山西不同历时强降水的统计特征及趋势变化
1.
2.
Statistical Characteristics and Trend Change of Different Duration Short-Duration Heavy Rainfall in Shanxi Province
1.
2.
收稿日期: 2019-03-19 修回日期: 2019-08-15 网络出版日期: 2020-07-28
| 基金资助: |
|
Received: 2019-03-19 Revised: 2019-08-15 Online: 2020-07-28
作者简介 About authors
苗爱梅(1960-),女,山西长治人,研究员,主要从事中短期及短时天气预报技术研究.E-mail:
关键词:
Keywords:
本文引用格式
苗爱梅, 王洪霞, 武捷.
MIAO Aimei, WANG Hongxia, WU Jie.
1 引言
短时强降水是突发灾害性天气之一, 因其突发性强、 历时短、 强度大等特点、 极易引发山洪、 泥石流、 城市积涝等灾害, 对各行业的安全生产造成很大的威胁或损失。因此, 国内外不少学者对本国以及本省或本区域的短历时强降水气候特征进行了统计分析, 发现近年来本国或本区域大部分地区短历时强降水有增多的趋势(翟盘茂等, 2007; 王萃萃等, 2009; 郝莹等, 2012; Deshpande et al, 2012; 李佳秀等, 2015; 林婧婧等, 2015; 白晓平等, 2018)。如: 翟盘茂等(2007)和王萃萃等(2009)研究发现, 我国大部分地区近来的降水强度在加大, 强降水过程明显增多的区域位于长江流域, 大城市极端降水强度增加的区域位于长江下游地区; 郝莹等(2012)分析了安徽省近49年短历时强降水事件的趋势变化特征, 发现近49年 来安徽省短历时强降水总体呈增多趋势, 并具有自东向西增加趋势逐渐显著的特征, 明显的双峰结构是短历时强降水的日分布特征, 频发时段分别位于午后到傍晚以及后半夜到凌晨; Deshpande et al(2012)对印度逐时降水特征进行研究发现, 位于西海岸、 喜马拉雅山脉的山麓和季风干扰轨道上的许多站点1 h的降水量超过了100 mm, 不同持续时间(3~12 h)的极端降雨事件在印度中部和印度半岛的许多站点显示出增加的趋势; 李佳秀等(2015)统计分析了新疆短时强降水的时空分布, 指出该地区短时强降水也呈增加趋势; 白晓平等(2018)基于中国西北地区东部6 h雨量≥20 mm降水量观测资料, 分析了中国西北地区东部短时强降水的时空分布特征, 指出该地区短时强降水日数年际变化不大, 但区域性的短时强降水过程呈明显的增长趋势。中国地域辽阔, 短时强降水的极值分布和趋势变化具有明显区域性特征。如: 杨志刚等(2014)分析了西藏极端降水事件时空分布特征, 指出1961 -2010年极端降水事件出现频数呈减少趋势的区域位于西藏西部、 北部和东南部地区; 极端降水事件出现频数增多趋势的区域是在沿雅鲁藏布江一线、 西藏南部和东北部地区; 郭凌曜等(2013)研究则发现, 湖南省1 h、 3 h和12 h 强降水事件频率变化趋势以不显著增加为主; 马佳宁等(2019)研究发现, 黄河上游流域极端降水事件的发生频率则有所降低; 李培都等(2018)研究发现, 敦煌及周边地区极端降水事件频次除马鬃山呈现减少趋势外, 其他区域均呈现增长趋势。此外的一些研究还揭示了不同区域短时强降水的月、 日变化及特定环流背景下短时强降水的空间分布及月、 日变化特征(尹承美等, 2010; 杨诗芳等, 2010; 苏永玲等, 2011; 张之贤等, 2013; 谷秀杰, 2013; 何晗等, 2015)。近年来, 还有一些学者对短历时强降水的致灾阈值进行了探索(李庆祥等, 2010; 李雁等, 2013; 陈金明等, 2016; 贺芳芳等, 2017; 潘欣等, 2019), 其研究结果可为当地城市制定强降水积水、 内涝灾害预防措施提供科学依据。
