多个高时空分辨率降水数据在西北地区东部“7·22”特大暴雨事件中的精度评估

  • 伏晶 , 1 ,
  • 黄武斌 , 2, 1 ,
  • 段伯隆 1 ,
  • 黄玉霞 1 ,
  • 付正旭 1
展开
  • 1. 兰州中心气象台,甘肃 兰州 730020
  • 2. 敦煌市气象局,甘肃 酒泉 736200
黄武斌(1990 -), 男, 甘肃会宁人, 高级工程师, 主要从事强对流天气预报及气象风险预警研究. E-mail:

伏晶(1986 -), 女, 甘肃秦安人, 高级工程师, 主要从事灾害天气预报技术研究. E-mail:

收稿日期: 2025-01-03

  修回日期: 2025-07-18

  网络出版日期: 2025-12-15

基金资助

甘肃省自然科学基金项目(24JRRA1178)

甘肃省自然科学基金项目(25JRRA322)

甘肃省自然科学基金项目(24JRRA1177)

“飞天风云”青年拔尖人才项目(2425-rczx)

甘肃省气象局气象科研重点项目(Zd2024-B-2)

甘肃省气象局气象科研重点项目(Zd2025-B-2)

干旱气象科学研究基金项目(IAM202308)

甘肃省联合科研基金项目(25JRRA1109)

Evaluation of the Accuracy of Multiple High-Spatial-and-Temporal- Resolution Precipitation Data in the “7·22” Heavy Rainstorm Event in the East of Northwest China

  • Jing FU , 1 ,
  • Wubin HUANG , 2, 1 ,
  • Bolong DUAN 1 ,
  • Yuxia HUANG 1 ,
  • Zhengxu FU 1
Expand
  • 1. Lanzhou Central Meteorological Observatory,Lanzhou 730020,Gansu,China
  • 2. Dunhuang Meteorological Bureau,Dunhuang 736200,Gansu,China

Received date: 2025-01-03

  Revised date: 2025-07-18

  Online published: 2025-12-15

Copyright

© Editorial Department of Plateau Meteorology (CC BY-NC-ND)

摘要

2024年7月22 -24日, 甘肃省遭遇历史罕见特大暴雨, 共计12个站(点)累积降水量超300 mm, 最大达351.4 mm, 综合强度为1961年以来西北地区最强。本文基于地面自动观测站(Automatic Weather Station, AWS)降水实况观测数据, 评估了中国区域融合降水分析系统(CMA Multi-source Precipitation Analysis, CMPA)、 雷达估测降水(Radar Quantitative Precipitation Estimation, Radar-QPE)、 风云4B卫星估测降水(Fengyun 4B Quantitative Precipitation Estimation, FY4B-QPE)和欧洲中期天气预报中心的全球陆面再分析资料(European Centre for Medium Range Weather Forecasts Reanalysis v5, ERA5)四种降水产品在此次特大暴雨期间的监测能力。结果表明: (1)在空间分布上CMPA表现最佳, 能够准确捕捉暴雨的核心区降水和极值, 空间变异性最小, 小时降水量平均误差(Mean Error, ME)仅为0.002 mm·h-1。Radar-QPE能够识别暴雨区位置, 但低估了核心区降水量, FY4B-QPE对核心区降水有明显高估, 而ERA5则低估了核心区降水量, ME分别为-0.151、 0.192和0.08 mm·h-1。(2)CMPA在时间演变的捕捉上最为准确, 误差最小, 相关系数(Correlation Coefficient, CORR)高达0.999。Radar-QPE在强降水时低估降水量, 误差随降水强度增加显著增大, FY4B-QPE和ERA5的误差在强降水期间显著增加, 尤其是FY4B-QPE在核心区的表现较差, CORR分别为0.96、 0.24和0.22。(3)CMPA与AWS的日变化特征最为接近。Radar-QPE在降水峰值和分布上存在偏差。FY4B-QPE峰值位置偏东、 偏北, 且较降水时间提前。ERA5没有显著的经向峰值, 表现为纬向偏北的负偏差。(4)CMPA与AWS在降水概率分布上高度一致, 表现出最佳的时空一致性。Radar-QPE和ERA5高估了首个降水峰值, 而低估了5.0 mm·h-1以上区间的小时降水量。FY4B-QPE对弱降水低估、 强降水高估。这些结果为不同降水产品在暴雨降水事件中的监测能力提供了详细的对比, 为暴雨动态监测、 预警和水文应用研究等方面提供参考。

本文引用格式

伏晶 , 黄武斌 , 段伯隆 , 黄玉霞 , 付正旭 . 多个高时空分辨率降水数据在西北地区东部“7·22”特大暴雨事件中的精度评估[J]. 高原气象, 2026 , 45(1) : 276 -294 . DOI: 10.7522/j.issn.1000-0534.2025.00086

Abstract

From July 22nd to 24th, 2024, Gansu Province was hit by an extremely rare torrential rain in history.A total of 12 stations accumulated rainfall exceeding 300 mm, with the maximum reaching 351.4 mm.The overall intensity was the strongest in the northwest region since 1961.Based on the Precipitation observation data from Automatic Weather Station (AWS), this study evaluated the CMA Multi-source Precipitation Analysis system in China (CMPA), Radar Quantitative Precipitation Estimation (Radar-QPE), Fengyun 4B Quantitative Precipitation Estimation (FY4B-QPE) and the European Centre for Medium Range Weather Forecasts Reanalysis v5 (ERA5) monitoring capabilities of four precipitation products during this extremely heavy rainstorm.The results showed that: (1) CMPA had the best performance in spatial distribution, which could accurately capture the precipitation and extreme value in the core area of rainstorm, with the least spatial variability, ME was only 0.002 mm·h-1.Radar-QPE could identify the location of the rainstorm area, but underestimate the precipitation in the core area, FY4B-QPE significantly overestimates the precipitation in the core area, while ERA5 underestimates the precipitation in the core area, ME was respectively -0.151, 0.192 and 0.08 mm·h-1.(2) CMPA was the most accurate in capturing time evolution with the smallest error, CORR was up to 0.999.Radar-QPE underestimated precipitation during heavy precipitation hours, and the error increased significantly with the increase of precipitation intensity, the errors of FY4B-QPE and ERA5 increased significantly during heavy precipitation hours, especially FY4B-QPE had worse behavior in the core area, CORR was respectively 0.96, 0.24 and 0.22.(3) The diurnal variation characteristics of CMPA and AWS were the closest.There were deviations in the peak value and distribution of precipitation in Radar-QPE.The peak position of FY4B-QPE was located to the east and north, and the precipitation time was advanced.There was no significant peak of ERA5 in the meridian direction, but showed a negative deviation in the zonal direction that was slightly northward.(4) CMPA and AWS were highly consistent in precipitation probability distribution, showing the best spatio-temporal consistency.Radar-QPE and ERA5 overestimated the first precipitation peak and underestimated the precipitation above 5.0 mm/h.FY4B-QPE underestimated weak precipitation and overestimates heavy precipitation.These results provided a detailed comparison of the monitoring capabilities of different precipitation products in rainstorm precipitation events, and offered a reference for the dynamic monitoring, early warning and hydrological application of rainstorm event.

