greater disaster potential.(4) The two events exhibited both similarities and differences in their dominant weather systems, moisture convergence, and thermodynamic/dynamic lifting conditions.Both were warm-sector convective heavy precipitation events triggered by the coupling of upper- and lower-level systems including the subtropical high, mid-to-low-level vortex shear, and surface convergence lines.While the ‘7·15’ event showed significantly weaker values than‘7·22’ in moisture convergence intensity, vertical convergence depth, moist layer thickness, frontogenesis, vertical updraft intensity, and CAPE, it demonstrated greater precipitable water throughout the atmospheric column at the rainfall core, stronger convective instability during intense precipitation, and higher vertical ascent heights during peak rainfall periods.

1 引 言

在全球变暖背景下, 中国极端降水发生的频率、 强度及持续时间均明显呈增长趋势, 且未来极端降水的复杂性、 局限性、 突发性和时空分布的非均匀性将会增强, 从而进一步加剧致灾风险(陆婷婷和崔晓鹏, 2022Paul et al, 2018史文茹等, 2021)。西北地处我国内陆地区, 每年5 -9月受东亚季风影响, 易产生强降水, 是极端降水日数增速最快的区域(卢珊等, 2020马莉等, 2023)。近年来, 西北地区破历史极值的极端暴雨事件频出, 其引发的山洪、 滑坡、 泥石流及城市内涝等次生灾害, 导致的经济损失之巨, 远超其他气象灾害, 且对民众的日常生活与生命安全构成了严峻威胁(黄垭飞等, 2021马莉等, 2025)。如, 2022年8月12日发生在河西走廊西部的极端暴雨过程小时雨量高达56.2 mm, 刷新了河西走廊西部的历史极值, 造成了巨大的经济损失(张君霞等, 2024)。
极端降水现象的出现, 通常依赖于适宜的大气环流、 高低空多尺度天气系统的协同作用以及源源不断的水汽供应(孙颖姝等, 2025)。国内外诸多学者从极端降水日尺度和小时尺度的时空变化趋势、 影响系统、 中小尺度对流特征和结构、 低空急流和水汽输送等方面研究了我国极端降水事件的特征和成因(韦志刚等, 2021Barbero et al, 2019Zeng et al, 2021Wu et al, 2020肖柳斯等, 2021)。研究表明, 我国95°E以东地区的极端降水主要发生在夏季, 其空间分布格局受多种天气系统支配(Wu et al, 2017), 其中东南沿海地区的发生频率显著高于西北内陆, 但从增长趋势来看, 西北地区的极端降水日数增速却居于领先地位(孙颖姝等, 2025卢珊等, 2020)。
极端降水与小尺度对流系统的发展紧密相连, 降水效率极高, 几十分钟即可引发洪涝灾害(Zeng et al, 2021肖柳斯等, 2021)。傅朝等(2022)的研究表明, 青藏高原热低压外围的低层水汽持续输送, 形成了暴雨区局地性的极端水汽条件和中等强度的层结不稳定, 导致河西走廊西部发生极端暴雨。我国大部分地区极端暴雨过程的水汽多源于我国南海、 孟加拉湾、 中南半岛等区域, 主要由西太平洋副热带高压西南侧的气流和低空急流将上述区域暖湿气流源源不断地输送至极端暴雨区, 这对极端暴雨过程中对流不稳定层结的持续存在与重新构建起到了关键作用(周璇等, 2020龚琬丁等, 2023孙颖姝等, 2025)。
2022年, 甘肃河东地区发生了“7·15”极端特大暴雨, 过程累积降水量大、 雨势强、 范围集中、 影响严重, 多个气象站的日降水量和小时降雨强度均突破了历史记录, 引发了严重的洪涝灾害、 中小河流洪水以及山体崩塌和泥石流等次生灾害, 对居民的生活和生产活动、 公共基础设施等造成了重大影响, 导致的直接经济损失约为51.89亿元(沙宏娥等, 2022)。众多气象专家从环流形式、 中尺度系统、 触发和维持机制、 对流云特征、 降水的极端性等多个角度对“7·15”开展研究(沙宏娥等, 2022李晨蕊等, 2022张君霞等, 2022)。研究指出, “7·15”极端特大暴雨事件是在有利的大尺度环流背景下发生的, 其形成机制主要与低空急流的增强和持续密切相关, 低空急流的发展强化了地面辐合, 并通过其构成的稳定次级环流为对流系统的维持提供了关键动力条件, 最终导致西北地区东部出现了极端暴雨(沙宏娥等, 2022), 对流云团新生、 合并及加强过程及其稳定维持和列车效应是导致特大暴雨发生的主要原因(李晨蕊等, 2022)。仅时隔2年, 2024年甘肃河东地区再次发生“7·22”极端特大暴雨。虽然两次暴雨过程的累积降水量相近, 但其造成的灾害程度却存在显著差异。这种差异可能与两者在影响系统、 强降水空间分布、 降水极端性特征等方面的不同密切相关, 值得进一步深入探讨。
本研究将综合利用甘肃河东地区多源精细化观测资料、 CMPAS格点实况降水资料及再分析数据, 针对“7·15”和“7·22”两次特大暴雨事件展开对比分析。研究内容涵盖两次过程的降水时空分布特征、 降水极端性、 环流形势、 水汽条件、 热力条件及抬升机制等方面的差异。同时, 基于区域站逐分钟降水观测数据, 提取并对比两次过程中短历时降水事件的特征异同。以期提高对甘肃地区极端高强度降水效率、 极端降水事件精细演变规律的科学认识, 为业务极端降水预警预报提供更多参考。

2 资料来源与方法介绍

2.1 资料来源

(1) 利用甘肃省气象信息与技术装备保障中心质控后的2024年7月22日08:00(北京时, 下同)至23日08:00(以下简称“7·22”)、 2022年7月14日20:00至15日20:00(以下简称“7·15”)国家气象观测站(以下简称国家站)和区域气象观测站(以下简称区域站)逐小时和分钟级降水实况观测数据, 1961年以来国家站逐日降水资料、 2004年以来逐时降水资料以及区域站建站以来逐日、 逐时降水资料(最早2007年, 最晚2013年)。
(2) 格点实况降水资料采用来源于国家气象信息中心开发的一种综合降水分析产品, 该产品融合了地面观测、 雷达探测和卫星遥感三种数据源(CMPAS), 其空间分辨率为0.01°×0.01°, 时间分辨率为1 h和10 min(张君霞等, 2022)。
(3) 本研究采用了由欧洲中期天气预报中心(ECMWF)提供的ERA5, 这是该机构推出的第五代大气再分析数据集, 其空间分辨率0.25°×0.25°, 时间分辨率为1 h(https: //cds.climate.copernicus.eu/datasets)。
(4) 为了揭示“7·15”与“7·20”两次特大暴雨事件在降水极端性特征上的不同, 本文基于甘肃省河东地区2004年以来国家站和区域站逐时降水资料, 采用百分位法确定极端小时降水阈值, 选取第98百分位对应的小时降水强度作为极端小时降水的判定标准(马莉等, 2023), 最终计算得出2004 - 2024年主汛期(6 -8月)的阈值为12.09 mm·h-1
降水量等级以国标(GB/T 28592-2012)的定义为标准, 暴雨、 大暴雨及特大暴雨对应24 h降水量分别为[50, 100)、[100, 250)、[250, ∞) mm。另外, 通过统计、 对比等方法, 分析两次特大暴雨事件的降水极端性。上述实况数据已经质量控制, 具备较高的可靠性。文中附图涉及地图均基于国家测绘地理信息局标准地图服务网站下载的审图号为GS(2019)333号的标准地图制作, 底图无修改。

