小兴安岭针阔叶混交林感热通量和潜热通量特征及影响因子研究

  • 孙鹏飞 , 1, 2, 3 ,
  • 曲哲 2 ,
  • 于增华 3, 4 ,
  • 袁潮 3 ,
  • 贾庆宇 , 1 ,
  • 赵旭龙 2 ,
  • 董星辰 2 ,
  • 马宏达 5
展开
  • 1. 中国气象局沈阳大气环境研究所,辽宁 沈阳 110166
  • 2. 黑龙江省伊春市气象局,黑龙江 伊春 153000
  • 3. 中国气象局东北冷涡研究重点开放实验室,辽宁 沈阳 110166
  • 4. 辽宁省气象灾害监测预警中心,辽宁 沈阳 110166
  • 5. 黑龙江省丰林县气象局,黑龙江 丰林 153036
贾庆宇(1978 -), 男, 辽宁人, 副研究员, 主要从事生态气象研究. E-mail:

孙鹏飞(1989 -), 男, 黑龙江人, 高级工程师, 主要从事灾害性天气、 生态气象研究. E-mail:

收稿日期: 2024-11-30

  修回日期: 2025-05-09

  网络出版日期: 2025-12-31

基金资助

国家重点研发计划项目(2022YFF0801300)

伊春市重点科技计划应用研究项目(R2024-2)

中国气象局沈阳大气环境研究所和辽宁省农业气象灾害重点实验室联合开放基金项目(2023SYIAEKFMS29)

Study on the Characteristics and Influencing Factors of Sensible Heat Flux and Latent Heat Flux in the Coniferous and Broad-leaved Mixed Forest of Lesser Khingan Mountains

  • Pengfei SUN , 1, 2, 3 ,
  • Zhe QU 2 ,
  • Zhenghua YU 3, 4 ,
  • Chao YUAN 3 ,
  • Qingyu JIA , 1 ,
  • Xulong ZHAO 2 ,
  • Xingchen DONG 2 ,
  • Hongda MA 5
Expand
  • 1. Institute of Atmospheric Environment,China Meteorological Administration,Shenyang 110166,Liaoning,China
  • 2. Yichun Meteorological Bureau,Yichun 153000,Heilongjiang,China
  • 3. Key open Laboratory of Northeast Cold Vortex Research,CMA,Shenyang 110166,Liaoning,China
  • 4. Liaoning Meteorological Disaster Monitoring and Early Warning Centre,Shenyang 110166,Liaoning,China
  • 5. Fenglin Meteorological Bureau,Fenglin 153036,Heilongjiang,China

Received date: 2024-11-30

  Revised date: 2025-05-09

  Online published: 2025-12-31

Copyright

© Editorial Department of Plateau Meteorology (CC BY-NC-ND)

摘要

小兴安岭位于中国东北部的温带季风气候区, 以针阔叶混交林为主, 拥有亚洲最大、 最完整的红松原始森林, 对区域气候有重要的调控作用。为探究小兴安岭针阔叶混交林感热通量(H)和潜热通量(LE)特征, 以及环境、生物因子对其的调控作用, 采用涡度相关法对五营国家气候观象台2007 - 2023年H和LE进行研究, 并构建结构方程模型对其影响因子进行详细分析。结果表明: 小兴安岭针阔叶混交林H和LE的年际变化有波动减少趋势, 但二者变化趋势不完全相同, 40 m高度处的H和LE年平均值分别为19.84±1.83 W·m-2和29.39±2.93 W·m-2, 50 m高度处的H和LE年平均值分别为22.71±1.29 W·m-2和31.76±1.07 W·m-2。H的峰值出现在4月, 次峰值出现在10月, 而LE的峰值出现在7月, 其中5 -9月LE大于H, 说明有效能量的分配在5 -9月以潜热为主, 其他月份以感热为主。30 min尺度能量闭合率为49%, 各月能量闭合率范围为32%~61%, 其中生长季和非生长季分别为53%和38%, 日尺度能量闭合率为52%。结构方程模型显示, 小兴安岭针阔叶混交林的热量传输过程主要受能量限制, 净辐射对H和LE有正影响, 空气温度、 饱和水气压差、 土壤体积含水量、 叶面积指数对H和LE的影响均是相反的。气候变化对H和LE有复杂的调控机制, 对不同气候年份分别构建结构方程模型, 可以对H和LE复杂年际变化做出部分解释。

本文引用格式

孙鹏飞 , 曲哲 , 于增华 , 袁潮 , 贾庆宇 , 赵旭龙 , 董星辰 , 马宏达 . 小兴安岭针阔叶混交林感热通量和潜热通量特征及影响因子研究[J]. 高原气象, 2026 , 45(2) : 428 -444 . DOI: 10.7522/j.issn.1000-0534.2025.00065

Abstract

Located in the temperate monsoon climate zone of northeast China, dominated by coniferous and broad-leaved mixed forest the Lesser Khingan Mountains has the largest and most complete primary forest of Korean pine in Asia, which plays an important role in regulating the regional climate.In order to explore the sensible heat flux (H) and latent heat flux (LE) characteristics of the coniferous and broad-leaved mixed forest in the Lesser Khingan Mountains and the regulation effect of environmental, biological factors on H and LE, H and LE at 40 m and 50 m altitude of Wuying National Climate Observatory from 2007 to 2023 were studied by using the eddy correlation method, and a structural equation model was constructed to analyze the influencing factors in detail.The results show that: The interannual variation of H and LE in the coniferous and broad-leaved mixed forest in the Lesser Khingan Mountains showed a decreasing trend, but the variation trend was not completely consistent.The annual average of H and LE at 40 m height was 19.84±1.83 W·m-2 and 29.39±2.93 W·m-2, respectively.The annual average of H and LE at 50 m altitude was 22.71±1.29 W·m-2 and 31.76±1.07 W·m-2, respectively.The peak of H appeared in April, the secondary peak in October, and the peak of LE appeared in July, in which LE was greater than H from May to September, indicating that the energy conversion was dominated by latent heat exchange in May to September, and by sensible heat exchange in other months.The 30-min scale energy closure rate was 49%, the monthly energy closure rate ranged from 32 to 61%, in which the growing season and non-growing season were 53% and 38%, respectively, and the daily scale energy closure rate was 52%.The structural equation model showed that the heat transfer process of the coniferous and broad-leaved mixed forest in the Lesser Khingan Mountains was mainly limited by energy.Net radiation had a positive effect on H and LE, while air temperature, vapor pressure deficit, soil volumetric water content and leaf area index had opposite effects on H and LE.Climate change has a complex regulatory mechanism on H and LE.The complex interannual variation of H and LE can be partially explained by constructing structural equation models for different years.

1 引言

陆面过程是下垫面-大气之间能量和物质交换的物理、 生物和化学过程, 它将地球各个圈层之间有机地联系起来, 对区域甚至全球气候的形成、 变化以及异常等都有着深刻的影响(周广胜和周莉, 2021张戈等, 2023晋伟等, 2023)。在陆地生态系统中, 森林作为最大的碳库, 可占陆地净初级生产力的70%, 在维护区域生态环境和全球碳平衡方面均起着极其重要和不可替代的作用(付玉杰等, 2022张颖等, 2022)。
森林植被改变了下垫面的物理特征, 直接影响辐射平衡、 热量平衡、 水量平衡和湍流通量等, 形成特有的小气候特征, 并与大气以湍流的形式不断进行热量和水分交换(郝珉辉等, 2022)。感热通量(H)和潜热通量(LE)是陆面过程中重要的能量分量, 对大气环流和区域气候有重要影响(解晋等, 2018Zou et al, 2018)。地表与大气之间的能量交换受环境和生物因素的影响(Wilson and Baldocchi, 2000), 能量分配过程具有复杂的调控机制(Li et al, 2009Chen et al, 2018)。感热通量和潜热通量的能量分配, 受到太阳辐射、 空气温度、 土壤温度、 土壤含水量、 饱和水气压差、 植被类型、 叶面积指数等多种因素的影响(Ma et al, 2019), 其中净辐射、 空气温度和饱和水汽压差是影响感热通量和潜热通量变化的主要因子(王维舟等, 2011), 土壤含水量和饱和水汽压差可以通过影响冠层导度对潜热通量和能量分配起调控作用(崔万晶等, 2021), 叶面积指数的增加会导致空气动力阻力降低, 影响地表净辐射再分配, 有利于增加陆地和大气之间的潜热传输(Chen et al, 2020)。
理论上, 森林生态系统的能量预算应该是完全平衡的, 即净辐射等于感热通量、潜热通量与土壤热通量及其他能量项之和。然而, 能量不闭合现象几乎是所有地表通量观测中存在的问题, 对于森林生态系统来说, 地表能量闭合系数仅在60%~90%之间(张新建等, 2011乔英等, 2023)。导致地表能量不闭合的原因有很多, 主要包括采样误差、 仪器偏差、 能量吸收项忽略、 高频低频损失、 平流、 夜间泄流等(王春林等, 2007周彦昭和李新, 2018)。此外, 还可能与通量源区面积不匹配、 湍流能的相位差等有关(原文文等、 2015)。目前国内对森林下垫面的能量平衡和水热通量的观测研究很多, 包括阔叶红松林(张新建等, 2011)、 常绿阔叶林(王春林等, 2007)、 暖温带落叶阔叶林(牛晓栋等, 2018)、 亚热带落叶阔叶林(孙恒, 2017)、 亚热带毛竹林(孙成等, 2015)、 天然次生林(颜廷武等, 2015)、 人工林(马景永, 2019)等不同类型的森林生态系统, 但对小兴安岭森林的研究还尚未报道。
小兴安岭地处北温带大陆性季风气候区, 属针阔混交林区, 拥有亚洲最大、 最完整的红松原始森林, 是松嫩平原和三江平原的生态屏障(孙鹏飞等, 2021), 对调控区域气候有重要作用。由于通量观测组网络稀疏, 小兴安岭林区仅有一个通量观测塔, 目前国内对于该下垫面基于长时间序列观测数据的水热通量演变的研究不足, 尤其缺少气候变化对其影响的机理研究, 因此对该地区感热通量和潜热通量的研究十分必要。
本研究选取五营国家气候观象台2007 -2023年涡度观测资料(部分年份数据缺测), 探讨小兴安岭针阔叶混交林不同时间尺度感热通量和潜热通量的变化特点, 并通过建立结构方程模型对其驱动因子进行分析, 以期提高对小兴安岭森林下垫面陆气水热交换规律的认识, 为进一步研究该下垫面陆面过程特征和影响机理提供基础。

