横断山区2001 -2020年小时极端降水时空分布特征

  • 刘旭东 , 1, 2 ,
  • 吕雅琼 , 1 ,
  • 邴嘉玮 1, 2 ,
  • 明桂嘉 1, 2
展开
  • 1. 中国科学院、 水利部成都山地灾害与环境研究所,四川 成都 610229
  • 2. 中国科学院大学,北京 100049
吕雅琼(1983 -), 女, 甘肃漳县人, 研究员, 主要从事陆气相互作用和区域气候变化研究. E-mail:

刘旭东(2000 -), 男, 江西宜春人, 硕士研究生, 主要从事数值模拟与应用. E-mail:

收稿日期: 2024-11-15

  修回日期: 2025-03-27

  网络出版日期: 2026-01-26

基金资助

国家自然科学基金项目(42475101)

中国科学院、 水利部成都山地灾害与环境研究所科研项目(IMHE-ZDRW-06)

高原与盆地暴雨旱涝灾害四川省重点实验室开放研究基金项目(SZKT202303)

Spatial-Temporal Characteristics of Hourly Extreme Precipitation in the Hengduan Mountain during 2001 -2020

  • Xudong LIU , 1, 2 ,
  • Yaqiong LÜ , 1 ,
  • Jiawei BING 1, 2 ,
  • Guijia MING 1, 2
Expand
  • 1. Institute of Mountain Hazards and Environment,Chinese Academy of Sciences,Chengdu 610229,Sichuan,China
  • 2. University of Chinese Academy of Science,Beijing 100049,China

Received date: 2024-11-15

  Revised date: 2025-03-27

  Online published: 2026-01-26

Copyright

© Editorial Department of Plateau Meteorology (CC BY-NC-ND)

摘要

大部分横断山区极端降水研究多采用日尺度的降水数据, 小时尺度能提供日变化特征等更加精细信息, 而现阶段对于横断山区小时尺度极端降水认识不足, 因此需要充分探究横断山区小时尺度极端降水特征。本研究利用2001 -2020年IMERG半小时卫星降水资料, 分析横断山区小时极端降水(第95百分位, R95)和小时极端强降水(第99百分位, R99)的时空分布特点, 并进一步探究雨季和非雨季时期对全年的贡献。结果表明: 横断山区小时极端降水和极端强降水阈值、 雨量、 强度和持续时间的分布格局为自东南向西北递减, 频次为东西部多, 中部少。其中小时极端降水和小时极端强降水雨量分别占据全年总降水雨量的29.58%和10.15%。年际变化趋势上, 小时极端(强)降水雨量、 频次和强度以上升为主, 而持续时间主要为下降趋势, 其中雨量每年增长4.93 (2.83) mm, 且在横断山区东北部地区显著增加。在日变化中, 小时极端(强)降水雨量和频次集中在夜间, 在17:00 -21:00(北京时, 下同)和00:00 - 02:00期间存在两个峰值, 极大值时间分布具有南北向差异特征。横断山区小时极端降水雨量趋势以增加为主是与频次的增加相关, 并且在小时极端强降水中频次趋势与雨量趋势更加相关。雨季时期小时极端降水与小时极端强降水的雨量和频次的全年占比超过90%, 且对全年特征格局的贡献较大。非雨季时期雨量和频次的日变化极大值对比全年延迟了1 h。

本文引用格式

刘旭东 , 吕雅琼 , 邴嘉玮 , 明桂嘉 . 横断山区2001 -2020年小时极端降水时空分布特征[J]. 高原气象, 2026 , 45(1) : 110 -123 . DOI: 10.7522/j.issn.1000-0534.2025.00049

Abstract

Extensive research has been conducted on daily scale precipitation the Hengduan Mountain.The hourly scale data, which provides additional insights such as diurnal patterns, remains largely unexplored.Therefore, a fundamental study of the characteristics of extreme precipitation at the hourly scale is essential in the Hengduan Mountain.In this study, we analyzed the spatial and temporal distribution characteristics of hourly extreme precipitation (95th percentile, R95) and very extreme precipitation (99th percentile, R99) using Multi-Satellite Retrievals for Global Precipitation Measurement (IMERG) half-hourly satellite precipitation data from 2001 to 2020.Furthermore, we explored further the contribution to the whole year of rainy and non-rainy seasons periods.The results showed that the distribution pattern of hourly extreme precipitation and hourly very extreme precipitation thresholds, amount, intensity, and duration were decreasing from southeast to northwest in the Hengduan Mountain, and the number was high in the east and west but less in the center.Hourly extreme precipitation and hourly very extreme precipitation amounts occupied 29.58% and 10.15% of the annual total amount, respectively.In the analysis of interannual variability, an increasing trend in the amount, number and intensity were found for hourly extreme precipitation and hourly very extreme precipitation, while the duration is generally showed a decreasing trend, with an increase in the amount of 4.93 and 2.83 mm annually, respectively.The amount experienced a significant increase in the northeastern part of the Hengduan Mountain.In terms of diurnal variations, the hourly extreme precipitation and hourly very extreme precipitation amount and number were concentrated at nighttime, with two peaks during 17:00 (Beijing Time, same as after) -21:00 and 00:00 -02:00.A discrepancy in the distribution of the maximum occurrence time were found in the northern and southern regions in the Hengduan Mountain.The increasing trend in the hourly extreme precipitation amount was primarily associated with an increase in number, which was more pronounced in the hourly very extreme precipitation.During the rainy season, the amount and frequency of hourly extreme precipitation and hourly very extreme precipitation accounted for over 90% and significantly influenced the annual pattern of characteristics.In contrast, during the non-rainy season, the maximum occurrence time of amount and number were delayed by 1 hour in the main region compared to the annual pattern.