1 引言

暴雨(24 h累积降水量超过50 mm)容易引发山体滑坡、 泥石流、 山洪等严重的自然灾害, 对全球范围内的社会经济、 生态环境和人类安全构成了巨大威胁(Özdemir et al, 2019Gu et al, 2022)。根据监测, 暴雨发生的频率正在增加(Westra et al, 2014; O'Gorman, 2015; Guerreiro et al, 2018Papalexiou and Montanari, 2019), 并且随着气候持续变暖, 这一趋势将显著增强(Myhre et al, 2019)。暴雨尤其是特大暴雨的成因和时空演变具有动态性和不确定性, 给当前预报带来了困难和挑战(Fischer and Knutti, 2014Tabari et al, 2019)。因此, 必须以高时空分辨率准确捕获暴雨及暴雨数据集(Sun et al, 2017), 对于气候变化背景下的防灾减灾具有重要的科学和实际意义(Prakash et al, 2016)。
暴雨作为一种复杂的天气现象, 国内外开展了广泛研究(陈海山等, 2009卢珊等, 2020张君霞等, 2024)。其发生与大气中的高湿度、 强烈的上升气流以及有利的天气系统(如中纬度气旋、 热带气旋等)密切相关(O'Gorman and Schneider, 2009), 同时, 全球变暖导致大气中水汽含量增加, 进而增强了发生频率和强度(Trenberth et al, 2015)。许多学者通过分析长时间序列的降水数据, 揭示了中国不同区域暴雨事件的发生规律及其变化趋势(孙继松等, 2015)。尤其是在中国南方的梅雨季节和北方的夏季风期间, 暴雨事件的发生频率显著增加(周金莲等, 2022)。此外, 一些研究还结合观测数据和气候模型, 分析了极端降水事件的气候驱动因素, 如海温异常、 大气环流异常等(Sun et al, 2017)。研究还表明, 城市化和人类活动的增加也在一定程度上加剧了城市极端降水和洪涝灾害的风险(徐金霞等, 2017)。然而, 由于中国地域辽阔, 气候条件复杂, 各区域暴雨的时空特征存在显著差异。因此, 区域性暴雨研究显得尤为必要。
中国西北地区地处干旱半干旱带, 生态环境脆弱。近年来, 随着气候变化和人类活动的加剧, 暴雨事件的频率有所增加(Zhang et al, 2007)。已有研究指出, 西北地区的暴雨事件主要集中在夏季, 尤其是7 -8月, 且夜雨特征明显(刘新伟等, 2021), 并与季风活动、 太平洋副高、 热带低压等密切相关(黄玉霞等, 2019)。在西北地区, 已经发生过如2010年“8·8”、 2019年“6·20”、 2022年“7·15”等暴雨事件(张之贤等, 2013张君霞等, 2022杨秀梅等, 2023), 造成了严重的人员伤亡和经济损失。因此, 在该地区迫切需要准确可靠的实时定量降水网格产品, 对暴雨发生发展全过程进行动态监测, 为灾害预警和决策服务提供有效的支持信息。
多源降水数据的快速发展为暴雨事件的研究提供了新的工具, 多源降水数据包括地面站点降水观测数据、 多普勒天气雷达降水估测、 卫星遥感数据和再分析数据等, 能够弥补单一数据源的不足(潘旸等, 2018师春香等, 2019)。一些研究通过综合应用多源降水数据进行暴雨事件的评估(刘松楠等, 2021黄武斌等, 2025), 可以更准确地还原暴雨事件的发生过程及其影响(Pang et al, 2023), 这为西北地区极端暴雨事件的研究提供了新的手段。
地面站点观测被认为是最准确的降水观测, 但由于站点分布不均匀, 不能有效反映暴雨事件的空间分布(Villarini et al, 2009Vila et al, 2009)。地面气象雷达系统和天基气象卫星是降水估测的两种主要技术(Hong et al, 2019)。雷达估测降水技术已经取得了重大进展, 包括Z-R关系研究、 雷达拼图研究及联合地面观测的降水订正技术等(Collier et al, 2010Zhong et al, 2017韩丰等, 2019)。然而, 雷达估测降水(Radar Quantitative Precipitation Estimation, Radar-QPE)存在一些缺陷, 如有限的空间覆盖、 地形遮挡雷达信号以及Z-R关系的不确定性等(Wen et al, 2013Estelle, 2013张奡祺和傅云飞, 2018)。卫星遥感观测能提供广阔的空间覆盖和较高的时空分辨率, 有效弥补地面站点观测和雷达估测降水的不足, 但卫星估测降水精度存在诸多不确定性(袁飞等, 2013Xie et al, 2017潘旸等, 2018), 对风云4B卫星估测降水(Feng Yun 4B Quantitative Precipitation Estimation, FY4B-QPE)精度评估也相对较少。中国气象局国家信息中心2016年发布的1 km、 逐1 h的中国区域融合降水分析系统(CMA Multi-source Precipitation Analysis, CMPA), 虽然在中国区域的数据质量接近国际先进水平(潘旸等, 2018), 但在有些地形复杂、 站点稀少地区存在漏报及低估大量级(大雨及以上)降水强度等问题(吴薇等, 2019; 孙帅等, 2020张茜茹等, 2023)。欧洲中期天气预报中心(European Centre for Medium Range Weather Forecasts, ECMWF)2019年7月发布的全球陆面再分析资料(ECMWF Reanalysis v5, ERA5), 虽然能够较好的反映降水的变化特征(吕润清和李响, 2021宋海清等, 2021), 但在有些地区对小量级降水高估、 大量级(大雨及以上)存在低估(黄晓龙等, 2023)。
已有研究分析了各种降水产品捕捉极端降水事件的能力(Zhang et al, 2019Fang et al, 2019黄武斌等, 2025)。然而, 它们准确捕捉强降水的能力仍然存在不确定性, 这种不确定性取决于降水强度和地区等因素。因此, 需要进一步研究不同降水产品对西北地区暴雨事件的监测能力。2024年7月22 -24日, 甘肃省遭遇历史罕见特大暴雨, 共计12个站(点)累积降水超300 mm, 最大达351.4 mm, 综合强度为1961年以来西北地区最强。特大暴雨引发陇东多地山洪、 泥石流及城市内涝, 导致农田损毁、 交通中断及通讯瘫痪。此次暴雨时空分布不均且地形抬升作用显著, 对精细化气象预警及区域防灾体系提出严峻挑战。本文以此次特大暴雨事件为对象, 以地面观测降水资料为参考, 通过各种误差分析指标, 评价Radar-QPE、 FY4B-QPE、 CMPA和ERA5能否准确、 合理地描绘此次特大暴雨事件的分布特征和演变过程。当前针对西北复杂地形区高时空分辨率降水产品的系统性评估较少, 本文通过多源降水数据对比, 揭示了不同产品在极端条件下的性能差异, 为数据优化和灾害模型驱动提供了关键依据。

2 研究区域与数据来源

2.1 研究区域

西北地区东部位于青藏高原、 黄土高原、 蒙古高原的交汇地带, 主要包括陕西、 宁夏、 甘肃三省区, 域内海拔差异较大。其西部主要为祁连山和青藏高原, 海拔3000 m以上, 中部南北向的陇山山脉, 东南部的秦岭是我国气候分界线。秦岭以南地区山势陡峭, 特殊的地形有利于西南低空急流的形成、 维持, 同时对上升运动有一定的增强作用, 容易在该地区出现极端暴雨(刘新伟等, 2021黄武斌等, 2023)。整个研究区域为85°E -115°E、 30°N -45°N(图1)[文中涉及的地图是基于中华人民共和国自然资源部地图技术审查中心标准地图服务系统下载的审图号为GS(2019)1824的中国地图制作, 底图无修改]。研究时间为2024年7月22日08:00(北京时, 下同)至24日08:00, 研究区站点分布如图1(b)所示, 为了验证各降水产品对降水大值的模拟效果, 将累积降水量≥50 mm的站点定义为降水核心区(图中紫色站点所示)。
图1 中国行政区划(a, 红框区域为研究区域), 研究区域内地面自动观测站点分布(b, 紫色站点为降水核心区)

填色为海拔(单位: m)

Fig.1 Administrative zoning map of China (a, red areas are research areas), and distribution of automatic weather stations in the study area (b, purple stations are the precipitation core area).The shading is altitude (unit: m)

2.2 数据来源

地面自动观测站(Automatic Weather Station, AWS)通常被认为是最准确的降水资料来源, 在地面降水的定量研究中起着至关重要的作用(潘旸等, 2018)。利用西北地区东部约3779个自动气象站2024年7月22 -24日逐时降水数据, 对“7·22”特大暴雨事件降水网格产品的精度进行评价。图1(b)显示了站点位置的空间分布及其海拔, 观测站点分布密集, 可提供可靠的降水空间表征。自动气象站降水数据经过严格的业务质量控制, 最低可探测降水量为0.1 mm。
CMPA来源于中国气象局国家信息中心研发的三源融合近实时降水产品, 基于全国地面自动站观测降水、 CMORPH(Climate Prediction Center MORPHing)卫星以及雷达估测降水产品, 采用概率密度匹配、 贝叶斯模式平均法、 最优插值算法等形成的近实时网格降水数据(孙帅等, 2020), 产品的时空分辨率为1 h、 1 km。
Radar-QPE来源于中国气象局气象探测中心研制的雷达反演降水资料, 基于网格化的雷达实时统计Z-R关系估计降水, 并使用地面自动观测站的降水数据通过卡尔曼滤波和平均校准进行校准, 产品的时空分辨率为1 h、 1 km(Wu et al, 2018)。
FY4B-QPE来源于中国气象局国家卫星中心研制的卫星反演降水资料, 是通过FY4B卫星辐射成像仪AGRI(Advanced Geostationary Radiation Imager)的降水反演算法, 将AGRI在红外通道观测的瞬时亮温数据, 反演生成像元瞬时降水率, 产品的时空分辨率为1 h、 4 km(黄武斌等, 2025)。
ERA5来源于2016年ECMWF发布的第五代再分析产品, 与上一代相比, 在观测资料的使用方法和物理过程描述上都有显著的改进, 降水质量有所提高(Tarek et al, 2020岳书平等, 2021), 产品的时空分辨率为1 h、 12.5 km。

2.3 方法介绍

2.3.1 数据预处理

由于地面自动观测为站点数据, 而Radar-QPE、 FY4B-QPE、 CMPA、 ERA5为网格数据, 两者在空间尺度上不一致, 因此, 需要对网格数据预处理。本文采用中国气象局发布的智能网格业务标准检验方法, 使用“邻近点替代”算法将网格数据与站点数据进行匹配(郭润霞等, 2024), 即选择离站点最近的网格点与站点值进行比较(有多个距离相等的网格点, 则优先选取东北方向格点), 形成网格降水量与站点观测值的样本匹配。