2 资料处理与方法介绍

2.1 观测场地介绍

小兴安岭是亚洲东北部兴安岭山系西北-东南走向山脉之一, 黑龙江省丰林县五营镇位于小兴安岭南坡腹地, 森林总蓄积1123×104 m3, 森林覆盖率93.2%。五营属寒温带大陆性季风气候, 年平均气温为0.6 ℃, 年降水量为610.7 mm, 年日照时数为2196.0 h, 无霜期为117 d, ≥10 ℃的积温为2141.8 ℃, 全年以西南风和偏南风为主导风向。在针阔叶混交林中, 针叶树种主要是红松(Pinus koraiensis), 阔叶树种主要有紫椴(Tilia amurensis), 蒙古栎(Quercus mongolica), 水曲柳(Fraxinus mandshurica), 春榆(Ulmus japonica), 裂叶榆(Ulmus laciniata), 大青杨(Populus ussuriensis)及槭属的色木槭(Acer mono Maxim), 拧筋槭(Acer triflorum)等(孙鹏飞等, 2021)。
观测场地位于中国气象局五营森林生态监测站(48°14′2″N, 129°11′57″E, 海拔393 m), 地势东高西低, 生态站附近平均树高23~25 m(图1)。站内建有一个梯度观测场, 观测场面积为50 m×50 m, 设在次生针阔混交林中, 观测场内建有一个70 m高的梯度观测塔, 主要观测仪器包括梯度观测系统、 涡度相关系统(40 m和50 m两套设备)、 辐射观测系统以及土壤水、 热观测系统, 仪器具体信息见表1
图1 五营国家气候观象台梯度观测塔

Fig.1 Gradient observation tower of Wuying National Climate Observatory

表1 观测仪器概况

Table 1 Overview of observation instruments

观测项目 仪器型号(厂家) 架设高度/m 安装年份/年
空气温度、 湿度 HMP45c(芬兰Vaisala) 1.5、 10、 20、 30、 40、 50、 60 2013
风向、 风速 WS20(北京华创维想) 1.5、 10、 20、 30、 40、 50、 60 2013
超声风速仪 WindMaster(美国Gill) 40 2014
超声风速仪 CSAT3(美国Cambell) 50 2006
CO2/H2O分析仪 Li 7500RS(美国Li-Cor) 40 2014
CO2/H2O分析仪 Li 7500(美国Li-Cor) 50 2006
四分量辐射 CNR4(荷兰Kipp&Zonen) 40 2022
土壤热通量 HFP01(美国Hukseflux) -0.05 2022
土壤温度 Hydra(美国Stevens) -0.05、 -0.1、 -0.15 2022
土壤体积含水量 Hydra(美国Stevens) -0.05、 -0.1、 -0.15 2022

2.2 资料处理

本文使用Eddypro7.0将涡度测量系统的原始观测数据(频率为10 Hz)处理成30 min平均值, 剔除超合理值、 存在明显错误的数据, 然后进行线性去趋、 坐标旋转(二次旋转)、 时间滞后校正、 频率响应校正、 超声虚温校正以及密度效应校正(WPL), 最后进行平均量、 脉动量、 方差、 协方差、 通量等一系列湍流统计运算(Sun et al, 2023), 并根据稳定性检验和发展湍流条件检验对通量数据进行质量评估, 将数据质量分为0、 1、 2三级, 其中0级数据质量最好, 1级数据质量较好, 2级数据质量较差(贾庆宇等, 2023)。剔除连续缺失数据较多的年份, 50 m涡度数据剩余2007、 2008、 2009、 2010、 2015和2016年, 40 m涡度数据剩余2016、 2017、 2019、 2020、 2022和2023年。
由于涡动相关观测系统精度高、 响应快, 对环境要求严格, 容易在观测数据中存在观测误差, 并且降水、 结冰等环境因素也会使得仪器停止观测或出现异常观测, 产生数据缺失或噪声, 因此剔除降水前后1 h的潜热通量数据, 并使用Tovi2.9.1对30 min通量数据进行如下处理: (1)剔除仪器出错时的数据; (2)剔除数据质量2级的数据; (3)剔除超出合理范围内的数据(本文中感热通量和潜热通量阈值均设为-200~500 W·m-2); (4)剔除夜间弱湍流的观测数据, 通过移动点测试法(Moving Point Test, MPT)确定摩擦速度u*的阈值(Gu et al, 2005); (5)对经过质量控制的通量数据采用边际分布采样法(MDS)进行插补(Reichstein et al, 2005Isaac et al, 2017)。
资料还使用了五营国家气候观象台的气温和降水资料, 欧洲中期天气预报中心(ECMWF)提供的ERA5-Land逐小时净辐射、 叶面积指数和土壤体积含水量(距离梯度塔最近的格点48.23°N, 129.19°E)。

2.3 能量平衡

植被冠层的能量平衡方程为:
H + L E = R n - G - S - Q
式中: H为感热通量; LE为潜热通量; R n为净辐射; G为土壤热通量; S为冠层热储量; 当冠层高度超过8 m时(如森林生态系统), 不能忽略冠层热储量(王春林等, 2007), Q为附加能量源汇的总和, 包含如土壤呼吸、 土壤水分相变、 植物光合作用等各种物理过程吸收(释放)的能量(赵兴炳, 2021), 通常Q很小, 可以忽略。
由于土壤热通量板安置在地表下5 cm, 因此需要考虑通量板上方土壤热存储(Gs )的影响, 将土壤热通量进行相应订正(阳坤和王介民, 2008):
G z = G z r e f + G s
G s = r e f z ρ s c s T z t d z
式中: z代表土壤深度(向下为正); Gz ref)为任一参考位置(z ref)的热通量(单位: W·m-2); ρscs 为土壤热容量(单位: J·kg-1·K-1); Tz)为土壤温度(单位: K), 其中表层土壤温度T 0由向上长波辐射Rlup 计算(马千惠等, 2020):
R l u p = ε δ T 0 4
式中: δ=5.67×10-8 W·m-2·K-4为Stephan-Boltzmann常数; ε为地表长波发射率, 对森林本研究取0.97。
土壤热容量ρscs 的计算公式为:
ρ s c s = ρ d r y c d r y + ρ w c w θ
ρ d r y c d r y 1 - θ s a t × 2.1 × 10 6
ρ w c w 4.2 × 10 6
式中: ρ dry c dry为干土壤的热容量(单位: J·kg-1·K-1); ρ w c w为液态水的热容量(单位: J·kg-1·K-1); θ为土壤水分含量(单位: %); θ sat =0.7为土壤孔隙度(王文帆等, 2011)。
在评估能量闭合情况时, 常用的判据有剩余能量Re R e = R n - H - L E - G - S)和地表能量闭合率SEBR(Surface Energy Balance Ratio)(赵兴炳, 2021)。地表能量闭合率(SEBR), 是湍流热通量( H + L E)与地表有效能量( R n - G - S)的比值, 对两项做最小二乘法意义上的线性拟合, 拟合直线的斜率就是SEBR。