1 引言

横断山区位于中国西南地区, 处于青藏高原、 云贵高原和四川盆地的交界地带(Shi et al, 2018), 地理位置特殊, 是复杂地形的典型代表。复杂地形是指地貌多变地区, 其主要特征为显著的高低起伏、 坡度变化和多样化地貌。作为山地大国, 中国山地面积约占陆地国土面积的三分之二(文安邦等, 2023), 具有显著的复杂山地特征。横断山区处于中国第一、 二阶梯的过渡地带, 山脉南北纵列分布, 山河相间, 是著名的纵向岭谷区, “通道-阻隔”作用明显(何大明等, 2005), 易在强降水影响下引发多种水文地质灾害, 包括山洪、 泥石流和山体滑坡(Borga et al, 2014Stoffel et al, 2016Savi et al, 2021)。因此研究横断山区极端降水时空分布特征对区域灾害防治和生态安全具有重要意义。
极端降水事件是指严重偏离气候态的降水事件, 具有雨强高、 频率低的特点。在全球变暖的趋势下, 日尺度的极端降水预计将以近似克劳修斯-克拉佩龙(Clausius–Clapeyron, CC)的速率(即低层水汽随温度升高而增加, 约为7%·K-1)增加(Soden et al, 2005Wentz et al, 2007)。中国的极端降水事件在近半世纪以来明显增多, 同时中国的极端降水事件存在着明显的地域性差异和显著的年际和年代际变化特征(陈海山等, 2009龙妍妍等, 2016武文博等, 2016)。横断山区的极端降水格局大致呈现南多北少, 从东南向西北减少的分布特征, 极端降水指数与年总降水量呈正相关关系, 极端降水量在全区域内年际变化呈上升趋势, 并且极端降水事件随海拔的升高而周期地减少(Zhang et al, 2014)。在未来, 李沁汶等(2019)通过统计降尺度的方式得出横断山区极端降水总体上呈现出“增加-减少-增加”的趋势。
极端降水事件的显著特征之一是极端雨强, 通常伴随着超过区域历史记录的短时强降水事件(顾佳佳和武威, 2017张静和孙羡, 2021汪小康等, 2024)。以往关于极端降水的研究多数集中于日尺度上, 然而极端降水事件通常发生在日内尺度, 其中日内尺度的极端降水强度对气温变化响应更加复杂(Barbero et al, 2017Lenderink et al, 2017Ali and Mishra, 2018Barbero et al, 2019Huang et al, 2021)。日内尺度的极端降水数据可以更加精确地捕捉降水过程和日变化, 以提供更多极端降水强度和频次的细节特征(Li et al, 2013李建等, 2013aLiu et al, 2017a)。一般而言, 日内极端降水事件的定义有两种, 分别为固定阈值(张天宇等, 2023)和相对阈值(Wang et al, 2023李建等, 2013bLai et al, 2024), 而采用局地百分位阈值的相对阈值方法更加适用于分析局部区域内日内尺度的极端降水特征(Zhang and Zhai, 2011)。
近年来在中国以及各分区内展开了大量关于小时极端降水的研究, 增加了中国各地区小时尺度上的极端降水事件趋势、 日变化和持续时间的特征细节(Li, 2018Li et al, 2019Jiang et al, 2020Lai et al, 2024)。我国小时极端降水具有显著的区域差异和年代际变化特征。年际变化上, 我国小时极端降水量整体呈现不显著下降趋势, 而频率呈增加趋势。在分布格局中, 强度和频率主要表现为“西弱东强”的格局, 以低涡/切变线和弱天气系统强迫的天气类型为主(Luo et al, 2016Wang et al, 2023)。同样地, 我国小时极端降水事件日变化具有明显的地域差异, 日变化特征在我国北方并不显著, 华南地区和西南地区分别集中在下午和午夜(Zhang and Zhai, 2011Wang et al, 2023)。但是现阶段以横断山区为研究对象的小时极端降水相关研究较少, 对横断山区小时极端降水特征认识不足, 而分析复杂地形区的极端降水特征需要从更小的时间尺度出发。
基于此, 本研究利用卫星降水资料分析2001 -2020年横断山区小时极端降水阈值、 持续时间的时空特征, 并探究雨量、 频次和强度的时空分布格局、 年际趋势以及日变化情况, 从而提供该区域内更加精细的极端降水事件特征。

2 数据与方法

2.1 研究区域

横断山区(24°48′N -33°39′N; 96°20′E -104°4′E)位于我国西南部(图1), 面积约5×105 km2Shi et al, 2018), 海拔范围308~7473 m。横断山区地处高原温带亚热带气候区, 山地地形复杂, 气候差异较大(Li et al, 2011Zhu et al, 2012)。同时是典型的季风气候区, 受南亚季风和东亚季风控制(Zhu et al, 2016Dong et al, 20182019)。该地区降水量的季节变化较大。年降水量为978.64 mm, 降水分布呈现出自东南向西北递减的格局(Yu et al, 2020)。雨季(5 -9月)降水丰沛, 当期平均降水量为769.11 mm, 占全年降水量的78.59%。因此, 接下来的工作将围绕全年(Annual, AP)、 雨季(Rainy, RP)和非雨季(Non-Rainy, NP)三个阶段共同开展。DEM数据是ASTER GDEM V3(https: //lpdaac.usgs.gov/), 来源于美国航空航天局(NASA)和日本宇宙航空研究开发机构(JAXA)共同开发的全球DEM 30 m数据。本节涉及的研究区域地图是基于标准地图服务系统(http: //bzdt.ch.mnr.gov.cn/)下载的中国地图[审图号: GS(2019)1882]制作而成, 底图无修改。
图1 研究区概况及区域多年月均降水量

Fig.1 Overview of the study area and regional multi-year average monthly precipitation

2.2 数据选取

研究数据主要包括了地面气象站实测降水数据和相应时段的卫星观测数据。其中气象站实测观测数据是来源于中国气象数据网(http: //data.cma.cn), 包括了研究区内的27个站点(图1)。站点观测资料主要用于计算区域多年月均降水, 以确定横断山区雨季与非雨季。卫星产品是来自Global Precipitation Measurement(GPM)的IMERG Final V07B (https: //disc.gsfc.nasa.gov/)(Hou et al, 2014Liu et al, 2017b), 时间跨度为2001 -2020年, 空间分辨率为0.1°, 时间分辨率为0.5 h。分析横断山区小时尺度极端降水特征的需要长时间序列和高空间分辨率的数据, IMERG Final可以捕捉到不同小时尺度上极端降水随温度的变化(Hosseini-Moghari and Tang, 2022), 也可以较为准确地捕捉复杂山区的降水(丁明泽等, 2022)。在基于站点数据评估卫星降水产品的研究中发现, 在横断山区中IMERG Final降水资料的精度较高(Yang et al, 2020Jiang et al, 2021)。并且在捕捉极端降水中, 尤其是高海拔地区(>4000 m), IMERG Final具有优良的表现(Dong et al, 2022)。因此IMERG Final卫星数据在时间分辨率和准确性上都满足了分析要求且其适用于横断山区。