2.3.2 评估指标

本文选取了平均误差(Mean Error, ME)、 相对偏差(relative BIAS, rBIAS)、 均方根误差(root mean square error, RMSE)、 相关系数(correlation coefficient, CORR)和克林-吉普塔效率(Kling-Gupta efficiency, KGE)等5个指标, 具体计算公式如式(1)~(5):
M E = i = 1 n ( y i - x i ) n
r B I A S = i = 1 n ( x i - y i ) i = 1 n ( y i )
R M S E = i = 1 n ( x i - y i ) 2 n
C O R R = i = 1 n ( x i - x ¯ ) ( y i - y ¯ ) i = 1 n ( x i - x ¯ ) 2 i = 1 n ( y i - y ¯ ) 2
K G E = 1 - ( C O R R - 1 ) 2 + ( β - 1 ) 2 + ( R V - 1 ) 2
式中: x ¯代表实测数据的时间平均值; x i代表第i个时刻的实测数据值; y ¯代表被评估数据的时间平均值; y i代表第i个时刻的被评估值; n为总样本数。 β为偏置比, 即 β = y ¯ x ¯ R V为相对变化率, 即 R V = ( σ y / y ¯ ) ( σ x / x ¯ ) ¯ σ y为被评估数据的标准偏差, σ x为实测数据的标准偏差。
另外, 还选取了命中率(Probability of Detection, POD)、 虚警率(False Alarm Rate, FAR)、 频率偏差指数(Frequency Bias Index, FBI)和TS(Threat Score)评分来分析观测降水与降水产品之间的一致性(麦杞莹等, 2024), 具体计算公式如式(6)~(9):
P O D = a a + c
F A R = b a + b
F B I = a + b a + c
T S = a a + b + c
式中: a为地面自动观测与降水产品同时观测到降水的次数; b为地面自动观测到无降水, 而降水产品有降水的次数; c为地面自动观测到有降水, 而降水产品为无降水的次数。
以上评估指标, MERMSE值越接近0, 表明偏差越小; CORR值越大, 表明越相关; KGE值越接近1, 表明性能越好; PODTS值越大, 表明效果越好; FAR值越小, 表明效果越好; FBI>1, 表明降水产品范围大于AWS范围; FBI<1, 表明降水产品范围小于AWS范围; FBI=1, 表明两者范围吻合(李林等, 2018)。
本文还利用了累积分布函数(Cumulative Distribution Function, CDF), 它是概率密度函数(Cumulative Distribution Function, PDF)的积分, 用于确定一个随机变量假设值低于特定阈值的概率。CDFc(Cumulative Distribution Function coincidence)表示降水重合的累积概率函数, CDFv(Cumulative Distribution Function volume)表示降水量的累积概率函数。定义了5个不同的范围来区分不同的小时降水量, 以评估综合性能: 小雨(0.1~2 mm·h-1)、 中雨(2~5 mm·h-1)、 大雨(5~10 mm·h-1)、 暴雨(10~20 mm·h-1)和暴雨(>20 mm·h-1)(Pang et al, 2023)。

3 结果

3.1 空间分布特征

2024年7月22-24日, 在西北地区东部出现特大暴雨事件, 暴雨区[图2(a)]位于甘肃东南部、 宁夏南部和陕西中西部, 其中共有384个站(点)累积降水量超过100 mm, 占研究区总站数的10.2%; 38个站(点)累积降水量超过250 mm, 占总站数的1.0%; 最大累积降水量出现在崇信新窑林场351.4 mm·h-1, 最大小时降水量为23日01:00 -02:00通渭陇山79.1 mm。此外, 成县、 崇信、 通渭、 静宁、 六盘山、 隆德、 泾源、 陇县共8个站突破了自1961年以来的日降水量历史记录。
图2 研究区7月22 -24日各降水产品累积降水量分布(单位: mm)(a) AWS, (b) CMPA, (c) Radar-QPE, (d) FY4B-QPE, (e) ERA5

Fig.2 Cumulative precipitation distribution of each precipitation product from July 22 to 24 in the study area.Unit: mm.(a) AWS, (b) CMPA, (c) Radar-QPE, (d) FY4B-QPE, (e) ERA5

对比各降水产品和AWS结果, 所有产品均能较好反映此次暴雨事件。CMPA与AWS的降水分布及极值捕捉能力最为接近, 显示出高度一致性。Radar-QPE虽能较准确地展示暴雨区位置, 但低估了大暴雨区的范围和强度, 未能反映出250 mm以上的累积降水量。FY4B-QPE明显高估了暴雨区, 尤其是大暴雨区范围偏东。ERA5暴雨区范围偏大, 且大暴雨区位置偏北或偏西, 同样未能反映出250 mm以上的累积降水量极值。
图3展示了各降水产品与暴雨逐时降水量的散点图、 拟合线(红线)及核密度估计(填色)。黑色虚线表示站点观测与各降水产品的1∶1线。结果表明, CMPA与AWS的拟合度最高, 逐时降水分布均匀, 决定系数r²为0.969, 核密度估计集中在0~20.0 mm·h-1的区间, 表明两者在此区间内的一致性较好。Radar-QPE的拟合线偏差较大, 表明其对降水精度低于CMPA, 拟合线在1∶1线的右侧, 表示低估了极端强降水。大量样本集中在0~10.0 mm·h-1区间, 表明Radar-QPE对低降水强度的捕捉能力较好。FY4B-QPE和ERA5的线性拟合远远偏离1∶1线, FY4B-QPE在AWS降水较弱时(<20.0 mm·h-1)高估, 强降水时(>60.0 mm·h-1)则低估, 同时大量样本集中在0附近, 说明与卫星遥感降水的灵敏度有关(王一丞等, 2023)。ERA5的逐时降水集中在20.0 mm·h-1以内, 主要原因是ERA5受其对流参数化方案限制, 难以准确捕捉强对流降水(Jiang et al, 2021)。
图3 研究区暴雨期间小时降水量的散点图及其线性拟合、 核密度估计(a) CMPA, (b) Radar-QPE, (c) FY4B-QPE, (d) ERA5.红线为线性拟合; 填色为核密度估计(单位: %)

Fig.3 Scatter plots of hourly rainfall during heavy rain in the study area and their linear fitting, as well as kernel density estimation.(a) CMPA, (b) Radar-QPE, (c) FY4B-QPE, (d) ERA5.Red line is linear fitting, coloring is kernel density estimation (unit: %)

通过对多个评价指标的空间分布(图4图5)分析。CMPA在所有评分指标上均优于其他降水产品。CMPA的小时降水量ME仅为0.002 mm·h-1, 降水核心区的RMSE低于1.0 mm·h-1, CORR高于0.9, TS>0.85, 此外, CMPA的rBIAS<10%, KGE集中在0.95以上, 偏置比(β)和相对变化率(RV)非常接近1.0, 说明CMPA在降水方面相对于AWS的变异性较小(表1)。Radar-QPE、 FY4B-QPE、 ERA5的误差空间分布相似, 但Radar-QPE在降水核心区小量降水量的ME为负, 表现为低估, 而其他地区则表现为高估。核心降水区RMSE>3.0 mm·h-1, TS>0.8, CORR>0.7。Radar-QPE的rBIAS集中在-50%~230%, KGE集中在-1.4~0.5, 平均值为-0.232, β>1.5且RV<1.0, 说明Radar-QPE平均值大约较AWS偏高50%以上, 且具有一定的变异性特征。FY4B-QPE在降水核心区的表现与Radar-QPE类似, 但高估更为显著, 且偏差区域更大。降水核心区RMSE> 5.0 mm·h-1, TS>0.5, CORR<0.4。FY4B-QPE的rBIAS分布与Radar-QPE相似, 集中在-70%~250%, 与Radar-QPE不同的是KGE<0, β>2.1且RV>1.0, 说明FY4B-QPE平均值大约较AWS偏高一倍以上, 且变异性较大。ERA5对降水核心区表现为ME的负偏差, 对其余地区小时降水量均为高估, 尤其是宁夏南部地区偏高2.0 mm·h-1。降水核心区RMSE> 2.5 mm·h-1, TS>0.6, CORR<0.5。ERA5的rBIAS分布较Radar-QPE和FY4B-QPE更为集中, KGE、 β和RV与Radar-QPE相似且值更小。
图4 暴雨期间各类降水产品小时降水量的ME(单位: mm·h-1)、 RMSE(单位: mm·h-1)、 TS及CORR分布(a)~(d)为CMPA, (e)~(h)为Radar-QPE, (i)~(l)为FY4B-QPE, (m)~(p)为ERA5

Fig.4 ME (unit: mm·h-1), RMSE (unit: mm·h-1), TS and CORR distribution of hourly various precipitation products during heavy rainfall.(a)~(d) CMPA, (e)~(h) Radar-QPE, (i)~(l) FY4B-QPE, (m)~(p) ERA5

图5 暴雨期间各类降水产品评估指标箱线图

箱线图中黑线为中位数, 左右边界线为第25和75分位数

Fig.5 Box plot of evaluation indicators of various precipitation products during rainstorm.The black line in the box plot is the median, and the left and right boundary lines are the 25th and 75th quantiles

表1 各降水产品评估指标平均值

Table 1 Average value of each precipitation product evaluation index

降水产品 ME/(mm·h-1 rBIAS/% RMSE/(mm·h-1 CORR KGE β RV TS
CMPA 0.002 0.73 0.033 0.996 0.965 1.007 0.992 0.939
Radar_QPE -0.151 54.92 1.610 0.712 -0.232 1.550 0.778 0.688
FY4B_QPE 0.192 60.55 2.749 -0.002 -1.141 2.187 1.061 0.187
ERA5 0.080 35.13 1.439 0.101 -0.382 1.427 0.558 0.372
整体来说, 四种产品的TS在降水核心区显著高于外降水区, 均达到0.5以上, CORR除ERA5外, 其余产品也表现出与TS一致的分布状态, 随着降水的增加, 其产品的准确性也会增加, 表明能够捕捉强降水过程。此外, Radar-QPE、 FY4B-QPE、 ERA5对降水核心区西侧的均为负偏差, 可能与当地的地形有关, 需要进一步校正产品中的地形误差(Pang et al, 2023)。