2.4 数据分析

文中大部分图形使用Origin-2019进行绘制。使用R4.41的linkET包绘制网络热图, 探讨感热、 潜热通量与环境、 生物因子的相关关系; 使用lavaan包建立结构方程模型SEM(Zhao et al, 2021), 分析环境、 生物因子对感热、 潜热通量的影响, 对建立的模型需要进行检验, 一般要求显著性检验p>0.05、 自由度df<5、 卡方与自由度的比值χ 2/df<5、 比较拟合指数CFI>0.9、 拟合优度指数GFI>0.9、 均方根误差近似值RMSEA<0.05、 标准化均方根残差SRMR<0.08等, 如果拟合度指标较差, 需要重新构建模型(裴薇薇等, 2022He et al, 2024席振华等, 2023)。由于辐射和土壤热通量是2022年开始观测的, 因此仅用2023年40 m高度处的涡度数据对能量平衡和感热通量、 潜热通量的影响因子进行分析。另外, 因2023年数据质量较好, 感热通量、 潜热通量的日变化和月变化同样使用2023年40 m高度处的涡度数据进行分析。根据净辐射、 气温、 降水量、 叶面积指数等的变化特征, 判断本研究区域针阔叶混交林生长季为4月15日至10月15日。

3 结果分析

3.1 感热通量、 潜热通量特征

3.1.1 感热通量、 潜热通量年变化

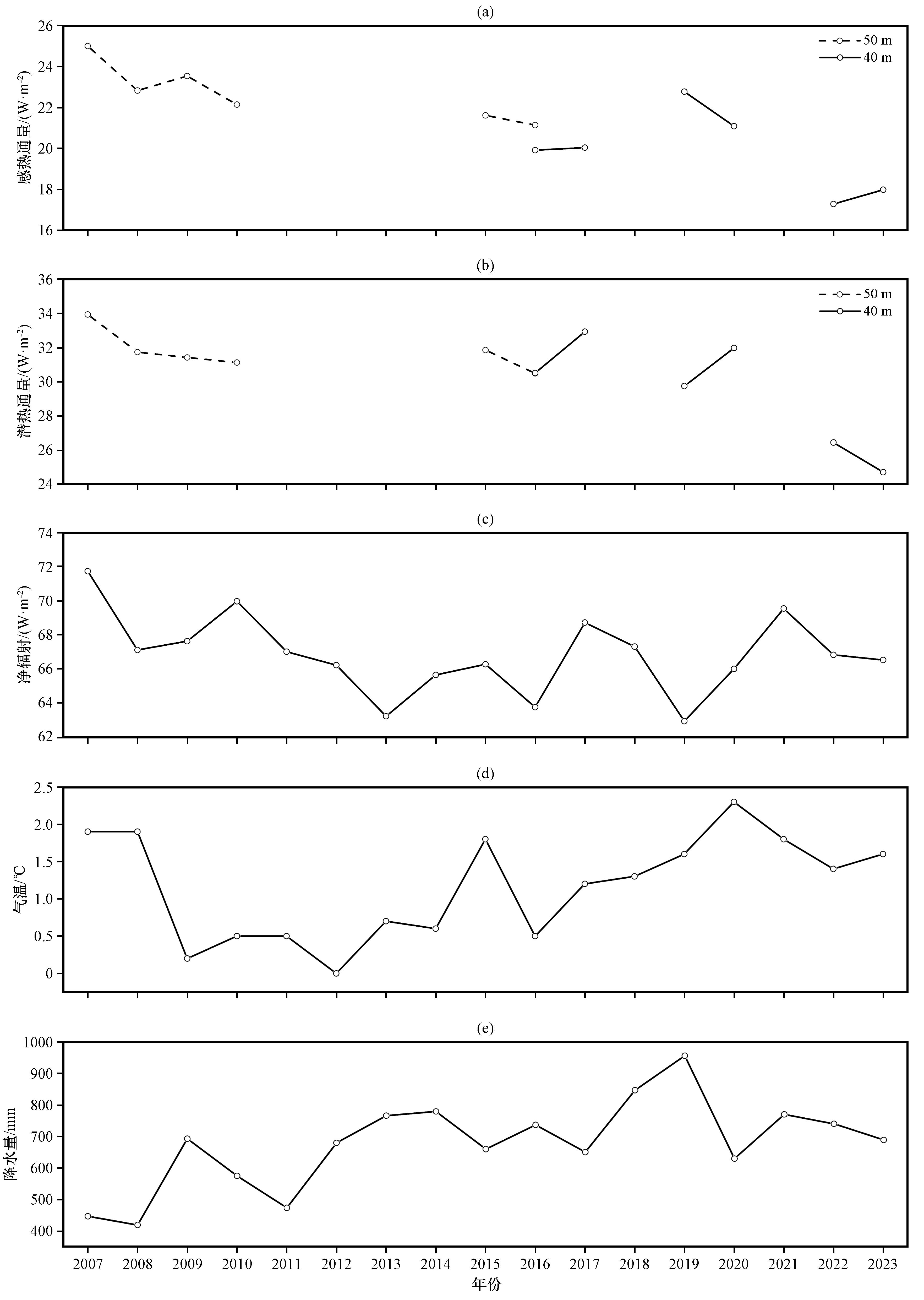
从全年来看[图2(a), (b)], 小兴安岭针阔叶混交林感热通量(H)呈双峰型, 潜热通量(LE)呈单峰型, 各年感热通量的峰值均出现在春季, 次峰值出现在秋季, 而潜热通量的峰值出现在夏季, 可能与辐射、 气温、 降水、 湿度、 叶片生长等有关, 后文对此进行详细分析。40 m和50 m通量(2016年)变化趋势基本一致, 两层通量相关分析显示[图2(c), (d)], H 40=0.77×H 50LE 40=0.85×LE 50, 相关系数均超过0.8, 拟合效果较好, 对于两层通量的互补有一定的参考意义。
图2 感热通量(a)和潜热通量(b)年变化, 以及不同高度感热通量(c)和潜热通量(d)的相关性

Fig.2 Annual variations of H(a) and LE (b), and the correlation between H (c) and LE (d) at different heights

从年变化来看, 虽然年份不连续, 但是也可以看出感热通量和潜热通量有波动减少趋势, 两者变化趋势不完全相同, 尤其是40 m高度处两者有较大差异[图3(a), (b)]。从气候因子来看, 净辐射(Rn)有波动减少趋势, 气温(Ta)和降水量(Pre)有波动增加趋势[图3(c)~(e)], 感热通量、 潜热通量的变化趋势与气候因子变化趋势不完全相同, 说明环境因子的变化对感热通量和潜热通量有复杂的作用机制。对于均匀平坦下垫面, 湍流通量在近地层中基本不随高度变化(即满足常通量层假设)(Aubine et al, 2012); 在非均匀下垫面, 虽然涡度相关仪器安装在冠层以上, 但是冠层效应形成的粗糙子层(一般是建筑物平均高度的2~5倍)可能达到通量观测的高度, 观测的通量值会随高度增加而增大(沙杰等, 2021邵博豪等, 2021)。文中梯度塔40 m高度处的感热通量年平均值为19.84±1.83 W·m-2, 潜热通量年平均值为29.39±2.93 W·m-2; 50 m高度处的感热通量年平均值为22.71±1.29 W·m-2, 潜热通量年平均值为31.76±1.07 W·m-2, 其中2016年两层数据显示通量随高度增加而增大, 说明40~50 m可能位于粗糙子层, 可能是感热通量和潜热通量变化趋势存在差异的原因之一。
图3 2007 -2023年感热通量(a)、 潜热通量(b)、 净辐射(c)、 气温(d)和降水量(e)的年际变化

Fig.3 Inter annual variations of H (a), LE (b), Rn (c), Ta (d), and Pre (e) from 2007 to 2023