山西是我国短历时强降水发生频次较多的省份, 年均近百个站次。近年来, 随着全球气候的持续变暖, 突发性强降雨频次增多, 给人民生命财产安全、 城乡生产生活秩序、 道路交通安全都带来严重影响, 使防御极端强降水灾害的难度大大增加, 造成的损失和影响不断加重, 如2012年国内外10大天气气候事件之一的“7·21”北京特大暴雨, 再如2007年“7·29”运城垣曲县特大暴雨, 均由短历时强降水引发, 人员伤亡和经济损失惨重。本文试图通过对山西近38年不同历时的短时强降水进行统计和分析, 揭示其极值、 频次、 月、 日、 年际等的分布和趋势变化, 旨在为山西不同历时强降水的预报预警和灾害防御提供参考。
2 资料来源与方法介绍
2.1 资料来源
使用的109个站1981 -2018年5 -9月1 h、 3 h、 6 h、 12 h的短历时降水量资料均取自山西省气象信息中心归档的原始气象记录月报表及其信息化产品, 使用前对这些资料进行了严格的质量控制和均一化处理以及非均一性订正。
2.2 方法介绍
根据中国气象局相关业务规定, 结合山西天气气候背景, 本文对不同历时强降水的研究对象分别是: 1 h≥20 mm、 3 h≥30 mm、 6 h≥50 mm、 12 h≥50 mm等4种短历时强降水。
通过统计全省所有县域109个站1981 -2018年38年所有数字化历史小时降水资料, 针对每站逐小时滚动检索, 查询并分析不同历时强降水出现的时空分布。具体分析其年(5 -9月)总次数、 月次数、 日内各时间段出现次数及极值分布。其中, 连续多时刻出现以上量级标准时, 中间小时间隔小于该“历时”时, 计为一次过程; 而日内各时间段出现次数则以逐小时滚动统计的次数为准。
不同历时强降水的统计主要采用了趋势系数、 气候倾向率及归一化等方法。根据Yu et al(2007)的分析方法, 归一化的表达式如下:
式中:
3 结果分析
3.1 不同历时强降水的极值分布特征
根据中国气象局关于对强降水的小时雨强定义, 1 h降水量≥20 mm的降水在山西省109个气象观测站均有出现, 各站历史最大小时雨强从31.1 mm(阳高)到91.7 mm(永济)不等, 1 h降水量≥60 mm的雨强主要出现在中南部的太行山区、 中条山、 吕梁山区域, 主要包括垣曲、 永济、 乡宁、 离石、 兴县、 屯留、 汾阳、 安泽、 襄汾、 闻喜、 长治县、 代县、 永和、 方山、 灵石、 稷山、 晋城市、 昔阳、 临汾市、 榆社、 平定、 沁源、 平顺、 大宁、 祁县、 太原、 平陆等地[图1(a), 该图及文中涉及的地图均是基于国家测绘地理信息局标准地图服务网站下载的审图号为GS(2016)1552 号的标准地图制作, 底图无修改]。
图1
图1
1981 -2018年不同历时强降水的历史极值分布
Fig.1
Historical extreme value distribution of heavy rainfall over different diachronic periods from 1981 to 2018
各站历史最大3 h雨强为40.8 mm(阳高)到157 mm(晋城市), 3 h降水量≥100 mm的雨强极值主要出现在山西省南部的垣曲县、 晋城市、 浮山、 高平县、 阳城县、 长治县, 中部太岳山东部的榆社、 沁源、 沁县, 以及吕梁山东部的乡宁、 兴县等地[图1(b)]。
历史最大6 h雨强为56.0 mm(古交)到217.3 mm(晋城市), 6 h降水量≥120 mm的雨强极值主要出现在山西省南部的垣曲县、 晋城市、 永和县、 阳城县、 浮山县、 沁水县、 长治县、 沁源县、 襄汾县、 曲沃县, 吕梁山区的兴县、 临县、 柳林, 太行山区的阳泉市等地(图1c)。
历史最大12 h雨强为62.7 mm(古交)到231.8 mm(垣曲), 12 h降水量≥150 mm的雨强极值主要出现在山西省南部的垣曲县、 晋城市、 安泽县、 阳城县、 曲沃县; 中部的阳泉市、 柳林县、 交口县; 北部的保德县[图1(d)]。