2.2 短历时降水事件提取和分档

利用甘肃河东地区观测站分钟级降水数据, 依据如下步骤筛选短历时降水事件并对其强度进行分级(陆婷婷和崔晓鹏, 2022):
(1) 当测站在5 min内记录的降水量达到或超过0.1 mm, 并且随后1 h内降水量累计不少于5 mm时, 此时刻标记为事件起始时间(T1), 随后, 每隔5 min对当前时刻起1 h内的降水量进行累计, 如果累计降水量低于5 mm, 则此次短历时降水事件终止, 此时刻记为结束时间(T2); 短历时降水事件的持续时间由结束时间与起始时间的差值(T2-T1)确定; 而从起始时间到结束时间的累积降水量则代表了该次短历时降水事件的总降水量。
(2) 将短历时降水事件按照小时降水量分为3个等级: 降水量处于[5, 10) mm区间的定义为短历时弱降水; 处于[10, 20) mm区间的定义为短历时中等强度降水事件; 处于[20, ∞) mm区间的定义为短历时强降水事件; 处于[50, ∞) mm区间的定义为短历时极强降水事件。

3 降水实况对比

两次特大暴雨过程小时雨强、 大暴雨以上量级降水落区不同。“7·15”从2022年7月14日20:00开始, 至15日20:00结束, 暴雨主要集中在庆阳中部, 其中, ≥100 mm的降水主要分布在庆阳的庆城县、 华池县南部、 环县南部, ≥250 mm的降水集中出现在庆城县[图1(a)], 过程最大降水量为庆城县翟家河站373.2 mm[图1(a)中白色圆圈], 最大小时雨量为庆城县马岭站84.9 mm[图1(a)中白色方框]。“7·22”从2024年7月22日08:00开始, 至23日08:00结束(与“7·15”过程历时一致), 过程最大降水量为通渭县陇阳车岔站297.7 mm[图1(b)中白色圆圈], 比“7·15”过程偏少75.5 mm, 最大小时雨量为通渭县陇山站79.1 mm[图1(b)中白色方框], 略偏小于“7·15”过程。从过程雨量分布[图1(a)]可看出, ≥100 mm的降水主要分布在平凉大部、 庆阳南部、 定西东南部、 天水东南部、 陇南东北部(比“7·15”过程分布广), ≥250 mm的降水主要位于定西通渭县、 平凉崇信县和灵台县。
图1 累积降水量分布(单位: mm)(a)2022年7月14日20:00至15日20:00; (b)2024年7月22日08:00至23日08:00; 圆圈代表过程中累积降水最大站点(翟家河站和陇阳车岔站), 方框代表过程中1 h降水最大站点(马岭站和陇山站)

Fig.1 Cumulative precipitation distribution.Unit: mm.(a) 20:00 on July 14, 2022 to 20:00 on July 15, 2022; (b) 08:00 on July 22, 2024 to 08:00 on July 23, 2024.The circle represents the stations with the highest accumulated precipitation during the process (Zhaijiahe Station and Longyang Checha Station), and the box represents the stations with the highest precipitation within 1 hour during the process (Maling Station and Longshan Station)

两次过程历时一致, 但小时雨强强度及发生短强频次显著不同。由图2可知, “7·15”过程短时强降水(以下简称短强)主要出现在2022年7月15日01:00 -19:00, 共计出现了154站次短强, 有两个强降水时段。第一个时段, 于15日01:00开始, 15日13:00结束, 其中04:00 -11:00最大小时雨量≥50 mm·h-1(04:00 -05:00超过84 mm·h-1), 04:00和06:00短强频次达到10次; 第二个时段, 15日14:00开始, 15日19:00结束, 17:00 -19:00最大小时雨强均超过70 mm, 且短强频次>10次, 最大值出现在18:00, 为34次。而“7·22”过程小时雨强强度相对“7·15”过程较小, 但发生短强的频次远高于“7·15”过程, 2024年7月22日14:00至23日08:00共计出现了264次短强, 其中22日23:00至23日02:00最大小时雨量≥50 mm·h-1(23日02:00最大, 79.1 mm·h-1), 22日23:00至23日05:00短强频次均>15次, 最大值出现在23日01:00, 为52次。
图2 “7·15”(a)和“7·22”(b)逐时最大降水量(单位: mm)及短强频次(单位: 次)

Fig.2 “July 15” (a) and “July 22” (b) hourly maximum precipitation (unit: mm) and short intensity frequency (unit: time)

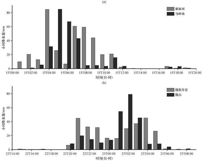
两次过程最大累积雨量站和最大小时雨量站对比(图3)表明, 翟家河站和马岭站(“7·15”)的降水主要出现在2022年15日01:00 -12:00, 小时降水量超过20 mm的极端降水分别达到7 h、 4 h, 最大雨强分别为84.6 mm·h-1、 84.9 mm·h-1。陇阳车岔站和陇山站(“7·22”)的降水主要集中出现在2024年22日20:00至23日05:00, 小时降水量>20 mm的极端降水分别达到7 h、 3 h, 最大雨强分别为45.3 mm·h-1、 79.1 mm·h-1。相比较而言, “7·15”(翟家河站和马岭站)过程降水极端性更强更局地, 致灾可能性更大。因此, 本文后续章节将以两次降水过程大值区为研究区域, 分析降水极端性及其成因。
图 3 “7·15”(a)和“7·22”(b)代表站逐小时降水演变

Fig.3 “July 15” (a) and “July 22” (b) represent the hourly precipitation evolution of the station