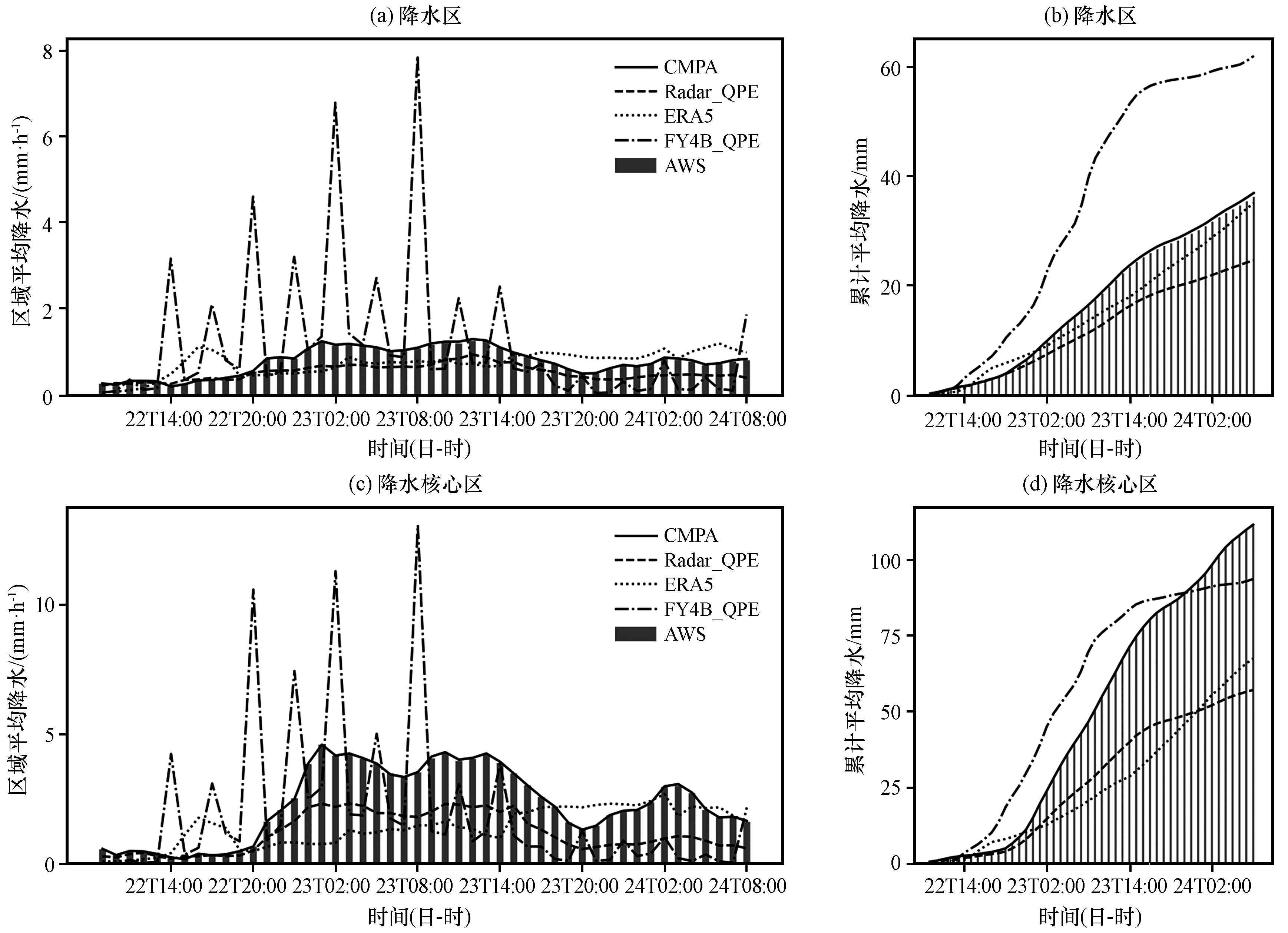
3.2 时间变化特征

图6(a)和(c)展示了暴雨期间AWS和各降水产品的逐时降水区(降水核心区)平均降水时间序列, 图6(b)和(d)显示了相应的随时间累积平均降水曲线, 表2显示降水核心区小时平均CORR和RMSE。强降水主要发生在7月22日21:00至23日08:00期间。CMPA与AWS的平均降水量高度一致, CORR为0.99以上。Radar-QPE对整个降水过程低估, 特别是在强降水期间, 但CORR也达到0.96以上, RMSE为1.329 mm·h-1。FY4B-QPE大多时段低估, 降水区累积平均降水量明显高于AWS, 但在23日20:00以后对降水核心区又存在低估。ERA5在部分时段(22日14:00 -19:00及23日18:00后)高估, 但总体仍低估降水量。FY4B-QPE和ERA5在降水核心区的CORR均远低于CMPA和Radar-QPE, RMSE也是明显偏高, 尤其FY4B-QPE误差显著。
图6 暴雨期间各降水产品和AWS的区域平均降水(a, c)及累积平均降水(b, d)的时间演变(a)、 (b)降水区, (c)、 (d)降水核心区

Fig.6 Temporal evolution of regional mean precipitation (a, c) and cumulative mean precipitation (b, d) of each precipitation product and AWS during heavy rainfall.(a, b) rainfall area, (c, d) the precipitation core region

表2 各降水产品在核心降水区小时平均CORRRMSE

Table 2 Hourly average CORR and RMSE of each precipitation product in the core precipitation area

CMPA Radar-QPE FY4B-QPE ERA5
CORR 0.999 0.960 0.242 0.221
RMSE/(mm·h-1 0.038 1.329 2.928 1.685
图7为暴雨期间降水区和降水核心区各降水产品评估指标的时间热力图及AWS区域平均降水。从图7中可以看出, CMPA的评估结果随时间保持稳定, 接近最优, 显示出与AWS的高度一致。Radar-QPE的误差随着降水的增加而显著增加, ME<-1.0 mm·h-1, RMSE<3.0 mm·h-1, CORR>0.9。FY4B-QPE和ERA5与Radar-QPE类似, 但误差较大, 且CORR较低, 尤其是FY4B-QPE在降水核心区RMSE>6.0 mm·h-1
图7 暴雨期间各降水产品评估指标热力图和AWS的区域平均小时降水量的时间演变图(a、 c、 e、 g、 i)为降水区; (b、 d、 f、 h、 j)为降水核心区; ME和RMSE的单位: mm·h-1

Fig.7 Thermal map of each precipitation product evaluation index and the temporal evolution of regional mean hourly precipitation in AWS during heavy rainfall.(a, c, e, g, i) are precipitation area; (b, d, f, h, j) are precipitation core region.Unit of ME and RMSE: mm·h-1

在降水捕获能力上(TS和FBI), CMPA最优, Radar-QPE次之。FY4B-QPE在降水后期表现较差, 而ERA5在降水前期表现较差。在降水核心区, 随着降水强度的增加, 所有产品的ME、 RSME指标值均显著增加, CORR有所降低。不同产品的TS在降水核心区均表现较好, 对强降水捕捉能力较强。此外, FY4B-QPE和ERA5在强降水开始前高估了降水范围, 同时FY4B-QPE在后期对降水范围有所低估。
图8为逐小时降水量在不同阈值区间内各降水产品的综合性能的对比。CMPA在所有区间内RMSE和FAR最低, POD和TS得分最高, ME接近0, FBI接近1。然而, 降水量超过20.0 mm·h-1时, CMPA的ME和FBI低于最优, 显示对强降水的捕获能力仍有改进空间。Radar-QPE、 FY4B-QPE、 ERA5的ME和RMSE随着阈值增大显著增加, 特别对20.0 mm·h-1以上区间降水的低估尤为明显。对于>2.0 mm·h-1以上的降水, 三种产品的POD较低(<0.5), ERA5的FAR最高(>0.37), Radar-QPE和FY4B-QPE的FAR相对较低(<0.3)。ERA5的TS最低, 未能捕捉到10.0 mm·h-1以上的降水。Radar-QPE和FY4B-QPE的FBI<1, 而ERA5在2.0 mm·h-1以内阈值区间的FBI>1, 在更强降水条件下, FBI则低于1, 表明三种产品对降水范围的捕捉偏小。
图8 暴雨期间逐小时降水量在不同阈值区间内各降水产品评价结果统计

Fig.8 Evaluation results of hourly precipitation in different threshold interval of each precipitation product during rainstorm

降水的空间演变反映了降水系统受大尺度环流和地形强迫作用下的水平分布特征, 时间演变则体现天气系统生命史与气候模态的调整, 在上述两种偏差分析的基础上, 下一步对逐小时降水的强度在经度和纬度的变化偏差进行分析, 从而探索对于降水峰值及局地热力强迫等过程在不同降水产品中的耦合表现。

3.3 降水时空综合偏差特征

图9展示了降水核心区平均小时降水量的日变化和各降水产品ME日变化特征。从AWS的经向和纬向时间演变[图9(a), (f)]可以看出, 主要降水发生在7月22日12:00以后, 且在经向和纬向均呈现双峰型分布。经向上, 107.0°E附近是第一峰值, 强降水主要集中于22日20:00至24日07:00, 105.3°E附近为第二个峰值, 降水时段为22日14:00至24日04:00。纬向上, 35.1°N附近是第一峰值, 强降水时段为22日18:00至24日00:00, 第二个较弱的峰值中心位于33.5°N, 降水时段集中在23日22:00至24日07:00。经向和纬向的时间演变都表明, 峰值位置没有明显的东西或南北向传播特征。
图9 降水核心区平均小时降水量的日变化(a, f)和各降水产品ME日变化特征(单位: mm·h-1)(a)~(e) 经向变化, (f)~(j) 纬向变化

Fig.9 Average daily variation of hourly precipitation in the precipitation core area (a, f) and the daily variation characteristics of each precipitation product ME.Unit: mm·h-1.(a)~(e) indicates the warp direction and (f)~(j) indicates the latitude direction