3.1.2 感热通量、 潜热通量、 土壤热通量日变化

由于不同时期日出、 日落时间不同, 且太阳辐射和林木的生长期有显著变化, 湍流也有明显的强度变化, 导致不同时期感热通量和潜热通量的日变化也有较大差异(图4)。夜间地表温度低于近地层空气温度, 空气将能量传到地表, 感热通量为负值; 日出后净辐射迅速增加, 感热通量、 潜热通量均相应增加[图4(a), (b)]。土壤热通量也存在明显的日变化特征, 主要表现为在春、 夏、 秋季白天为正值, 夜间为负值, 而在冬季, 由于冰雪覆盖, 土壤温度高于空气温度, 导致土壤热通量全天均为负值, 且日变化幅度较小, 与颜廷武等(2015)的研究结果一致。从季节尺度来看, 感热通量为春季(33.56 W·m-2)>夏季(14.78 W·m-2)>冬季(11.94 W·m-2)≈秋季(11.79 W·m-2)[图4(d)], 潜热通量为夏季(59.68 W·m-2)>春季(19.65 W·m-2)>秋季(17.67 W·m-2)>冬季(1.25 W·m-2)[图4(e)], 土壤热通量为夏季(4.67 W·m-2)>春季(4.17 W·m-2)>秋季(-3.02 W·m-2)>冬季(-4.36 W·m-2)[图4(f)]。春季感热通量峰值(150.22 W·m-2)明显高于其他季节, 一方面是因为积雪融化, 反照率迅速降低, 净辐射显著增强, 另外此时林木处于生长初期, 叶片稀疏, 对温度垂直传输影响较小, 因此感热通量较大; 夏季降水丰沛, 天空多云系覆盖, 导致净辐射相比春季增幅较小, 叶片茂密, 影响温度垂直传输, 导致感热通量显著低于春季, 另外因水汽充足、 蒸发强烈, 大量水汽从地表向上输送至大气, 使潜热通量峰值(179.09 W·m-2)显著高于春季; 秋、 冬季节由于太阳短波辐射逐渐减少、 叶片逐渐稀疏、 积雪导致地表反照率突变等因素, 净辐射逐渐减少, 感热通量较低, 而降水迅速减少导致潜热通量显著降低, 趋近于0。另外, 由于太阳短波辐射在中午达到最强, 导致各季节感热通量、 潜热通量和土壤热通量的峰值均出现在11:00 -13:00(北京时, 下同)。
图4 40 m感热通量、 潜热通量、 土壤热通量的逐日变化(a~c)和日平均变化(d~f)

Fig.4 Daily variation (a~c) of H, LE, G and their average daily change (d~f) of 40 m

3.1.3 感热通量、 潜热通量月变化

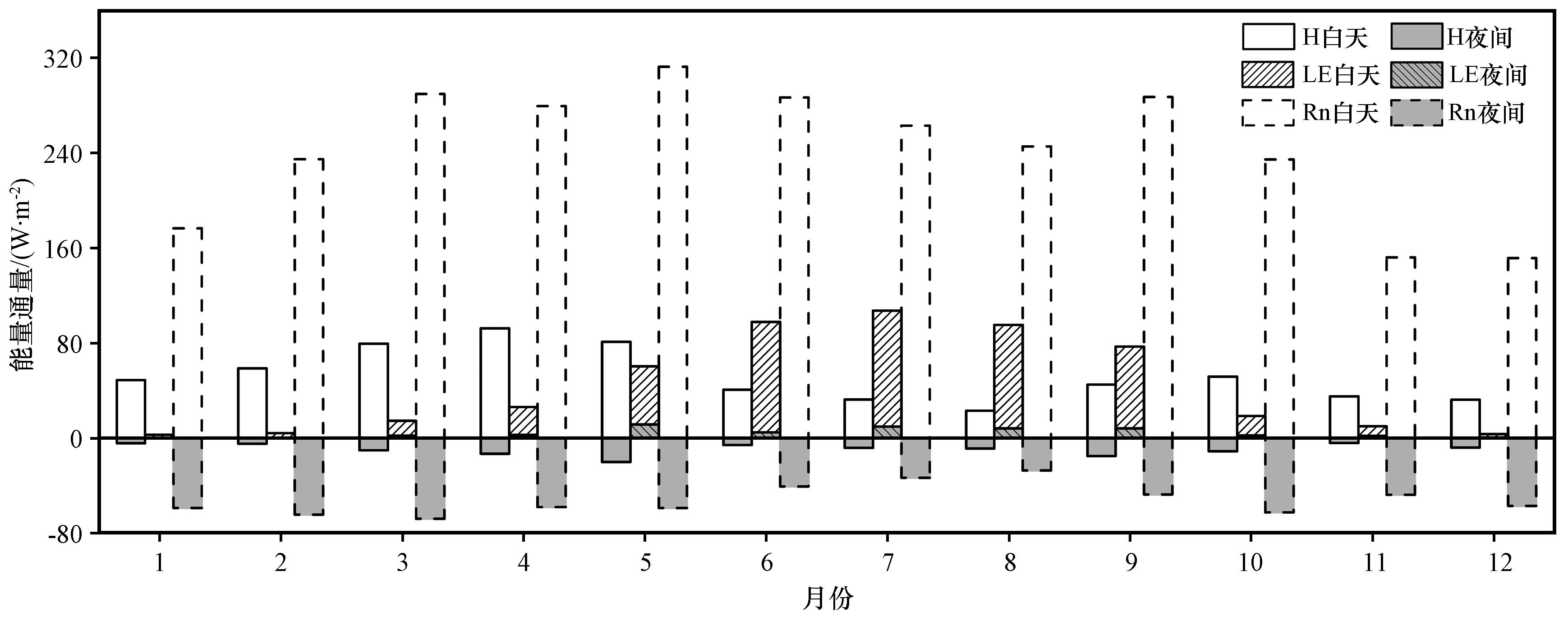
感热通量、 潜热通量, 以及作为能量来源的净辐射均有不同的月变化特征(图5表2), 其中净辐射呈双波变化, 白天波峰出现在5月(258.44 W·m-2)和9月(238.6 W·m-2), 而8月降水较多, 天空多云覆盖影响太阳辐射传输, 导致夜间波谷出现在8月(-29.53 W·m-2), 另外, 全天总辐射的波峰出现在6月(196.18 W·m-2)。感热通量受净辐射、 林木生长等多因素影响, 同样出现双波型的月变化特征, 即4月(白天76.41 W·m-2, 全天62.7 W·m-2)出现波峰, 10月(白天41.22 W·m-2, 全天30.17 W·m-2)出现次波峰, 8月出现波谷(白天18.34 W·m-2, 全天9.25 W·m-2)。潜热通量主要受净辐射和水分影响, 呈单波形, 7月(白天94.63 W·m-2, 全天101.41 W·m-2)达到最大。感热通量和潜热通量日夜变化也有很大的不同, 感热通量白天由下向上传输, 夜间转为由上向下传输, 夜间峰值出现在5月和8月; 而潜热通量白天和夜间均近似为向上传输(1、 2月为接近0的负值)。从能量占比和波文比(β)来看(表2), 5 -9月潜热通量大于感热通量, 且能量占比也是如此, 说明有效能量的分配在5 -9月以潜热为主, 其他月份以感热为主。
图5 40 m感热通量(H)、 潜热通量(LE)、 净辐射(Rn)的月变化

Fig.5 Monthly variations of H, LE, and Rn of 40 m

表2 不同月份感热通量、 潜热通量的能量占比和波文比

Table 2 Energy proportion and bowen ratio of H and LE in different months

1月 2月 3月 4月 5月 6月 7月 8月 9月 10月 11月 12月
H/Rn 0.46 0.35 0.33 0.37 0.23 0.14 0.10 0.05 0.11 0.24 0.33 0.29
LE/Rn 0.03 0.03 0.08 0.15 0.33 0.45 0.55 0.51 0.40 0.14 0.14 0.06
β 14.82 12.29 3.88 2.51 0.71 0.31 0.18 0.10 0.28 1.70 2.38 5.20

3.2 能量平衡

对2023年40 m高度处的能量闭合状况[图6(a)] 进行分析发现, 30 min尺度湍流热通量(H+LE)与地表有效能量(Rn-G-S)的拟合斜率为0.48, 截距为6.94 W·m-2, 能量闭合率为49%, 说明小兴安岭针阔叶混交林生态系统在半小时尺度上能量闭合较差, 约有51%的能量损失。各月的斜率变化范围为0.32~0.58, 截距变化范围为1.43~13.20 W·m-2, 能量闭合率范围为32%~61%(表3)。为了消除30 min时间尺度上的能量闭合误差, 对日尺度能量闭合状况[图6(b)]进行分析发现, 日尺度湍流热通量(H+LE)与地表有效能量(Rn-G-S)的拟合斜率为0.55, 截距为3.81 W·m-2, 能量闭合率为52%, 说明日尺度的能量闭合情况略有提升, 但仍有48%的能量损失。
图6 30 min尺度(a)、 日尺度(b)的能量闭合率

Fig.6 Energy closure rates at the 30 minutes (a) and daily (b) scales

表3 不同月份能量闭合率

Table 3 Energy closure rate in different months

1月 2月 3月 4月 5月 6月 7月 8月 9月 10月 11月 12月
斜率 0.39 0.32 0.36 0.48 0.50 0.53 0.58 0.54 0.47 0.38 0.40 0.32
截距/(W·m-2 9.01 10.90 8.52 2.65 13.20 12.40 11.20 10.70 8.03 2.23 3.33 1.43
R 2 0.58 0.59 0.73 0.77 0.77 0.77 0.81 0.79 0.77 0.78 0.66 0.63
闭合率/% 41 35 37 48 53 56 61 57 48 38 41 32