2.3 统计量定义

研究对象为横断山区小时极端降水(hourly extreme precipitation, R95)和小时极端强降水(hourly very extreme precipitation, R99)。为了定量描述横断山区2001 -2020年小时极端(强)降水气候态特征, 研究将每小时不小于0.1 mm的水量定义为有效降水时次, 小于0.1 mm水量定义为非降水时次。小时极端降水阈值采用局地百分位阈值的相对阈值的方法, 将第95百分位和99百分位的小时降水量设置为小时极端降水与小时极端强降水阈值(Zhang and Zhai, 2011)。为了更准确定量分析横断山区小时极端降水的特征, 研究引入了常见的分析小时极端降水特征的统计量, 分别为雨量、 频次、 强度和持续时间。其中持续时间是指单个小时降水事件所经历的时段, 而降水事件则定义为从降水开始到结束的时间内最多存在1个非降水时次的连续降水时段(Yu et al, 2007)。小时降水事件或小时极端强降水事件中至少包含一个超过小时极端降水或小时极端强降水阈值的有效降水时次(Li et al, 2013)。关于小时极端降水的统计量定义可见表1
表1 小时极端(强)降水的相关统计量

Table 1 Associated statistics of hourlyveryextreme precipitation events

统计量 定义 单位
小时极端(强)降水阈值 第95 (99)百分位的小时降水量 mm·h-1
小时极端(强)降水量 超过第95 (99)百分位数部分的年均降水量 mm
小时极端(强)降水频次 超过第95 (99)百分位数部分的年均发生小时数 h
小时极端(强)降水强度 小时极端(强)降水量与次数的比值 mm·h-1
小时极端(强)降水事件持续时间 单个小时极端(强)事件所经历的时长 h

3 结果

3.1 小时极端降水阈值

横断山区小时极端降水和小时极端强降水阈值的区域平均值分别为3.33(±0.85) mm·h-1和6.83(±1.68) mm·h-1, 分布格局[图2(a)和(b)]都呈现自东南向西北递减的特征, 且随海拔递减。小时极端(强)降水阈值范围分别为1.67~5.36 mm·h-1和3.08~12.79 mm·h-1图2(c)为阈值与海拔的线性拟合关系图, 其中发现小时极端降水的阈值集中在2~4 mm·h-1; 小时极端强降水的阈值集中在5~7 mm·h-1。小时极端(强)降水阈值与海拔变化呈负相关关系, 且小时极端降水阈值变化速率慢于小时极端强降水阈值。
图2 横断山区小时极端降水(a)和小时极端强降水(b)阈值(单位: mm·h-1)及阈值与海拔的线性拟合关系(c)

上标*表示通过99%置信水平检验

Fig.2 Thresholds (unit: mm·h-1) for hourly extreme precipitation (a) and hourly very extreme precipitation (b) in the Hengduan Mountain.Linear fit (c) of hourly extreme precipitation (red) and very extreme precipitation (blue) thresholds to elevation.The superscript * indicates that it passes the 99% confidence level test

3.2 空间分布

在横断山区小时极端(强)降水的空间分布[图3]中, 雨量、 强度和持续时间呈东南向西北减少的格局, 而频次则表现为东西部多, 中部少。除频次外, 其余统计量分布格局与极端降水阈值分布相似。总体而言, 相比于小时极端降水, 极端强降水雨量更大、 频次更少、 强度更强、 持续时间更长。小时极端(强)雨量[图3(a)和(e)]多年均值分别为226.57 mm和82.33 mm, 分别占据小时降水雨量多年均值的29.58%和10.15%, 然而年均频次[图3(b)和(f)]分别为39.81 h和7.99 h, 仅分别约占全年的5%和1%。小时极端(强)降水的区域平均强度[图3(e)和(g)]分别为5.64 mm·h-1和7.43 mm·h-1。反映出具有高强度低频次的极端降水对横断山区全年雨量的贡献较大。区域中单个小时极端(强)降水事件的平均持续时间分别保持在8.50 h和9.14 h。
图3 横断山区小时极端降水(a~d)和极端强降水(e~h)雨量(a, e, 单位: mm)、 频次(b, f, 单位: h)、 强度(c, g, 单位: mm·h-1)和持续时间(d, h, 单位: h)空间分布图

Fig.3 Spatial distribution of hourly extreme (a~d) and very extreme (e~h) precipitation amount (a, e, unit: mm), number (b, f, unit: h), intensity (c, g, unit: mm·h-1), and duration (d, h, unit: h) in the Hengduan Mountain

小时极端降水雨量受到强度和频次的共同影响, 雨量与强度和频次都表现为显著相关, 从表2中发现, 雨量与强度和频次的相关系数都高于0.7。强度和频次在区域上对雨量的影响程度存在差异, 强度对南部地区影响更大, 而频次对西部和东部地区产生了更大的影响。在西南部和东部的部分地区中, 小时极端降水的雨强小于6 mm·h-1, 但频次在该地区超过了55 h, 使得年均雨量超过350 mm。在小时极端降水和小时极端强降水中, 雨量与强度的相关性略高于雨量与频次。相比于小时极端降水, 小时极端强降水的频次与雨量相关系数增长至0.74, 频次与极端降水雨量的相关性增加, 却仍低于雨量与强度的相关性。
表2 小时极端降水和小时极端强降水全年、 雨季和非雨季时期年均雨量与频次和强度的相关系数

Table 2 Correlation coefficients between amount and number or intensity of hourly extreme precipitation and very extreme precipitation over the whole yearrainy and non-rainy season periods

频次 强度
全年 雨季 非雨季 全年 雨季 非雨季
小时极端降水 0.70* 0.64* 0.95* 0.77* 0.81* 0.39*
小时极端强降水 0.74* 0.72* 0.96* 0.76* 0.79* 0.30*

上标*表示通过99%置信水平检验 (the superscript * indicates that it passes the 99% confidence level test)

3.3 年际变化

横断山区小时极端降水趋势呈现出更大雨量、 更高强度、 更多频次和更短历时的方向发展。小时极端降水[图4(a)~(d)]雨量、 频次和强度以上升趋势为主, 整体每年分别增加4.93 mm、 0.69 h和0.03 mm·h-1, 持续时间每年减少0.04 h。小时极端强降水[图4(e)~(h)]雨量、 频次和强度整体每年分别增长2.83 mm、 0.24 h和0.05 mm·h-1, 持续时间每年减少0.04 h。小时极端降水和小时极端强降水雨量显著增加的区域超过47%, 频次超过45%, 显著增加区域主要集中在东部地区和北部地区, 而强度显著增加的区域分别为31.10%和18.45%, 且分布较为分散。小时极端(强)降水事件的持续时间以下降为主, 减少区域超过60%, 但是显著减少区域分别分散在区域的21.01%和8.00%范围之内。相比小时极端强降水, 小时极端降水雨量、 频次和强度的显著增加区域以及持续时间的显著减少区域更多。
图4 横断山区小时极端降水(a~d)和极端强降水(e~f)雨量(a, e, 单位: mm)、 频次(b, f, 单位: h)、 强度(c, g, 单位: mm·h-1)和持续时间(d, h, 单位: h)年际变化趋势的空间分布