CMPA在经向和纬向均与AWS最为接近, ME维持在±0.2 mm·h-1以内, 且没有明显的日变化特征[图9(b), (g)]。Radar-QPE的经向和纬向峰值位置与AWS大致一致(图略), 但整体表现为负偏差, 且负偏差从强降水起始时间(22日14:00)持续至降水结束。经向上, 最大偏差时段为22日14:00至23日07:00, 偏差大值区与降水峰值位置一致, ME<-2.0 mm·h-1以上, 纬向上的偏差表现与经向类似[图9(c), (h)]。
FY4B-QPE在经向和纬向上均呈单峰分布, 强降水时段为22日12:00至23日20:00。经向峰值位于107.8°E, 较AWS偏东0.5°, 纬向峰值位于35.2°N, 较AWS偏北约0.1°(图略)。从ME分布[图9(d), (i)]来看, FY4B-QPE对AWS的第一峰值有较大的正偏差, 且偏差范围向东和北延伸, ME> 2.0 mm·h-1; 而对次峰值存在负偏差, ME< -1.0 mm·h-1。时间演变表明, 无论是正偏差还是负偏差, FY4B-QPE的峰值均较AWS提前2 h以上, 并且偏差持续到降水结束。
ERA5在经向上未表现出明显峰值, 但在纬向上呈现单峰型分布, 峰值位于36.1°N, 较AWS偏北约1.0°, 强降水时段为22日23:00至24日08:00(图略)。ME分析[图9(e), (j)]显示, ERA5对AWS峰值区存在负偏差, ME<-2.0 mm·h-1, 且负偏差时段与AWS的强降水时段一致。

3.4 概率统计特征

图10显示的暴雨期间小时降水量PDF分布表明, 各降水产品降水强度和AWS之间的一致性总体较好。主要有两个峰值, 0.1~1.0 mm·h-1的降水量占58%, 2.0~5.0 mm·h-1的占18%, 最大逐时降水量超过80.0 mm·h-1。CMPA的PDF与AWS基本重合, 表现出良好的一致性。Radar-QPE在<1.0 mm·h-1区间范围内存在相对高估, 2.0 mm·h-1以上区间为低估, 特别是5.0~10.0 mm·h-1的降水区间。FY4B-QPE则在<1.0 mm·h-1区间范围内低估, 而2.0 mm·h-1以上区间存在高估, 尤其是在2.0~12.5 mm·h-1和20~30 mm·h-1的降水区间高估更为显著。ERA5与Radar-QPE类似, 但是没有明显的次峰值。总体而言, Radar-QPE和ERA5高估了第一个峰值的降水量, 低估了5.0 mm·h-1区间以上的降水量。FY4B-QPE低估了<1.0 mm·h-1区间的降水量, 高估了2.0 mm·h-1以上区间的降水量。
图10 暴雨期间AWS和各降水产品的小时降水量PDF曲线

Fig.10 Hourly precipitation PDF curve of AWS and each precipitation product during rainstorm

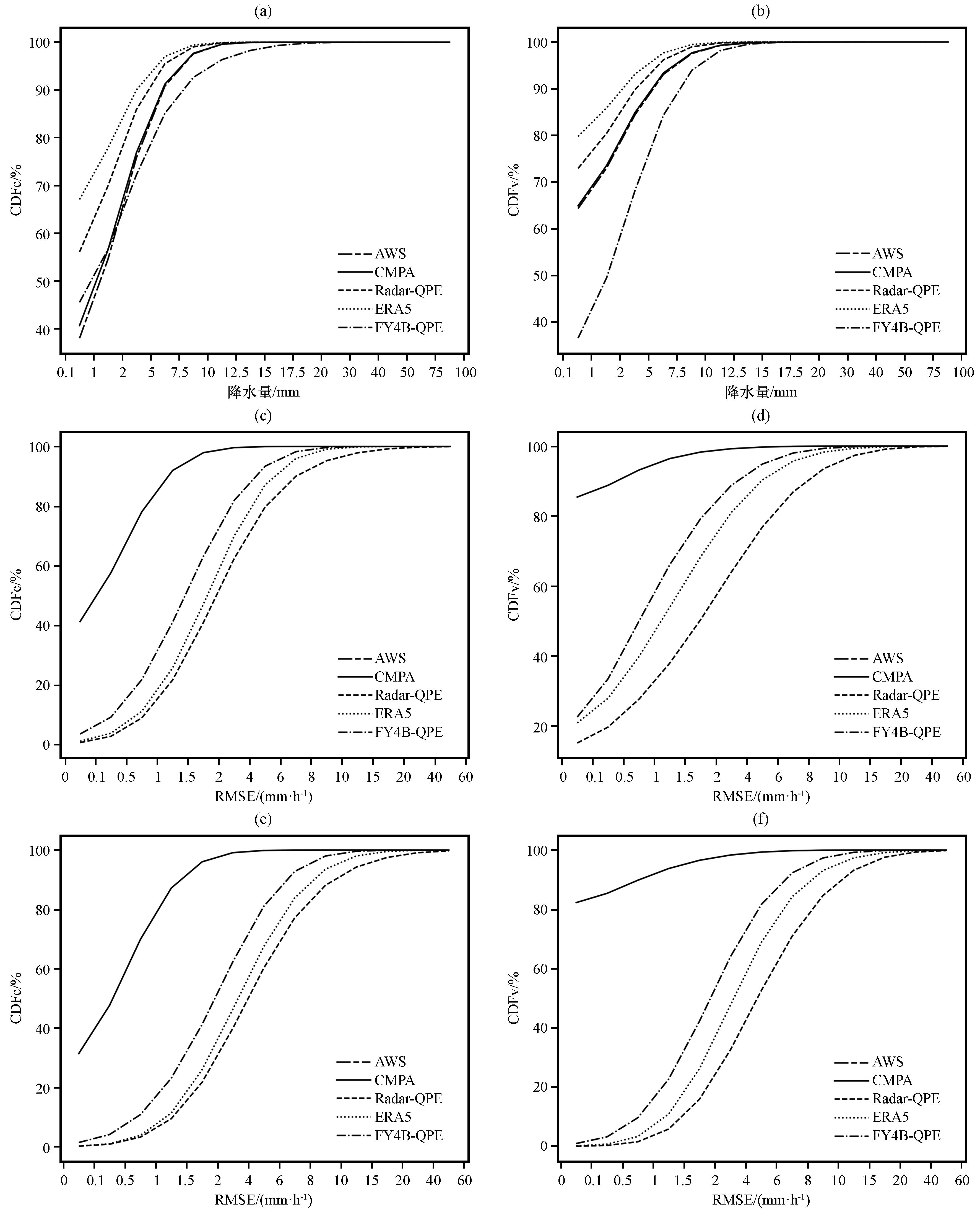
CDF揭示了各降水产品对降水事件的灵敏度(Chen et al, 2016)(图11), 图11(a)显示, CMPA与AWS的CDFc相似, 表示其在捕捉不同降水强度方面表现出色。Radar-QPE和ERA5显著高于AWS, 并以最快速度达到100%, 表明该两种产品对于10 mm·h-1以下的小时降水量存在明显偏差。FY4B-QPE在小于2.0 mm·h-1雨强时的CDFc低于AWS, 2.0 mm·h-1雨强以上则高于AWS, 反映出其对小量级降水易低估, 同时高估较大量级降水, 且不同站点之间差异较大。CDFv显示[图11(b)], CMPA与AWS一致, 而Radar-QPE和ERA5的CDFv位于AWS的左侧, 2.0 mm·h-1以内的降水占总降水的80%以上。FY4B-QPE的CDFv位于AWS的右侧, 6.0 mm·h-1以内的降水占80%。表明Radar-QPE和ERA5的小量级降水对总降水贡献大, 而FY4B-QPE较大量级的降水对总降水量贡献大。
图11 暴雨期间逐时降水的CDFc和CDFv(a)、 (b)为AWS和各降水产品降水量的CDFc、 CDFv; (c)、 (d)为各降水产品RMSE的CDFc、 CDFv; (e)、 (f)为降水核心区各降水产品的RMSE的CDFc、 CDFv

Fig.11 CDFc and CDFv of hourly precipitation during rainstorm.(a) and (b) are CDFc and CDFv of AWS and precipitation of each precipitation product; (c) and (d) are CDFc and CDFv of each precipitation product RMSE; (e) and (f) are CDFc and CDFv of RMSE of precipitation products in precipitation core area

图11(c)显示了各降水产品RMSE的CDFc, CMPA的RMSE分布最为集中(曲线最为陡峭), 误差范围在1.5 mm·h-1以内, 且迅速达到100%, 表明其误差较为一致。相比之下, Radar-QPE、 FY4B-QPE和ERA5的曲线相似, 且较为平缓, 误差主要集中在8.0 mm·h-1区间以内, 而Radar-QPE的误差分布延伸至15.0 mm·h-1区间, 说明这三种产品在不同站点上的误差差异较大。图11(d)显示了各降水产品RMSE的CDFv曲线, CMPA在时间维度上的误差也相对较小, 表现出较高一致性, 而其他三种产品的时间维度误差较为分散, 波动较大。降水核心区的RMSE的CDFc、 CDFv[图11(e)、 (f)]显示出与整个降水区类似的趋势, 但核心区的误差范围有所增大。
总体而言, CMPA在降水量的时空一致性上性能最优, 且RMSE较为稳定。ERA5和Radar-QPE在降水一致性上优于FY4B-QPE, 但三者的RMSE时空分布一致性较差, 误差波动较大。
图12展示了暴雨期间各降水产品最大小时雨强的PDF和空间分布结构。从图12(a)可以看出, 不同降水产品的小时降水量在不同范围内的分布情况具有显著差异。AWS的最大小时降水量峰值集中在<1.0 mm·h-1和2.0~5.0 mm·h-1, 占比超过20%, 同时在20.0~30.0 mm·h-1存在次峰值。CMPA与AWS基本一致, 对于>10.0 mm·h-1以上区间的降水强度呈递减趋势, 且变化平缓。Radar-QPE的峰值集中在2.0~5.0 mm·h-1, 占比超过35%, 表明此区间是Radar-QPE最频繁的降水强度, 在20.0~30.0 mm·h-1存在次峰值, 但是占比低于5%。FY4B-QPE数据分布较为分散, 峰值在5.0 mm·h-1, 同时在20.0~50.0 mm·h-1范围也显示出较高的概率, 表明FY4B-QPE高估了这一范围的降水强度。ERA5的峰值集中在2.0~5.0 mm·h-1, PDF高达40%以上, 表明ERA5数据小时降水量多集中在这个区间。随着降水强度的增加, ERA5的PDF快速下降, 很难反映出在10.0 mm·h-1以上区间强度的降水。
图12 暴雨期间AWS和各降水产品最大小时降水量PDF及其空间分布(a) PDF, (b)~(f)分别为AWS、 CMPA、 Radar-QPE、 FY4B-QPE、 ERA5的空间分布(单位: mm·h-1