3.3 感热通量、 潜热通量的影响因子

感热通量和潜热通量在不同时间尺度有复杂的变化, 为找到水热通量的主控因子, 对2023年感热通量、 潜热通量与环境、 生物因子的相关关系进行分析。从图7中可以看出, H与Rn、 饱和水汽压差(VPD)显著正相关, 与降水量(Pre)、 空气相对湿度(RH)显著负相关, 与土壤温度(Ts)、 叶面积指数(LAI)弱负相关; LE与Rn、 气温(Ta)、 Ts、 LAI显著正相关, 与土壤体积含水量(VWC)显著负相关, 与VPD弱正相关。其他因子之间, Rn与VPD显著正相关, 与Ta弱正相关, 与VWC、 Pre、 RH弱负相关; Ta与Ts、 LAI显著正相关, 与VWC显著负相关, 与RH弱正相关; Ts与LAI、 RH显著正相关, 与VWC显著负相关, 与Pre弱正相关; VWC与LAI显著负相关, 与VPD弱负相关; LAI与RH显著正相关, 与Pre弱正相关; VPD与Pre、 RH显著负相关, Pre与RH显著正相关。H和LE均随Rn和VPD的增加呈线性增长, H随Ta增加的较快, 而LE随Rn增加的较快(图8)。H随Ta和LAI的增加呈线性减小, 随VWC先减少后增加, 但变化趋势不显著。当Ta低于4 ℃时, LE变化较小, Ta超过4 ℃后, LE随气温升高逐渐增加; 当LAI较低时, LE增加较快, 随着LAI增大, LE增加速率减慢; 在VWC较低时, LE减少较快, VWC超过34%后, LE减少速率减慢。
图7 2023年生长季感热通量和潜热通量与环境、 生物因子的相关关系

Fig.7 The correlation between H、 LE and environmental、 biological factors during the growth season in 2023

图8 生长季感热通量、 潜热通量与净辐射(a)、 气温(b)、 叶面积指数(c)、 土壤体积含水量(d)和饱和水气压差(e)的相关关系

Fig.8 The correlation between H、 LE and Rn(a)、 Ta(b)、 LAI(c)、 VWC(d)、 VPD(e) during the growth season

根据感热、 潜热通量与环境因子的相关关系, 筛选生长季日尺度对感热通量和潜热通量起主要作用的环境、 生物因子, 构建结构方程模型(图9表4), 模型分别解释了2023生长季H、 LE和LAI的61%、 71%和82%。结果显示, Rn、 Ta对LAI有正影响, VPD、 VWC对LAI有负影响, Rn和Ta通过光合作用对叶片生长有促进作用, 而过高的VPD通过减少光合作用和蒸腾作用抑制叶片生长(莫康乐等, 2014), VWC对叶片的影响较复杂, 不同的土壤含水量对叶片光合作用和蒸腾作用的作用机制有较大差异(杨佳鹤等, 2023)。Rn和Ta是日尺度H最主要的影响因子[图9(a)], 其次为LAI、 VPD、 VWC, 其中Rn对H主要产生直接影响, 而Ta不仅直接对H产生影响, 还通过LAI(Ta对LAI的路径系数0.75)对H产生间接影响; Rn、 VPD、 VWC对H的总影响为正, Ta、 LAI对H的总影响为负, 其中VPD和VWC对H没有直接影响, 而是通过LAI(VPD和VWC对LAI的路径系数分别为-0.45和-0.11)对H产生影响。Ta和Rn是日尺度LE最主要的影响因子[图9(b)], 且对LE主要产生直接影响, 其次为LAI、 VPD、 VWC; Rn、 Ta、 LAI对LE的总影响为正, VPD对VWC的总影响为负, 其中VPD和VWC对LE没有直接影响, 而是通过影响LAI, 从而对LE产生影响。VWC对H、 LE的影响很小, 说明小兴安岭针阔叶混交林的水热传输过程主要受能量限制, 而不是水分。另外, 除了作为主要能源的Rn对H和LE有正影响, Ta、 VPD、 VWC、 LAI对H和LE的影响均是相反的, 复杂的影响机制也对两者不完全一致的年际变化趋势做出了部分解释。
图9 2023年生长季感热通量(a)和潜热通量(b)的环境影响机制

Fig.9 Environmental impact mechanism of H (a) and LE (b) in 2023 growth season

表4 环境、 生物因子对感热通量、 潜热通量的直接影响、 间接影响和总影响

Table 4 Standardized directindirect and total effects of environmentalbiological factors on daily H and LE

环境、 生物因子作用 Rn Ta VPD VWC LAI
感热通量 直接影响 0.80 -0.26 / / -0.22
间接影响 -0.06 -0.17 0.10 0.03 /
总影响 0.74 -0.43 0.10 0.03 -0.22
潜热通量 直接影响 0.44 0.49 / / 0.11
间接影响 0.03 0.08 -0.05 -0.01 /
总影响 0.47 0.57 -0.05 -0.01 0.11

/表示无数据(/ indicates no data)

对年尺度的通量变化分析发现(图10), 50 m高度处的H和LE年变化与气温、 降水年变化匹配性较差, 比如在高温干旱年(2007年和2008年)H和LE的变化差异很大, 在低温年(2009年和2016年)H和LE的变化差异也很大; 而40 m高度处的H和LE年变化与气温、 降水年变化匹配性相对较好, H变化为: 湿润年>高温年>标准年>低温年, LE变化为: 标准年>高温年>低温年>湿润年, 另外处于标准年份的2022年和2023年的H和LE均较低, 说明气候变化对H和LE有复杂的作用机制。
图10 2007 -2023年年平均气温、 降水量(a)和50 m(b)、 40 m(c)高度处感热通量、 潜热通量(b, c)的年际分布

Fig.10 Interannual distributions of annual average Ta, Pre (a), and H, LE (b, c)at 50 m (b) and 40 m (c) heights (2007 -2023)

为探究不同年份环境、 生物因子对H和LE的影响差异, 利用ERA5-Land再分析数据对40 m不同年份的数据构建结构方程模型。在高温年, 结构模型提高了对H的解释率, 降低了对LE的解释率; 在湿润年, 结构模型对H和LE的解释率均提高了。对于感热通量(表5), 按照标准年-湿润年-高温年, H受Rn的影响越来越小, 按照标准年-高温年-湿润年, H受Ta的影响越来越大, 说明高温和湿润均降低了H对Rn的敏感性, 增加了对Ta的敏感性, 其中H在湿润年对Rn、 Ta的敏感性高于高温年; 另外, 高温、 湿润还降低了LAI对感热传输的影响, 高温增大了土壤水分对H的影响, 湿润提高了H对VPD变化的敏感性, 降低了土壤水分对H的影响。对于潜热通量(表6), 按照湿润年-标准年-高温年, LE受Rn的影响越来越小, 受Ta的影响越来越大, 说明高温降低了LE对Rn的敏感性, 增加了对Ta的敏感性; 湿润增加了LE对Rn的敏感性, 降低了对Ta的敏感性; 另外, 高温、 湿润还降低了LAI和VPD对潜热传输的影响, 提高了VWC对潜热传输的影响。
表5 不同年份环境、 生物因子对感热通量的直接影响、 间接影响和总影响

Table 5 Standardized directindirect and total effects of environmentalbiological factors on daily H in different years

环境、 生物因子作用 Rn Ta VPD VWC LAI R 2
标准年 直接影响 0.65 -0.08 / -0.14 -0.31 0.48
间接影响 -0.05 -0.28 0.12 -0.02 /
总影响 0.59 -0.36 0.12 -0.15 -0.31
高温年 直接影响 0.62 -0.18 / -0.25 -0.26 0.58
间接影响 -0.07 -0.21 0.07 -0.08 /
总影响 0.54 -0.39 0.07 -0.32 -0.26
湿润年 直接影响 0.58 -0.35 0.39 / -0.09 0.67
间接影响 -0.01 -0.06 0.02 -0.04 /
总影响 0.57 -0.41 0.41 -0.04 -0.09

/表示无数据(/ indicates no data)

表6 不同年份环境、 生物因子对潜热通量的直接影响、 间接影响和总影响

Table 6 Standardized directindirect and total effects of environmentalbiological factors on daily LE in different years

环境、 生物因子作用 Rn Ta VPD VWC LAI R 2
标准年 直接影响 0.39 0.30 / / 0.31 0.68
间接影响 0.05 0.28 -0.12 0.02 /
总影响 0.44 0.59 -0.12 0.02 0.31
高温年 直接影响 0.30 0.54 / 0.24 0.10 0.62
间接影响 0.03 0.08 -0.03 0.03 /
总影响 0.33 0.63 -0.03 0.27 0.10
湿润年 直接影响 0.46 0.35 / 0.14 0.24 0.71
间接影响 0.03 0.15 -0.05 0.11 /
总影响 0.49 0.50 -0.05 0.25 0.24