综合以上分析表明, 时效越短, 极值分布的局地性越强; 高极值区主要位于山西南部, 这是由于山西南部强降水受夏季风、 西太平洋副热带高压的进退影响很大。夏季山西南部盛行西南风或偏南风, 南部大部分区域受西太平洋副热带高压边缘西南气流控制, 加上特殊的地形影响导致短历时强降水极值较大。
3.2 不同历时强降水的频次分布特征
由1981 -2018年不同历时强降水出现频次空间分布(图2)可知, 12 h内的不同历时强降水出现的频次分布基本呈现出“南多北少、 山区多于盆地、 东南明显集中”的特点。受纬度(热力)、 地形(迎风坡抬升)、 水汽输送等因素影响, 局地强降水多发区域分布明显集中在山西省运城东部、 晋城大部、 长治部分(沁源、 沁县、 平顺)、 临汾(东、 西两山)、 晋中的榆社、 阳泉的平定、 吕梁(兴县、 临县、 交口等地)。
图2
图2
1981 -2018年不同历时强降水出现频次空间分布
Fig.2
Spatial distribution of the frequency of heavy rainfall over different diachronic periods from 1981 to 2018
由近38年来不同历时雨强出现频次的对比(表1)可知, 109个站共出现1 h雨量≥20 mm的强降水3886个站次, 平均每年出现小时强降水102个站次, 但分布极为不均, 南北差异很大。有的县市38年出现1 h雨量≥20 mm短历时强降水的次数可达80次(最多)之多(垣曲), 而有的县市38年出现短时强降水的次数仅有10次(最少, 阳高); 不同历时强降水频次对比分析可见, 6 h雨量≥50 mm雨强出现频次最少, 1 h降水量≥20 mm雨强出现频次最多。说明山西省短历时强降水以强对流为主, 且持续时间较短。
表1 1981 -2018年不同历时雨强出现频次对比
Table 1
| 雨强时效 | 全省总站次 /次 | 全省平均每年 出现站次/次 | 分县最多 | 分县最少 | ||
|---|---|---|---|---|---|---|
| 总次数/次 | 站名 | 总次数/次 | 站名 | |||
| 1 h雨量≥20 mm | 3886 | 102 | 80 | 垣曲 | 10 | 阳高 |
| 3 h雨量≥30 mm | 3516 | 93 | 70 | 垣曲 | 8 | 阳高 |
| 6 h 雨量≥50 mm | 1223 | 32 | 33 | 晋城 | 1 | 怀仁、 应县、 广灵、 灵丘 |
| 12 h雨量≥50 mm | 2603 | 69 | 53 | 晋城 | 4 | 应县 |
3.3 不同历时强降水的月和日变化特征
3.3.1 不同历时强降水的月分布特征
由表2统计结果可知: (1)6 -9月1 h降水量≥20 mm出现的站次最多, 5月3 h降水量≥30 mm出现的站次最多, 说明山西省短时强降水主要由强对流天气触发; (2)不同历时强降水集中出现在每年的7 -8月, 尤以7月最多, 这是由于7月中旬前后西太平洋副热带高压完成第二次北跳, 脊线平均位于25°N -30°N, 山西中南部正好位于5880 gpm与5840 gpm线之间, 不但水汽输送条件好, 而且常有短波槽配合, 降水不但强度强而且强降水具有一定的持续性; (3)9月12 h降水量≥50 mm的强降水出现次数排名第二, 说明在这个月降水以对流和混合型降水为主, 降水具有一定的持续性。
表2 1981 -2018年各月不同历时强降水出现次数
Table 2
| 类别 | 5 -9月短历时强降水出现平均站次数/次 | 总站次 /次 | ||||
|---|---|---|---|---|---|---|
| 5月 | 6月 | 7月 | 8月 | 9月 | ||
| 1 h降水量≥20 mm | 2.92 | 12.32 | 47.63 | 34.42 | 4.92 | 3886 |
| 3 h降水量≥30 mm | 2.95 | 9.79 | 44.18 | 31.26 | 4.26 | 3516 |