打点区域为通过90%置信水平检验

Fig.4 Distribution of the interannual variations of hourly extreme (a~d) and very extreme (e~f) precipitation amount (a, e, unit: mm), number (b, f, unit: h), intensity (c, g, unit: mm·h-1), and duration (d, h, unit: h) in the Hengduan Mountain.Black dots indicate the stations that passed the 90% significance test

与数值分布相反, 年际变化趋势上小时极端(强)降水雨量与频次的相关性高于雨量与强度。小时极端(强)降水雨量与频次年际变化趋势显著相关, 且相关系数均超过0.90, 而雨量与强度的年际变化相关系数小于0.47。相比于比小时极端降水, 小时极端强降水雨量年际变化趋势和频次相关性略微增强, 小时极端强降水雨量年际变化趋势和强度的相关性减弱, 主要由于横断山区大部分区域内小时极端(强)降水强度呈不显著变化趋势。因此, 横断山区小时极端降水雨量的增加趋势可能是频次的增加趋势造成的。
表3 小时极端降水和小时极端强降水全年、 雨季和非雨季时期雨量年际变化趋势与频次和强度年际变化趋势之间相关系数

Table 3 Correlation coefficients between interannual variations in amount and interannual variations in number or intensity of hourly extreme precipitation and very extreme precipitation over the whole yearrainy and non-rainy season periods

频次 强度
全年 雨季 非雨季 全年 雨季 非雨季
小时极端降水 0.90* 0.89* 0.94* 0.47* 0.45* 0.56*
小时极端强降水 0.91* 0.90* 0.94* 0.44* 0.45* 0.60*

上标*表示通过99%置信水平检验(The superscript * indicates that it passes the 99% confidence level test)

3.4 日变化

小时极端降水雨量、 频次和强度集中发生在夜间, 雨量与频次日变化分布相似, 都呈现双峰形态。小时极端降水(图5实线)雨量和频次主要集中前半夜和午夜, 所处时间段分别为17:00 -21:00和00:00 -02:00, 最大值都出现在19:00, 最小值出现在11:00, 呈双峰型分布, 数值较大的时段主要发生在前半夜。小时极端降水的雨强日变化特征与雨量和频次表现不同, 在上半夜(19:00 -23:00)的强度更高, 中午时段(10:00 -12:00)更低, 呈现出单峰型的变化分布, 且各时段波动相对更为平稳, 这可能是强度作用于雨量不显著。小时极端强降水(图5虚线)的雨量和频次的各时段日变化分布和极值发生时间与极端降水保持相对一致, 强度则表现得更为平稳, 原因可能是小时极端强降水强度在各时段上的差异较小。
图5 横断山区小时极端降水(实线)和极端强降水(虚线)区域平均的标准化雨量(a)、 频次(b)和强度(c)的日变化特征

Fig.5 Diurnal variations in normalized regional averaged rainfall amount (a), number (b), and intensity (c) of hourly extreme (solid line) and very extreme (dotted line) precipitation in the Hengduan Mountain

横断山区小时极端降水全年雨量和频次主要在夜间达到极大值, 且具有明显的南北分布差异。横断山区超过70%的地区的小时极端降水[图6(a)~(c)]全年雨量和频次的极值发生在前半夜时段(19:00 -23:00), 主要分布北部地区, 发生在后半夜(00:00 -06:00)的区域主要集中在南部, 区域占比超出20%。全年强度的极大值的时间分布较为分散, 可能是由于日变化中各时段极值强度相差不大。后半夜的区域占比与雨量和频次相似, 但前半夜区域占比则相对减少了33%, 同时反映出小时极端降水强度对雨量的贡献是有限的。小时极端强降水[图6 (d)~(f)]极大值时间分布与小时极端降水相似。相比于小时极端降水, 小时极端强降水雨量和频次分布在前半夜的区域略微减少, 减少区域在时间上主要是从前半夜推迟到了后半夜。
图6 横断山区小时极端降水(a~c)和小时极端强降水(d~f)雨量(a, d)、 频次(b, e)和强度(c, f)的日变化的极大值时间分布

Fig.6 Distribution of maximum occurrence time for diurnal variations of hourly extreme (a~c) and hourld very extreme (d~f) precipitation amount (a, d), number (b, e) and intensity (c, f) in the Hengduan Mountain

3.5 雨季与非雨季对小时极端降水的贡献

雨季时期各统计量的空间分布(图7)与全年基本一致, 且该时期雨量与频次都高于非雨季时期, 并对全年的贡献显著。小时极端(强)降水雨季年均雨量分别为206.47 mm和76.94 mm, 区域年均频次分别为36.04 h和7.43 h, 对全年占比分别为91.22 (90.53)%和93.45 (92.99)%, 且雨量和频次的空间相关系数高于0.95。值得一提的是, 在非雨季时期横断山区西南部在小时极端(强)降水频次为高值区域。但相比于雨季时期, 该地区的小时极端(强)降水频次更少, 相差22~53 (4~15) h。相比于小时极端降水, 横断山区雨季时期小时极端强降水的雨量和频次在全年的占比更大。雨季时期年均雨强和持续时间与全年相近, 反映出雨季和非雨季所产生小时极端(强)降水雨量的区别主要来源于频次上的差异。
图7 横断山区雨季(a, b, e, f)和非雨季(c, d, g, h)小时极端降水(a~d)和极端强降水(e~h)雨量(单位: mm)和频次(单位: h)的空间分布

Fig.7 Spatial distribution of hourly extreme (a~d) and very extreme (e~h) precipitation amount (unit: mm) and number (unit: h) during rainy season (a, b, e, f) and non-rainy season (c, d, g, h) in the Hengduan Mountain

雨季对全年各统计量的年际变化趋势影响突出, 但在极端强降水中非雨季时期的贡献更少。雨季时期小时极端(强)降水的年际变化趋势和显著区域分布与全年基本保持一致。非雨季时期具有不同的特征, 在小时极端降水中, 非雨季时期雨量和频次的显著增加的区域占比相较全年减少了25%以上, 而显著减少的区域占比则比全年增加了4.5%。小时极端强降水在非雨季时期存在雨量与频次的年际变化趋势趋近于0的区域, 占比超过了93%, 但显著变化区域不超过9%, 因此非雨季时期对全年的年际变化趋势贡献是有限的。
图8 横断山区雨季(a, b, e, f)和非雨季(c, d, g, h)小时极端降水(a~d)和极端强降水(e~h)雨量(单位: mm)和频次(单位: h)的年际变化趋势空间分布