Fig.12 PDF and the spatial distribution of maximum rainfall intensity of AWS and each precipitation product during rainstorm.(a) PDF, (b)~(f) indicate the spatial distribution of AWS, CMPA, Radar-QPE, FY4B-QPE, and ERA5 respectively (unit: mm·h-1

从最大小时降水量的空间分布结构[图12(b)]来看, CMPA、 Radar-QPE与AWS的分布较为相似。CMPA由于其空间分辨率更高可以比AWS反映更多的降水细节。Radar-QPE低估了降水核心区的小时降水量, 尤其是20.0 mm·h-1以上区间的区域偏小, 在降水核心区外Radar-QPE与AWS结果吻合较好。FY4B-QPE小时降水量分布明显偏大, 而ERA5的小时降水量分布显著偏小, 两者对降水核心区的小时降水量估计存在较大偏差。FY4B-QPE对这种极端降水的捕获能力较弱, 原因在于其基于红外遥感数据进行反演计算, 对流云系发展较强时容易高估降水强度(Li et al, 2021)。ERA5采用模式预报, 受限于子网格对流参数化方案, 无法有效捕捉强对流活动, 导致其对强降水尤其是对流降水的监测性能较差(Wu et al, 2022)。

4 结论

本文以AWS实况降水观测数据, 对CMPA、 Radar-QPE、 FY4B-QPE、 ERA5四种降水产品在“7·22”特大暴雨期间的极端降水监测能力进行研究, 主要结论如下:
(1) 降水空间特征方面: 各降水产品能够捕捉到暴雨的总体分布, 但在降水核心区和极端降水捕获上存在一定偏差。CMPA最能准确反映暴雨的空间分布与极值, ME仅为0.002 mm·h-1、 RMSE低于1.0 mm·h-1、 TS>0.85、 CORR高于0.9, 同时rBIAS<10%, KGE集中在0.95以上, 空间变异性最小。相比之下, Radar-QPE能够捕捉暴雨区位置, 但低估降水核心区的降水量, RMSE>3.0 mm·h-1, 虽然TS和CORR值较高, 但表现出一定的空间变异性。FY4B-QPE在降水核心区明显高估降水, 而ERA5则表现出低估核心区降水、 高估其他区域降水的现象。
(2) 降水时间特征方面: CMPA准确捕获了区域平均小时降水量的时间演变, 各项评价指标稳定且优于其他降水产品。Radar-QPE在强降水期间有所低估, 且误差随着降水强度的增加显著增大, 降水核心区平均RMSE为1.329 mm·h-1, CORR为0.96。FY4B-QPE和ERA5的误差相对较大, 尤其在强降水期间, FY4B-QPE在降水核心区RMSE>6.0 mm·h-1。尽管各产品在降水核心区的TS值有所提高, FY4B-QPE和ERA5在强降水开始前高估了降水范围, 并且FY4B-QPE在降水后期对实际范围有所低估。在不同雨强方面, CMPA对超过20 mm·h-1的强降水估计有所不足, 而Radar-QPE、 FY4B-QPE和ERA5随着降水强度的增加, 误差显著增大, 尤其对20 mm·h-1以上的降水效果较差。
(3) 降水时空综合偏差特征方面: AWS的经向和纬向降水均呈双峰分布, 第一峰值位于107.0°E, 35.1°N, 且主要降水时段在7月22日12:00以后, 没有明显的东西或南北向传播。CMPA与AWS的降水分布最为接近, 无明显日变化。Radar-QPE虽然在经、 纬向的峰值位置与AWS一致, 但整体存在负偏差, 尤其在降水高峰期间。FY4B-QPE则呈现单峰分布, 经向和纬向峰值分别偏东0.5°和偏北0.1°, 对第一峰值表现为正偏差, 但对次峰值则为负偏差, 时间上提前2 h以上。ERA5没有显著的经向峰值, 纬向偏北1.0°, 表现为负偏差, 与AWS的降水时段基本一致。
(4) 降水概率特征方面: CMPA与AWS的PDF表现出较高一致性, Radar-QPE和ERA5高估了第一个峰值的降水量, 而低估了5.0 mm·h-1以上的降水量。FY4B-QPE在<1.0 mm·h-1的降水量上低估明显, 但对>2.0 mm·h-1区间的降水概率有高估现象。CMPA在时空一致性上性能最优, 且RMSE波动较小。尽管ERA5和Radar-QPE在降水一致性上表现优于FY4B-QPE, 但三者的RMSE时空分布一致性较差, 误差波动较大。CMPA与AWS的最大小时降水量高度一致, 而Radar-QPE对2.0~5.0 mm·h-1区间的降水量表现较好, 但对强降水估计不足。FY4B-QPE高估了20.0~50.0 mm·h-1区间的降水强度, ERA5的降水强度分布偏低, 难以反映10.0 mm·h-1以上区间的降水。
尽管本文通过对比多个高时空分辨率降水数据在“7·22”特大暴雨事件中的表现, 对各降水产品对暴雨的监测能力提供了重要参考, 但仍存在一些局限性: (1)研究只针对本次特大暴雨事件, 没有涵盖其他类型的降水事件或较长事件尺度的研究, 这限制了研究结果的普适性。(2)西北地区地形地貌复杂、 自动观测站点稀疏、 气候背景复杂等众多因素, 可能对雷达、 卫星等估测降水结果产生误差, 但本文并未深入探究这些误差来源及影响。
单次事件的结论存在偶然性, 但本文通过多指标、 多时空维度的分析, 为同类极端降水事件的监测提供了参考依据。未来研究将增加其他类型的降水事件的对比分析, 以验证结论的普适性; 同时结合地形高程、 站点密度等数据, 量化地形和观测稀疏性对雷达、 卫星反演误差的影响; 并且将研究扩展到高原边坡复杂地形区, 进一步验证产品的适用性, 分析不同降水产品在驱动水文模型模拟山洪过程中的适用性, 提高对暴雨事件的监测预警能力和灾害防御能力。
Chen S Hong Y Kulie M, et al, 2016.Comparison of snowfall estimates from the NASA CloudSat Cloud Profiling Radar and NOAA/NSSL multi-Radar multi-sensor system[J].Journal of Hydrology, 541(B): 862-872.DOI: 10.1016/j.jhydrol.2016. 07.047 .

Collier C G Larke P R May B R2010.A weather radar correction procedure for real-time estimation of surface rainfall[J].Quarterly Journal of the Royal Meteorological Society109(461): 589-608.DOI: 10.1002/qj.49710946110 .

Estelle D C2013.Optimizing satellite-based precipitation estimation for nowcasting of rainfall and flash flood events over the south African domain[J].Remote Sensing5(11): 5702-5724.DOI: 10.3390/rs5115702 .

Fang J Yang W Luan Y, et al, 2019.Evaluation of the TRMM 3B42 and GPM IMERG products for extreme precipitation analysis over China[J].Atmospheric Research223(7): 24-38.DOI: 10.1016/j.atmosres.2019.03.001 .

Fischer E M Knutti R2014.Detection of spatially aggregated changes in temperature and precipitation extremes[J].Geophysical Research Letters41(2): 547-554.DOI: 10.1002/2013GL058499 .

Gu X Z Ye L Xin Q, et al, 2022.Extreme precipitation in China: a review on statistical methods and applications[J].Advances in Water Resources163(5): 104-144.DOI: 10.1016/j.advwatres.2022.104144 .

Guerreiro S B Fowler H J Barbero R, et al, 2018.Detection of continental-scale intensification of hourly rainfall extremes[J].Nature Climate Change8(9): 803-807.DOI: 10.1038/s41558-018-0245-3 .

Hong Y Tang G Ma Y, et al, 2019.Remote sensing precipitation: sensors, retrievals, validations, and applications[M].In Observation and Measurement of Ecohydrological Processes, Springer: Cham, Switzerland, 107-128.

Jiang Q Li W Y Fan Z D, et al, 2021.Evaluation of the ERA5 reanalysis precipitation dataset over Chinese mainland[J].Journal of Hydrology595(4): 125660.DOI: 10.1016/j.jhydrol. 2020.125660 .

Li X Yang Y Mi J, et al, 2021.Leveraging machine learning for quantitative precipitation estimation from Fengyun-4 geostationary observations and ground meteorological measurements[J].Copernicus GmbH14(11): 7007-7023.DOI: 10.5194/AMT-14-7007-2021 .

Myhre G Alterskjær K Stjern C W, et al, 2019.Frequency of extreme precipitation increases extensively with event rareness under global warming[J].Scientific Reports, 9: 16063.DOI: 10.1038/s41598-019-52277-4 .

O’Gorman P A2015.Precipitation extremes under climate change[J].Current Climate Change Reports1(2): 49-59.DOI: 10. 1007/s40641-015-0009-3 .

O'Gorman P A Schneider T2009.The physical basis for increases in precipitation extremes in simulations of 21st-century climate change[J].Proceedings of the National Academy of Sciences106(35): 14773-14777.DOI: 10.1073/pnas.0907610106 .

Özdemir E T Yavuz V Deniz A, et al, 2019.Squall line over Antalya: A case study of the events of 25 October 2014[J].Weather74(4): S1-S6.DOI: 10.1002/wea.3459 .