/表示无数据(/ indicates no data)

4 讨论

小兴安岭拥有亚洲最大、 最完整的红松原始森林, 下垫面的热量传输对区域大气有重要调控作用。本文选取五营国家气候观象台涡度观测资料, 研究发现, 2023年小兴安岭针阔叶混交林年平均净辐射为66.51 W·m-2, 感热通量、 潜热通量和土壤热通量分别为17.98 W·m-2、 24.70 W·m-2和0.4 W·m-2。在年尺度的能量分配上, 潜热通量占净辐射的比重最大, 为37.1%, 感热通量为27.03%, 土壤热通量仅为0.6%, 其中生长季重要的能量支出为潜热通量, 占比44.47%, 非生长季重要的能量支出为感热通量, 占比33.8%, 与同属北方地区的其他森林生态系统(张新建等, 2011颜廷武等, 2015马景永, 2019崔万晶等, 2021)基本一致; 而在热带、 亚热带地区, 能量占比基本以潜热通量为主(窦军霞等, 2007孙成等, 2015张晓娟等, 2016孙恒, 2017), 仅在冬季会出现感热通量占比相对较多的情况。颜廷武等(2015)研究认为, 由于不同类型森林下垫面特征不同, 接收到辐射能量后, 造成的蒸散和热传导能力有较大差异, 从而导致能量分配不同, 降水量的差异也会影响下垫面接收到的辐射量。一般情况, 热带、 亚热带地区的年降水量显著多于北方地区, 净辐射也是如此, 冬季北方积雪的高反照率也会对辐射传输造成影响。本研究中对感热通量、 潜热通量与部分环境、 生物因子之间的关系进行了探讨, 但其与其他因子之间还存在复杂的调控机制, 有待于进一步研究。
目前, 各种类型的森林生态系统通量站点普遍存在能量不闭合现象, 中国通量网站点和国际通量网站点的能量闭合程度分别为0.49~0.81和0.53~0.99(马景永, 2019), 本站点中, 30 min和日尺度的能量闭合率分别为49%和52%, 虽然低于国内多数森林生态系统(表7), 但仍在能量闭合程度范围。另外, 生长季(闭合率53%)符合能量闭合程度范围, 非生长季(闭合率38%)存在明显的能量不闭合现象。在五营生态站附近树木茂密, 冠层相对开放, 且存在多层植被, 导致下垫面异质性较高, 造成的采样误差可能会导致能量平衡不闭合(马景永, 2019)。在计算能量平衡中的冠层热储量时, 文中未考虑植被热储量、 植物光合作用能耗以及一些物理相变过程伴随的能量转化, 可能对能量平衡闭合造成较大影响(刘禹辰等, 2025)。此外, 在梯度塔附近共布设了两套土壤热通量板(深度5 cm), 随着杂草和腐殖质层的不断积累, 会导致土壤热通量板的位置发生变动, 从而使观测到的数值不能完全代表土壤储热能力。另外高频与低频湍流通量损失、 平流、 非湍流过程(周彦昭和李新, 2018), 以及复杂环境下湍流不充分(孙成等, 2015)等也会造成能量不闭合。
表7 不同森林生态系统通量站点的能量闭合情况

Table.7 Energy closure of flux observation stations in different forest ecosystems

站点位置 树种 能量闭合率 年份(参考文献)
小兴安岭(129°12′E, 48°14′N) 针阔叶混交林 49% 2023(本文)
长白山(128°06′E, 42°24′N) 阔叶红松林 72% 2008(张新建等, 2011)
八达岭(115°56′E, 40°22′N) 油松人工幼林 59% 2017(马景永, 2019)
宝天曼自然保护区(111°56′E, 33°30′N) 暖温带落叶阔叶林 67% 2016/2017(牛晓栋等, 2018)
安吉(119°40′E, 30°28′N) 毛竹林 85% 2011(孙成等, 2015)
天目山(119°26' E, 30°21'N) 落叶阔叶混交林 89% 2016(孙恒, 2017)
海南岛(109°28′E, 19°33′N) 橡胶林 73% 2013/2014(张晓娟等, 2016)

5 结论

(1) 小兴安岭针阔叶混交林H和LE的年际变化有波动减少趋势, 但二者变化趋势不完全相同; Rn有波动减少趋势, Ta和Pre有波动增加趋势。H的年变化呈双峰型, LE呈单峰型, H白天为正值, 夜间为负值, LE白天为正值, 夜间趋近于0。H的峰值出现在4月, 次峰值出现在10月, 而LE的峰值出现在7月, 其中5 -9月LE大于H, 且能量占比也是如此, 说明能量转换在5 -9月以潜热交换为主, 其他月份以感热交换为主。
(2) 30 min尺度能量闭合率为49%, 各月能量闭合率范围为32%~61%, 其中生长季和非生长季分别为53%和38%, 日尺度能量闭合率为52%, 虽然30 min尺度和日尺度的能量闭合情况达到中国通量网站点的标准(49%~81%), 但相对其他站点来说, 能量平衡闭合程度较差。能量不闭合的主要原因是数据质量较差, 以及忽略了植被热储量、 植物光合作用耗能以及一些物理相变过程伴随的能量转化等。
(3) 通过建立结构方程模型发现, Rn是感热传输的主要影响因子, 产生正影响; Ta和LAI是感热传输的次要影响因子, 产生负影响。LE的主要影响因子是Ta, Rn是次要影响因子, Ta、 Rn、 和LAI均对LE产生正影响。另外, VWC和VPD对H、 LE的影响很小, 且均通过影响叶片生长间接对H、 LE产生影响, 说明小兴安岭针阔叶混交林的水热传输过程主要受能量限制, 而不是水分。
(4) 利用ERA5-Land再分析数据对不同年份建立结构方程模型发现, 在高温年, 结构模型提高了对H的解释率, 降低了对LE的解释率; 在湿润年, 结构模型对H和LE的解释率均提高了。高温和湿润均降低了H对Rn的敏感性, 增加了对Ta的敏感性, 高温、 湿润还降低了LAI对感热传输的影响, 高温增大了土壤水分对H的影响, 湿润提高了H对VPD变化的敏感性, 降低了土壤水分对H的影响。高温降低了LE对Rn的敏感性, 增加了对Ta的敏感性; 湿润增加了LE对Rn的敏感性, 降低了对Ta的敏感性; 另外, 高温、 湿润还降低了LAI和VPD对潜热传输的影响, 提高了VWC对潜热传输的影响。
本文对小兴安岭针阔叶混交林的热量传输特征进行了详细研究。由于仪器维护不当, 数据有大量缺失, 因此仅选取数据相对完整的年份进行研究, 使得分析的年际变化并不全面, 尤其是两层通量数据的交叉年份仅有一年, 对于两层通量的互补会存在误差。由于辐射、 土壤水分和土壤热通量仪器搭建较晚, 文中仅用了2023年数据对能量平衡, 以及感热通量和潜热通量的影响因子进行研究, 虽然文中给出了研究结论, 但结果可能会存在一定的误差, 尤其是对能量不闭合的原因只是一些猜测, 缺少数据进行验证, 因此还需要积累几年数据, 对此再进行细致研究。
Aubinet M Vesala T Papale D2012.Eddy covariance: a practical guide to measurement and data analysis[M].Spring Science & Business Media.

Chen C Li D Li Y, et al, 2020.Biophysical impacts of Earth greening largely controlled by aerodynamic resistance[J].Science Advances6(47): eabb1981.DOI: 10.1126/sciadv.abb1981 .

Chen Y M Xue Y J Hu Y M2018.How multiple factors control evapotranspiration in North America evergreen needleleaf forests[J].Science of the Total Environment, 622: 1217-1224.DOI: 10.1016/j.scitotenv.2017.12.038 .

Gu L H Falge E M Boden T, et al, 2005.Objective threshold determination for nighttime eddy flux filtering[J].Agricultural and Forest Meteorology128(3-4): 179-197.DOI: 10.1016/j.agrformet.2004.11.006 .

He X Lei X D Xu Q G, et al, 2024.Combining multiple feature selection methods and structural equation modelling for exploring factors affecting stand biomass of natural coniferous-broad leaved mixed forests[J].Science of the Total Environment, 954: 176669.DOI: 10.1016/j.scitotenv.2024.176669 .

Isaac P Cleverly J McHugh I, et al, 2017.OzFlux data: network integration from collection to curation[J].Biogeosciences14(12): 2903-2928.DOI: 10.5194/bg-14-2903-2017 .

Li Y J Zhou L Xu Z Z, et al, 2009.Comparison of water vapour, heat and energy exchanges over agricultural and wetland ecosystems[J].Hydrological Processes23(14): 2069-2080.DOI: 10.1002/hyp.7339 .