| 6 h降水量≥50 mm | 0.76 | 2.21 | 16.50 | 11.45 | 1.26 | 1223 |
| 12 h降水量≥50 mm | 2.42 | 5.32 | 32.92 | 23.11 | 4.61 | 2603 |
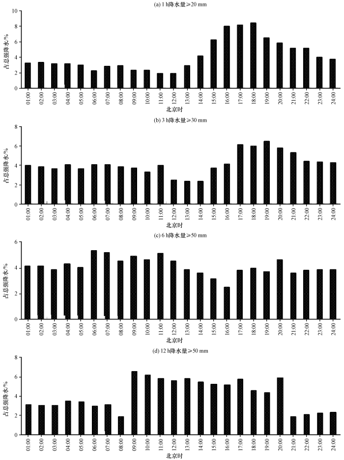
3.3.2 不同历时强降水的日分布特征
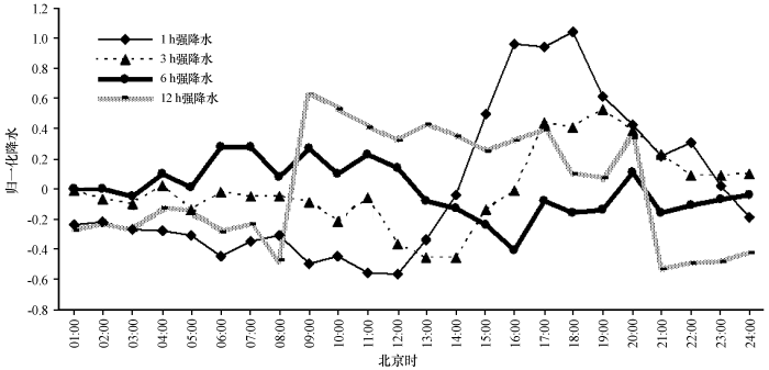
由图3和图4可知, 1981 -2018年山西省不同历时强降水都具有明显的日变化特征, 相比之下, 1 h雨量≥20 mm短历时强降水的日变化特征最明显, 偏离平均态最大, 3 h次之, 6 h最小。1 h雨量≥20 mm与3 h雨量≥30 mm强降水的日变化特征类似, 主要集中在午后到夜间, 为单峰型, 峰值分别出现在18:00(北京时, 下同)和19:00, 这一时间强降水的频发主要是由于午后强对流造成; 6 h雨量≥50 mm强降水的日内分布为双峰型, 峰值分别出现在06:00和20:00; 12 h雨量≥50 mm强降水的日内分布为单峰型, 峰值出现在09:00。不同历时强降水频次的定量分析结果与不同历时强降水量的归一化定量分析结果具有很好的一致性。
图3
图3
1981 -2018年山西省归一化的不同历时强降水量日变化
Fig.3
Daily variation of normalized heavy precipitation over different diachronic periods in Shanxi Province from 1981 to 2018
图4
图4
山西省不同的短历时强降水频次日变化
Fig.4
Daily variation of different short-duration heavy rainfall frequencies in Shanxi Province
3.4 不同历时强降水的趋势变化特征
3.4.1 不同历时强降水年均次数变化趋势的空间分布
近38年来, 山西省不同历时强降水年均出现频次变化趋势的空间分布如图5所示。1 h降水量≥20 mm的短历时强降水除吕梁北部和忻州西南部的局部县市有减少趋势外, 全省大部分县市均为增多趋势, 增多区域有4个大值中心[图5(a)], 分别出现在晋城的陵川[0.676 times·(10a)-1]、 运城的垣曲[0.597 times·(10a)-1]、 阳泉市[0.536 times·(10a)-1]和长治的沁县[0.485 times·(10a)-1]。3 h降水量≥30 mm的短历时强降水除大同的局部县市有减少趋势外, 全省大部分县市均为增多趋势, 增多区域有2个大值中心[图5(b)], 分别出现在运城的垣曲[1.996 times·(10a)-1]和晋城市[1.663 times·(10a)-1]。6 h降水量≥50 mm的短历时强降水除大同东部的局部县市为减少趋势外, 全省大部分县市均为增多趋势, 增多区域有6个大值中心[图5(c)], 分别出现在运城的垣曲县[1.794 times·(10a)-1]、 晋城市[1.74 times·(10a)-1]、 长治的平顺县[1.21 times·(10a)-1]、 阳泉市[0.876 times·(10a)-1]、 吕梁的兴县[0.777 times·(10a)-1]和忻州的河曲县[0.657 times·(10a)-1]。12 h降水量≥50 mm的短历时强降水除大同城区略有减少趋势外, 全省大部分县市均为增多趋势, 增多区域有5个大值中心[图5(d)], 分别出现在阳泉市[3.352 times·(10a)-1]、 吕梁的临县[2.439 times·(10a)-1]、 运城的垣曲县[2.398 times·(10a)-1]、 长治的壶关县[2.302 times·(10a)-1]和临汾的吉县[1.882 times·(10a)-1]。
图5
图5
1981 -2018年山西省不同历时强降水年出现频次变化趋势的空间分布 [单位: times·(10a)-1]