4 极端性和短历时降水事件对比

4.1 极端性对比分析

据统计, “7·15”过程中有27个站点过程雨量、 73个站点短强突破了建站以来的历史极值, 18个站点短强频次达到超过建站以来最大值, 其中, 突破极值的过程雨量站点主要集中出现在庆阳中部[图4(a)]; 短强主要分布在庆阳中部和南部、 天水西部、 陇南北部[图4(c)]; 而突破极值的短强频次只分布在庆阳中部, 最大达8次。“7·22”过程中76个站点过程雨量、 45个站点短强突破了建站以来历史极值, 44个站点短强频次达到超过建站以来最大值, 其中, 突破极值的过程雨量站点主要集中出现在定西东南部、 平凉西部和东部、 庆阳南部[图4(b)], 落区集中; 突破极值的短强站点和短强频次主要分布定西东南部、 平凉东部、 庆阳南部, 最大达7次, 与突破极值的过程雨量站点分布基本一致[图4(d), (f)]。
图4 超过建站以来历史极值的站点分布(a)“7·15”过程雨量(单位: mm), (b)“7·22”过程雨量(单位: mm), (c)“7·15”短强强度(单位: mm·h-1), (d)“7·22”短强强度(单位: mm·h-1), (e)“7·15”短强频次(单位: 次), (f)“7·22”短强频次(单位: 次)

Fig.4 Distribution of stations exceeding historical extreme values since site establishment.(a) rainfall during the “July 15" process (unit: mm), (b) rainfall during the “July 22” process (unit: mm), (c) short Intensity during the “July 15” process (unit: mm·h-1), (d) short Intensity during the “July 22” process (unit: mm·h-1), (e) short intensity frequency during the “July 15” process (unit: time), (f) short intensity frequency during the “July 22” process (unit: time)

对比两次特大暴雨过程降水量排名前5的测站建站以来历年汛期(4 -9月)平均降水量、 历年7月平均降水量、 最大日降水量(图5)发现, 两次过程所有站点过程降水量均超过历年7月平均降水量、 历年最大日降水量。“7·15”过程中, 翟家河站过程雨量超过历年汛期平均降水量的80%, 其余四站达到历年汛期平均降水量的50%以上; 翟家河站和阜城站过程雨量是历年7月平均降水量的2倍, 其余各站是历年7月平均降水量的1.5倍多; 翟家河站和土桥站过程雨量是历年最大日降水量的5倍多, 其余三站是历年最大日降水量的2倍多。“7·22”过程中, 陇阳车岔站和陇山高山站过程雨量占汛期平均降水量的70%以上, 陇山站和碧玉站占比达60%以上, 新窑林场站占比不足40%; 陇山站过程雨量是历年7月平均降水量的4倍多, 其余三站(除新窑林场站外)是历年7月平均降水量的2倍多; 陇阳车岔站和碧玉站过程雨量是历年最大日降水量的3倍以上, 陇山站和新窑林场站是历年最大日降水量额2倍多。上述结果表明, 两次特大暴雨过程累积降水量大, 极端性明显, 但“7·15”过程的极端性强于“7·22”过程。
图5 “7·15”(a)和“7·22”(b)过程降水量排名前5站点的过程雨量与历年汛期平均降水量、 历年7月平均降水量、 历年最大日降水量

Fig.5 Shows the process rainfall of the top 5 stations with precipitation ranking in “July 15” and “July 22”, along with the average precipitation during flood season, average precipitation in July, and maximum daily precipitation over the years

4.2 短历时降水事件对比

表1为两次特大暴雨过程中不同强度等级短历时降水事件。从表1可看出, “7·15”过程短历时弱降水、 中等强度降水和强降水事件占比分别44.55%、 44.55%、 10.68%, 其中, 短历时弱降水和中等强度降水事件发生频次(89.1%)远高于短历时强降水事件。另外, 短历时强降水事件中≥50 mm的短历时极强降水事件占所有降水事件的1.10%, 表明降水极端性极显著。短历时降水事件平均降水量、 最大降水量、 平均持续时间和最强持续时间均与其强度呈正相关关系, 即强度越大, 持续时间越长。具体而言, 短历时强降水事件和极强降水事件的平均降水量分别达到36.79 mm和78.11 mm, 显著高于短历时弱降水事件(8.33 mm)和中等强度降水事件(13.07 mm)。这一结果清晰地反映了降水强度与持续时间之间的协同增长特征。而短历时强降水事件和极强降水事件的最大降水量(229.5 mm、 222.8 mm)远远大于高于短历时弱降水事件和中等强度降水事件(27.7 mm、 43.2 mm), 但不同等级短历时降水事件在平均持续时间和最长持续时间上的差异较小。另外, “7·15”过程短历时事件最大降水量出现在庆城县土桥站, 为229.5 mm(持续时间长达300 min), 其最大5 min降水量为9.4 mm, 而“7·15”过程中最大小时降水发生在庆城县马岭站(84.9 mm·h-1, 最大5 min降水量为12.7 mm), 极端性极强。
表1 两次特大暴雨过程不同强度等级短历时降水事件

Table 1 Short duration precipitation events of different intensity levels in two extremely heavy rainstorm processes

不同强度等级 过程 [5, 10) [10, 20) [20,∞) [50,∞)
事件平均降水量/mm “7·15” 8.33 13.07 36.79 78.11
“7·22” 9.75 18.19 39.56 73.39
事件最大降水量/mm “7·15” 27.7 43.2 229.5 222.8
“7·22” 46.7 83.4 221.6 177.4
事件平均持续时间/min “7·15” 73.23 73.96 84.05 90.54
“7·22” 85.51 85.25 97.2 88.57
事件最长持续时间/min “7·15” 270 205 335 235
“7·22” 410 330 315 175
站点数量占比/% “7·15” 44.55% 44.55% 10.68% 1.10%
“7·22” 60.70% 30.63% 8.68% 0.74%
“7·22”过程短历时弱降水、 中等强度降水、 强降水、 极强降水事件占比分别为60.70%、 30.63%、 8.68%、 0.74%, 其中, 短历时弱降水和中等强度降水事件的发生频率高达91.33%, 远高于短历时强降水事件的发生频次, 这一特征与“7·15”过程形成了鲜明对比, 短历时弱降水事件远高于“7·15”过程(16.15%), 其他降水事件发生频次的占比明显低于“7·15”过程。从短历时降水事件平均降水量上可看出, “7·22”过程短历时弱降水、 中等强度降水、 强降水事件高于“7·15”过程, 但极强降水事件弱于“7·15”过程。“7·22”过程短历时弱降水和中等强度降水事件的最大降水量分别是“7·15”过程的1.6、 1.9倍多, 但强降水和极强降水事件的最大降水量分别低于“7·15”过程7.9 mm和45.4 mm。“7·22”过程短历时弱降水、 中等强度降水、 强降水事件的平均持续时间略高于“7·15”过程, 但短历时极强降水事件平均持续时间偏低。另外, “7·22”过程短历时强降水和极强降水事件最长持续时间也低于“7·15”过程。另外, “7·22”过程短历时事件最大降水量出现在通渭县陇山高山站, 为221.6 mm(持续时间长达315 min), 其5 min最大降水量为8.1 mm, 而“7·15”过程中最大小时降水发生在通渭县陇山站(79.1 mm·h-1, 5 min最大降水量为9.1 mm), 事件最大降水量、 5 min最大降水量低于“7·15”过程, 持续时间偏高。上述研究结果表明, “7·15”过程和“7·22”过程均具有显著的极端性, 但极端性差异巨大, 且“7·15”过程的极端性明显强于“7·22”过程。
两次过程短历时降水事件累积降水量、 持续时间、 1 h最大降水量及5 min最大降水量箱线图的对比表明, “7·15”过程和 “7·22”过程差异明显(图6)。“7·15”过程中3个级别的短历时降水事件累积降水量总体上明显低于“7·22”过程, 但“7·15”过程中短历时强降水事件累积降水量异常值(有效观测值)明显高于 “7·22”过程[图6(a)], 表明“7·15”过程极端性更强。对比短历时降水事件的持续时间[图6(b)], “7·15”过程中各级别短历时降水事件持续时间明显短于“7·22”过程, 然而, “7·15”过程短历时强降水事件持续时间常值更为突出, 这一特征表明, “7·22”过程的降水强度相对较弱, 且降水时间分布更为均匀, 呈现出较为平缓的雨势特点。从1 h最大降水量[图6(c)]来看, “7·15”过程中短历时强降水事件的1 h最大降水量中位数以上的取件分布明显强于强于“7·22”过程, 其他级别短历时降水事件分布比较一致。从5 min最大降水量[图6(d)]来看, “7·15”过程(最大为30.9 mm)中各级别短历时降水事件明显高于“7·22”过程(最大为15.3 mm)。上述分析结果与表1的分析结果一致, 且更清晰地显示出两次过程降水的强极端性特征, 也表明了“7·15”过程的较“7·22”过程更极端。
图6 不同强度短历时降水事件箱线图(a)事件过程降水量; (b)持续时间; (c)1 h 最大降水量; (d)5 min最大降水量