打点区域为通过90%置信水平检验

Fig.8 Distribution of the interannual variations of hourly extreme (a~d) and very extreme (e~h) precipitation amount (unit: mm) and number (unit: h) during rainy season (a, b, e, f) and non-rainy season (c, d, g, h) in the Hengduan Mountain.Black dots indicate the stations that passed the 90% significance test

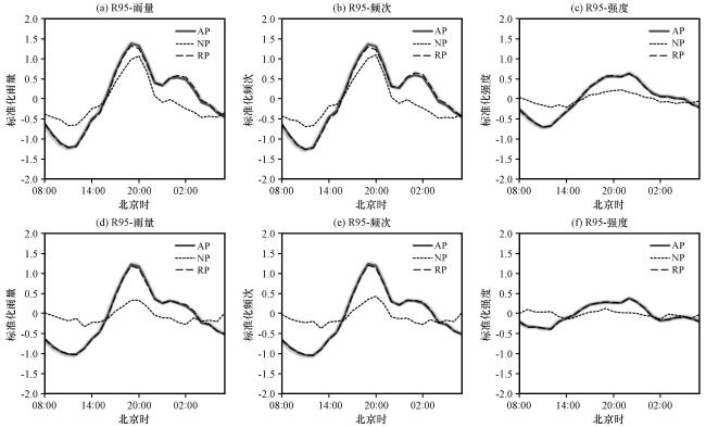
雨季时期小时极端(强)降水的日变化特征和极大值发生时间(图9)与全年相似。非雨季时期的日变化特征与全年相比具有一定的差异, 主要表现在小时极端(强)降水中非雨季时期的雨量、 频次和强度的日变化波动特征随时间变化更小, 雨量和频次的最大值发生时间比全年延迟了1 h。同样地, 相比于小时极端降水, 小时极端强降水中强度在各时段内的起伏波动更加平缓。
图9 横断山区全年(AP)、 雨季(RP)和非雨季(NP)时期小时极端降水(a~c)和小时极端强降水(d~f)雨量(a, d, 单位: mm)、频次(b, e, 单位: h)和强度(c, f, 单位: mm·h-1)的日变化特征

Fig.9 Diurnal variations in normalized regional averaged rainfall amount (a, d, unit: mm), number (b, e, unit: h), intensity (c, f, unit: mm·h-1) of hourly extreme (a~c) and very extreme (d~f) precipitation during the annual (AP),rainy season (RP) and non-rainy season (NP) in the Hengduan Mountain

4 讨论

基于小时极端降水特征进行分析研究需要依赖大量且长时间序列的观测数据, 观测气象站点比遥感资料更能够反映小时降水特征和过程(计晓龙等, 2017), 而由于横断山区地区为复杂地形区, 现有的站点布设年限和分布密度难以支撑横断山区小时尺度的极端降水特征分析。针对基于站点的相关研究中小时极端降水阈值部分进行对比, 发现横断山区小时极端降水阈值分布自东南向西北递减(Luo et al, 2016), 与本研究中的小时极端降水阈值分布格局相似。李若莹和姚秀萍(2024)分析了2005 -2020年夏季青藏高原东南部和川西地区的小时极端降水事件, 提出高原东南部平均极端降水阈值为4.3 mm·h-1, 范围在2~6 mm·h-1之间, 对比发现其与研究区域夏季小时极端降水的阈值相近。因此基于IMERG卫星观测结果分析多年气候态的小时极端降水研究具有一定可行性, 不过未来可以开展针对卫星资料产品等降水产品对区域小时尺度的降水和极端降水的适应性分析(Zhang et al, 2022Gao et al, 2024), 以提升卫星资料在小时尺度降水特征研究上的应用潜能。
多尺度天气系统共同影响横断山区, 其中包括南亚季风环流、 西太平洋副热带高压以及高原切变线等(Dong et al, 20182019Li et al, 2021), 但该地区内产生小时极端降水成因尚未明晰, 未来可以针对该方向进一步分析, 以揭露横断山区小时极端降水特征的内在机理原因(Xu et al, 2023)。另外可以进一步利用持续时间长短对不同尺度下的极端天气系统进行分类, 以区分短历时强降雨和长历时强降雨对区域的影响(Chen et al, 2024)。现阶段开展了许多针对夏季或雨季时期对横断山区的研究(Nie and Sun, 2021连钰等, 2024), 本研究发现非雨季时期同样会影响到极端降水的特征分布以及年际变化趋势, 因此未来将非雨季时期纳入到极端降水的研究时段中, 从而适时提高关于非雨季时期发生极端降水事件的关注度。
横断山区小时尺度极端降水和极端强降水雨量与日尺度的分布格局相似, 都表现为南部多北部少, 从东南向西北减少的分布特征, 而且日尺度极端降水和极端强降水阈值随海拔的升高而升高(程诗悦, 2020张月悦, 2022)。但是在本研究中小时极端降水和小时极端强降水阈值是与海拔梯度变化呈正相关关系。原因可能是日尺度上所受到横断山区纵向岭谷地势的影响更强, 受到东西向阻隔, 南北向通道的作用, 气流向北沿山脉走向扩散(何大明等, 2005)。小时尺度则多以短时强降水为主, 其大体来源于中尺度天气系统, 其多集中在气层不稳定的低海拔地区和地形抬升强迫地区。也可能是由于横断山区站点布设分散, 且多集中在河谷地区, 山岭地区代表性不高, 河谷地区受到横断山区“通道阻隔”作用显著(张谊光, 1998), 小时极端降水阈值更高, 因此小时极端降水和小时极端强降水阈值插值结果可能受到河谷站点的影响。