正值区域通过了95%的显著性检验
Fig.5
Spatial distribution of the annual frequency variation trend of different diachronic heavy rainfall in Shanxi Province from 1981 to 2018.Unit: times·(10a)-1.The positive regions passed the 95% significance test
总之, 12 h内不同历时强降水年频次变化趋势的空间分布具有南部增长速率高于北部, 东部山区和西部山区增长速率明显高于中部盆地的特点; 6 h内不同历时强降水年频次变化趋势的空间分布特征相似, 均为东南部增长速率最大, 12 h短历时强降水年频次变化趋势的空间分布与6 h内不同历时强降水年频次变化趋势的空间分布特征差异较大, 速率增长最大值出现在山西省的东部山区和西部山区。
3.4.2 不同历时强降水年均频次变化时间序列
图6是利用1981 -2010年30年中不同历时强降水年均出现站次资料作为背景资料, 选取了1981 -2018年38年资料长度完全一致的山西109个站点不同历时强降水年均出现站次资料, 进行距平计算, 并利用趋势系数和变化速率计算山西不同历时强降水年均出现站次的变化趋势性质和幅度。1981 -2018年, 山西不同历时强降水年均出现站次数振幅很大, 38年来, 1 h、 3 h、 6 h和12 h等短历时强降水年均出现站次增长速率分别为0.099·(10a)-1、 0.23·(10a)-1、 0.14·(10a)-1和0.18·(10a)-1。
图6
图6
1981 -2018年山西不同历时强降水年均次数距平随时间演变曲线及趋势
Fig.6
Evolution curve and trend of annual average frequency anomalies of heavy rainfall over different diachronic periods in Shanxi Province from 1981 to 2018
3.4.3 不同的短历时强降水频率平均每10年增加的百分数
从不同的短历时强降水频率平均每10年增加的百分数(表3~6)可以看出, 1 h和12 h短历时强降水分别在2001 -2010年和1991 -2000年略呈减少趋势, 分别减少了-5.31%和-6.97%, 其他时段均为增加趋势; 与1 h和12 h不同的是, 3 h和6 h短历时强降水频率4个阶段的平均每10年增加的百分数均为正值。从段间差值看, S32段与S31段比较、 S33段与S32段比较、 S34段与S33段比较, 3 h短历时强降水频率分别增加了8.19%, 4.48%和41.19%; S62段与S61段比较、 S63段与S62段比较、 S64段与S63段比较, 6 h短历时强降水频率分别增加了9.81%, 6.19%和44.98%; 如果以3 h短历时强降水平均次数最多的S34段与最少的S31段相比, 则增加了60.18%, 以6 h短历时强降水平均次数最多的S64段与最少的S61段相比, 则增加了69.06%, 以1 h短历时强降水平均次数最多的S14段与最少的S11段相比, 则增加了35.01%, 以12 h短历时强降水平均次数最多的S124段与最少的S122段相比, 则增加了62.21%, 增加幅度可观。
表3 山西109 个站1 h降水量≥20 mm总次数分阶段平均值及段间差值和百分比
Table 3
| 1 h降水量时间段 | 平均次数/次 | 段间差值ΔS1 /次 | 百分比/ % |
|---|---|---|---|
| 1981 -1990年 | 93.7 | S12-S11=6.0 | 6.40 |
| 1991 -2000年 | 99.7 | S13-S12=-5.3 | -5.31 |
| 2001 -2010年 | 94.4 | S14-S13=32.1 | 34.00 |