Ma J Y Jia X Zha T S, et al, 2019.Ecosystem water use efficiency in a young plantation in Northern China and its relationship to drought[J].Agricultural and Forest Meteorology, 275: 1-10.DOI: 10.1016/j.agrformet.2019.05.004 .

Reichstein M Falge E Baldocchi D, et al, 2005.On the separation of net ecosystem exchange into assimilation and ecosystem respiration: review and improved algorithm[J].Global Change Biology11(9): 1424-1439.DOI: 10.1111/j.1365-2486.2005. 001002.x .

Sun P F Qu Z Yuan C, et al, 2023.Meteorological tower observed CO2 flux and footprint in the forest of Xiaoxing’an Mountains, Northeast China[J].Journal of Meteorological Research37(1): 126-140.DOI: 10.1007/s13351-023-2080-3 .

Wilson K B Baldocchi D D2000.Seasonal and interannual variability of energy fluxes over a broadleaved temperate deciduous forest in North America[J].Agricultural and Forest Meteorology100(1): 1-18.DOI: 10.1016/S0168-1923(99)00088-X .

Zhao X L Wang J B Ye H, et al, 2021.The Bowen ratio of an alpine grassland in Three-River Headwaters, Qinghai-Tibet Plateau, from 2001 to 2018[J].Journal of Resources and Ecology12(3): 305-318.DOI: 10.5814/j.issn.1674-764x.2021.03.001 .

Zou M J Zhong L Ma Y M, et al, 2018.Estimation of actual evapotranspiration in the Nagqu river basin of the Tibetan Plateau[J].Theoretical and Applied Climatology132(3): 1039-1047.DOI: 10.1007/s00704-017-2154-1 .

崔万晶, 侯巍, 杨睿智, 等, 2021.北京城市森林生态系统能量分配的季节动态研究[J].北京林业大学学报43(1): 27-36.DOI: 10.12171/j.1000-1522.20190392.Cui W J

Hou W Yang R Z, et al, 2021.Seasonal dynamics of energy distribution in urban forest ecosystem of Beijing[J].Journal of Beijing Forestry University43(1): 27-36.DOI: 10.12171/j.1000-1522.20190392 .

窦军霞, 张一平, 于贵瑞, 等, 2007.西双版纳热带季节雨林水热通量[J].生态学报27(8): 3099-3109.DOI: 10.3321/j.issn: 1000-0933.2007.08.002.Dou J X

Zhang Y P Yu G R, et al, 2007.Inter-annual and seasonal variations of energy and water vapour fluxes above a tropical seasonal rain forest in Xishuangbanna, SW China[J].Acta Ecologica Sinica27(8): 3099-3109.DOI: 10.3321/j.issn: 1000-0933.2007.08.002 .

付玉杰, 田地, 侯正阳, 等, 2022.全球森林碳汇功能评估研究进展[J].北京林业大学学报44(10): 1-10.DOI: 10.12171/j.1000-1522.20220242.Fu Y J

Tian D Hou Z Y, et al, 2022.Review on the evaluation of global forest carbon sink function[J].Journal of Beijing Forestry University44(10): 1-10.DOI: 10.12171/j.1000-1522.20220242 .

郝珉辉, 代莹, 岳庆敏, 等, 2022.阔叶红松林功能多样性与森林碳汇功能关系[J].北京林业大学学报44(10): 68-76.DOI: 10.12171/j.1000-1522.20220237.Hao M H

Dai Y Yue Q M, et al, 2022.Relationship between functional diversity of broadleaved Korean pine forest and forest carbon sink function[J].Journal of Beijing Forestry University44(10): 68-76.DOI: 10.12171/j.1000-1522.20220237 .

解晋, 余晔, 刘川, 等, 2018.青藏高原地表感热通量变化特征及其对气候变化的响应[J].高原气象37(1): 28-42.DOI: 10.7522/j.issn.1000-0534.2017.00019.Xie J

Yu Y Liu C, et al, 2018.Characteristics of surface sensible heat flux over the Qinghai-Tibetan Plateau and its response to climate change[J].Plateau Meteorology37(1): 28-42.DOI: 10.7522/j.issn.1000-0534.2017.00019 .

贾庆宇, 温日红, 周莉, 等, 2023.2018-2020年盘锦稻田碳水通量数据集[J].中国科学数据8(2): 46-57.DOI: 10.11922/11-6035.csd.2023.0003.zh.Jia Q Y

Wen R H Zhou L, et al, 2023.A dataset of the observations of carbon and water fluxes in the paddy fields of Panjin(2018-2020)[J].China Scientific Data8(2): 46-57.DOI: 10.11922/11-6035.csd.2023.0003.zh .

晋伟, 奥银焕, 文小航, 等, 2023.黄土高原不同作物下垫面陆气水热交换的模拟研究[J].高原气象42(3): 671-686.DOI: 10.7522/j.issn.1000-0534.2022.00078.Jin W

Ao Y H Wen X H, et al, 2023.Simulation of land-atmosphere water and heat exchange over the underlying surface of different crops on the Loess Plateau[J].Plateau Meteorology42(3): 671-686.DOI: 10.7522/j.issn.1000-0534.2022.00078 .

刘禹辰, 李茂善, 常娜, 等, 2025.青藏高原东坡高冠层植被大气间的储存项对地表能量闭合度的影响研究[J].高原气象44(2): 435-444.

Liu Y C Li M S Chang N, et al, 2025.The impact of high canopy vegetation-atmosphere storage on surface energy closure over the eastern slope of the Qinghai-Xizang Plateau[J].Plateau Meteorology44(2): 435-444.DOI: 10.7522/j.issn.1000-0534.2024.00072 .

马景永, 2019.北京油松人工幼林生态系统水热通量及水分利用效率研究[D].北京: 北京林业大学.Ma J Y, 2019.Water vapour, heat fluxes and water use efficiency over a your pinus tabuliformis plantation in Beijing[D].Beijing: Beijing Forestry University.

马千惠, 齐木荣, 杨清华, 等, 2020.鄂陵湖周边草地生长期地表能量平衡观测分析[J].高原气象39(6): 1207-1218.DOI: 10.7522/j.issn.1000-0534.2019.00132.Ma Q H

Qi M R Yang Q H, et al, 2020.Observational analysis on the surface energy balance status over a grassland around the lake ngoring in growing season[J].Plateau Meteorology39(6): 1207-1218.DOI: 10.7522/j.issn.1000-0534.2019.00132 .

莫康乐, 陈立欣, 周洁, 等, 2014.永定河沿河沙地杨树人工林蒸腾耗水特征及其环境响应[J].生态学报34(20): 5812-5822.DOI: 10.5846/stxb201301280172.Mo K L

Chen L X Zhou J, et al, 2014.Transpiration responses of a poplar plantation to the environmental conditions on a floodplain in Northern China[J].Acta Ecologica Sinica34(20): 5812-5822.DOI: 10.5846/stxb201301280172 .

牛晓栋, 刘晓静, 刘世荣, 等, 2018.亚热带-暖温带过渡区天然栎林的能量平衡特征[J].生态学报38(18): 6701-6711.DOI: 10.5846/stxb201803290650.Niu X D

Liu X J Liu S R, et al, 2018.Energy balance characteristics of a natural oak forest (Quercus aliena) at a transitional area from a subtropical to warm temperate climate, China[J].Acta Ecologica Sinica38(18): 6701-6711.DOI: 10.5846/stxb201803290650 .

裴薇薇, 王新, 王云英, 等, 2022.祁连山区青海云杉林生长季水热通量特征及影响因素解析[J].干旱区资源与环境36(12): 144-150.DOI: 10.13448/j.cnki.jalre.2022.313.Pei W W

Wang X Wang Y Y, et al, 2022.Water and heat flux characteristics of Qinghai spruce forests in the Qilian Mountains during growing season[J].Journal of Arid Land Resources and Environment36(12): 144-150.DOI: 10.13448/j.cnki.jalre.2022.313 .

乔英, 张百和, 邱凯, 等, 2023.基于涡度系统的干旱区枣林能量平衡分析[J].灌溉排水学报42(8): 41-47, 62.DOI: 10.13522/j.cnki.ggps.2023061.Qiao Y

Zhang B H Qiu K, et al, 2023.Using eddy covariance method to analyze energy balance of jujube orchard in arid areas[J].Journal of Irrigation and Drainage42(8): 41-47, 62.DOI: 10.13522/j.cnki.ggps.2023061 .

沙杰, 邹钧, 孙鉴泞, 等, 2021.城市和郊区复杂下垫面地气交换湍流通量的观测研究[J].中国科学(地球科学)51(11): 1964-1977.DOI: 10.1007/s00376-016-6259-8.Sha J

Zou J Sun J N, et al, 2021.Observational study of land-atmosphere turbulent flux exchange over complex underlying surfaces in urban and suburban areas[J].Scientia Sinica (Terrae)51(11): 1964-1977.DOI: 10.1007/s00376-016-6259-8 .