Pang Z H Zhang Y Shi C X, et al, 2023.A comprehensive assessment of multiple high-resolution precipitation grid products for monitoring heavy rainfall during the “7·20” extreme rainstorm event in China[J].Remote Sensing15(21): 5255.DOI: 10. 3390/rs15215255 .

Papalexiou S M Montanari A2019.Global and regional increase of precipitation extremes under global warming[J].Water Resources Research55(6): 4901-4914.DOI: 10.1029/2018WR024067 .

Prakash S Mitra A K Pai D S, et al, 2016.From TRMM to GPM: how well can heavy rainfall be detected from space?[J].Advances in Water Resources88(2): 1-7.DOI: 10.1016/j.advwatres.2015.11.008 .

Sun Q Miao C Duan Q, et al, 2017.A review of global precipitation data sets: data sources, estimation, and intercomparisons[J].Reviews of Geophysics56(1): 79-107.DOI: 10.1002/2017RG000574 .

Tabari H Hosseinzadehtalaei P AghaKouchak A, et al, 2019.Latitudinal heterogeneity and hotspots of uncertainty in projected extreme precipitation[J].Environmental Research Letters14(12): 124032.DOI: 10.1088/1748-9326/ab55fd .

Tarek M Brissette F P Arsenault R2020.Evaluation of the ERA5 reanalysis as a potential reference dataset for hydrological modelling over North America[J].Hydrology and Earth System Sciences24(5): 2527-2544.DOI: 10.5194/hess-24-2527-2020 .

Trenberth K Fasullo J Shepherd T2015.Attribution of climate extreme events[J].Nature Climate Change5(8): 725-730.DOI: 10.1038/nclimate2657 .

Vila D A Goncalves L G G Toll D L, et al, 2009.Statistical evaluation of combined daily gauge observations and rainfall satellite estimates over continental south America[J].Journal of Hydrometeorology10(2): 533-543.DOI: 10.1175/2008jhm1048.1 .

Villarini G Krajewski W F Ciach G J, et al, 2009.Product-error-driven generator of probable rainfall conditioned on WSR-88D precipitation estimates[J].Water Resources Research45(1): 58-69.DOI: 10.1029/2008WR006 946 .

Wen Y Cao Q Kirstetter P E, et al, 2013.Incorporating NASA spaceborne Radar data into NOAA National Mosaic QPE System for improved precipitation measurement: a physically based VPR identification and enhancement method[J].Journal of Hydrometeorology14(4): 1293-1307.DOI: 10.1175/jhm-d-12-0106.1 .

Westra S Fowler H J Evans J P, et al, 2014.Future changes to the intensity and frequency of short-duration extreme rainfall[J].Reviews of Geophysics52(3): 522-555.DOI: 10.1002/2014RG000464 .

Wu G Qin S Mao Y, et al, 2022.Validation of precipitation events in ERA5 to gauge observations during warm seasons over eastern China[J].Journal of Hydrometeorology23(5): 807-822.DOI: 10.1175/jhm-d-21-0195.1 .

Wu W X Zou H B Shan J S, et al, 2018.A dynamical Z-R relationship for precipitation estimation based on Radar echo-top height classification[J].Advances in Meteorology2018(1): 1-11.DOI: 10.1155/2018/8202031 .

Xie P P Joyce R Wu S R, et al, 2017.Reprocessed, bias-Corrected CMORPH global high-resolution precipitation esti‐mates from 1998[J].Journal of Hydrometeorology18(6): 1617-1641.DOI: 10.1175/jhm-d-16-0168.1 .

Zhang A Xiao L Min C, et al, 2019.Evaluation of latest GPM-Era high-resolution satellite precipitation products during the May 2017 Guangdong extreme rainfall event[J].Atmospheric Research216(2): 76-85.DOI: 10.1016/j.atmosres.2018. 09.018 .

Zhang X B Zwiers F W Hegerl G C, et al, 2007.Detection of human influence on twentieth-century precipitation trends[J].Nature448(7152): 461-465.DOI: 10.1038/nature06025 .

Zhong L Yang R Chen L, et al, 2017.Combined space and ground radars for improving quantitative precipitation estimations in the eastern downstream region of the Tibetan Plateau.Part I: variability in the vertical structure of precipitation in ChuanYu analyzed from long-term spaceborne observations by TRMM PR[J].Journal of Applied Meteorology and Climatology56(8): 2259-2274.DOI: 10.1175/jamc-d-16-0382.1 .

陈海山, 范苏丹, 张新华, 2009.中国近50 a极端降水事件变化特征的季节性差异[J].大气科学学报32(6): 744-751.DOI: 10.3969/j.issn.1674-7097.2009.06.003.Chen H S

Fan S D Zhang X H, et al, 2009.Seasonal differences of variation characteristics of extrame precipitation events over China in the last 50 years[J].Transactions of Amospheric Sciences32(6): 744-751.DOI: 10.3969/j.issn.1674-7097.2009.06.003 .

郭润霞, 刘新伟, 王一丞, 等, 2024.CLDAS 气温实况融合产品在兰州和武威的检验评估及偏差订正[J].干旱气象42(1): 146-155.DOI: 10.11755/j.issn.1006-7639(2024)-01-0146. Guo R X

Liu X W Wang Y C, et al, 2024.Verification and correction of 2 m temperature merging product of CLDAS in Lanzhou and Wuwei, Gansu Province[J].Journal of Arid Meteorology42(1): 146-155.DOI: 10.11755/j.issn.1006-7639(2024)-01-0146 .

韩丰, 龙明盛, 李月安, 等, 2019.循环神经网络在雷达临近预报中的应用[J].应用气象学报30(1): 61-69.DOI: 10.11898/1001-7313.20190106.Han F

Long M S Li Y A, et al, 2019.The application of recurrent neural network to nowcasting[J].Journal of Applied Meteorological Science30(1): 61-69.DOI: 10.11898/1001-7313.20190106 .

黄武斌, 伏晶, 郭润霞, 等, 2025.多源降水数据在夏河县果宁村山洪模拟中的精度评估[J].高原气象44(1): 110-121.DOI: 10.7522/j.issn.1000-0534.2024.00065.Hang W B

Fu J Guo R X, et al, 2024.Accuracy evaluation of multi-source precipitation data in mountain flood simulation in Guoning Village, Xiahe County[J].Plateau Meteorology44(1): 110-121.DOI: 10.7522/j.issn.1000-0534.2024.00065 ..

黄武斌, 王研峰, 刘娜, 等, 2023.甘肃省暖季小时降水变化特征[J].沙漠与绿洲气象17(4): 96-101.DOI: 10.12057/j.issn.1002-0799.2023.04.013. Huang W B

Wang Y F Liu N, et al, 2023.Spatial and temporal distribution of hourly precipitation in warm season in Gansu Province[J].Desert and Oasis Meteorology17(4): 96-101.DOI: 10.12057/j.issn.1002-0799.2023.04.013 .

黄晓龙, 吴薇, 许剑辉, 等, 2023.ERA5-Land 降水再分析资料在中国西南地区的适用性评估[J].高原气象42(6): 1562-1575.DOI: 10.7522/j.issn.1000-0534.2023.00012.Huang X L

Wu W Xu J H, et al, 2023.The applicability performance of the ERA5-Land precipitation data‐sets in southwest China[J]. Plateau Meteorology42(6): 1562-1575.DOI: 10.7522/j.issn.1000-0534.2023.00012 .

黄玉霞, 王宝鉴, 黄武斌, 等, 2019.我国西北暴雨的研究进展[J].暴雨灾害38(5): 515-525.DOI: 10.3969/j.issn.1004-9045.2019.05.013.Hang Y X

Wang B J Hang W B, et al, 2019.A review on rainstorm research in northwest China[J].Torrential Rain and Disasters38(5): 515-525.DOI: 10.3969/j.issn.1004-9045.2019.05.013 .

李林, 张子曰, 范雪波, 等, 2018.基于短时强降水特征的北京暴雨蓝色预警指标研究[J].气候与环境研究23(3): 268-274.DOI: 10.3878/j.issn.1006-9585.2017.17089. Li L

Zhang Z Y Fan X B, et al, 2018.A study on the blue rainstorm warning index based on characteristics of short-period heavy rainfall in Beijing[J].Climatic and Environmental Research23(3): 268-274.DOI: 10.3878/j.issn.1006-9585.2017.17089 .

刘松楠, 汪君, 王会军, 2021.多源降水在门头沟山洪模拟中的应用及比较[J].气象47(7): 817-829.DOI: 10.7519/j.issn.1000-0526.2021.07.005. Li S N

Wang J Wang H J2021.Application and comparison of multi-source rainfall data in the simulation of flash flood in Mentougou of Bejjing[J].Meteorological Monthly47(7): 817-829.DOI: 10.7519/j.issn.1000-0526.2021.07.005 .

刘新伟, 王澄海, 郭润霞, 等, 2021.1981-2018 年甘肃省极端暴雨天气过程的气候与环流特征[J].干旱气象39(5): 750-758.DOI: 10.11755/j.issn.1006-7639(2021)-05-0750.Liu X W

Wang C H Guo R X, et al, 2021.Climate and circulation characteristics of extreme rainstorm processes in Gansu from 1981 to 2018[J].Journal of Arid Meteorology39(5): 750-758.DOI: 10.11755/j.issn.1006-7639(2021)-05-0750 .

卢珊, 胡泽勇, 王百朋, 等, 2020.近 56 年中国极端降水事件的时空变化格局[J].高原气象39(4): 683-693.DOI: 10.7522/j.issn.1000-0534.2019.00058.Lu S

Hu Z Y Wang B P, et al, 2020.Spatio-temporal patterns of extreme precipitation events over China in recent 56 years[J].Plateau Meteorology39(4): 683-693.DOI: 10.7522/j.issn.1000-0534.2019.00058 .