| 2011 -2018年 | 126.5 | S14-S11=32.8 | 35.01 |
S11代表1981 -1990年段, S12代表1991 -2000年段, S13代表2001 -2010年段, S14代表2011 -2018段
表4 山西109 站3 h降水量≥30 mm总次数分阶段平均值及段间差值和百分比
Table 4
| 3 h降水量时间段 | 平均次数/次 | 段间差值ΔS3 /次 | 百分比/ % |
|---|---|---|---|
| 1981 -1990年 | 78.1 | S32-S31=6.7 | 8.19 |
| 1991 -2000年 | 84.8 | S33-S32=3.8 | 4.48 |
| 2001 -2010年 | 88.6 | S34-S33=36.5 | 41.19 |
| 2011 -2018年 | 125.1 | S34-S31=47.0 | 60.18 |
S31代表1981 -1990年段, S32代表1991 -2000年段, S33均代表2001 -2010年段, S34代表2011 -2018段
表5 山西109 个站6 h降水量≥50 mm总次数分阶段平均值及段间差值和百分比
Table 5
| 6 h降水量时间段 | 平均次数/次 | 段间差值ΔS6 /次 | 百分比/ % |
|---|---|---|---|
| 1981 -1990年 | 26.5 | S62-S61=2.6 | 9.81 |
| 1991 -2000年 | 29.1 | S63-S62=1.8 | 6.19 |
| 2001 -2010年 | 30.9 | S64-S63=13.9 | 44.98 |
| 2011 -2018年 | 44.8 | S64-S61=18.3 | 69.06 |
S61代表1981 -1990年段, S62代表1991 -2000年段, S63代表2001 -2010年段, S64代表2011 -2018段
表6 山西109 个站12 h降水量≥50 mm总次数分阶段平均值及段间差值和百分比
Table 6
| 12 h降水量时间段 | 平均次数/次 | 段间差值ΔS12 /次 | 百分比/ % |
|---|---|---|---|
| 1981 -1990年 | 60.3 | S122-S121=-4.2 | -6.97 |
| 1991 -2000年 | 56.1 | S123-S122=15.0 | 26.74 |
| 2001 -2010年 | 71.1 | S124-S123=19.9 | 27.99 |
| 2011 -2018年 | 91.0 | S124-S122=34.9 | 62.21 |
S121代表1981 -1990年段, S122代表1991 -2000年段, S123代表2001 -2010年段, S124代表2011 -2018段
4 不同短历时强降水主要影响系统的统计特征
以山西省中尺度天气分析技术规范为标准, 对2003 -2018年山西236个短历时强降水历史个例进行中尺度分析, 按照500 hPa环流背景场、 高低空流型配置、 物理量场阈值建立的短历时强降水概念模型共有8种类型: 前倾槽型、 后倾槽型、 暖切变型、 冷切变型、 低涡切变型、 副高与冷切变型、 副高与暖切变型以及暖区型。在此基础上, 分类统计了1 h降水量≥20 mm、 3 h降水量≥30 mm、 6 h降水量≥50 mm和12 h降水量≥50 mm的主要影响系统, 统计结果见表7。由表7可知, 1 h和3 h短历时强降水的主要影响系统类似, 而6 h和12 h短历时强降水的主要影响系统与1 h和3 h短历时强降水的主要影响系统有明显的差异, 后倾槽、 暖切变、 副高+暖切变、 副高+冷切变、 低涡切变是6 h和12 h短历时强降水的主要影响系统。
表7 不同短历时强降水主要影响系统统计结果
Table 7
| 影响系统 | 1 h降水量≥20 mm时影响系统出现 次数/次 | 3 h降水量≥30 mm时影响系统出现 次数/次 | 6 h和12 h降水量≥50 mm时影响系统出现 次数/次 |