5 结论

本研究基于2001 -2020年IMERG卫星资料分析了横断山区小时尺度的极端降水和极端强降水特征, 包括空间分布、 年际变化趋势、 日变化及其极大值的时间分布。并且围绕雨季和非雨季时期分别分析对全年的贡献和各时期之间的差异。主要结论如下:
横断山区小时极端(强)降水阈值均值分别为3.33 (6.83) mm·h-1, 分布格局自东南向西北递减, 且随海拔升高而递减。小时极端降水和小时极端强降水中的雨量、 强度和持续时间也都呈现出自东南向西北递减的格局, 频次则为东西部多, 中部少。小时极端(强)降水年均雨量分别为226.57 (82.33) mm。雨量和强度总体呈上升趋势, 持续时间呈下降趋势, 雨量在东北部地区显著增加, 总体增加4.93 (2.83) mm·a-1。在日变化以及极大值发生时间中, 雨量和频次集中在夜间, 日变化呈现出双峰型分布, 前后半夜的极大值时间分布有着明显的南北差异。
雨季时期的特征格局对全年的贡献占主导地位, 表现在雨季的各统计量分布格局、 年际变化趋势、 趋势显著分布区域、 日变化特征以及极大值时间分布与全年相似。雨季时期小时极端(强)降水雨量和频次对全年占比均超过90%, 同时雨季的雨量和频次在数值上都远超过了非雨季时期。非雨季时期雨量和频次的极大值发生时间延迟了1 h。
横断山区小时极端降水雨量与频次的相关性较高, 在小时极端强降水中频次与雨量更加相关。雨季时期的小时极端降水是全年的主要贡献者, 并且相比于小时极端降水, 小时极端强降水对全年的贡献更大, 非雨季时期对全年年际变化趋势的贡献更少, 强度的日变化则表现为更加平稳。

感谢国家重大科技基础设施项目“地球系统数值模拟装置” 及国家超级计算无锡中心提供支持

Ali H Mishra V2018.Contributions of dynamic and thermodynamic scaling in subdaily precipitation extremes in India[J].Geophysical Research Letters45(5): 2352-2361.DOI: 10.1002/2018GL077065 .

Barbero R Fowler H Lenderink G, et al, 2017.Is the intensification of precipitation extremes with global warming better detected at hourly than daily resolutions?[J].Geophysical Research Letters44(2).DOI: 10.1002/2016GL071917 .

Barbero R Fowler H J Blenkinsop S, et al, 2019.A synthesis of hourly and daily precipitation extremes in different climatic regions[J].Weather and Climate Extremes, 26: 100219.DOI: 10. 1016/j.wace.2019.100219 .

Borga M Stoffel M Marchi L, et al, 2014.Hydrogeomorphic response to extreme rainfall in headwater systems: Flash floods and debris flows[J].Journal of Hydrology, 518: 194-205.DOI: 10. 1016/j.jhydrol.2014.05.022 .

Chen Y Zhu Y Luo W, et al, 2024.Characteristics of hourly extreme precipitation over the Eastern Extension of the Tibetan Plateau[J].Atmosphere15(2): 170.DOI: 10.3390/atmos15020170 .

Dong D H Huang G Tao W C, et al, 2018.Interannual variation of precipitation over the Hengduan Mountains during rainy season[J].International Journal of Climatology38(4): 2112-2125.DOI: 10.1002/joc.5321 .

Dong D H Tao W C Lau W K M, et al, 2019.Interdecadal variation of precipitation over the Hengduan Mountains during rainy seasons[J].Journal of Climate32(12): 3743-3760.DOI: 10. 1175/JCLI-D-18-0670.1 .

Dong W C Wang G X Guo L, et al, 2022.Evaluation of Three Gridded Precipitation Products in characterizing extreme precipitation over the Hengduan Mountains Region in China[J].Remote Sensing14(17): 4408.DOI: 10.3390/rs14174408 .

Gao R Li L J Wang Y T, et al, 2024.Improvements and limitations of the latest version 8 of GSMaP compared with its former version 7 and IMERG V06 at multiple spatio-temporal scales in mainland China[J].Atmospheric Research, 308: 107517.DOI: 10.1016/j.atmosres.2024.107517 .

Hosseini-Moghari S M Tang Q2022.Can IMERG Data capture the scaling of precipitation extremes with temperature at different time scales?[J].Geophysical Research Letters49(3): e2021GL096392.DOI: 10.1029/2021GL096392 .

Hou A Y Kakar R K Neeck S, et al, 2014.The global precipitation measurement mission[J].Bulletin of the American Meteorological Society95(5): 701-722.DOI: 10.1175/BAMS-D-13-00164.1 .

Huang D Q Zhu J Xiao X C, et al, 2021.Understanding the sensitivity of hourly precipitation extremes to the warming climate over Eastern China[J].Environmental Research Communications3(8): 081002.DOI: 10.1088/2515-7620/ac17e1 .

Jiang X Liu Y L Wu Y X, et al, 2021.Evaluation of the performance of multi-source precipitation data in Southwest China[J].Water13(22): 3200.DOI: 10.3390/w13223200 .

Jiang X L Luo Y L Zhang D L, et al, 2020.Urbanization enhanced summertime extreme hourly precipitation over the yangtze river delta[J].Journal of Climate33(13): 5809-5826.DOI: 10. 1175/JCLI-D-19-0884.1 .

Lai Y C Li J F Lee T C, et al, 2024.A 131-year evidence of more extreme and higher total amount of hourly precipitation in Hong Kong[J].Environmental Research Letters19(3): 034008.DOI: 10.1088/1748-9326/ad21b1 .

Lenderink G Barbero R Loriaux J M, et al, 2017.Super-clausius-clapeyron scaling of extreme hourly convective precipitation and its relation to large-scale atmospheric conditions[J].Journal of Climate30(15): 6037-6052.DOI: 10.1175/JCLI-D-16-0808.1 .

Li J2018.Hourly station-based precipitation characteristics over the Tibetan Plateau[J].International Journal of Climatology38(3): 1560-1570.DOI: 10.1002/joc.5281 .

Li J Li N Yu R C2019.Regional differences in hourly precipitation characteristics along the Western Coast of South China[J].Journal of Applied Meteorology and Climatology58(12): 2717-2732.DOI: 10.1175/JAMC-D-19-0150.1 .

Li J Li Y Q Zhao T L, et al, 2021.Northeastward propagation of nocturnal precipitation over the Sichuan Basin[J].International Journal of Climatology41(S1): E2863-E2879.DOI: 10.1002/joc.6886 .

Li J Yu R C Sun W2013.Duration and seasonality of hourly extreme rainfall in the central eastern China[J].Acta Meteorologica Sinica27(6): 799-807.DOI: 10.1007/s13351-013-0604-y .

Li Z X He Y Q Wang C F, et al, 2011.Spatial and temporal trends of temperature and precipitation during 1960–2008 at the Hengduan Mountains, China[J].Quaternary International236(1-2): 127-142.DOI: 10.1016/j.quaint.2010.05.017 .