吕润清, 李响, 2021.ERA-Interim和ERA5再分析数据在江苏区域的适用性对比研究[J].海洋预报38(4): 27-37.

doi: 10.11737/j.issn.1003-0239.2021.04.004. L ü R Q, Li X2021.Comparison between the applicability of ERA-Interim and ERA5 reanalysis in Jiangsu Province[J].Marine Forecasts38(4): 27-37.DOI: 10.11737/j.issn.1003-0239.2021.04.004 .

麦杞莹, 谭学志, 吴欣欣, 等, 2024.多个高时空分辨率降水产品在珠江三角洲地区的多尺度精度评估[J].中山大学学报(自然科学版)(中英文)63(3): 21-31.DOI: 10.13471/j.cnki.acta.snus.2022D083. Mai Q Y

Tan X Z Wu X X, et al, 2024.Multi-scale accuracy assessment of multiple high spatial and temporal resolution precipitation products in the Pearl River Delta region[J].Acta Scientiarum Naturalium Universitatis Sunyatseni63(3): 21-31.DOI: 10.13471/j.cnki.acta.snus.2022D083 .

潘旸, 谷军霞, 宇婧婧, 等, 2018.中国区域高分辨率多源降水观测产品的融合方法试验[J].气象学报76(5): 755-766.DOI: 10.11676/qxxb2018.034.Pan Y

Cu J X Yu J J, et al, 2018.Test of merging methods for multi source observed precipitation products at high resolution over China[J].Acta Mereorologica Sinica76(5): 755-766.DOI: 10.11676/qxxb2018.034 .

师春香, 潘旸, 谷军霞, 等, 2019.多源气象数据融合格点实况产品研制进展[J].气象学报77(4): 774-783.DOI: 10.11676/qxxb2019.043. Shi C X

Pan Y Gu J X, et al, 2019.A review of multi source meteorological data fusion products[J].Acta Meteorologica Sinica77(4): 774-783.DOI: 10.11676/qxxb2019. 043 .

宋海清, 朱仲元, 李云鹏, 2021.陆面同化及再分析降水资料在内蒙古地区的适用性[J].干旱区研究38(6): 1624-1636.DOI: 10.13866/j.azr.2021.06.14.Song H Q

Zhu Z Y Li Y P2021.Validation of land data assimilation and reanalysisprecipitation datasets over Inner Mongolia[J].Arid Zone Research38(6): 1624-1636.DOI: 10.13866/j.azr.2021.06.14 .

孙继松, 雷蕾, 于波, 等, 2015.近10 年北京地区极端暴雨事件的基本特征[J].气象学报73(4): 609-623.DOI: 10.11676/qxxb2015.044.Sun J S

Lei L Yu B, et al, 2015.The fundamental features of the extreme severe rain events in the recent 10 years in the Beijing area[J].Acta Meteorologica Sinica73(4): 609-623.DOI: 10.11676/qxxb2015.044 .

孙帅, 师春香, 潘旸, 等, 2020.中国区域三源融合降水产品的改进效果评估[J].水文40(6): 10-15+23.DOI: 10.19797/j.cnki.1000-0852.20190178.Sun S

Shi C X Pan Y, et al, 2020.The improved effects evaluation of three-source merged of precipitation products in China[J].Journal of China Hydrology40(6): 10-15+23.DOI: 10.19797/j.cnki.1000-0852.20190178 .

王一丞, 刘维成, 宋兴宇, 等, 2023.卫星降水产品在陇东2022年7月特大暴雨事件中的适用性评估[J].干旱气象41(6): 997-1007.DOI: 10.11755/j.issn.1006-7639(2023)-06-0997. Wang Y C

Liu W C Song X Y, et al, 2023.Applicability evaluation of satellite-derived precipitation products in the torrential heavy rainfall event in East Gansu in July 2022[J].Journal of Arid Meteorology41(6): 997-1007.DOI: 10.11755/j.issn.1006-7639(2023)-06-0997 .

吴薇, 黄晓龙, 徐晓莉, 等, 2021.融合降水实况分析产品在四川地区的适用性评估[J].沙漠与绿洲气象15(4): 1-8.DOI: 10.12057/j.issn.1002-0799.2021.04.001. Wu W

Huang X L Xu X L, et al, 2021.Application assessment of merged precipitation analysis products in Sichuan Province[J].Desert and Oasis Meteorology15(4): 1-8.DOI: 10.12057/j.issn.1002-0799.2021.04.001 .

徐金霞, 王劲廷, 徐沅鑫, 等, 2017.一次特大暴雨诱发的山洪地质灾害淹没模拟分析[J].高原山地气象研究37(1): 54-60.DOI: 10.3969/i.issn.1674-2184.2017.01.009. Xu J X

Wang J T Xu Y X, et al, 2017.A simulation of extreme rainfall caused torrential flood inundation[J].Plateau and Mountain Meteorology Research37(1): 54-60.DOI: 10.3969/i.issn.1674-2184.2017.01.009 .

杨秀梅, 孔祥伟, 王勇, 等, 2023.一次干旱区极端暴雨天气的中尺度特征分析[J].高原气象42(4): 978-992.DOI: 10.7522/j.issn.1000-0534.2022.00050.Yang X M

Kong X W Wang Y, et al, 2023.Analysis on mesoscale characteristics of an extreme rainstorm in arid areas[J].Plateau Meteorology42(4): 978-992.DOI: 10.7522/j.issn.1000-0534.2022.00050 .

袁飞, 赵晶晶, 任立良, 等, 2013.TRMM 多卫星测雨数据在赣江上游径流模拟中的应用[J].天津大学学报(自然科学与工程技术版)46(7): 611-616.DOI: 10.11784/tdxb20130707.Yuan F

Zhao J J Ren L L, et al, 2013.Streamflow simulation in the upper ganjiang river basin using the TRMM multi-satellite precipitation data[J].Journal of Tianjin University (Science and Technology)46(7): 611-616.DOI: 10.11784/tdxb20130707 .

岳书平, 闫业超, 张树文, 等, 2021.基于ERA5-LAND的中国东北地区近地表土壤冻融状态时空变化特征[J].地理学报76(11): 2765-2779.DOI: 10.11821/dlxb202111012. Yue S P

Yan Y C Zhang S W, et al, 2021.Spatiotemporal variations of soil freeze-thaw state in Northeast China based on the ERA5-LAND dataset[J].Acta Geographica Sinica76(11): 2765-2779.DOI: 10.11821/dlxb202111012 .

张奡祺, 傅云飞, 2018.GPM卫星双频测雨雷达探测降水结构的个例特征分析[J].大气科学42(1): 33-51.DOI: 10.3878/j.issn.1006-9895.1705.16220.Zhang A Q

Fu Y F2018.The structural characteristics of precipitation cases detected by dual-frequency Radar of GPM satellite[J].Chinese Journal of Atmospheric Sciences42 (1): 33-51.DOI: 10.3878/j.issn.1006-9895.1705.16220 .

张君霞, 黄武斌, 王一丞, 等, 2024.河西走廊西部一次暴雨过程降水特征及极端性分析[J].高原气象43(1): 156-165.DOI: 10.7522/j.issn.1000-0534.2023.00036.Zhang J X

Hang W B Wang Y C, et al, 2024.Analysis on precipitation extremes and characteristics of the rainstorm event in the west of Hexi Corredor[J].Plateau Meteorology43(1): 156-165.DOI: 10.7522/j.issn.1000-0534.2023.00036 .

张君霞, 黄武斌, 杨秀梅, 等, 2022.陇东半干旱区一次特大暴雨事件的降水极端性分析[J].干旱气象40(6): 922-932.DOI: 10.11755/j.issn.1006-7639(2022)-06-0922. Zhang J X

Hang W B Yang X M, et al, 2022.Analysis on precipitation extremity of a torrential rain event in semi-arid region of eastern Gansu[J].Journal of Arid Meteorology40(6): 922-932.DOI: 10.11755/j.issn.1006-7639(2022)-06-0922 .

张茜茹, 陈益玲, 李长军, 等, 2023.两种融合降水实况分析产品在山东地区的适用性评估[J].海洋气象学报43(2): 100⁃108.DOI: 10.19513/j.cnki.issn2096-3599.2023.02.09.Zhang Q R

Chen Y L Li C J, et al, 2023.Applicability evaluation of two merged precipitation analysis products in Shandong[J].Journal of Marine Meteorology43(2): 100-108.DOI: 10.19513/j.cnki.issn2096-3599.2023.02.09 .

张之贤, 张强, 赵庆云, 等, 2013.“8·8”舟曲特大山洪泥石流灾害天气特征分析[J].高原气象32(1): 290-297.DOI: 10.7522/i.issn.1000-0534.2012.00028.Zhang Z X , ZhangQ, ZhaoQ Y, et al, 2013.Analyseson disaster weather characteristics of masssive mudslide in Zhouqu, Gansu on 8 August 2010[J].Plateau Meteorology, 32(1): 290-297.DOI: 10.7522/i.issn. 1000-0534.2012.00028 .

周金莲, 张家国, 吴涛, 等, 2022.长江中游梅雨锋极端暴雨过程中的边界层中尺度系统主要特征[J].气象48(8): 1007-1019.DOI: 10.7519/i.issn.1000-0526.2022.052801.Zhou J L

Zhang J G Wu T, et al, 2022.Characteristics of the mesoscale weather system producing extreme rainstorm in boundary laver during the Meiyu front over the middle reaches of Yangtze River[J].Meteorological Monthly48(8): 1007-1019.DOI: 10.7519/i.issn.1000-0526.2022.052801 .

文章导航

/