邵博豪, 袁仁民, 刘豪, 等, 2021.城市粗糙子层内湍流特性研究-以合肥一站点为例[J].大气与环境光学学报16(4): 307-319.DOI: 10.3969/j.issn.1673-6141.2021.04.003.Shao B H

Yuan R M Liu H, et al, 2021.Research on turbulence characteristics in urban rough sublayer-taking a site in Hefei as an example[J].Journal of Atmospheric and Environmental Optics16(4): 307-319.DOI: 10.3969/j.issn.1673-6141.2021.04.003 .

孙成, 江洪, 陈健, 等, 2015.亚热带毛竹林生态系统能量通量及平衡分析[J].生态学报35(12): 4128-4136.DOI: 10.5846/stxb201308272161.Sun C

Jiang H Chen J, et al, 2015.Energy flux and balance analysis of Phyllostachys edulis forest ecosystem in subtropical China[J].Acta Ecologica Sinica35(12): 4128-4136.DOI: 10.5846/stxb201308272161 .

孙恒, 2017.天目山常绿落叶阔叶混交林碳水通量及能量通量的特征研究[D].杭州: 浙江农林大学.Sun H, 2017.The study on characteristics of carbon and water fluxes and energy fluxes in mixed evergreen and deciduous broad-leaved forest in tianmu mountain[D].Hangzhou: Zhejiang A & F University.

孙鹏飞, 范广洲, 曲哲, 等, 2021.小兴安岭近地层湍流能谱特征[J].高原气象40(2): 374-383.DOI: 10.7522/j.issn.1000-0534.2020.00099.Sun P F

Fan G Z Qu Z, et al, 2021.Characteristics of surface-layer turbulence spectra in xiaoxing’an mountains[J].Plateau Meteorology40(2): 374-383.DOI: 10.7522/j.issn.1000-0534.2020.00099 .

王春林, 周国逸, 王旭, 等, 2007.鼎湖山针阔叶混交林生态系统能量平衡分析[J].热带气象学报23(6): 643-651.DOI: 10.3969/j.issn.1004-4965.2007.06.018.Wang C L

Zhou G Y Wang X, et al, 2007.Energy balance analysis of the coniferous and broad-leaved mixed forest ecosystem in Dinghushan[J].Journal of Tropical Meteorology23(6): 643-651.DOI: 10.3969/j.issn.1004-4965.2007.06.018 .

王维舟, 赵仲辉, 康文星, 等, 2011.会同杉木人工林的潜热通量特征[J].中南林业科技大学学报31(5): 192-197.DOI: 10.14067/j.cnki.1673-923x.2011.05.039.Wang W Z

Zhao Z H Kang W X, et al, 2011.Characteristics of latent heat flux over Cunninghamia lanceolata plantations in Huitong county[J].Journal of Central South University of Forestry & Technology31(5): 192-197.DOI: 10.14067/j.cnki.1673-923x.2011.05.039 .

王文帆, 刘滨凡, 刘广菊, 等, 2011.小兴安岭典型林分类型土壤有机碳含量状况比较分析[J].林业科技36(1): 17-19.DOI: 10.3969/j.issn.1001-9499.2011.01.005.Wang W F

Liu B F Liu G J, et al, 2011.Comparison of soil organic carbon contents of typical stand types in xiaoxing’anling[J].Forestry Science & Technology36(1): 17-19.DOI: 10.3969/j.issn.1001-9499.2011.01.005 .

席振华, 王玉阳, 马耀明, 等, 2023.珠峰北坡高寒灌丛草原生长季碳、 水通量特征分析[J].高原气象42(4): 887-898.DOI: 10.7522/j.issn.1000-0534.2022.00072.Xi Z H

Wang Y Y Ma Y M, et al, 2023.Characteristics of carbon and water fluxes over the alpine shrub steppe ecosystem during growing season on the northern slope of Qomolangma Region[J].Plateau Meteorology42(4): 887-898.DOI: 10.7522/j.issn.1000-0534.2022.00072 .

颜廷武, 尤文忠, 张慧东, 等, 2015.辽东山区天然次生林能量平衡和蒸散[J].生态学报35(1): 172-179.DOI: 10.5846/stxb201404090680.Yan T W

You W Z Zhang H D, et al, 2015.Energy balance and evapotranspiration in a natural secondary forest in Eastern Liaoning Province, China[J].Acta Ecologica Sinica35(1): 172-179.DOI: 10.5846/stxb201404090680 .

阳坤, 王介民, 2008.一种基于土壤温湿资料计算地表土壤热通量的温度预报校正法[J].中国科学(D辑: 地球科学)38(2): 243-250.

Yang K Wang J M2008.A temperature forecast correction method for calculating surface soil heat flux based on soil temperature and humidity data[J].Science in China Series D: Earth Sciences38(2): 243-250.

杨佳鹤, 何进宇, 刘飞杨, 等, 2023.不同土壤水分对植物光合作用的影响研究进展[J].节水灌溉 (11): 39-46.Yang J H, He J Y, Liu F Y, et al, 2023.Research progress on effects of different soil moisture on plant photosynthesis[J].Water Saving Irrigation, (11): 39-46.

原文文, 同小娟, 张劲松, 等, 2015.黄河小浪底人工混交林生长季能量平衡特征[J].生态学报35(13): 4492-4499.DOI: 10.5846/stxb201411062195.Yuan W W

Tong X J Zhang J S, et al, 2015.Characteristics of energy balance of a mixed plantation in the Xiaolangdi area in the growing season[J].Acta Ecologica Sinica35(13): 4492-4499.DOI: 10.5846/stxb201411062195 .

张戈, 赖欣, 刘康, 等, 2023.黄河源区玛曲土壤冻融过程中地表水热交换特征分析[J].高原气象42(3): 575-589.DOI: 10.7522/j.issn.1000-0534.2022.00083.Zhang G

Lai X Liu K, et al, 2023.Characteristics of surface water and heat exchange during soil freezing and thawing of Maqu station in the source area of the Yellow River[J].Plateau Meteorology42(3): 575-589.DOI: 10.7522/j.issn.1000-0534.2022.00083 .

张晓娟, 吴志祥, 杨川, 等, 2016.海南岛橡胶林能量平衡研究[J].西北林学院学报31(2): 77-85.DOI: 10.3969/j.issn.1001-7461.2016.02.14.Zhang X J

Wu Z X Yang C, et al, 2016.Energy balance research of the rubber plantation in Hainan Island[J].Journal of Northwest Forestry University31(2): 77-85.DOI: 10.3969/j.issn.1001-7461.2016.02.14 .

张新建, 袁凤辉, 陈妮娜, 等, 2011.长白山阔叶红松林能量平衡和蒸散[J].应用生态学报22(3): 607-613.DOI: 10.13287/j.1001-9332.2011.0125.Zhang X J

Yuan F H Chen N N, et al, 2011.Energy balance and evapotranspiration in broad-leaved Korean pine forest in Changbai Mountains[J].Chinese Journal of Applied Ecology22(3): 607-613.DOI: 10.13287/j.1001-9332.2011.0125 .

张颖, 李晓格, 温亚利, 等, 2022.碳达峰碳中和背景下中国森林碳汇潜力分析研究[J].北京林业大学学报44(1): 38-47.DOI: 10.12171/j.1000-1522.20210143.Zhang Y

Li X G Wen Y L, et al, 2022.Forest carbon sequestration potential in China under the background of carbon emission peak and carbon neutralization[J].Journal of Beijing Forestry University44(1): 38-47.DOI: 10.12171/j.1000-1522.20210143 .

赵兴炳, 2021.青藏高原西部戈壁地表能量平衡特征与湍流通量参数化研究[D].南京: 南京信息工程大学.Zhao X B, 2021.Characteristics of surface energy balance and parameterization of turbulent fluxes in the gobi region of the western tibetan plateau[D].Nanjing: Nanjing University of Information Science & Technology.

周广胜, 周莉, 2021.生态气象: 起源、 概念和展望[J].科学通报66(2): 210-218.

Zhou G S Zhou L2021.Ecological meteorology: Origin, concept, and prospects[J].Chinese Science Bulletin66(2): 210-218.

周彦昭, 李新, 2018.涡动相关能量闭合问题的研究进展[J].地球科学进展33(9): 898-913.DOI: 10.11867 /j.issn.1001-8166.2018.09.0898.Zhou Y Z

Li X2018.Progress in the energy closure of eddy covariance systems[J].Advances in Earth Science33(9): 898-913.DOI: 10.11867 /j.issn.1001-8166.2018.09.0898 .

文章导航

/