Liu X M Zhang M J Wang S J, et al, 2017a.Assessment of diurnal variation of summer precipitation over the Qilian Mountains based on an hourly merged dataset from 2008 to 2014[J].Journal of Geographical Sciences27(3): 326-336.DOI: 10.1007/s11442-017-1379-3 .

Liu Z Ostrenga D Vollmer B, et al, 2017b.Global precipitation measurement mission products and services at the NASA GES DISC[J].Bulletin of the American Meteorological Society95(5): 701-722.DOI: 10.1175/BAMS-D-13-00164.1 .

Luo Y L Wu M W Ren F M, et al, 2016.Synoptic situations of extreme hourly precipitation over China American Meteorological Society)[J], 29(24), 8703–8719.DOI: 10.1175/JCLI-D-16-0057.1 .

Nie Y B Sun J Q2021.Synoptic-scale circulation precursors of extreme precipitation events Over Southwest China During the rainy season[J].Journal of Geophysical Research: Atmospheres 126: e2021JD035134.DOI: 10.1029/2021JD035134 .

Savi S Comiti F Strecker M R2021.Pronounced increase in slope instability linked to global warming: a case study from the eastern European Alps[J].Earth Surface Processes and Landforms46(7): 1328-1347.DOI: 10.1002/esp.5100 .

Shi Z Q Deng W Zhang S Y2018.Spatio-temporal pattern changes of land space in Hengduan Mountains during 1990–2015[J].Journal of Geographical Sciences28(4): 529-542.DOI: 10. 1007/s11442-018-1488-7 .

Soden B J, Jackson, D L, Ramaswamy V, et al, 2005.The radiative signature of upper tropospheric moistening[J].Science310(5749): 841-844.DOI: 10.1126/science.1115602 .

Stoffel M Wyżga B Marston R A2016.Floods in mountain environments: A synthesis[J].Geomorphology, 272: 1-9.DOI: 10. 1016/j.geomorph.2016.07.008 .

Wang X Y Jiang W G Wu J J, et al, 2023.Extreme hourly precipitation characteristics of Mainland China from 1980 to 2019[J].International Journal of Climatology43(6): 2989-3004.DOI: 10.1002/joc.8012 .

Wentz F J Ricciardulli L Hilburn K, et al, 2007.How much more rain will global warming bring?[J].Science317(5835): 233-235.DOI: 10.1126/science.1140746 .

Xu X K Huang A N Huang D Q, et al, 2023.What are the dominant synoptic patterns leading to the summer regional hourly extreme precipitation events over Central-Eastern Tibetan Plateau and Sichuan Basin?[J].Geophysical Research Letters50(5): e2022GL102342.DOI: 10.1029/2022GL102342 .

Yang M X Liu G D Chen T, et al, 2020.Evaluation of GPM IMERG precipitation products with the point rain gauge records over Sichuan, China[J].Atmospheric Research, 246: 105101.DOI: 10.1016/j.atmosres.2020.105101 .

Yu H Wang L Yang R, et al, 2020.Temporal and spatial distribution of maximum daily Precipitation in Hengduan Mountainous Region of China and its probability characteristics[J].Journal of Hydrologic Engineering25(11): 05020039.DOI: 10.1061/(ASCE)HE.1943-5584.0002009 .

Yu R C Xu Y P Zhou T J, et al, 2007.Relation between rainfall duration and diurnal variation in the warm season precipitation over central eastern China[J].Geophysical Research Letters34(13): 2007GL030315.DOI: 10.1029/2007GL030315 .

Zhang D S Yang M X Ma M H, et al, 2022.Can GPM IMERG capture extreme precipitation in North China Plain?multidisciplinary digital publishing institute)[J].Remote Sensing14(4): 928.DOI: 10.3390/rs14040928 .

Zhang H Zhai P M2011.Temporal and spatial characteristics of extreme hourly precipitation over eastern China in the warm season[J].Advances in Atmospheric Sciences28(5): 1177-1183.DOI: 10.1007/s00376-011-0020-0 .

Zhang K X Pan S M Cao L G, et al, 2014.Spatial distribution and temporal trends in precipitation extremes over the Hengduan Mountains region, China, from 1961 to 2012[J].Quaternary International, 349: 346-356.DOI: 10.1016/j.quaint.2014.04.050 .

Zhu G F He Y Q Pu T, et al, 2012.Spatial distribution and temporal trends in potential evapotranspiration over Hengduan Mountains region from 1960 to 2009[J].Journal of Geographical Sciences22(1): 71-85.DOI: 10.1007/s11442-012-0912-7 .

Zhu G F Qin D H Tong H L, et al, 2016.Variation of thornthwaite moisture index in Hengduan Mountains, China[J].Chinese Geographical Science26(5): 687-702.DOI: 10.1007/s11769-016-0820-3 .

陈海山, 范苏丹, 张新华, 2009.中国近50a极端降水事件变化特征的季节性差异[J].大气科学学报32(6): 744-751.DOI: 10.13878/j.cnki.dqkxxb.2009.06.005.Chen H S

Fan S D Zhang X H2009.Seasonal differences of variation characteristics of extreme precipitation events over China in the last 50 years[J].Transaction of Atmospheric Sciences32(6): 744-751.DOI: 10.13878/j.cnki.dqkxxb.2009.06.005 .

程诗悦, 2020.横断山地干热河谷龙川江流域降水分布特征研究[D].济南大学.Chen S Y, 2020.Study on precipitation distribution characteristics of Longchuan River basin in dry-hot valley in Hengduan Mountains[D].Jinan: University of Jinan.

丁明泽, 雍斌, 杨泽康, 2022.全球降水观测计划多卫星联合反演降水产品的极端降水监测潜力研究[J].遥感学报26(04): 657-671.DOI: 10.11834/jrs.20220240.Ding M Z

Yong B Yang Z K2022.Extreme precipitation monitoring capability of the multi-satellite jointly retrieval precipitation products of Global Precipitation Measurement (GPM) mission[J].National Remote Sensing Bulletin26(4): 657-671.DOI: 10.11834/jrs.20220240 .

顾佳佳, 武威, 2017.2016年“7.9”豫北特大暴雨过程的中尺度特征分析[J].暴雨灾害36(5): 440-452.

Gu J J Wu W2017.Mesoscale characteristics of an excessive heavy rain event in northern Henan on 9 July 2016[J].Torrential Rain and Disasters36(5): 440-452.

何大明, 吴绍洪, 彭华, 等, 2005.纵向岭谷区生态系统变化及西南跨境生态安全研究[J].地球科学进展20(3): 338-344.