|---|---|---|---|
| 前倾槽 | 28 | 23 | 7 |
| 后倾槽 | 30 | 27 | 20 |
| 暖切变 | 40 | 39 | 29 |
| 冷切变 | 50 | 46 | 7 |
| 低涡切变 | 18 | 16 | 18 |
| 副高+暖切变 | 23 | 21 | 23 |
| 副高+冷切变 | 31 | 29 | 18 |
| 暖区(包括副高边缘) | 16 | 13 | 3 |
更深入的统计分析发现, 1 h降水量≥20 mm的短历时强降水有31%的个例发生在高低空系统不配合的背景下, 局部的短历时强降水产生在深厚系统影响之前, 雷达回波表现为块状回波。块状回波造成的短历时强降水主要发生在1~2 h之内, 局地性和突发性极强。造成块状回波有两类中尺度系统: 一类是西风带系统性降水的前锋, 高空有短波槽东移, 近地层配合有冷空气扩散, 或边界层有切变线或辐合线; 另一类是副高西进北抬时产生的局地短历时强降水。3 h降水量≥30 mm的短历时强降水常常由带状回波造成, 造成带状回波的主要是深槽和垂直分布的低层切变线, 系统移动快。带状回波又分成两类, 一类是有急流型, 另一类是无急流型。有急流型的6 h降水量往往超过50 mm, 而无急流型的常常在3~4 h之内降水结束, 6 h降水量不超过50 mm。有61%的个例6 h和12 h历时的强降水是由1 h和3 h的短历时强降水组合造成, 有8%的个例6 h和12 h历时的强降水具有其连续性降水的独特性, 比如1 h降水量只有5~6 mm, 但持续时间在10 h以上的降水过程, 12 h降水量仍可超过50 mm, 这样的降水过程通常高低空配置为后倾结构, 雷达回波特征为絮状。影响系统为低涡切变的雷达回波表现为涡旋状回波, 特征是移动缓慢, 涡旋云系不断把南部的水汽和能量卷入低涡中心, 造成影响范围大、 持续时间长、 雨强强度大的降水, 6 h和12 h降水量很容易超过50 mm, 甚至超过200 mm。山西省大部分的降水过程为混合型降水过程, 即为系统性降水与多个中尺度强降水的组合造成, 系统性降水云系中镶嵌着多个对流云团。如2016年7月18日20:00至19日20:00的大暴雨过程, 62个县市24 h降水量≥50 mm, 47个县市12 h降水量≥50 mm, 24个县市6 h降水量≥50 mm, 38个县市1 h降水量≥20 mm 。表7中统计到的7例前倾槽型、 7例冷切变型在6 h和12 h内降水量也超过了50 mm, 但这些个例都具有深厚的湿层和急流相伴随。3例暖区型(副高边缘)则是热力条件优于动力条件, 沙氏指数≤-3 ℃, 6 h或12 h降水量≥50 mm是由于1 h降水量≥50 mm, 这类个例湿层浅薄, 低层无急流输送水汽。
综上, 山西省6 h和12 h短历时强降水与1 h和3 h短历时强降水的主要影响系统有较明显的差异; 深厚的湿层和低空急流是6 h和12 h短历时强降水发生的关键; 61%的1 h和3 h短历时强降水对6 h和12 h短历时强降水的发生有贡献, 即61%的个例为系统性降水与多个中尺度强降水的组合造成; 块状回波和无急流带状回波往往造成1 h和3 h短历时强降水, 而涡旋状回波、 絮状回波和有急流带状回波常常引发6 h和12 h短历时强降水发生。
5 结论与讨论
通过对近38年山西109站不同历时强降水的统计分析, 获得以下主要结论:
(1) 各站历史最大1 h、 3 h、 6 h、 12 h雨强分别为31.1~91.7 mm、 40.8~157 mm、 56.0~217.3 mm、 62.7~231.8 mm; 1 h>60 mm、 3 h>100 mm、 6 h>120 mm及12 h>150 mm的雨强极值主要分布在山西中南部的太行山区、 中条山、 吕梁山等区域; 具有簸箕型地形的运城市垣曲县是1 h>60 mm、 3 h>100 mm、 6 h>120 mm、 12 h>200 mm雨强极值的集中出现地域; 极值空间分布具有时效越短, 极值分布的局地性越强的特点。