Fig.6 Box plot of short-term precipitation events with different intensities.(a) precipitation amount during the event process; (b) duration; (c) 1 hour maximum precipitation; (d) maximum precipitation in 5 minutes

5 环流特征及环境条件对比

5.1 环流特征

主导两次特大暴雨天气过程的环流形势和天气系统有明显的异同。从图7中可以看出, 两次天气过程均发生在西太平洋副热带高压(以下简称副高)西北侧, 属于副高边缘型暴雨。由图7(a)可知, 2022年7月14日20:00(强降水发生之前), 500 hPa高度场的环流形势表现为典型的中高纬度“两槽一脊”分布特征, 西风槽的主体延伸至新疆东部地区, 槽底部有冷空气下滑至甘肃河西走廊西部, 副高位于甘肃陇东南地区, 其西脊点位于102°E以西, 700 hPa在甘肃庆阳北部-定西有切变存在, 偏南气流发展为低空急流, ≥12 m·s-1的急流核位于陇南东部, 形成有利于对流发生的天气尺度和中尺度系统及高温高湿环境。至15日06:00[图7(b)], 500 hPa西风槽缓慢东移, 副高西伸南撤至陕西东南部-四川一带, 西脊点位于99°E以西, 同时有弱的高原短波槽东移, 700 hPa切变移至宁夏中部-甘肃平凉西部, 低空急流由西南向东北发展, 至06:00急流核发展并北抬至庆阳南部, 比湿维持在12~13 g·kg-1, 但范围扩大, 此时地面上庆阳中部有明显的强辐合中心。上述分析表明“7·15”过程主要受副热带高压、 中低层切变和地面辐合等高低空天气系统配置, 极端强降水出现在低空急流左侧及地面强辐合中心。
图7 两次特大暴雨过程500 hPa位势高度(蓝色等值线, 单位: dagpm)、 700 hPa风场(风羽, 单位: m·s-1)、 风速(红色虚线,单位: m·s-1)、 比湿(彩色阴影, 单位: g·kg-1)(a~d)及地面流场(流线)和散度(彩色阴影, 单位: ×10-5 s-1), 黑色箭头为地面风场(单位: m·s-1), 方框分别为两次特大暴雨中心(e~f)(a)2022年7月14日20:00, (b)2022年7月15日06:00, (c)2024年7月22日08:00, (d)2024年7月23日02:00,(e)2022年7月15日06:00, (f)2024年7月23日02:00

Fig.7 500 hPa geopotential height (blue contour, unit: dagpm), 700 hPa wind field ( wind barbs, unit: m·s-1)、 wind speed (red dashed line, unit: m·s-1)、 specific humidity (colored shading, unit: g·kg-1) (a~d) and ground flow field (streamlines)and divergence (colored shading, unit: ×10-5 s-1) Black arrows illustrate surface wind vectors (unit: m·s-1).Two separates are extreme torrential rainfall episodes (e~f).(a) 20:00 on July 14, 2022, (b) 06:00 on July 15, 2022, (c) 08:00 on July 22, 2024, (d) 02:00 on July 23, 2024, (e) 06:00 on July 15, 2022, (f) 02:00 on July 23, 2024

图7(c)可知, 2024年7月22日08:00(强降水发生前), 500 hPa高度场上中高纬地区的环流形势以纬向为主, 多短波槽活动, 西北地区东部主要受西风短波槽和副高共同影响, 副高位于甘肃陇东南-陕西交界处, 其西脊点位于100°E, 700 hPa低涡切变位于宁夏南部-甘肃陇中东部一带, 形成有利于暴雨产生的天气尺度和中尺度环流系统。另一方面, 此时段位于南海中部的台风“派比安”和“格美”建立了向西北地区东部输送暖湿气流的水汽通道, 形成了有利于对流发生的高温高湿环境。至23日02:00[图7(d)], 中高纬度短波槽移速缓慢, 与副高形成明显的对峙, 受台风“派比安”和“格美”的影响, 副高东退至陕西东南部, 西脊点位于106°E, 700 hPa低涡切变位略向南向西调整, 其东南侧偏南气流发展为低空急流(暖湿气流在甘肃陇南、 天水两市东部及平凉中部), 向强降水区域的水汽输送明显加强, 比湿由12~13 g·kg-1增加至14~15 g·kg-1, 此时地面上甘肃陇中南部辐合线长时间维持, 在喇叭口地形辐合抬升作用下出现明显水汽通量散度辐合[图7(f)], 引发局地强降水。上述分析表明“7·22”过程主要受副热带高压、 中低层低涡切变和地面辐合线等高低空系统耦合作用, 强降水出现在低涡切变附近及右侧, 低空急流的前端和左侧。