He D M Wu S H Peng H, et al, 2005.A study of ecosystem changes in longitudinal range-gorge region and transboundary eco-security in southewst China[J].Advances in earth science20(3): 338-344.

计晓龙, 吴昊旻, 黄安宁, 等, 2017.青藏高原夏季降水日变化特征分析[J].高原气象36(5): 1188-1200.DOI: 10.7522/j.issn.1000-0534.2016.00119.Ji X L

Wu H M Huang A N, et al, 2017.Characteristics of the precipitation diurnal variation over Qinghai-Tibetan Plateau in summer[J].Plateau Meteorology36(5): 1188-1200.DOI: 10.7522/j.issn.1000-0534.2016.00119 .

李建, 宇如聪, 孙溦, 2013a.从小时尺度考察中国中东部极端降水的持续性和季节特征[J].气象学报71(4): 652-659.LiJ, YuRC, SunW, 2013a.Duration and seasonality of the hourly extreme rainfall in the central-eastern part of China.[J].Acta Meteorologica Sinica, 71(4): 652-659.

李建, 宇如聪, 孙溦, 2013b.中国大陆地区小时极端降水阈值的计算与分析[J].暴雨灾害32(1): 11-16.LiJ, YuR C, SunW, 2013b.Calculation and analysis of the thresholds of hourly extreme precipitation in mainland China[J].Torrential Rain and Disasters, 32(1): 11-16.

李沁汶, 王玉宽, 徐佩, 等, 2019.未来气候变化情景下横断山北部灾害易发区极端降水时空特征[J].山地学报37(3): 400-408.DOI: 10.16089/j.cnki.1008-2786.000433.Li Q W

Wang Y K Xu P, et al, 2019.Changes of extreme precipitation patterns for disaster prone areas in the North of the Hengduan Mountains under climate change[J].Mountain Research37(3): 400-408.DOI: 10.16089/j.cnki.1008-2786.000433 .

李若莹, 姚秀萍, 2024.青藏高原东南部-川西地区夏季小时极端降水事件特征研究[J].高原气象43(5): 1113-1124.DOI: 10.7522/j.issn.1000-0534.2024.00005.Li R Y

Yao X P2024.Characteristics of summer hourly extreme rainfall events in the region of Southeastern Xizang Plateau-Western Sichuan Basin[J].Plateau Meteorology43(5): 1113-1124.DOI: 10.7522/j.issn.1000-0534.2024.00005 .

连钰, 许彦艳, 李华宏, 等, 2024.哀牢山两侧夏季降水差异的时空分布特征和季风的相关性研究[J].高原气象.43(4): 1026-1038.DOI: 10.7522/j.issn.1000-0534.2023.00038.Lian Y

Xu Y Y Li H H, et al, 2024.The spatial-temporal distribution of the difference in summer precipitation difference over two sides of the Ailao Mountain and its relationship with monsoons[J].Plateau Meteorology43(4): 1026-1038.DOI: 10.7522/j.issn.1000-0534.2023.00038 .

龙妍妍, 范广洲, 段炼, 等, 2016.中国近54年来夏季极端降水事件特征研究[J].气候与环境研究21(4): 429-438.DOI: 10.3878/j.issn.1006-9585.2016.15130.Long Y Y

Fan G Z Duan L, et al, 2016.A study on the characteristics of summertime extreme precipitation events over China in recent 54 years[J].Climatic and Environmental Research21(4): 429-438.DOI: 10.3878/j.issn.1006-9585.2016.15130 .

文安邦, 汤青, 欧阳朝军, 等, 2023.中国山地保护与山区发展: 回顾与展望[J].中国科学院院刊38(3): 376-384.DOI: 10.16418/j.issn.1000-3045.20230121001.Wen A B

Tang Q Ouyang C J, et al, 2023.Mountain protection and mountain development in China: review and prospect[J].Bulletin of Chinese Academy of Sciences38(3): 376-384, DOI: 10.16418/j.issn.1000-3045.20230121001 .

武文博, 游庆龙, 王岱, 2016.基于均一化降水资料的中国极端降水特征分析[J].自然资源学报31(6): 1015-1026.DOI: 10.11849/zrzyxb.20150209.Wu W B

You Q L Wang D2016.Characteristics of extreme precipitation in china based on homogenized precipitation data[J].Journal of Natural Resources31(6): 1015-1026.DOI: 10.11849/zrzyxb.20150209 .

汪小康, 崔春光, 刘柯, 等, 2024.中国主雨季极端小时降水时空分布和日变化特征[J].气象50(4): 393-406.DOI: 10.7519/i.issn.1000-0526.2023.123001.Wang X K

Cui C G Liu K, et al, 2024.Spatio-temperal distribution and diurnal variation of extreme hourly precipitation in china during the main rainy season[J].Meteorological Monthly50(4): 393-406.DOI: 10.7519/i.issn.1000-0526.2023.123001 .

张静, 孙羡, 2021.2020年8月10

-14 日四川盆地一次持续性暴雨过程特征及成因分析[J].高原山地气象研究41(3): 50-57.DOI: 10.3969/j.issn.1674-2184.2021.03.007.Zhang J Sun X2021.Characteristics and cause analysis on a continuous severe rainstorm process in Sichuan Basin from August 10 to 14, 2020[J].Plateau and Mountain Meteorology Research, 41(3): 50-57.DOI: 10.3969/j.issn.1674-2184.2021.03.007 .

张天宇, 王雨潇, 孙营营, 等, 2023.1998-2020年三峡库区小时极端降水时空变化特征分析[J].高原气象42(1): 108-115.DOI: 10.7522/j.issn.10000534.2022.00019.Zhang T Y

Wang Y X Sun Y Y, et al, 2023.Temporal and spatial variation characteristics of hourly extreme precipitation in the Three Gorges Region in 1998-2020[J].Plateau Meteorology42(1): 108-115.DOI: 10.7522/j.issn.10000534.2022.00019 .

张谊光, 1998.横断山区垂直气候的几个问题[J].资源科学20(3): 14-21.

Zhang Y G1998.Several issues concerning vertical climate of the Hengduan Mountains[J].Resources Science20(3): 14-21.

张月悦, 2022.1970-2018年横断山区夏季极端降水事件特征及其与大尺度环流的关系[D].成都: 成都信息工程大学.Zhang Y Y, 2022.Characterization of extreme summer precipitation events and their relationship with large-scale circulation in the Transantarctic Mountains during 1970-2018[D].Chengdu: Chengdu University of Information Technology.

文章导航

/