(2) 12 h内的不同历时强降水出现的频次分布基本呈现出“南多北少、 山区多于盆地、 东南明显集中”的特点。受纬度、 地形和水汽输送等因素影响, 局地强降水多发区域分布明显集中在运城东部、 晋城大部、 长治的山区、 临汾的东山和西山、 晋中的东山、 阳泉及吕梁山区一带。
(3) 不同历时强降水集中出现在每年的7 -8月, 说明7 -8月受季风影响水汽输送条件好, 降水不但强度强, 且具有一定的持续性; 6 -9月1 h雨量≥20mm出现的站次最多, 表明山西短历时强降水以强对流为主。
(4) 1日之内, 1 h雨量≥20 mm、 3 h雨量≥30 mm及12 h雨量≥50 mm强降水频次在日内分布均为单峰型, 峰值分别出现在18:00、 19:00和09:00; 6 h雨量≥50 mm强降水在日内分布为双峰型, 峰值分别出现在06:00和20:00。
(5) 12 h内不同历时强降水年均频次变化趋势的空间分布具有南部增长速率高于北部, 东部山区和西部山区增长速率明显高于中部盆地的特点; 6 h内不同历时强降水年均频次变化趋势的空间分布特征相似, 均为东南部增长速率最大, 12 h短历时强降水年均频次变化趋势的空间分布与6 h内不同历时强降水年均频次变化趋势的空间分布特征差异较大, 速率增长最大值出现在东部山区和西部山区。
(6) 近38年山西不同历时强降水年均出现站次数振幅很大, 1 h、 3 h、 6 h和12 h短历时强降水年均出现站次增长速率分别为0.099·(10a)-1、 0.23·(10a)-1、 0.14·(10a)-1和0.18·(10a)-1。
(7) 山西省6 h和12 h短历时强降水与1 h和3 h短历时强降水的主要影响系统有明显的差异; 深厚的湿层和低空急流是6 h和12 h短历时强降水发生的关键; 61%的1 h和3 h短历时强降水对6 h和12 h短历时强降水的发生有贡献, 即61%的个例为系统性降水与多个中尺度强降水的组合造成; 块状回波和无急流带状回波往往造成1 h和3 h短历时强降水, 而涡旋状回波、 絮状回波和有急流带状回波常常引发6 h和12 h短历时强降水发生。
参考文献
Characteristic features of hourly rainfall in India
[J].
Relation between rainfall duration and diurnal variation in the warm season precipitation over central eastern China
[J].
中国西北地区东部短时强降水时空分布特征
[J].
1960 -2009 年中国夏季极端降水事件与气温的变化及其环流特征
[J].
河南省短时强降水及其云团特征分析
[J].
湖南短时强降水事件气候特征
[J].
安徽省近49年短历时强降水事件趋势变化特征
[J].
上海地区短历时强降水致灾阈值探索
[J].
冷涡背景下短时强降水的统计分析
[J].
新疆极端降水事件的时空变化及趋势预测
[J].
1958 -2015年敦煌及周边地区极端降水事件的时空变化特征
[J].
北京地区强降水极端气候事件阈值
[J].
中国不同气候区高、 低温及强降水阈值
[J].
中国气候态变化特征及其对气候变化分析的影响
[J].
近50年黄河上游流域年均降水与极端降水变化分析
[J].
潘欣, 尹义星, 王小军, 2019.1960-2014年淮河流域极端降水发生时间的时空特征
[J].
京津冀地区强对流时空分布与天气学特征分析
[J].
中国大城市极端强降水事件变化的初步分析
[J].
杭州短时强降水特征分析及预报研究
[J].
杨志刚, 建军, 洪建昌, 2014.1961-2010 年西藏极端降水事件时空分布特征
[J].
济南市区短时强降水特征分析
[J].
陇东南地区短历时降水特征及其分布规律
[J].
极端降水事件变化的观测研究
[J].
/
| 〈 |
|
〉 |