5.2 水汽输送及辐合

充分的水汽供应、 强烈的上升运动及较长的持续时间是形成暴雨的关键因素(朱乾根等, 2007), 而水汽受本地水汽和外来输入水汽共同影响。如图8(a)、 (c)所示, “7·15”过程的主要水汽由副高外围强烈的西南气流将南海一带的水汽输送至暴雨区上空, 形成强烈的水汽辐合和深厚的湿层, 庆阳一带整层大气可降水量>50 mm(翟家河站为51.4 mm), 水汽通量散度最大为-10×10-7 kg·hPa-1·m-2·s-1[翟家河站为-8.12×10-7·kg·hPa-1·m-2·s-1图8(c)], 翟家河站14日20:00至15日08:00近地面至700 hPa相对湿度高于90%[图9(a), (c)], 水汽辐合主要位于近地层至800 hPa, 最大辐合出现在15日03:00 -04:00, 且与小时降水量的增大相对应。“7·22”过程存在两条水汽通道[图8(b)], 一条水汽通道为双台风“派比安”和“格美”以及副高共同形成的偏南气流, 另一条水汽通道来自孟加拉湾, 两支气流再四川汇合, 向东北输送水汽至甘肃河东地区, 在陇中东部和陇东南上空形成了强烈的水汽辐合[图8(d), 图9(d)]和深厚的湿层[图9(c)], 使得陇中东部和陇东水汽通量散度最大为-23.28×10-7 kg·hPa-1·m-2·s-1[陇阳车岔站为-21.96×10-7 kg·hPa-1·m-2·s-1图8(d)], 整层大气可降水量最大值约为62.5 mm, 陇阳车岔站为46.0 mm[图8(b)], 陇阳车岔站22日20:00至23日08:00 600 hPa以下相对湿度高于95%, 水汽辐合主要位于近地层至700 hPa, 最大辐合出现在23日03:00 - 07:00, 与小时降水量的增大相对应。从水汽辐合程度和湿层厚度来说, “7·22”过程略强于“7·15”过程, 通渭一带整层大气可降水量小于翟家河站。
图8 两次特大暴雨过程大气可降水量(填色, 单位: mm)与700 hPa风场(单位: m·s-1)(a~b)及水汽通量(矢量, 单位: g·hPa-1·cm-1·s-1)与水汽通量散度(填色, 单位: ×10-8 kg·hPa-1·m-2·s-1)(c~d)(a)2022年14日20:00, (b)2024年22日20:00, (c)2022年15日03:00 850 hPa, (d)2024年23日03:00 775 hPa

Fig.8 Two extreme heavy rainfall events: precipitable water (shading, unit: mm) and 700 hPa wind (unit: m·s-1)(a~b), as water vapor flux (vector, unit: g·hPa-1·cm-1·s-1) and water vapor flux divergence (shaded, unit: ×10-8 kg·hPa-1·m-2·s-1) (c~d).(a) 20:00 on, 2022, (b) 20:00 on 22, 2024, (c) 03:00 on 15, 2022 at 850 hPa, (d) 03:00 on 23, 2024 at 775 hPa

图9 两次特大暴雨过程翟家河站(左列, 2022年14日20:00至15日12:00)和陇阳车岔站(右列, 2024年22日20:00至23日08:00)时间-高度剖面(a, b)相对湿度(单位: %); (c, d)水汽通量散度(单位: ×10-8 kg·hPa-1·m-2·s-1), 黑阴影区为站点海拔

Fig.9 Time-height cross-sections at Zhaijiahe station (left column: 20:00 on 14 July to 12: 00 on 15 July 2022) and Longyang checha Station (right column: 20:00 on 22 July to 08:00 on 23 July 2024) during the two extreme heavy rainfall events.(a, b) relative humidity (unit: %); (c, d) moisture flux divergence (unit: ×10-8 kg·hPa-1·m-2·s-1).Black shaded areas indicate station elevation

从翟家河站垂直剖面图[图10(a)]可看出, “7·15”暴雨的水汽辐合中心主要位于近地面至2 km高度, 强辐合中心位于近地面, 主要由边界层偏南气流输送及爬坡引起。翟家河站近地面至5 km高度附近南风分量明显比东风分量更为强劲, 受地形阻挡, 边界层水汽汇聚辐合抬升, 在近地层形成了水汽通量辐合强中心2.5 km附近是较为明显的水汽辐散中心。从流场配置可看出, 翟家河站南侧边界层为偏南风入流, 受北部地形强迫作用产生迎风坡抬升, 在近地层产生垂直上升运动, 在对流层高层, 为偏北下沉气流, 形成上干下湿的环境, 垂直上升运动发展至8 km高度附近, 这种具有地形强迫初始抬升、 上干下湿的环境特征与强对流发生环境结构类似(冉令坤等, 2021)。
图10 “7·15”过程15日04:00经过翟家河站(红色三角和直线)(a)和“7·22”过程23日03:00经过陇阳车岔站(红色三角和直线)(b)水汽通量散度(彩色区, 单位: ×10-8 kg·hPa-1·m-2·s-1)、 风矢量(箭头, 单位: m·s-1)及垂直上升速度(等值线, 单位: ×10-2 Pa·s-1)的经向-高度分布

黑阴影区为地形

Fig.10 Meridional-height distributions of moisture flux divergence (color area, unit: ×10-8 kg·hPa-1·m-2·s-1), wind vectors (arrows, unit:m·s-1), and vertical velocity (contour line, unit: ×10-2 Pa·s-1) at Zhaijiahe station (red triangle and line) at 04:00 on 15 July during the '7·15' event (a), and Longyang Checha Station (red triangle and line) at 03:00 on 23 July during the '7·22' event (b).Black shaded areas indicate terrain height

从陇阳车岔站的垂直剖面图[图10(b)]可看出, “7·22”暴雨的水汽辐合强中心主要位于近地面, 主要由低空偏南急流引起。由于水汽湿层深厚, 受喇叭口地形的影响, 水汽辐合区从近地面层延申扩展至3.5 km高度附近, 3.5~5 km高度为弱动力辐散, 低层强水汽辐合和中层辐散的配置为降水的持续发展提供了源源不断的水汽条件和有利的动力抬升。从流场配置可看出, 陇阳车岔站南侧边界层为显著的偏南低空急流入流, 扩展至4 km左右的高度处, 受喇叭口地形的辐合抬升, 在近地面产生了强烈的垂直上升运动, 延伸至4 km左右的高度处。由上述内容可知, “7·22”过程水汽辐合强度、 垂直方向上的辐合厚度及垂直上升运动明显强于“7·15”过程, 但“7·15”过程垂直上升运动上升高度明显高于“7·22”过程。

5.3 热力条件对比

两次特大暴雨过程均存在明显的对流有效位能(CAPE), 2022年7月15日04:00和2024年7月23日04:00的CAPE大值区均位于副高控制区[图11(a), (b)], “7·15”庆阳和“7·22”通渭强降水区域的CAPE均处于100~300 J·kg-1之间, 有利于强降水发生, 且对对流暴雨发生所需的不稳定能量是足够的。
图11 两次特大暴雨过程西北地区东部CAPE(a, b, 单位: J·kg-1)分布及单站假相当位温(阴影, 单位: K)和CAPE(折线, 单位: J·kg-1)(c, d)随时间变化(a)2022年7月15日04:00, (b)2024年7月23日02:00, (c)翟家河站2022年7月14日20:00至15日12:00, (d)陇阳车岔站2024年7月22日20:00至23日08:00。(c)和(d)中黑色阴影为站点海拔

Fig.11 Distribution of CAPE (a, b, unit: J·kg-1) over the eastern part of Northwest China during two extreme heavy rainfall events, along with the time series of pseudo-equivalent potential temperature (shaded, unit: K) and CAPE (line, unit: J·kg-1) at individual stations (c, d).(a) 04:00 on 15 July 2022, (b) 02:00 on 23 July 2024, (c) Zhaijiahe station from 20:00 on 14 July to 12:00 on 15 July 2022, (d) Longyang Checha station from 20:00 on 22 July to 08:00 on 23 July 2024.Black shading indicates station elevation in (c) and (d)

从假相当位温垂直分布[图11(c), (d)]来看, 整个降水期间大气层结均为不稳定层结。“7·15”过程强降水阶段(15日00:00 -10:00), 近地面至500 hPa条件对流不稳定长时间维持并发展, CAPE先缓慢增大后迅速减弱, 二者合力使大气保持不稳定状态超过了10 h。强降水开始前, CAPE<100 J·kg-1, 该现象与锋前暖区深厚暖气团的弱不稳定热力结构有关(沙宏娥等, 2022), 随着近地层水汽强烈辐合和强降水的开始, 800~550 hPa假相当位温随高度减小(平均假相当位温温差为9.3 K), 层结不稳定度增加, CAPE增大, 峰值出现在15日04:00(186 J·kg-1), 这与最大小时降水量出现的时间高度一致[图3(a), 图11(c)]。“7·22”过程强降阶段水阶段(22日21:00至23日05:00), 近地面至对流层条件对流不稳定逐渐发展并维持, CAPE先波动增大后波动减弱, 处于100~450 J·kg-1之间。在22日21:00 -23:00, 近地面至500 hPa假相当位温随高度减弱(平均假相当位温温差为8.8 K), 层结不稳定度增加, CAPE增大, 峰值出现在22日23:00(约415 J·kg-1), 而最大小时降水量出现在23日04:00(对应CAPE约131 J·kg-1)。随后, 大气不稳定扩展至400 hPa, 但是平均假相当位温温差为5.8 K, 大气不稳定度相对减弱, CAPE也逐渐减弱, 但对应的小时降水强度增加[图3(b), 图11(d)], 这可能与近地面水汽强烈辐合和剧烈的垂直上升运动有关[图10(b)]。
两次过程强降水期间大近地面至对流层中层对流不稳定均长时间维持发展, “7·15”过程平均假相当位温温差为7.9 K, “7·22”为过程6.6 K, 表明“7·15”过程大气不稳定性略强于“7·22”过程。

5.4 动力条件

沿两次特大暴雨中心点(“7·15”翟家河站和“7·22”陇阳车岔站)作锋生和垂直速度的时间-高度剖面图(图12)。“7·15”过程翟家河站强降水发生前14日20:00 -23:00对流层中下层存在明显的锋生作用, 低层伴有垂直上升运动, 强锋生中心在825~750 hPa, 最大可达8.7 K·m-1·s-1; 对流层上层为锋消, 且有明显的下沉运动, 这表面对流层中低层为明显的上升气流, 上层为辐散下沉气流, 有利于对流发生。至15日03:00 -06:00, 强降水阶段对流层中低层锋生作用减弱, 但垂直上升运动发展高度达到了400 hPa以上高度, 最大垂直上升运动为-19.5×10-2 Pa·s-1。15日06:00之后, 低层锋生减弱为锋消, 对流层中低层有明显上升运动, 高层为下沉运动, 对应的降水强度逐渐减弱至结束[图12(a)]。“7·22”过程陇阳车岔站强降水开始前(22日17:00 -21:00), 700~450 hPa有明显的锋生, 450 hPa以上高度为锋消, 整层为有显著的垂直上升运动。至22日21:00对流层中低层锋生收缩, 近地面有弱锋生作用, 整层为明显的上升运动, 但强度减弱, 强降水开始。至23日02:00, 近地层至400 hPa高度以锋消为主, 且该时段内垂直上升运动强度减弱, 对应时段降水强度略有减弱。23日03:00 -05:00, 近地层至700 hPa锋生作用和垂直上升运动同时增大, 有明显的强锋生中心, 最大达32.3 K·m-1·s-1, 最大垂直上升运动为-68.0×10-2 Pa·s-1, 对应时段强降水强度明显增强。23日06:00之后, 锋生作用和垂直上升运动逐渐减弱, 降水强度也随之减弱至结束。
图12 “7·15”过程翟家河站14日20:00至15日12:00(a)及“7·22”过程陇阳车岔站22日14:00至23日08:00(b)锋生(填色, 单位: K·m-1·s-1)和垂直速度(黑色等值线, 单位: ×10-2 Pa·s-1)的时间-高度剖面

黑色阴影为海拔

Fig.12 Time-height cross sections of the ‘7·15’ event at Zhaijiahe station from 20:00 on 14 to 12:00 on 15 (a) and the ‘7·22’ event at Longyang Checha station from 14:00 on 22 to 08:00 on 23 (b), frontogenesis (shading, unit: K·m-1·s-1) and vertical velocity (black contours, unit: ×10-2 Pa·s-1).Black shading indicates station elevation

由上述内容可知, 两次过程均有锋生作用, “7·22”过程锋生作用强度明显强于“7·15”过程, 但“7·15”过程强降水时段内锋生作用的持续明显好于“7·22”过程。另外, “7·22”过程中垂直上升运动明显强于“7·15”过程, 但在主要强降水时段内“7·15”过程垂直上升运动的高度高于“7·22”过程。

6 结论

本文利用区域加密自动站分钟级降水观测资料、 逐小时降水资料、 CMPAS格点实况降水数据、 再分析资料, 采用短历时降水事件的提取和分类方法, 结合HYSPLIT模型对水汽源区及其定量贡献的分析方法, 从多维度开展系统性对比了2022年(“7·15”)和2024年(“7·22”)甘肃两次特大暴雨事件。具体研究内容包括降水的时空分布特征、 极端性分析、 短历时降水事件的统计特征、 环流形势、 热力条件与抬升极值, 以及水汽来源等方面。通过综合分析, 得出以下主要结论:
(1) 两次过程的累积降水量、 小时雨强、 短时强降水频次明显不同, “7·15”累积降水量和最大小时降水量分别为373.2 mm、 84.9 mm, 较“7·22”(297.7 mm、 79.1 mm)更大, 雨势更强, 而“7·22”短强频次(264个站次)远大于“7·15”(154个站次); “7·15”大暴雨及以上量级降水落区更为局地(庆阳中部), 而“7·22”大暴雨及以上量级降水落区较广(定西东南部、 平凉西部和东部、 庆阳南部)。
(2) 两次过程具有明显极端性, “7·15”短时强降水突破建站以来历史极值的站数(73个站)多于“7·22”(45个站), 而过程雨量和短时强降水频次与之相反。另外, “7·15”翟家河站过程雨量超过历年汛期平均降水量的80%, 是历年最大日降水量的5倍; 而“7·22”陇阳车岔站过程雨量约占汛期平均降水量的70%, 是历年最大日降水量的3倍。
(3) 两次过程不同级别的短历时降水事件的各指标差异明显, “7·15”中等强度和强降水站点数占比显著高于“7·22”; “7·15”短历时弱降水和中等强度占比最大(44.55%), 短历时强降水事件占比为10.68%, 5 min和1 h时最大滑动降水量分别高达30.9 mm 和93.6 mm, 而 “7·22”短历时弱降水事件占比明显高于“7·15”, 达到60.70%, 但短历时强降水事件占比低于“7·15”, 为8.68%, 5 min和1 h时最大滑动降水量分别为15.3 mm和83.6 mm, “7·15”降水极端性更为显著且致灾性更强。
(4) 两次过程主导天气系统、 热力和动力抬升条件具有明显的异同, 两次过程均是发生在副热带高压、 中低层低涡切变和地面辐合线等高低空系统耦合作用下的暖区对流性强降水。从水汽输送及辐合来看, “7·22”过程有两个水汽输送路径, 水汽辐合强度、 垂直方向上的辐合厚度及湿层厚度明显强“7·15”过程, 但特大暴雨中心的整层大气可降水量小于“7·15”过程。从热力条件来看, 两次过程强降水期间有一定的CAPE及近地面至对流层中层对流不稳定均长时间维持发展, “7·15”过程平均假相当位温温差为7.9 K, “7·22”为过程6.6 K, 表明“7·15”过程大气不稳定性略强于“7·22”过程。从动力抬升条件来看, 两次过程均有锋生作用, “7·22”过程锋生作用强度明显强于“7·15”过程, 但“7·15”过程强降水时段内锋生作用的持续明显好于“7·22”过程。另外, “7·22”过程中垂直上升运动明显强于“7·15”过程, 但在最强降水时段“7·15”过程垂直上升运动的高度高于“7·22”过程。从水汽辐合、 湿层厚度、 CAPE、 锋生作用及垂直上升运动强度等物理量来看“7·22”过程更强, 但“7·15”过程暴雨中心整层大气可降水量、 强降水期间对流不稳定度及最强降水时段垂直运动上升高度更强, 这可能是造成“7·15”过程降水强度强于“7·22”过程的一个因素。另外, “7·15”过程存在双次级环流, 对流发展更深厚, 中尺度对流系统时间尺度和空间尺度较“7·22”过程更强(沙宏娥等, 2022黄玉霞等, 2025), 这也是造成“7·15”过程降水更强的重要原因。
Barbero R Fowler H J Blenkinsop S, et al, 2019.A synthesis of hourly and daily precipitation extremes in different climatic regions[J].Weather and Climate Extremes, 26: 100219.DOI: 10.1016/j.wace.2019.100219 .

Paul S Ghosh S Mathew M, et al, 2018.Increased spatial variability and intensification of extreme monsoon rainfall due to urbanization[J].Scientific Reports8(1): 3918.DOI: 10.1038/s41598-018-22322-9 .

Wu M W Wu C C Yen T H, et al, 2017.Synoptic analysis of extreme hourly precipitation in Taiwan during 2003-12[J].Monthly Weather Review145(12): 5123-5140.DOI: 10.1175/mwr-d-17-0230.1 .

Wu N G Zhuang X R Min J Z, et al, 2020.Practical and intrinsic predictability of a warm-sector torrential rainfall event in the South China monsoon region[J].Journal of Geophysical Research: Atmospheres125(4): e2019JD031313.DOI: 10.1029/ 2019jd031313 .

Zeng Z L Wang D H Chen Y2021.An investigation of convective features and Z-R relationships for a local extreme precipitation event[J].Atmospheric Research, 250: 105372.DOI: 10.1016/j.atmosres.2020.105372 .

傅朝, 刘维成, 宋兴宇, 等, 2022.西北干旱区一次极端暴雨局地性增强的对流环境特征[J].干旱气象40(6): 909-921.DOI: 10.11755/j.issn.1006-7639(2022)-06-0909.Fu Z

Liu W C Song X Y, et al, 2022.Local enhanced convective environment characteristics of an extreme rainstorm event in arid region of Northwest China[J].Journal of Arid Meteorology40(6): 909-921.DOI: 10.11755/j.issn.1006-7639(2022)-06-0909 .

龚琬丁, 周玉淑, 钟珊珊, 等, 2023.山东地区一次夏季极端暴雨中尺度系统发展演变过程及机理分析[J].大气科学47(3): 786-804.DOI: 10.3878/j.issn.1006-9895.2208.21261.Gong W D

Zhou Y S Zhong S S, et al, 2023.Evolution process and mechanism analysis of the mesoscale system of an extreme summer rainstorm in Shandong Province[J].Chinese Journal of Atmospheric Sciences47(3): 786-804.DOI: 10.3878/j.issn.10 06-9895.2208.21261 .

黄垭飞, 管兆勇, 蔡倩, 等, 2021.近41 年来江南地区暴雨洪涝灾害时空变化特征分析[J].气象学报79(4): 582-597.DOI: 10.11676/qxxb2021.044.Huang Y F

Guan Z Y Cai Q, et al, 2021.Spatiotemporal variation characteristics of rainstorms and related flood disasters in Jiangnan region in the recent 41 years[J].Acta Meteorologica Sinica79(4): 582-597.DOI: 10.11676/qxxb2021.044 .

黄玉霞, 沙宏娥, 叶培龙, 等, 2025.甘肃“7·22”区域性特大暴雨特征及中尺度成因初探[J].暴雨灾害44(3): 289-299.DOI: 10.12406/byzh.2024-188.Huang Y X

Sha H E Ye P L, et al, 2025.Analysis on the characteristics and mesoscale causes of the '7·22' torrential rainfall event in Gansu Province[J].Torrential Rain and Disasters44(3): 289-299.DOI: 10.12406/byzh.2024-188 .

李晨蕊, 伏晶, 刘维成, 等, 2022.应用FY卫星产品分析陇东半干旱区特大暴雨事件云特征[J].干旱气象40(6): 954-967.DOI: 10.11755/j.issn.1006-7639(2022)-06-0954.Li C R

Fu J Liu W C, et al, 2022.Cloud characteristics analysis of a torrential rainfall event use FY satellite in semi-arid region of Eastern Gansu Province[J].Journal of Arid Meteorology40(6): 954-967.DOI: 10.11755/j.issn.1006-7639(2022)-06-0 954 .

卢珊, 胡泽勇, 王百朋, 等, 2020.近56 年中国极端降水事件的时空变化格局[J].高原气象39(4): 683-693.DOI: 10.7522/j.issn.1000-0534.2019.00058.Lu S

Hu Z Y Wang B P, et al, 2020.Spatio-temporal patterns of extreme precipitation events over China in recent 56 years[J].Plateau Meteorology39(4): 683-693.DOI: 10.7522/j.issn.1000-0534.2019.00058 .

陆婷婷, 崔晓鹏, 2022.北京两次特大暴雨过程观测对比[J].大气科学46(1): 111-132.DOI: 10.3878 /j.issn.1006-9895.2104.21007.Lu TT

Cui X P2022.Observational comparison of two torrential rainfall events in Beijing[J].Chinese Journal of Atmospheric Sciences46(1): 111-132.DOI: 10.3878/j.issn.1006-989 5.2104.21007 .

马莉, 黄玉霞, 黄武斌, 等, 2025.甘肃2024 年“7·22”特大暴雨事件的降水极端性分析[J].暴雨灾害, https: //doi.org/10. 12406/byzh.2024-189.DOI: 10.12406/byzh.2024-189.Ma L, Huang Y X, Huang W B, et al, 2025.Analysis on the precipitation extremes of extremely heavy rainstorm event in Gansu Province of the '7·22' in 2024[J].Torrential Rain and Disasters,

马莉, 杨晓军, 王勇, 等, 2023.1990 -2019年甘肃汛期极端小时降水特征[J].高原气象42(4): 993-1004.DOI: 10.7522/j.issn.1000-0534.20 22.00053.Ma L

Yang X J Wang Y, et al, 2023.Characteristics of extreme hourly precipitation during flood season in Gansu Province from 1990 to 2019[J].Plateau Meteorology42(4): 993-1004.DOI: 10.7522/j.issn.1000-0534.20 22.00053 .

冉令坤, 李舒文, 周玉淑, 等, 2021.2021年河南“7.20”极端暴雨动、 热力和水汽特征观测分析[J].大气科学45(6): 1366-1383.

  Ran L S Li S W Zhou Y S, et al, 2021.Observational analysis of the dynamic, thermal, and water vapor characteristics of the “7.20” extreme rainstorm event in Henan Province, 2021[J].Chinese Journal of Atmospheric Sciences45(6): 1366-1383.DOI: 10.3878/j.issn.1006-9895.2109.21160 .

沙宏娥, 傅朝, 刘维成, 等, 2022.西北东部半干旱区一次极端特大暴雨的触发和维持机制[J].干旱气象40 (6): 933-944.DOI: 10.11755/j.issn.1006-7639(2022)-06-0933.Sha H E

Fu Z Liu W C, et al, 2022.Mechanism of trigger and maintenance during an extremely torrential rain in semi-arid region of eastern Northwest China[J].Journal of Arid Meteorology440 (6): 933-944.DOI: 10.11755/j.issn.1006-7639(2022)-0 6-0933 .

史文茹, 李昕, 曾明剑, 等, 2021.“7·20”郑州特大暴雨的多模式对比及高分辨率区域模式预报分析[J].大气科学学报44(5): 688-702.DOI: 10.13878/j.cnki.dakxxb.20210823001.Shi W R , LiX, ZengM, et al, 2021.Multi-model comparison and high-resolution regional model forecast analysis for the Thengzhou severe heavy rain[J].Transactions of Atmospheric Science, 44(5): 688-702.DOI: 10.13878/j.cnki.dakxxb.202108230 01 .

孙颖姝, 周玉淑, 邓国, 等, 2025.2021 年10 月2

-6 日山西持续性极端降水过程低空急流及水汽输送特征分析[J].高原气象44(2): 407-420.DOI: 10.7522/j.issn.1000-0 534.2024.00075.Sun Y S Zhou Y S Deng G, et al, 2025.The analysis of low-level jet and water vapor transportation characteristics on continuous extreme precipitation in Shanxi from 2 to 6 October 2021[J].Plateau Meteorology, 44(2): 407-420.DOI: 10.7522/j.issn.1000-0 534.2024.00075 .

韦志刚, 李娴茹, 刘雨佳, 等, 2021.1961-2018 年华南年和各季极端降水变化特征的比较分析[J].高原气象40(6): 1513-1530.DOI: 10.7522/j.issn.1000-0534.2021.zk001.Wei Z G

Li X R Liu Y J, et al, 2021.Comparative analysis of the characteristics of annual and seasonal extreme precipitation in South China during 1961-2018[J].Plateau Meteorology40(6): 1513-1530.DOI: 10.7522/j.issn.1000-0534.2021.zk001 .

肖柳斯, 张华龙, 张旭斌, 等, 2021.基于CMA-TRAMS 集合预报的“ 5·22” 极端降水事件可预报性分析[J].气象学报79(6): 956-976.DOI: 10.11676/qxxb2021.058.Xiao L S

Zhang H L Zhang X B, et al, 2021.Predictability analysis of the extremely heavy rainfall in the Pearl River Delta on 22 May 2020 using CMA-TRAMS-based ensemble prediction system[J].Acta Meteorologica Sinica79(6): 956-976.DOI: 10.11676/qx xb2021.058 .

张君霞, 黄武斌, 王一丞, 等, 2024.河西走廊西部一次暴雨过程降水特征及极端性分析[J].高原气象43(1): 156-165.DOI: 10.7522/j.issn.1000-0534.2023.00036.Zhang J X

Huang W B Wang Y H, et al, 2024.Analysis on precipitation extremes and characteristics of the rainstorm event in the west of Hexi Corredor[J].Plateau Meteorology43(1): 156-165.DOI: 10.7522/j.issn.1000-0534.2023.00036 .

张君霞, 黄武斌, 杨秀梅, 等, 2022.陇东半干旱区一次特大暴雨事件的降水极端性分析[J].干旱气象40(6): 922-932.DOI: 10.11755/i.issn.1006-7639(2022)-06-0922.Zhang J X

Huang W B Yang X M, et al, 2022.Analysis on precipitation extremity of a torrential rain event in semi-arid region of eastern Gansu[J].Journal of Arid Meteorology40(6): 922-932.DOI: 10.11755/i.issn.1006-7639(2022)-06-0922 .

周璇, 孙继松, 张琳娜, 等, 2020.华北地区持续性极端暴雨过程的分类特征[J].气象学报78(5): 761-777.DOI: 10.11676/qxxb2020.052.Zhou X

Sun J S Zhang L N, et al, 2020.Classification characteristics of continuous extreme rainfall events in North China[J].Acta Meteorologica Sinica78(5): 761-777.DOI: 10.11676/qxxb2020.052 .

朱乾根, 林锦瑞, 寿绍文, 等, 2007.天气学原理和方法(第四版)[M].北京: 气象出版社.Zhu Q G, Lin J R, Shou S W, et al, 2007.Synoptic principles and methods (the 4th version)[M].Beijing: China Meteorological Press.

文章导航

/